Next Article in Journal
Effect of Vibration Mixing on the Mechanical Properties of Carbon Nanotube-Reinforced Ultra-High-Performance Concrete
Next Article in Special Issue
Adoption of Innovative Energy Facilities in the Tertiary Sector Buildings: Exploring Interdependencies and Key Drivers
Previous Article in Journal
Improving Mixed-Mode Fracture Properties of Concrete Reinforced with Macrosynthetic Plastic Fibers: An Experimental and Numerical Investigation
Previous Article in Special Issue
Coevolution Mechanism of Remanufacturer–Construction Enterprise–Public in Construction and Demolition Waste Resource Utilization Projects under Green Value Co-Creation
 
 
Font Type:
Arial Georgia Verdana
Font Size:
Aa Aa Aa
Line Spacing:
Column Width:
Background:
Article

Facilitating Green Transition in Small- and Medium-Sized Building Material Enterprises: Collaborative Support via Green Patent Pledge Financing Guarantees

1
School of Management, Jiangsu University, Zhenjiang 212013, China
2
School of Intellectual Property, Jiangsu University, Zhenjiang 212013, China
*
Authors to whom correspondence should be addressed.
Buildings 2024, 14(8), 2544; https://doi.org/10.3390/buildings14082544
Submission received: 4 July 2024 / Revised: 13 August 2024 / Accepted: 17 August 2024 / Published: 18 August 2024
(This article belongs to the Special Issue Green Building Project Management)

Abstract

Purpose: This study aims to analyze the interactions within the intellectual property pledge financing framework involving SMBMEs, banks, and third-party intermediaries, focusing on factors that promote sustainable cooperation. Methods: The research employs an evolutionary game model to simulate and analyze strategic interactions among the stakeholders, considering bounded rationality and asymmetric information. Results: Key findings include the positive correlation between SMBMEs’ reputation and timely repayment, the adverse effects of patent devaluation on cooperation, and the reasonable loan interest rates for facilitating GPPFG cooperation. The study also highlights the need for a transparent information platform and reasonable breach of contract compensation. Conclusions: The paper concludes that an efficient GPPFG mechanism is crucial for SMBMEs’ financial support and green transformation. It suggests that third-party intermediaries play a significant role in risk reduction and innovation facilitation. The study acknowledges limitations and calls for future research to explore technological innovations and improve intermediary service systems for SMBMEs’ sustainable development.

1. Introduction

Amid escalating global climate change and environmental degradation, the consensus on green and sustainable development has increased internationally. As a pivotal segment of the building industry, the green transformation of small- and medium-sized building materials enterprises (SMBMEs) is particularly urgent. This urgency is not only a response to governmental strategies for energy conservation and emissions reduction but also an inevitable choice for the long-term development of enterprises themselves. Firstly, green transformation aids small- and medium-sized building materials enterprises in enhancing resource utilization efficiency and reducing energy consumption and pollution emissions, which are directly related to the enterprises’ cost control and environmental responsibilities. Secondly, the introduction of green products and technologies can bolster the market competitiveness of these enterprises, meeting modern consumers’ demand for eco-friendly and low-carbon products. Furthermore, with the continuous strengthening of environmental regulations by the government, enterprises can only avoid potential policy risks through green transformation, successfully passing ecological audits, and ensuring continuous operation. Lastly, green transformation also represents a significant manifestation of corporate social responsibility, helping to elevate the corporate image and strengthen the trust of investors and consumers, thereby attracting more social capital and talent.
In the course of transformation, SMBMEs ubiquitously confront the predicament of capital shortage [1], encompassing not only substantial initial investments, the pressure of working capital turnover, but also the enduring financial support required for technological research and development and market promotion, so traditional financing channels alone cannot meet their capital needs [2,3,4]. In light of this, the exploration and application of green patent pledge financing guarantee (GPPFG) cooperation mechanism emerge as a potentially innovative financing model [5], aimed at addressing the capital bottleneck in the green transformation process. The essence of GPPFG cooperation lies in transforming the potential economic value of green patents (GPs) into direct financing capability, a mechanism that not only mitigates financial institutions’ risks but also serves as an effective solution to the financing difficulties for small and medium enterprises [6]. Patent pledge financing refers to a financing method where an enterprise obtains a loan from a bank by legally owning GPs as collateral after evaluation. The GPPFG for SMBMEs implies a mechanism in which SMBMEs utilize their owned green technology patents as collateral to secure financing from financial institutions. This method aims to encourage and support enterprises in the development and application of new green, environmentally friendly technologies and materials. The core of the cooperation in GPPFG lies in transforming the potential economic value of GPs into direct financing capability.
Despite the significant advantages of GPPFG in enhancing corporate financing capabilities and reducing financing costs, current research indicates that the efficiency of this cooperative mechanism is not high [7], with many limiting factors and practical challenges present [8]. The complexity of patent evaluation and the insufficient intellectual property management capabilities of SMBMEs result in higher financing risks. Furthermore, guarantee organizations and financial institutions have low recognition of GPs as collateral, and their concerns about the financial risks associated with GPs make them more cautious in providing guarantees or loans [9], limiting the amount and conditions of loans. How to avoid risks, promote financing guarantee cooperation, and enhance the enthusiasm of guarantee organizations and financial institutions are pressing issues that need to be addressed [10].
In light of the aforementioned context, to give full play to the role of intellectual property rights in value realization and empowerment of green transformation in the field of corporate financing, this paper aims to investigate and construct an efficient GPPFG cooperation mechanism to provide robust financial support for SMBMEs, thereby promoting their green transformation and sustainable development. Through in-depth dissection, model analysis, and strategic proposition, this paper aspires to offer theoretical support and practical guidance for the GPPFG of SMBMEs, to inform related policy-making, and thus contribute to sustainable development.

2. Literature Review

2.1. Intellectual Property Pledge Financing

Intellectual property is a broad concept that encompasses all property rights created by human intellectual activity, including patents, trademarks, copyrights, etc. Patents, as an important form of intellectual property, can provide enterprises with a means to access funding through their pledge. A review of the literature on intellectual property pledge financing allows for a deeper understanding of the application of intellectual property pledge financing in practice, the challenges faced, and future developmental trends. This provides a theoretical foundation and empirical cases for the study of patent pledge financing, aiding in the identification and optimization of key issues within patent pledge financing. The academic community has conducted extensive research on intellectual property pledge financing, primarily covering the current features, influencing factors, value assessment and risks, model construction, and experience learning of intellectual property pledge financing.
Research has shed light on the current state and characteristics of intellectual property pledge financing. For instance, Nikitenko et al. (2017) explored the modern banking loan model using patent intellectual property as collateral and highlighted the unique aspects of loan collateral registration in some European countries [11]. Qian (2013) reviewed the mechanisms and risk factors of intellectual property supporting finance, noting that the assessment methods still focus on static value [12]. Yuan (2013) and Rinitami Njatrijani (2020) pointed out the shortcomings in the legislation and practice of intellectual property pledge financing in China and Indonesia, respectively [13,14].
Scholars have researched the influencing factors of intellectual property pledge financing from various perspectives. Yang (2018) and Qian (2011) explored the relationship between cooperative behavior of high-tech enterprises and market factors from a game theory perspective [15,16]; Dong (2023), Wang (2009), and Santoso (2021) pointed out that the easy depreciation and poor liquidity of intellectual property are challenging issues restraining business development [17,18,19]. Additionally, Feng (2020), Wang (2011), Raymond (2009), and Panda (2019) analyzed the mismatch between current legal systems and their practical application from a legal perspective [20,21,22]. Yan (2021), based on specific social networks, analyzed the factors affecting the trust in intellectual property pledge loans through experimental research [23]; Chen (2018) reviewed the relevant literature, identifying the main challenges faced by small- and medium-sized enterprises in intellectual property financing as talent shortage, poor quality, and obstructed financing channels [24].
From the perspective of value and risk assessment, Su (2023) applied interval theory, the analytic hierarchy process, and the set-valued statistical method to innovate the assessment method for pledged intellectual property, effectively reducing the risks of IPPF [2]. Zhao et al. (2020) were the first to use the analytic hierarchy process and fuzzy comprehensive evaluation method to build a predictive model for the financing amount of patent pledge in pharmaceutical enterprises [25]. Feng (2021) conducted an in-depth study of the pledge value of Yunnan Baiyao’s intellectual property by combining three intellectual property value assessment methods [26]. Ge (2021) and Wang (2020) provided new solutions for risk analysis of tech-oriented enterprises through fuzzy analytic hierarchy process [10,27]. Zhang (2013), from the perspective of commercial banks, established a risk evaluation index system for IPPF business for small and medium tech enterprises using the analytic hierarchy process [28]. Furthermore, Zhang (2017), through surveys, analysis, and expert interviews, clarified three key indicators of IPPF risk assessment and their weights using the analytic hierarchy process [29]. These studies not only enrich the theoretical framework of IPPF but also offer important references for practical application.
In the aspect of model construction, Wan (2023) developed a two-tier supply chain model from the perspective of the supply chain, concerning decisions on IPPF under three scenarios: without financing, without government subsidies, and with government subsidies [6]. Su (2013) innovated IPPF loan models under the premise of satisfying risk control and enterprise capital needs using the CreditRisk+ model [30]. Ren (2012) analyzed the difficulties of IPPF in Shaanxi Province and proposed targeted financing guarantee models [31]. Cheng (2013) summarized domestic and foreign IPPF models into four types: single market, government-guided market, government-directed, and government-executed [32]. Additionally, Feng (2012) emphasized strengthening the role of market mechanisms while valuing government guidance to construct an effective IPPF mechanism [33]; Wu (2012) suggested a multi-party cooperation approach to establish IPPF guarantee models from market and government dimensions [34]. Li (2012) discussed operation environments suitable for intellectual property financing in Shanxi [35], while Chen et al. (2016) explored the evolutionary game model between tech-oriented SMEs and banks through simulation studies [36]. However, Chen (2011) noted that certain IPPF models rely too heavily on the government, neglecting the financing capacity of SMEs, resulting in low acceptance [37]. Lastly, research by Zhou (2023) indicated that China’s high-tech industry management efficiency needs improvement and requires the introduction of a professional intellectual property platform [38].
Scholars have also paid attention to learning from advanced experiences. Long (2009) and Li (2020) investigated Japan’s and the United States’ experiences in IPPF, respectively, offering insights for China [39,40]. Marcello (2023) focused on Indonesia’s potential to leverage intellectual property assets to increase entrepreneurial capital [41]. Xie (2010) suggested that China could learn from the U.S. experience to improve relevant laws, policies, and assessment mechanisms [42].

2.2. SMEs Green Transformation and Patent Pledge Financing

Direct research on the green transformation and patent pledge financing of SMBMEs is rare. However, reviewing the literature on the green transformation and patent pledge financing of SMEs can provide theoretical support and empirical data for this study. Cheng et al. (2024) studied the strategies and tools implemented by SMEs in the Taiwanese metal industry for green operations, pointing out that by adopting green supply chain management and environmental management systems, enterprises can effectively reduce environmental pollution and improve energy efficiency, thus achieving a green transformation [43]. Mazur (2012) found through case studies that small businesses can reduce their environmental impact through the adoption of innovative green technologies and improved product design, and that this transformation also helps enterprises discover new business opportunities and enhance brand image [44]. Baranova (2017) discussed the environmental capabilities of SMEs in the East Midlands region of the UK in the transition to a low-carbon economy. The research shows that although SMEs face many challenges, such as funding constraints and lack of technology, enterprises can effectively achieve green transformation by developing environmental management capabilities and utilizing government support [45].
Early research on patent pledge financing focused on patents as an important intangible asset and their potential value in corporate financing, such as the economic value of patents and their impact on corporate performance [46]. Gradually, the research field expanded to examine how patents, as collateral, could facilitate enterprises to obtain financing, exploring the mechanisms and effects. Mann (2018) examined the role of patent collateral in financing innovation among public firms, questioning whether stronger creditor rights to patents primarily encourage or discourage financing [47]. As the knowledge economy rose and innovative enterprises increased, the patent asset pledge financing method received more attention. Scholars began to delve deeper into the operational modes, risk assessment, legal protection, and market reactions of patent pledge financing. Zhao and Liu (2020) analyzed eight indexes considering both the pledge patent value and the pledger’s credit value, proposing a prediction model for patent pledge financing [25]. Yang et al. (2023) explored how the age of firms affects their ability to obtain patent pledge financing, with findings suggesting variance based on the age of startups and their experience [48]. Zhang et al. (2024) explored the impact of multidimensional characteristics of the knowledge base on patent pledge financing within a systematic theoretical framework. In particular, they examined how patent pledge financing affects corporate innovation and how it can be better developed through legal and institutional environments [49]. Palangkaraya (2023) investigated whether patent pledges facilitate innovation, using matched control groups of not-pledged patents to analyze the effects [50]. With the development of big data and artificial intelligence technologies, researchers have begun to use more refined data analysis methods to explore the influencing factors and actual effects of patent pledge financing. For example, by evaluating the quality of patents, the credit record of enterprises, and the overall market environment, they constructed a more precise model for assessing the risks of pledge financing. Jiang et al. (2023) explored predicting financial distress by mining semantic features in patent texts, highlighting a methodology that, while straightforward, misses capturing finer details [51].
Scholars in the academic community have made significant contributions to the advancement and development of businesses through research in intellectual property pledge financing, green transition of small- and medium-sized enterprises (SMEs), and patent pledge financing, exploring the current state, influencing factors, model construction, and lessons learned in the field of intellectual property pledge financing. Faced with the demand for green transformation, some innovative SMEs in the construction materials industry have begun to explore using intellectual property as collateral for financing. By leveraging their patent rights as collateral security, these enterprises can obtain loans from financial institutions, thus introducing a new channel for financing. However, existing research rarely discusses the issues related to GPPFG cooperation for SMEs in the building materials industry, which is not conducive to promoting the green transformation and sustainable development of these enterprises.
Enhancing the enthusiasm of financial institutions for lending and the willingness of guarantee institutions to provide guarantees through the synergistic coupling among participating entities is key to solving the financing difficulties faced by SMBMEs. Against this backdrop, this paper utilizes evolutionary game theory as a foundation, under the premise of considering the characteristics of SMBMEs and the cooperative characteristics of the GPPFG. It seeks to find a stable cooperative state among SMBMEs, commercial banks, and third-party intermediary platforms. This study constructs a GPPFG cooperation model and explores the impact of changes in key factors on the strategic behaviors of the three parties. Finally, in light of the current stage of green transformation development of SMBMEs, it formulates corresponding recommendations for the GPPFG.
In summary, compared to previous scholarly research, this paper primarily differs in the following three aspects: Firstly, it considers the role of third-party intermediary platforms in evaluating, guaranteeing, and defaulting on patent transactions. By linking SMBMEs with commercial banks through the platform, a tripartite evolutionary game model is constructed to analyze the stability of the game participants’ strategies and the impact of variable changes. Secondly, it utilizes the first method of Lyapunov to conduct a stability analysis of the pure strategy equilibrium points in the replicator dynamic system and derives their strategy combinations. Lastly, it employs numerical simulation analysis in MATLAB to verify the model’s analysis effectiveness, ensuring the research process’s scientific rigor. Based on the analysis results, countermeasures and suggestions are proposed to advance the GPPFG.

3. Materials and Methods

Evolutionary game theory, which originated from biological evolutionary theory, centers on simulating the evolution of strategies in the process of natural selection. It posits that under conditions of bounded rationality and information, individuals optimize their strategies through imitation and learning. This theory emphasizes the dynamic learning and adaptation of strategies, differing from classical game theory which assumes complete rationality and information and is more aligned with real-world economic conditions. Two key concepts of evolutionary game theory are “Evolutionary stable strategy” and “replicator dynamics”. An evolutionary stable strategy describes a state where the dominant strategy of a population is resistant to new strategies, while replicator dynamics simulate the changes in the distribution of population strategies over time. If a strategy yields higher returns than the population average, it will be adopted by more individuals; otherwise, it will be eliminated.
In this study, evolutionary game theory aids in analyzing the strategic choices and interactions among SMBMEs, banks, and third-party intermediary platforms under conditions of bounded rationality and asymmetric information. In the analysis of the game model, we proceeded with simulation analysis. As an essential tool in evolutionary game analysis, simulation can assist researchers in gaining a deeper understanding of the dynamics of the game, predicting potential outcomes, and providing solutions to practical issues. This paper intends to simulate the complex interactions among the three parties on the MATLAB platform and test the model’s sensitivity to various parameter changes, thereby identifying the key factors that affect the stability and efficiency of GPPFG cooperation.
In the process of GPPFG cooperation, which centers around GPs as the core, multiple participating entities are involved beyond the financial transactions between SMBMEs and banks. These include guarantee, insurance, evaluation, and operational entities among GP intermediary service organizations. GP intermediary service platforms are conducive to reducing financing guarantee risks, and the effectiveness of risk reduction depends on the cooperative efficiency of all parties involved. Therefore, this paper constructs a theoretical framework and game model for GP pledge financing guarantees that introduces a third-party intermediary service platform, completing the marketization loop of GPPFG.
As shown in Figure 1, the GPPFG model includes entities such as SMBMEs, banks, third-party intermediary platforms, and the government. The third-party intermediary platform is composed of important institutional departments involved in the GPPFG process, forming a systemic intermediary service platform for the GPPFG, which includes guarantee institutions, insurance companies, GP evaluation agencies, and GP operation organizations. Additionally, the government is responsible for maintaining, guiding, and supervising the order of GP operations. From the perspective of the functions of participating entities, guarantee institutions enhance the possibility for SMBMEs to obtain financing from banks, lower the financing threshold for SMBMEs, and actively promote the development of the GPPFG business. Insurance companies also significantly share the risk burden of the GPPFG institutions.
At the same time, guarantee and insurance companies, GP evaluation agencies, and operation organizations together establish a contractual-type intermediary service platform. This enables the relevant entities involved in the GPPFG business to break down information barriers, mitigate risks caused by information asymmetry, and reduce the future cost of business development. Government departments within this pledge financing guarantee model only play a supporting, guidance, and routine supervisory role, and do not directly participate in the specific business of financing guarantees. The aforementioned “SMBME + bank + third-party intermediary platform (guarantee + insurance + evaluation + operation)” GPPFG model includes guarantee companies, insurance companies, GP evaluation firms, and GP operation agencies. This constructs a complete model chain, from financing application to valuation, guarantee, insurance, and eventual realization, ensuring the formation of a good cycle in the GPPFG market.

3.1. Model Assumptions

The participation process of third-party intermediary platforms in GPPFG mainly includes three main entities: SMBMEs, banks, and third-party intermediary platforms. SMBMEs with financing needs apply to banks for GP pledge financing loans and, to enhance their credibility, request pre-loan assessments and guarantees as well as insurance from third-party intermediary platforms. In the event of default or bad debts by the enterprise, the involved parties repay the losses proportionally according to the contract. Upon receiving an application, banks entrust GP appraisal agencies to thoroughly assess the value of the intellectual property. The decision to issue a loan is based on the guarantee ability of the guarantee company, the insurance provided by the insurance company, and the patent value assessment provided by the third-party institution. The third-party intermediary platform is responsible for the evaluation, insurance, and disposal of the defaulted collateral, addressing the two key challenges in GP pledge financing guarantee: value assessment and collateral disposal in default situations, ensuring the stable operation of the overall model and risk reduction. The model follows these assumptions:
Assumption 1: In the GPPFG model, the decisions of the game participants are boundedly rational and do not fully comply with the hypothesis of economic man; the SMBME may exhibit opportunistic behavior.
Assumption 2: SMBMEs, banks, and third-party intermediary platforms all make decisions aimed at maximizing their benefits. The guarantee institutions and insurance companies within the third-party intermediary platforms offer guarantee and insurance underwriting services to the SMBMEs, from which they must gain certain profits during the financing process.
Assumption 3: To leverage a larger amount of financing guarantee, SMBMEs use the help of guarantees to initiate bank loans. If an enterprise defaults, the guarantee institutions will use their funds to compensate for the majority of the losses, and the pledged intellectual property of the enterprise will be disposed of by the guarantee institution to repay the debt.
Assumption 4: Government departments merely play a supportive role in this model and do not directly intervene in the operation of GP pledge financing business. The choices of the entities evolve naturally in this environment.
The three participating entities randomly choose their game strategies, resulting in eight possible combinations of strategies. They are as follows: (On-time repayment, Cooperation, Cooperation), (On-time repayment, Cooperation, Non-cooperation), (On-time repayment, Non-cooperation, Cooperation), (On-time repayment, Non-cooperation, Non-cooperation), (Overdue default, Cooperation, Cooperation), (Overdue default, Cooperation, Non-cooperation), (Overdue default, Non-cooperation, Cooperation), (Overdue default, Non-cooperation, Non-cooperation).

3.2. Model Parameter Settings

In the process of the GPPFG, the loan amount requested by SMBMEs is denoted as L, and the value assessment of their GP is V. The success rate and return rate of the enterprise projects after obtaining the financing loans are a and b, respectively; the transaction fees paid by the enterprise to the third-party intermediary platform are f, including guarantee fees, insurance fees, and assessment fees. The potential change rate of the value of the GP during the guarantee period is n; if the enterprise defaults and cannot repay the principal and interest, it has to bear the corresponding loss of goodwill denoted as D. The financing interest rate offered by the bank is r, and the cost invested by the bank in the operation of GPPFG business is C1; if the enterprise repays the principal and interest on time, the bank gives a credit reward S to the enterprise. If the investment project fails and the enterprise cannot repay on time, the bank bears a loss proportion denoted as p. For the third-party intermediary platform, the cost invested during the promotion of the business is C2, and the proportion of the cooperation payment paid by the bank when the enterprise investment project is successful is m; when the enterprise fails to repay the financed loan, the third-party intermediary platform spends a cost C3 in trading and transferring the pledged default GP. After reaching a cooperation agreement between the commercial bank and the third-party intermediary platform, if one party fails to fulfill its obligations, it must provide compensation for breach of contract denoted as g to the other party. The specific settings of the parameters of the game model are shown in Table 1.

3.3. Model Construction

In this game model, three parties choose corresponding game strategies based on their willingness to cooperate. If the probability of an SMBME repaying on time is x, then the probability of defaulting is 1 − x; if the probability of a bank cooperating is y, then the probability of not cooperating is 1 − y; if the probability of a third-party intermediary platform cooperating is z, then the probability of not cooperating is 1 − z. The strategies available to the SMBME in the game model include timely repayment and defaulting. The cooperative behavior of the bank refers to giving rewards to SMBMEs that repay loans on time and paying the agreed cooperation reward to the third-party intermediary platform that completes the cooperation; otherwise, it is considered non-cooperative. The cooperative strategy of the third-party intermediary platform involves assessing the enterprise and its intellectual property to provide the bank with a more comprehensive credit risk evaluation of the enterprise and imposing certain penalties on SMBMEs that default; otherwise, it is considered a non-cooperative strategy. The game payoff matrix is shown in Table 2.

3.4. Model Analysis

3.4.1. Strategic Stability Analysis for SMBMEs

For SMBMEs, the expected benefits of choosing timely repayment versus default, as well as the average expected benefits (E11, E12, E1), are, respectively:
E11 = yz[(ab − 1 − r)L + S − f] + y(1 − z)[(ab − 1 − r)L + S] + (1 − y)z[(ab − 1 − r)L − f] + (1 − y)(1 − z)(ab − 1 − r)L
E12 = yz[(1 + ab)L − f − V − D] + y(1 − z)[(1 + ab)L − V] + (1 − y)z[(1 + ab)L − f − V − D] + (1 − y)(1 − z)[(1 + ab)L − V]
E ¯ 1   =   x E 11   +   ( 1     x ) E 12
The replicator dynamics equation for strategy choice in SMBMEs is:
F ( x )   =   d x / d t   =   x ( E 11     E ¯ 1 )   =   x ( 1     x ) [ S y   +   D z     ( 2   +   r ) L   +   V ]
The first derivative of x and the function G(y) are defined as follows:
d(F(x))/dx = (1 − 2x)[Sy + Dz − (2 + r)L + V]
G(y) = Sy + Dz − (2 + r)L + V
According to the stability theorem of differential equations, for SMBMEs, the condition for the probability of choosing to repay on time to be in a stable state must satisfy: F(x) = 0 and d(F(x))/dx < 0. Since G(y)/y > 0, G(y) is an increasing function of y. Therefore, when y = [(2 + r)L − V − Dz]/Sy*, G(y) = 0, and at this point d(F(x))/dx|x = 0 < 0, implying that x = 0 is the evolutionary stable strategy (ESS) for the SMBMEs. On the contrary, when y > y*, x = 1 becomes the ESS. The phase diagram of the strategic evolution of SMBMEs can be depicted as Figure 2.
Figure 2 shows that the volume VA represents the probability A that SMBMEs choose to default on payments past the due date. Conversely, the volume VB represents the probability B that they choose to make repayments on time. The calculation goes as follows:
VB = 0 1 0 ( 2 + r ) L V D ( 2 + r ) L V D z S d z d x = 2 D [ ( 2 + r ) L V ] 2 2 D S
Inference 1: The probability of SMBMEs choosing to make timely repayments is positively correlated with the reputation penalty, reputation rewards, and the assessed value of GP rights, and is negatively correlated with the interest rates on GP loans set by banks.
Inference 1 indicates that the greater the value of an SMBME’s own GP rights, the more it enables the company to fulfill its contractual obligations during the process of GPPFG. At the same time, because the reputation penalty for defaulting companies greatly influences the choice of behavioral strategies among SMBMEs, it prompts them to consider the consequences of such actions in the development of the market. In addition, when setting loan interest rates, banks need to consider the bearing capacity of SMBMEs to define reasonable rates and achieve a win–win situation.

3.4.2. Analysis of Bank Strategy Stability

The expected returns for the bank’s choice of cooperation or non-cooperation, as well as the average expected returns (E21, E22, E2), are as follows:
E21 = xz(Lr − C1 − S − m) + x(1 − z)(Lr − C1 − S + g) + (1 − x)z(−θL − C1 − m) + (1 − x)(1 − z)(g − θL − C1)
E22 = xz(Lr − C1 − g) + x(1 − z)(Lr − C1) + (1 − x)z(−g − θL − C1) + (1 − x)(1 − z)(−L − C1)
E ¯ 2   =   y E 21   +   ( 1     y ) E 22
The replicator dynamics equation for the bank’s strategy selection is:
F ( y )   =   d y / d t   =   y ( E 21     E ¯ 2 )   =   y ( 1     y ) [ ( L     θ L ) x z   +   x ( S   +   θ L     L )   +   z ( m   +   θ L     L )   +   g     θ L   +   L ]
The first derivative of y and the set J(z) are, respectively:
d(F(y))/dy = (1 − 2y)[(L − θL)xz + x( − S + θL − L) + z(−m + θL − L) + g − θL + L]
J(z) = (L − θL)xz + x(−S + θL − L) + z(−m + θL − L) + g − θL + L
According to the Stability Theorem of Differential Equations, in order to be in a stable state, the bank’s probability of choosing to cooperate must meet: F(y) = 0 and d(F(y))/dy < 0.
Since J(z) is a decreasing function, therefore when z = [x(L + S − θL) − g + θL − L]/[x(L − θL) + θL − L − m] ≡ z*, J(z) = 0, d(F(y))/dy ≡ 0,the bank cannot determine a stable strategy; when z < z*, J(z) > 0, d(F(y))/dy|y = 1 < 0, then y = 1 is an ESS; Conversely, y = 0 is an ESS. The phase diagram of the bank’s strategy evolution is shown in Figure 3.
According to Figure 3, the volume of the probability C that banks choose not to cooperate is VC, and the volume for D is VD, yielding the following calculation:
VC   =   0 1 g m S 1 x L + S θ L g + θ L L x L θ L + θ L L m d x d y = [ l n g m L θ L / S + θ L L m m + l n 2 g m L θ L + θ L L m S S ]
VD = 1 − VC
Inference 2: The probability of active cooperation by commercial banks is positively correlated with the default compensation and the pledge value of the GP, and negatively correlated with the credibility reward for timely repayment by SMBMEs.
Inference 2 indicates that when making strategic choices, commercial banks will consider the cost and potential expenses incurred during the process of GPPFG. When the default compensation is too high, the bank may choose to cooperate to avoid the potential expenses, and when the amount of credibility reward is substantial, it may opt not to cooperate to increase profit margins. Moreover, when the value of the pledged GP by the enterprise is high, it indicates a strong market competitiveness and potential for commercialization, which in turn reduces the risk level faced by the banks and increases the probability of cooperation.

3.4.3. Analysis of the Strategic Stability of the Third-Party Intermediary Platform

The expected revenues for the third-party intermediary platform choosing to cooperate or not to cooperate, as well as the average expected revenue (E31, E32, E3), are, respectively:
E31 = xy(f − C2 + m) + x(1 − y)(f − C2 + g) + (1 − x)y[f + m − C2 − (1 − θ)L + nV − C3] + (1 − x)(1 − y)[g + f − C2 − (1 − θ)L
E32 = xy(−C2 − g) + (1 − x)y[−g − (1 − θ)L − C2]
E ¯ 3   =   z E 31   +   ( 1     z ) E 32
The replicator dynamics equation for the third-party intermediary platform’s strategy choice, the first derivative of z, and the set H(y) are, respectively:
F(z) = z(1 − z)[(C3 − nV − (1 − θ)L)xy + (1 − θ)Lx + (m + nV − C3 + (1 − θ)L + C2)y + g + f − C2 − (1 − θ)L]
d(F(z))/dz = (1 − 2z)[(C3 − nV − (1 − θ)L)xy + (1 − θ)Lx + (m + nV − C3+(1 − θ)L + C2)y + g + f − C2 − (1 − θ)L]
H(y) = (C3 − nV − (1 − θ)L)xy + (1 − θ)Lx + (m + nV − C3 + (1 − θ)L + C2)y + g + f − C2 − (1 − θ)L
To attain a stable state of cooperation, the third-party intermediary platform must satisfy: F(z) = 0 and d(F(z))/dz < 0. Given that H(y)/y > 0, H(y) is an increasing function of y. Therefore, when y = [(1 − θ)Lx + g + f − C2 − (1 − θ)L]/[x(nV − C3 + (1 − θ)L) − m − nV + C3 − (1 − θ)L − C2] ≡ y*, H(y) = 0, d(F(z))/dz ≡ 0, the stable strategy cannot be determined; when y < y*, H(y) < 0, d(F(z))/dz|z = 0 < 0, z = 0 is an ESS; otherwise, z = 1 is an ESS. The phase portrait of the third-party intermediary platform is as illustrated in Figure 4.
According to Figure 4, if the probability that the third-party intermediary platform chooses not to cooperate is E and its volume is VE, then the volume of the probability that it chooses to cooperate is VF. The calculation is as follows:
VE = 0 1 0 C 2 + ( 1 θ ) L g f ( 1 θ ) L ( 1 θ ) L x + g + f C 2 ( 1 θ ) L x ( n V C 3 + ( 1 θ ) L ) m n V + C 3 ( 1 θ ) L C 2 d x d z = ( m + n V C 3 + ( 1 θ ) L n V ( C 2 + ( 1 θ ) L g f ) ( m + n V C 3 + ( 1 θ ) L C 2 ) ( 1 θ ) L m ( C 2 + ( 1 θ ) L g f ) 2 ( 1 θ ) L ( m + n V C 3 + ( 1 θ ) L C 2 ) 2 ]
VF = 1 − VE
Inference 3: The probability of a third-party intermediary platform choosing to cooperate is positively correlated with the default compensation, the sum of various fees paid by SMBMEs, the proceeds from the disposition of pledged GP in breach of contract, and the cooperation remuneration given by commercial banks. It is negatively correlated with the input cost in the process of GPPFG cooperation, as well as the disposal cost of the default GP.
Inference 3 indicates that before adopting a behavioral strategy, a third-party intermediary platform considers its own earnings against the cost of investment. When the cost of investment is higher than expected, the probability of choosing not to cooperate increases. Conversely, when the income derived from transaction fees paid by SMBMEs and the cooperation remuneration given by banks is higher than expected, the third-party intermediary platform is likely to adopt a proactive cooperative behavioral strategy.

3.4.4. Stability Analysis of Equilibrium Points in the Evolutionary Game System

From F(x) = F(y) = F(z) = 0, the following nine local equilibrium points of this game model can be obtained, which are (0, 0, 0), (0, 1, 0), (0, 0, 1), (0, 1, 1), (1, 0, 1), (1, 1, 0), (1, 0, 0), (1, 1, 1), (x^, y^, z^). (x^, y^, z^) is the mixed strategy of evolutionary games, whereas in multi-party evolutionary game systems, stable strategies only appear in pure strategies, hence the subsequent game analysis does not discuss mixed strategies. The Jacobian matrix of the three-party evolutionary game system is as follows:
J = 1 2 x S y + D z 2 + r L + V x 1 x S x 1 x D y 1 y L θ L z + θ L S L 1 2 y L θ L x z + x θ L S L + z θ L m L + g θ L + L y 1 y L θ L x θ L L m z 1 z C 3 1 θ L y + 1 θ L n V z 1 z C 3 n V 1 θ L x + m + n V C 3 + 1 θ L + C 2 1 2 z C 3 n V 1 θ L x y + 1 θ L x + + g + f C 2 + m + n V C 3 + 1 θ L + C 2 y 1 θ L
According to the method proposed by Lyapunov, the sufficient and necessary conditions for an evolutionary game to be asymptotically stable is that all eigenvalues of the Jacobian matrix have negative real parts. Thus, we analyze the stability of each equilibrium point, as shown in Table 3.
According to the stability judgment, it is known that the system has an evolutionary game equilibrium point (1, 1, 1), which eventually converges to SMBMEs repaying on time, and commercial banks and third-party intermediary platforms are willing to cooperate with each other, fulfill their promises, and provide high-quality services.

4. Simulation and Result Analysis

Based on the results of the evolutionary game above, to verify the effectiveness of the evolutionary stability analysis, we used MATLAB R2022b to simulate the dynamic evolution of the strategies of SMBMEs, banks, and third-party intermediary platforms under different parameter levels. This further proves the effectiveness of the evolutionary game model and shows that all different initial points will evolve towards the equilibrium point (1, 1, 1). Chen et al. (2022), Huang et al. (2018), and Xu et al. (2019) have summarized the parameter value range for the evolutionary game model simulation parameters [49,50,51]. The parameter values are adjusted according to the inequality relationship satisfied by the parameters. The parameter values of the model are shown in Table 4.
Figure 5 shows that there exists an evolutionary stable point (1, 1, 1), that is, the strategy combination of SMBMEs, banks, and third-party intermediary platforms of (On-time repayment, Cooperation, Cooperation) is the ESS combination. Therefore, this evolutionary result shows that under the participation of a third-party intermediary platform as a cooperative guarantee, SMBMEs repay bank loans on time, banks actively cooperate to issue loans, and the three parties jointly cooperate in the operation of the GPPFG business. It can be seen that the simulation analysis is consistent with the conclusion of the stability analysis of each party’s strategy and has effectiveness, which is of practical guiding significance for the promotion of the GPPFG business.

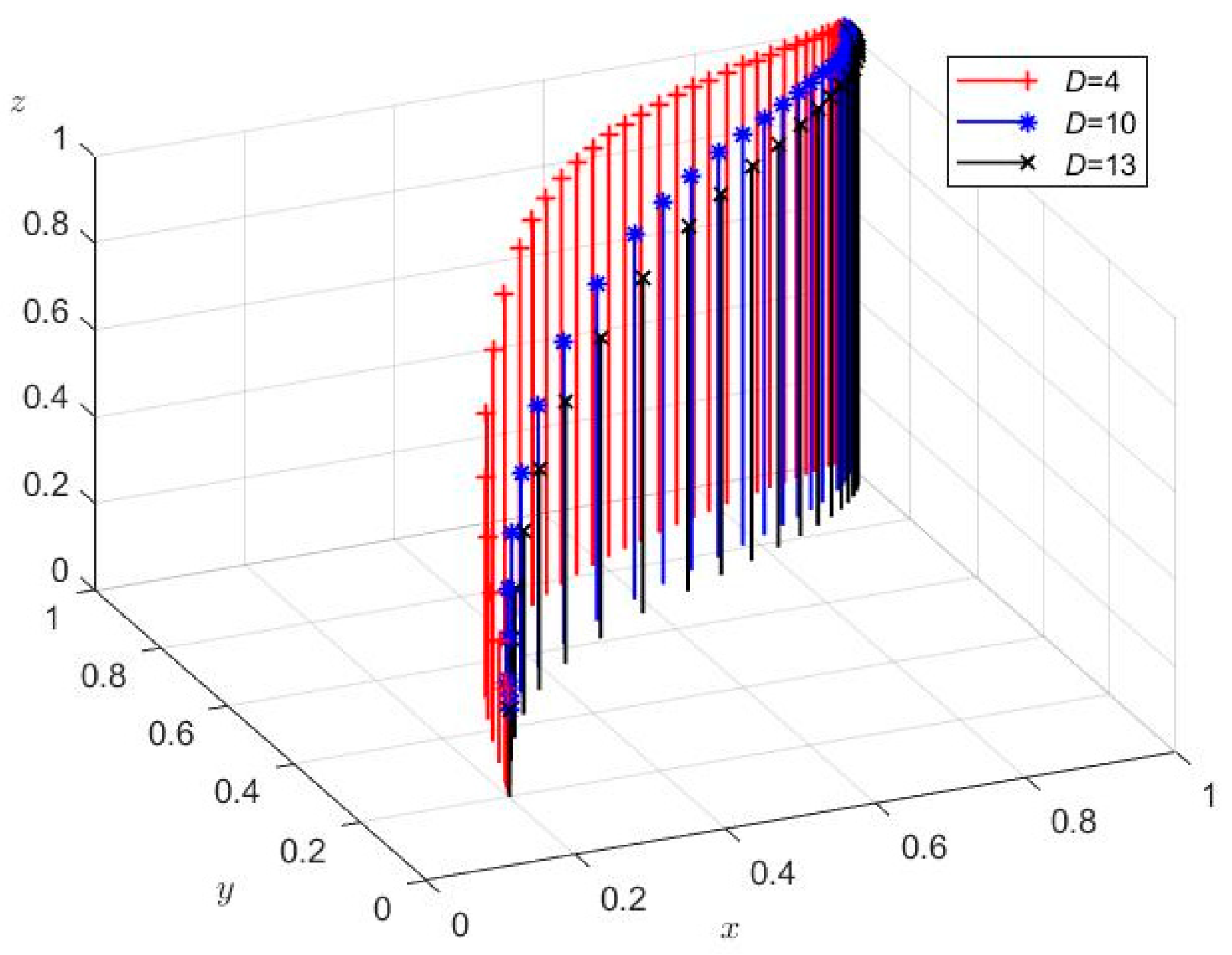
4.1. The Impact of Corporate Goodwill Loss on GPPFG Cooperation

As seen from Figure 6, as the reputation penalty D that SMBMEs need to bear for overdue defaults gradually increases, it can accelerate the evolutionary speed of SMBMEs choosing to repay on time. With the increase of D, the probability of SMBMEs repaying on time increases, and the probability of active cooperation by third-party intermediary platforms rises. This indicates that the loss of goodwill concerns the future development prospects of the enterprise. A higher possibility of goodwill loss forces SMBMEs to diligently build projects to repay loans on time, reducing their own risks, thereby prompting the participation of third-party intermediary platforms. Therefore, third-party intermediary platforms and banks should have an open and transparent data platform to timely feedback the operation of enterprise projects and loan repayments, allowing the market and the public to form better transparent supervision of such SMBMEs.

4.2. The Impact of Changes in Default Compensation between Banks and Third-Party Intermediary Platforms on GPPFG Cooperation

As seen from Figure 7, during the evolution process, as the default compensation g increases, the likelihood of default by a third-party intermediary platform in the process of promoting GPPFG business decreases. At the same time, the probability of commercial banks choosing to default decreases. Therefore, when banks or third-party intermediary platforms violate their prior contract stipulations and need to pay a certain default compensation, such a reward and punishment system can better compel third-party intermediary platforms to actively provide quality services and actively participate in the GPPFG business in cooperation with banks.

4.3. The Impact of Changes in the Value of GP on GPPFG Cooperation

Figure 8 analyzes the impact on the three-party strategy under different levels of GP value change rates, respectively setting the change rate of the GP of SMBMEs in the trading market as n = −0.15, 0.5, 0.7. Figure 8 shows that as the rate of change of the GP pledged by the enterprise turns from negative to positive and gradually increases, the willingness of third-party intermediary platforms to choose to provide services for SMBMEs and actively cooperate is higher, and they will reach a stable state of cooperation in a shorter time. This shows that the value changes of the SMBME’s GPs are related to the economic losses that the third-party intermediary platform may have to share for the company in the future, as well as the high and low of the GP market transaction amount. At the same time, it is also closely related to the enterprise risk considered by the bank. Therefore, the third-party intermediary platform should establish a complete and unified database, set up standard scientific evaluation criteria, and do a good job in the preliminary scientific and professional patent value evaluation, to reduce the depreciation of GP value in the financing guarantee process caused by evaluation problems.

4.4. Impact of Changes in Bank Loan Interest Rates on GPPFG Cooperation

An analysis is conducted on the strategy selection willingness at different levels of bank GPPFG interest rates. Figure 9 shows that prior to the three-party strategy becoming stable at 1, a higher loan interest rate will increase the bank’s willingness to participate in cooperation. However, for SMBMEs, the likelihood of choosing cooperation is relatively lower under high interest rate requirements. This requires a coordination of the interests between banks and SMBMEs, setting a reasonable interest rate for the GPPFG, ensuring that banks obtain reasonable and appropriate interest income while considering the debt-paying ability of the SMBMEs.

5. Discussion

The intellectual property pledge financing may involve multiple entities such as borrowers, lenders, and third-party intermediary organizations (or platforms). Studying the behavioral interactions among these entities and their influencing factors is of great significance for promoting stable and sustainable cooperation among the main bodies. Currently, scholars’ research on the game among multiple entities in intellectual property pledge financing mainly focuses on the game between financial institutions and enterprises, and the game between enterprises and third-party intermediary organizations (or platforms). However, the research on the game among financial institutions, banks, and third-party intermediary organizations (or platforms) is relatively weak [52]. Existing studies have shown that analyzing the game among multiple entities helps to achieve market equilibrium and improve market efficiency [53].
Third-party intermediary organizations provide professional services such as green patent evaluation, licensing, transfer, and guarantee, helping to solve the problems of green patent pledge financing. This paper contributes theoretically by exploring the financing challenges faced by SMBMEs during their green transformation process and proposes an innovative solution of incorporating third-party intermediary services to establish an efficient GPPFG cooperation mechanism. By constructing a tripartite evolutionary game model and conducting stability and numerical simulation analyses on this model, this paper advances theoretical innovation in the field of GPPFG. It compensates for the previous research’s insufficient attention to the involvement of third-party intermediary organizations in the cooperation of GPPFG for SMBMEs. Although some studies have proposed the important role of third-party intermediary service platforms in improving the enthusiasm of banks for lending and reducing financing risks [54], and have pointed out that the difficulty in evaluating and transferring intellectual property rights is a challenging risk issue that restricts intellectual property pledge financing [55], they have not proposed corresponding solutions, especially incorporating third-party intellectual property service platforms into the financing guarantee system, exploring how to promote the optimal cooperation of financing guarantee parties, and reducing the risks of intellectual property pledge financing [56].
In summary, this paper’s evolutionary game analysis of the GPPFG model system verifies the effectiveness of the overall model and provides references for effectively promoting risk diversification and upgrading the accessibility of enterprise GPPFG. By advocating for the strategy of encouraging multi-party cooperative efforts, this study aims to reduce financing risks and promote effective cooperation among banks, third-party intermediary platforms, and SMBMEs, thereby providing theoretical support for achieving a win–win situation. The in-depth analysis of the GPPFG cooperation mechanism in this paper also offers theoretical insights for similar financing issues in other industries, contributing to the broader promotion of green transformation and innovative development across industries.
Specifically, this paper starts from the third-party intermediary organizations assisting SMBMEs in the GPPFG, establishes a tripartite evolutionary game model, and explores the key influencing factors and mechanisms affecting the sustainable cooperation among enterprises, banks, and third-party intermediary organizations. Key influencing factors such as SMBMEs’ reputation loss, the penalty between banks and third-party intermediary organizations, the patent value fluctuation rate, and the impact of bank loan interest rates on GPPFG cooperation are discussed. Since the reputation loss of SMBMEs is positively correlated with the probability of SMBMEs repaying on time and the probability of third-party intermediary platforms actively cooperating, it is recommended to establish a transparent information platform to increase public and social supervision of enterprises, forcing enterprises to repay on time. Although previous studies have not mentioned the specific impact of enterprise reputation loss on intellectual property pledge financing cooperation, they have emphasized the importance of information transparency for cooperation, indirectly indicating the importance of enterprise reputation protection [23]. Different from existing studies that propose that banks establishing a reward and punishment mechanism helps to prevent enterprise default risks [57], this paper also proposes that through the contractual constraints between banks and third-party intermediary organizations, setting reasonable compensation for breach of contract can enhance the enthusiasm of banks for cooperation and the quality of green patent evaluation and transfer. In addition, considering the impact of the patent value fluctuation rate on GPPFG cooperation, it intuitively shows the adverse impact of patent devaluation on cooperation, highlighting the importance of accurate patent evaluation. This research result is consistent with previous studies, as previous evolutionary game studies have shown that the issue of patent devaluation has a negative impact on the decision-making of banks and enterprises in intellectual property pledge financing [58]. However, it should not be overlooked that we have creatively numerically simulated the positive impact of patent value enhancement on GPPFG cooperation. Finally, we propose that too high or too low loan interest rates are not conducive to GPPFG cooperation because, although higher loan interest rates will increase the willingness of banks to cooperate, they will inhibit the enthusiasm of SMBMEs.
The practical contribution of this article lies in proposing the introduction of third-party GP intermediary services to construct an efficient GPPFG cooperation mechanism. This mechanism helps alleviate the financial pressure on SMBMEs and provides robust financial support for their green transformation and sustainable development. Through in-depth analysis and recommendations, this article facilitates the formulation and implementation of related policies, thereby contributing to sustainable development. Furthermore, this paper verifies the effectiveness of the financing guarantee business model centered on third-party intermediary service platforms through simulation analysis, offering practical guidance for promoting risk diversification and enhancing the financing capacity of enterprises. It also builds a bridge between financial institutions and policymakers for SMBMEs, offering strong support in aspects such as fund mobilization, technology research and development, and market promotion. By establishing a comprehensive risk-sharing mechanism and a reward and penalty system, this paper aids in creating a stable and reliable financing environment, encouraging and promoting the innovation and development of small and medium enterprises. Ultimately, the recommendations and implementation strategies proposed in this paper provide a viable financing pathway for SMBMEs, opening new possibilities for their green transformation and contributing to the green and sustainable development of the entire construction industry and beyond.
This study’s results can provide management and policy improvement suggestions for the GPPFG of SMBMEs. Firstly, multiple participating entities should strengthen risk sharing and improve the risk system of the GPPFG, promote the establishment of a GPPFG model, and enhance the confidence of SMBMEs in applying for the GPPFG and the confidence of banks in issuing loans. The financing guarantee operations of government guarantee agencies should act as a catalyst to promote more banks and private guarantee agencies to participate in the GPPFG. Third-party intermediary service platforms should play a role in resource integration and diligently fulfill their evaluation, operation, and guarantee responsibilities, reducing the risk of GP and enterprises as well as financing cost issues, through bilateral market attributes, solving the dilemma of GP breach disposal and promoting the smooth development of innovation and entrepreneurship activities with the help of social capital.
Secondly, a sound reward and punishment mechanism for participants in the GPPFG should be established. Research results show that if banks and third-party intermediary platforms violate the previous contract provisions, they should pay reasonable compensation for breach of contract. In this way, it can encourage participating entities to actively cooperate. Thirdly, a GPPFG cooperation mechanism around the third-party intermediary service platform should be established. Third-party intermediary platforms should adapt to the operating conditions, profitability, and legal status, use status, and service life of the GP of financing SMBMEs, and develop appropriate financing guarantee models according to the financing conditions of different SMBMEs. Third-party intermediary platforms should establish a cooperative relationship of responsibility and profit sharing between guarantee companies, evaluation institutions, and operation institutions. Due to the large fluctuation in the value of GPs, to encourage evaluation institutions and operation institutions to cooperate with guarantee companies, an income sharing distribution method should be implemented. Through multi-entity cooperation within the platform, reduce the business operation costs of all parties through information and channel sharing. In solving the valuation difficulties, a scientific and professional GP evaluation talent team should be established, widely understand finance and law, and set up lectures with the help of relevant experts from universities, governments, and other social institutions. GP personnel should be regularly trained to improve the professional qualifications of evaluators. Cooperation with government intellectual property-related management departments, law firms, and other institutions should be strengthened to keep up with the latest changes in the field of GP valuation.
However, this paper also has some research limitations. For instance, while it has contributed through the construction of theoretical models and simulation analyses, it lacks empirical research or case analyses to validate the practical application effects of the model. The implementation details and effects of the GPPFG mechanism may vary across different regions and industries, and this study has not fully explored the impact of these differences on the execution of the mechanism. Additionally, although this paper underscores the importance of third-party GP intermediary service organizations and constructs a model to analyze their role, the research on critical issues such as how to enhance the operational efficiency of these platforms and mitigate their operational risks is not thorough enough. Future research should delve into the operational models and risk control mechanisms of third-party intermediary service platforms and how to leverage technological innovation (such as blockchain technology) to improve service efficiency and reduce costs. It should explore how to construct a more flexible and efficient intermediary service system to support the green transformation and sustainable development of SMBMEs.

6. Conclusions

In view of the increasing research on financial technology and intellectual property pledge financing, and the independent third-party intermediary service platform that fits the background of the times in the market operation process, this paper constructs a tripartite evolutionary game model between SMBMEs, banks, and third-party intermediary platforms. It analyzes the stability of the strategic choices of all parties, the stability of the equilibrium strategic combination of the game system, and the impact of key elements on financing guarantees. Through simulation analysis, it verifies the effectiveness of the analysis conclusions and concludes that the third-party intermediary service platform, as a breakthrough, deeply analyzes the conditions of the new model of intellectual property pledge financing guarantees, and puts forward relevant countermeasures and suggestions for the influence relationship of key factors and stability conditions.
This research work shows that the reputation penalty faced by SMBMEs and the increase in their own intellectual property valuation both promote the on-time repayment behavior in the financing guarantee process. However, an increase in the loan interest rate set by banks for intellectual property pledge financing is not conducive to their choice of this innovative financing method. In addition, banks are greatly influenced by the market value of the intellectual property pledged by enterprises when deciding whether to lend, tend to avoid risks and reduce costs when carrying out intellectual property pledge financing guarantee operations, and are more willing to carry out green patent pledge financing guarantee business when the loan interest rate is relatively high and there is third-party intermediary platform participation in the financing process. It is worth noting that SMBMEs can use the guarantee and insurance services of third-party intermediary platforms to reduce their own risks, increase the possibility of bank loans, and reduce the risk losses of all parties in the financing guarantee process [59]. This is because the third-party intermediary platform has a bilateral market attribute, which can reduce the evaluation risk and cost issues in the business development process, and solve the market transaction dilemma of breach of contract quality disposal. Interestingly, when it faces a penalty higher than its income in the financing guarantee business, it will play a more active role as an intermediary, promoting cooperation between commercial banks and small and medium building materials enterprises.

Author Contributions

Conceptualization, Z.M.; methodology, Q.Z.; software, J.M.; validation, J.Z.; formal analysis, Q.Z.; investigation, Z.M.; resources, J.Z.; data curation, J.M.; writing—original draft preparation, Q.Z.; writing—review and editing, Q.Z.; visualization, J.M.; supervision, J.Z.; project administration, Z.M.; funding acquisition, J.Z. All authors have read and agreed to the published version of the manuscript.

Funding

This work was supported by the National Natural Science Foundation of China [grant number 72004081], the Key Project of Philosophy and Social Science Research in Colleges, Universities in Jiangsu Province [grant number 2022SJZD017], and the Pre-Research Project of the Intellectual Property College at Jiangsu University [grant number ZY202303].

Data Availability Statement

The authors confirm that the data supporting the findings of this study are available within the article.

Conflicts of Interest

The authors declare no conflicts of interest.

References

  1. Feng, B.; Ying, X.; Feng, J. Study on the Value Evaluation of Intellectual Property Pledge Financing. Can. Soc. Sci. 2021, 17, 113–122. [Google Scholar] [CrossRef]
  2. Su, R.; Li, M.; Fang, Y.; Yang, C. Valuation Method of Intellectual Property Pledge Financing Based on Income Interval Analysis and Risk Adjustment Coefficient. Humanit. Soc. Sci. Commun. 2023, 10, 501. [Google Scholar] [CrossRef]
  3. Panda, B.; Joy, S. Intellectual Property Rights-Based Debt Financing to Startups: Need for a Changing Role of Indian Banks. Vikalpa 2021, 46, 143–152. [Google Scholar] [CrossRef]
  4. Owen, R.; Botelho, T.; Hussain, J.; Anwar, O. Solving the SME Finance Puzzle: An Examination of Demand and Supply Failure in the UK. Ventur. Cap. 2023, 25, 31–63. [Google Scholar] [CrossRef]
  5. Fischer, T.; Ringler, P. What Patents Are Used as Collateral?—An Empirical Analysis of Patent Reassignment Data. J. Bus. Ventur. 2014, 29, 633–650. [Google Scholar] [CrossRef]
  6. Wan, X.; Wang, K.; Fan, X.; Xu, W. Can Government Subsidy and Marine Carbon Capture, Utilization and Storage Technology Improve the Decision Level of Supply Chain Intellectual Property Pledge Financing? Ocean Coast. Manag. 2023, 240, 106663. [Google Scholar] [CrossRef]
  7. Abdin, J.; Sharma, A.; Trivedi, R.; Wang, C. Financing Constraints, Intellectual Property Rights Protection and Incremental Innovation: Evidence from Transition Economy Firms. Technol. Forecast. Soc. Chang. 2024, 198, 122982. [Google Scholar] [CrossRef]
  8. Bao, X.; Qu, Q.; Dong, Y.; Wang, Y.; Sheng, X. Risk Evaluation of Value Assessment in IPR Pledge Financing Based on Interval Value TOPSIS Method. In Proceedings of the 2015 International Conference on Logistics, Informatics and Service Sciences (LISS), Sydney, Australia, 24–27 July 2015; pp. 1–7. [Google Scholar]
  9. Xie, L.; Liu, G.; Liu, B. Patent Pledge Policy and Stock Price Crash Risk: Evidence from China. Res. Int. Bus. Financ. 2023, 65, 101967. [Google Scholar] [CrossRef]
  10. Ge, X.; Jin, Y.; Li, Q.; Yao, X.; Liu, S. Research on a Dynamic Evaluation of Financial Risks of Intellectual Property Pledge Financing of High-Tech Enterprises. Discret. Dyn. Nat. Soc. 2021, 2021, 2048811. [Google Scholar] [CrossRef]
  11. Nikitenko, S.M.; Mesyats, M.A.; Rozhkova, O.V. Intellectual Property as an Instrument of Interaction between Government, Business, Science and Society. IOP Conf. Ser. Earth Environ. Sci. 2017, 84, 012015. [Google Scholar] [CrossRef]
  12. Qian, K.; Shen, H.; Huang, Z. The Research Status and Development Trend of Intellectual Property Pledge Financing. Technol. Econ. 2013, 26, 51–55. [Google Scholar]
  13. Yu, M.; Li, B. On the Status and Scale Expansion of Intellectual Property Rights Pledge Financing of Enterprises in Our Country—In Perspective of High and New Technology Enterprise. J. Heilongjiang Adm. Cadre Coll. Politics Law 2013, 6, 61–63. [Google Scholar]
  14. Njatrijani, R.; Rahmanda, B.; Prananda, R.R.; Zaman, M.N.U. Business Development of Copyright and Fiduciary Guarantee in Indonesia. Int. J. Econ. Bus. Adm. 2020, 8, 278–284. [Google Scholar] [CrossRef] [PubMed]
  15. Yang, Z.; Shi, Y.; Li, Y. Analysis of Intellectual Property Cooperation Behavior and Its Simulation under Two Types of Scenarios Using Evolutionary Game Theory. Comput. Ind. Eng. 2018, 125, 739–750. [Google Scholar] [CrossRef]
  16. Qian, K.; Shen, H.; Huang, Z. Research on Evolutionary Game Analysis on the Intellectual Property Backed Loans of High-Tech SMEs. In Proceedings of the ICSSSM11, Tianjin, China, 25–27 June 2011; pp. 1–5. [Google Scholar]
  17. Dong, X. Types and Methods of Assessing the Value of Intellectual Property Pledge Financing. Acad. J. Manag. Soc. Sci. 2023, 5, 94–98. [Google Scholar] [CrossRef]
  18. Chen, B.; Wang, Y. High-Tech Small and Medium-Sized Enterprises Pledge Loans of Intellectual Property Rights Should Go Where. China Soft Sci. 2009, S1, 118–120. [Google Scholar]
  19. Santoso, M.G.; Dachyar, M. Modeling the Barriers and Enablers of Intellectual Property-Based Financing Scheme for Developing Economies. In Proceedings of the 11th Annual International Conference on Industrial Engineering and Operations Management, Singapore, 7–11 March 2021; pp. 1559–1571. [Google Scholar]
  20. Xin, W. Problems and Solutions in the Small and Medium-Sized Enterprise Intellectual Property Pledge Financing. In Proceedings of the 2nd International Conference on Information Science and Engineering, Hangzhou, China, 4–6 December 2010; pp. 2982–2985. [Google Scholar]
  21. Raymond, A. Intellectual Property as Collateral in Secured Transactions: Collision of Divergent Approaches. Bus. Law Int. 2009, 10, 27. [Google Scholar]
  22. Panda, B.; Joy, S. Intellectual Property-Based Debt Financing by Indian Banks: Scope and Challenges. IUP J. Bank Manag. 2019, 18, 32–44. [Google Scholar]
  23. Yan, H.; Wang, J.; Cui, J.; Yang, Z.; Ren, M. The Influencing Factors of Intellectual Property Pledge Loan Trust: A Social Network Theory-Based Experimental Study. Discret. Dyn. Nat. Soc. 2021, 2021, 4441406. [Google Scholar] [CrossRef]
  24. Chen, Z.; Zhou, Z. Problems and Suggestions on the Mode of Intellectual Property Financing of Small and Medium-Sized Technological Enterprises. DEStech Trans. Soc. Sci. Educ. Hum. Sci. 2017. [Google Scholar] [CrossRef][Green Version]
  25. Zhao, X.; Liu, Y. Empirical Prediction of Patent Pledge Financing of Pharmaceutical Enterprises—A Case Study in Jiangsu China. PLoS ONE 2020, 15, e0233601. [Google Scholar] [CrossRef] [PubMed]
  26. Feng, B.; Li, H.; Hui, Z.; Feng, J. Intellectual Property Pledge Value Evaluation for Listed Companies: A Case Study of Yunnan Baiyao Enterprise. High. Educ. Soc. Sci. 2021, 30, 10–20. [Google Scholar]
  27. Wang, S.; Luo, Y.; Luo, L. Study on Risk Evaluation of Intellectual Property Pledge Loan Based on Fuzzy Analytic Hierarchy Process. J. Phys. Conf. Ser. 2020, 1486, 042039. [Google Scholar] [CrossRef]
  28. Zhang, J. Risk Management on Intellectual Property Pledge Financing by Small and Medium S&T Enterprises—From the Aspect of Bank. Sci. Manag. Res. 2013, 31, 98–101. [Google Scholar]
  29. Zhang, J. The Study of Intellectual Property Pledge Financing Risk Evaluation Index. DEStech Trans. Soc. Sci. Educ. Hum. Sci. 2017. [Google Scholar] [CrossRef] [PubMed]
  30. Su, R. New Model of Intellectual Property Evaluation Based on Game Theory and Creditrisk+ Pledge Model. J. Hebei North Univ. 2013, 29, 49–58. [Google Scholar]
  31. Ren, Y. Study on Financial Model of Intellectual Property Rights Pledge of Technology-Based SMEs-Based on Shaanxi. Sci. Manag. Res. 2012, 30, 105–108. [Google Scholar] [CrossRef]
  32. Cheng, S.; Zhou, R. Research on Policy Tools and Modes in Intellectual Property Pledge Financing. East China Econ. Manag. 2013, 27, 159–166. [Google Scholar]
  33. Feng, X. Pledge Financing of Enterprise Intellectual Property in China and Corresponding Institutional Improvement. Hebei Law Sci. 2012, 30, 39–46. [Google Scholar]
  34. Wu, X.; Zhao, X.; Zhang, F.; Yang, W.; Cui, Y. Small and Mid-Sized Enterprise Intellectual Property Rights Financing Mode Analysis. In Proceedings of the 2012 International Symposium on Management of Technology (ISMOT), Hangzhou, China, 8–9 November 2012; pp. 421–425. [Google Scholar]
  35. Li, Y. Probe into the Intellectual Property Rights Pledge Financing and the Construction of Its Operating Environment. Sci-Tech Inf. Dev. Econ. 2012, 22, 104–106. [Google Scholar]
  36. Chen, H.; Zhang, M. Simulation Research of Evolutionary Game to Bank and Technological SME under the Pledge Financing Mode; Atlantis Press: Amsterdam, The Netherlands, 2016; pp. 928–933. [Google Scholar]
  37. Chen, C.; Yin, W. Research on Intellectual Property Financing of Small and Medium-Sized Enterprises. In Proceedings of the 2011 International Conference on Management and Service Science, Wuhan, China, 12–14 August 2011; pp. 1–4. [Google Scholar]
  38. Zhou, W.; Ouyang, W. Analysis of Industrial Intellectual Property Operation Service Platform Construction Based on the DART Model. Appl. Math. Nonlinear Sci. 2023, 8, 1951–1960. [Google Scholar] [CrossRef]
  39. Long, L. Japan’s Evaluation and Pledge of Intellectual Property Financing. J. East China Univ. Sci. Technol. (Soc. Sci. Ed.) 2009, 24, 79–85+99. [Google Scholar]
  40. Li, L.; Shi, J. The Risk Compensation Mechanism of Intellectual Property Pledge Financing: American Experience and Enlightenment. Proc. Int. J. Soc. Sci. Educ. Res. 2020, 9, 47–55. [Google Scholar]
  41. Marcello, G.; Mastiyanto, R.R. Intellectual Property as an Object of Banks Collateral in Startup Development in Indonesia (Comparation Study of Singapore and Malaysia). J. Priv. Commer. Law 2023, 7. [Google Scholar] [CrossRef]
  42. Xie, L. Financing Mechanism of Intellectual Property in the U.S. and Its Implication. J. Soc. Sci. Harbin Norm. Univ. 2010, 1, 138–142. [Google Scholar]
  43. Cheng, C.-H.; Tang, B.-J.; Cheng, Y.-R. Strategies and Tools for Small- and Medium-Sized Enterprises (SMEs) to Move toward Green Operations: The Case of the Taiwan Metal Industry. Sustainability 2024, 16, 4705. [Google Scholar] [CrossRef]
  44. Mazur, E. Green Transformation of Small Businesses: Achieving and Going beyond Environmental Requirements; OECD: Paris, France, 2012. [Google Scholar]
  45. Baranova, P.; Paterson, F. Environmental Capabilities of Small and Medium Sized Enterprises: Towards Transition to a Low Carbon Economy in the East Midlands. Local Econ. 2017, 32, 835–853. [Google Scholar] [CrossRef]
  46. Jarboe, K.P.; Ellis, I. Intangible Assets: Innovative Financing for Innovation. Issues Sci. Technol. 2010, 26, 75–80. [Google Scholar]
  47. Mann, W. Creditor Rights and Innovation: Evidence from Patent Collateral. J. Financ. Econ. 2018, 130, 25–47. [Google Scholar] [CrossRef]
  48. Yang, X.; Gu, X.; Yang, X. Firm Age and Loan Financing with Patents as Collateral of Chinese Startups: The Roles of Innovations and Experience. Econ. Innov. New Technol. 2023, 32, 343–369. [Google Scholar] [CrossRef]
  49. Zhang, Z.; Yang, X.; Yang, X.; Gu, X. The Effects of Knowledge Base Characteristics on Patent Pledge Financing: The Moderating Effects of Technological Munificence and Dynamism. J. Knowl. Manag. 2024, 28, 1228–1248. [Google Scholar] [CrossRef]
  50. Rassenfosse, G.; Palangkaraya, A. Do Patent Pledges Accelerate Innovation? Res. Policy 2023, 52, 104745. [Google Scholar] [CrossRef]
  51. Jiang, C.; Zhou, Y.; Chen, B. Mining Semantic Features in Patent Text for Financial Distress Prediction. Technol. Forecast. Soc. Chang. 2023, 190, 122450. [Google Scholar] [CrossRef]
  52. Guo, C. A Review of Multi-Agent Game in Intellectual Property Pledge Financing. J. Risk Anal. Crisis Response 2024, 14, 228–239. [Google Scholar] [CrossRef]
  53. Wang, R.; Sun, B. Risk Allocation of Intellectual Property Pledge Financing Based on Blockchain Technology: An Evolutionary Strategy Study. In Proceedings of the 2023 6th International Conference on Information Management and Management Science, Chengdu China, 25–27 August 2023; Association for Computing Machinery: New York, NY, USA, 2023; pp. 301–307. [Google Scholar]
  54. Berlinger, E.; Gosztonyi, M.; Havran, D.; Pollak, Z. Interpersonal versus Interbank Lending Networks: The Role of Intermediation in Risk-Sharing. Emerg. Mark. Rev. 2023, 54, 100989. [Google Scholar] [CrossRef]
  55. Kang, Y. Research on Intellectual Property Financing Mode of Technology-Based Small and Medium-Sized Enterprises. Financ. Eng. Risk Manag. 2023, 6, 34–42. [Google Scholar] [CrossRef]
  56. Talisa, R.; Badriyah, S.M. The Implications of Intellectual Property as Objects of Fiduciary Guarantee for Creative Economy Entrepreneurs. J. Daulat Huk. 2023, 6, 1–13. [Google Scholar] [CrossRef]
  57. Choi, J.; Choi, P.M. Do Bank Loans Curb Corporate Moral Hazard? J. Appl. Bus. Res. 2017, 33, 115–122. [Google Scholar] [CrossRef][Green Version]
  58. Qian, K.; Pan, Y.; Huang, Z.Q. Game Analysis of P2P Lending Signal Based on Patent Pledge. Soft Sci. 2018, 32, 108–112+118. [Google Scholar] [CrossRef]
  59. Yu, X.; Chen, H.; Xiang, K.; Wan, Z. Supply Chain Financing Mechanism with Guarantee Insurance. Manag. Decis. Econ. 2021, 42, 308–318. [Google Scholar] [CrossRef]
Figure 1. Diagram of GPPFG model involving third-party intermediary platforms.
Figure 1. Diagram of GPPFG model involving third-party intermediary platforms.
Buildings 14 02544 g001
Figure 2. Phase diagram of strategic evolution of SMBMEs.
Figure 2. Phase diagram of strategic evolution of SMBMEs.
Buildings 14 02544 g002
Figure 3. Evolutionary phase diagram of bank strategies.
Figure 3. Evolutionary phase diagram of bank strategies.
Buildings 14 02544 g003
Figure 4. The evolutionary phase diagram of third-party intermediary platform strategies.
Figure 4. The evolutionary phase diagram of third-party intermediary platform strategies.
Buildings 14 02544 g004
Figure 5. Results of 50 system evolutions.
Figure 5. Results of 50 system evolutions.
Buildings 14 02544 g005
Figure 6. Impact of changes in goodwill loss on GPPFG cooperation.
Figure 6. Impact of changes in goodwill loss on GPPFG cooperation.
Buildings 14 02544 g006
Figure 7. The impact of changes in default compensation between banks and third-party intermediary platforms on GPPFG cooperation.
Figure 7. The impact of changes in default compensation between banks and third-party intermediary platforms on GPPFG cooperation.
Buildings 14 02544 g007
Figure 8. The impact of changes in the value of GP on GPPFG cooperation.
Figure 8. The impact of changes in the value of GP on GPPFG cooperation.
Buildings 14 02544 g008
Figure 9. The impact of changes in bank loan interest rates on GPPFG cooperation.
Figure 9. The impact of changes in bank loan interest rates on GPPFG cooperation.
Buildings 14 02544 g009
Table 1. Settings of model parameters.
Table 1. Settings of model parameters.
ParameterDefinitionsParameterDefinitions
LThe financing amount applied for by SMBMEsC3The cost spent by the third-party intermediary platform in the process of GP trading and transfer
Vthe value assessment of their GPsgThe compensation for breach of contract paid by one party to the other after reaching a cooperation agreement between the bank and the third-party intermediary platform
a, bThe success rate and return rate of the enterprise projects after obtaining financing loansDThe loss of goodwill that the enterprise needs to bear if it defaults and cannot repay the principal and interest
fThe various fees paid by the enterprise to the third-party platformSThe credit reward given by the bank when the enterprise repays the principal and interest on time
rThe financing interest rate offered by the bank to SMBMEsθThe proportion of loss the bank bears if the project investment fails
C1The cost invested by the bank in the operation of the GPPFG businessmThe cooperation reward paid by the commercial bank to the third-party platform
C2The cost invested by the third-party intermediary platform during the operation of the GPPFGnThe change rate of the value of GP
Table 2. The mixed strategy game matrix for SMBMEs, commercial banks, and third-party intermediary platforms.
Table 2. The mixed strategy game matrix for SMBMEs, commercial banks, and third-party intermediary platforms.
Commercial
Bank
Third-Party Mediation Platform
Cooperation
(z)
Non-Cooperation
(1 − z)
SMBMEsOn-time repayment
(x)
Cooperation
(y)
(ab − 1 − r)L + S − f(ab − 1 − r)L + S
Lr − C1 − S − mLr − C1 – S + g
f − C2 + m−C2 − g
Non-cooperation
(1 − y)
(ab − 1 − r)L − f(ab − 1 − r)L
Lr − C1 − gLr − C1
f − C2 + g0
Overdue default
(1 − x)
Cooperation
(y)
(1 + ab)L − f − V − D(1 + ab)L − V
−θL − C1 − mg − θL − C1
f + m − C2 − (1 − θ)L + nV − C3−g − (1 − θ)L − C2
Non-cooperation
(1 − y)
(1 + ab)L − f − V − D(1 + ab)L − V
−g − θL − C1−L − C1
g + f − C2 − (1 − θ)L0
Table 3. Analysis of equilibrium point stability.
Table 3. Analysis of equilibrium point stability.
Equilibrium PointEigenvalues of the Jacobian MatrixStability Conclusion
λ1, λ2, λ3Sign of the Real Part
(0, 0, 0)L + g − θL, V − 2L − Lr, f − L − C2 + g + θL(+, +, +/−)Unstable Point
(0, 1, 0)θL − g − L, S − 2L + V − Lr, f − C3 + g + m + Vn(−, +, +)Unstable Point
(0, 0, 1)g − m, D − 2L + V − Lr, C2 + L − f − g − θL(+, +, +/−)Unstable Point
(1, 0, 1)C2 − f − g, g − S − m, 2L − D − V + Lr(−, +, −)Unstable Point
(0, 1, 1)m − g, D − 2L + S + V − Lr, C3 − f − g − m − Vn(−, +, −)Unstable Point
(1, 1, 0)S − g, f + g + m, 2L − S − V + Lr(−, +, −)Unstable Point
(1, 0, 0)g − S, f − C2 + g, 2L − V + Lr(+, +, −)Unstable Point
(1, 1, 1)−f − g − m, S − g + m, 2L − D − S − V + Lr(−, −, −)ESS
Table 4. Parameter value table.
Table 4. Parameter value table.
ParameterVLfrC1C2C3gDSθmn
Value20840.052213130.10.12.50.7
Disclaimer/Publisher’s Note: The statements, opinions and data contained in all publications are solely those of the individual author(s) and contributor(s) and not of MDPI and/or the editor(s). MDPI and/or the editor(s) disclaim responsibility for any injury to people or property resulting from any ideas, methods, instructions or products referred to in the content.

Share and Cite

MDPI and ACS Style

Mei, Z.; Zhou, Q.; Zhang, J.; Mao, J. Facilitating Green Transition in Small- and Medium-Sized Building Material Enterprises: Collaborative Support via Green Patent Pledge Financing Guarantees. Buildings 2024, 14, 2544. https://doi.org/10.3390/buildings14082544

AMA Style

Mei Z, Zhou Q, Zhang J, Mao J. Facilitating Green Transition in Small- and Medium-Sized Building Material Enterprises: Collaborative Support via Green Patent Pledge Financing Guarantees. Buildings. 2024; 14(8):2544. https://doi.org/10.3390/buildings14082544

Chicago/Turabian Style

Mei, Zhu, Qiaomei Zhou, Jingjing Zhang, and Junjie Mao. 2024. "Facilitating Green Transition in Small- and Medium-Sized Building Material Enterprises: Collaborative Support via Green Patent Pledge Financing Guarantees" Buildings 14, no. 8: 2544. https://doi.org/10.3390/buildings14082544

APA Style

Mei, Z., Zhou, Q., Zhang, J., & Mao, J. (2024). Facilitating Green Transition in Small- and Medium-Sized Building Material Enterprises: Collaborative Support via Green Patent Pledge Financing Guarantees. Buildings, 14(8), 2544. https://doi.org/10.3390/buildings14082544

Note that from the first issue of 2016, this journal uses article numbers instead of page numbers. See further details here.

Article Metrics

Back to TopTop