Next Article in Journal
Clustering Open Data for Predictive Modeling of Residential Energy Consumption across Variable Scales: A Case Study in Andalusia, Spain
Previous Article in Journal
Optimization of All-Desert Sand Concrete Aggregate Based on Dinger–Funk Equation
 
 
Font Type:
Arial Georgia Verdana
Font Size:
Aa Aa Aa
Line Spacing:
Column Width:
Background:
Article

Reliability Analysis of Degraded Suspenders of Long-Span Suspension Bridge under Traffic Flow Braking

School of Civil Engineering and Architecture, Xi’an University of Technology, Xi’an 710048, China
*
Author to whom correspondence should be addressed.
Buildings 2024, 14(8), 2333; https://doi.org/10.3390/buildings14082333
Submission received: 12 June 2024 / Revised: 18 July 2024 / Accepted: 25 July 2024 / Published: 28 July 2024
(This article belongs to the Section Building Structures)

Abstract

The suspender is a crucial and vulnerable component of large-span cable bridges, and its service performance inevitably degrades under environmentally corrosive media and traffic load. The long loading area of a large-span bridge provides the possibility for continuous traffic flow braking on the bridge. This study proposes a continuous braking model of traffic flow based on the driver’s emergency braking reaction time and a steel wire degradation model considering the stress distribution characteristics of steel wire bending in the cross-section to analyze the safety of degraded cable components. The degradation process and bearing capacity variation of the cable are accurately quantified, and the reliability of the degraded cable under the action of traffic flow braking is determined. The results show that the traffic flow braking action causes a remarkable bending stress response in the bridge cable that reaches 450 MPa, which is much larger than the normal acting time. Moreover, differences in the bending stress of the cross-sectional steel wire cause significant differences in the fatigue process of the steel wire in different layers of the suspender. The outermost steel wires begin to fail after 12 years, and their service life is considerably different from that of the interlayer wires. The severely degraded steel wires on the outside can easily break under the traffic flow braking action, but they have no noticeable effect on the suspender’s ultimate bearing capacity because of the Daniels effect. The increase in the cable force caused by traffic flow braking and the stress redistribution after the steel wires break have the most evident influence on the reliability of the structure. Due to the effects of traffic flow braking, the timing of suspender maintenance is advanced by 8 years.

1. Introduction

Floating or semi-floating systems are commonly adopted in large-span cable-stayed bridge superstructures. The main girders of such bridges are lightweight and have low longitudinal stiffness, making them prone to longitudinal movement under external loading. The reciprocating motion during long-term operation significantly affects driving comfort and the component’s fatigue life [1,2]. Traffic load is the main external load during the service life of a bridge; it subjects the bridge to the reciprocating effects of bidirectional traffic under normal operating conditions. In emergencies such as sudden accidents, the bridge may experience a superimposed response of continuous braking actions from vehicles. This scenario exacerbates the longitudinal response of the main girder and leads to extreme stress states in some components. For a long-span suspension bridge, suspenders are the crucial force transfer components; however, the cable forces and the bending stresses induced by traffic braking may cause sudden suspender failure that jeopardizes the operational safety of the bridge, particularly for cable components in a degraded state [3]. Therefore, conducting safety assessments of bridge components under extreme traffic conditions is crucial, and is valuable for enhancing the bridge’s operational maintenance.
As a key force-bearing component of cable-stayed bridges, bridge cables have a service life that is generally shorter than the design life of the bridge due to factors such as environmental corrosion and fatigue stress. In recent years, scholars have conducted significant research on suspender degradation mechanisms. Degradation involves various aspects, such as protection system failure, steel wire corrosion, and fatigue failure [4,5]. Betty et al. [6] conducted in-depth research on the degradation mechanism of high-strength steel wires in suspension bridges by studying the corrosion evolution of galvanized and ungalvanized steel wires under different environmental conditions. The findings showed that the uneven surface that develops on the steel wire during the corrosion process leads to a decrease in its elongation. Roffey et al. [7] indicated that localized pitting corrosion on the wires developed into cracks that led to a reduction in the tensile strength of the wires, as indicated by the inspection results of the Forth Road Bridge in Scotland. Degradation can be attributed to crack initiation and propagation caused by pitting corrosion, resulting in wire failure, which manifests as a decrease in the components’ load-bearing capacity. Zhou et al. [8] studied the cable breakage problem in large-span cable-stayed bridges under the combined effects of traffic and wind loads by analyzing the bridge response after cable breakage and parameters such as the fracture process, duration, and initial conditions. Li et al. [9] evaluated the service status of cables by comparing cable elongation induced by traffic, and established a degradation model for steel wire suspenders. In general, the mechanisms and evaluation methods associated with suspender degradation have been studied deeply, and most studies assume that the influencing factors of the degradation process are basically the same. However, different stress states may lead to significant bearing capacity differences among steel wires and further influence the cable components’ reliability, an aspect that has not been considered. Moreover, previous failure analyses of suspenders have been carried out based on the load effect of traffic flow under normal operations, neglecting the fact that the continuous braking of traffic has very different effects.
The traffic flow braking effect has also been a research direction in recent years. Ju et al. [10] used finite element analysis to study the dynamic response of bridges under braking and acceleration by considering the inertial force of the vehicle mass center and converting the absolute vehicle displacement to relative displacement. Yin et al. [11] and Fang et al. [12] assumed the braking force to be constant. They proposed a bridge response analysis method under uniform deceleration braking force and analyzed the impact coefficient corresponding to the concrete pavement layer during braking. Deng et al. [13] established a model and coupling relationship of the braking force acting on the bridge; they revealed that the impact coefficient generated by vehicle braking is significantly greater than that generated by uniform vehicle travel. Liu et al. [14] refined the vehicle braking response sequence in traffic flow by introducing the driver’s reaction sight distance to establish a continuous braking response model; the results indicate that the response of the key components on the bridge during braking may exceed the normal operational period. Yang et al. [15] simulated the traffic flow using vehicle columns, and the longitudinal displacement of the bridge under braking conditions was analyzed. All of the above studies indicate that the braking action of the traffic flow has a non-negligible impact on the response of key bridge components, which may result in increased response indicators for some members of the bridge. The increase in load response may lead to the failure of the member when the bearing capacity of the components decreases to a certain level. If the strength of the wire strands has significantly degraded, the braking action of the traffic flow may induce stress fluctuations, posing a challenge to component safety [6,16].
Component safety directly affects bridge operation. The existing research on cable reliability mainly focuses on the normal operation period, and considers the action of routine traffic flow load. In fact, the continuous braking behavior of the traffic flow on the bridge may lead to an increase in the suspender response, leading to significant changes in the axial stress and bending stress of the cable and resulting in safety risks, which can be easily overlooked during the operation and maintenance of the bridge. In order to further consider the effect of traffic flow braking on the safety of the suspender, this study involves an investigation of traffic flow braking, proposes a suspender degradation model, and discusses suspender reliability under traffic flow braking in more detail. First, the mechanical characteristics of suspension bridge suspenders in service are analyzed, and a traffic flow braking model based on the arrival process of traffic loads on the bridge is established, combining factors such as safe driving distances and braking reaction time. Then, a sophisticated suspender degradation model considering the stress distribution characteristics of the cable sections is proposed. Finally, based on a bridge–vehicle coupling analysis system, the response status of suspenders under traffic load braking is analyzed and the reliability of degraded cable components under traffic load braking is further evaluated. The research can provide a reference and guidance for the service safety assessment of large-span bridges.

2. Methodology

2.1. Bridge Suspender Stress Response

This study takes a single-span suspension bridge with a total length of 1452 m as the research object, as shown in Figure 1. A finite element (FE) model is established in ANSYS 18.2, as shown in Figure 2. The span of the main cable is 246 + 960 + 246 m. The full width of the girder is 30.0 m, and it is simplified to a single-beam model through its cross-section characteristics. The sag ratio is 1:10. The main cable consists of 104 strands, with a diameter of 127 mm and a standard strength of 1600 MPa. A total of 624 suspenders can be found at 78 unilateral lifting points. Each lifting point has 4 × 7 × 19Φ3 steel wires with a total diameter of 45 mm (Figure 3). The entire model consists of a pylon, girder, main cable, and suspender; the pylon and girder are simulated using the Beam 4 element, and the main cable and suspender are simulated using the Link 10 element. The FE model is modified according to the measured material characteristics and dynamic response.
Figure 1 and Figure 4 display the deformation of the suspender caused by the bridge’s dynamic response under external load. The anchor of the suspender generates a significant bending angle due to the relative movement between the main cable and the stiffened girder. It produces large bending stress for the suspender steel wires, easily leading to damage at the anchor. This has been proven to be a key factor affecting the suspender’s corrosion fatigue [17]. Most of the existing studies assume that the suspender maintains the same bending stress along the length direction and cross-section, which is inconsistent with reality. Because of its relatively large length and fineness, the variation in the suspender angle caused by the relative displacement between the cable and the girder is assumed to be a cantilever beam, as shown in Figure 4. According to cantilever beam theory, the bending moment of the suspender at any distance x is expressed as
M x = F y = E I d 2 y d x 2
where F is the axial force of the cable, E is the elastic modulus of the cable, and I is the bending inertia of the cable.
The bending moment and stress variation along the suspender length can be obtained by solving the differential equation. Then, it is assumed that the change angle generated by the cable end is Δ φ , and the circular sections I = π D 4 64 . The maximum bending normal stress is located at the edge of the section, where x = 0, and M (0) = Δ φ E I F . Equation (2) can be derived:
σ m a x = M x W m a x = 4 Δ φ E F / π D 2 = 2 Δ φ E σ a
where σ a is the axial stress, E is the elastic modulus of the steel wire, D is the diameter of the suspender, W is the modulus of the section, and W m a x = π D 3 / 32 .
The suspender diameter does not influence the maximum bending stress. However, its variation along the suspender length x direction accords with the exponential distribution characteristics. The suspender’s maximum bending stress is located at the root of the anchor and decreases rapidly along the length direction. The Shikoku Bridge Administration Bureau of Honshu conducted a bending test to compare the bending stress of the anchor head of the suspender with the theory [18]. The result proved that the bending stress is 30–50% of the theoretical value because of the friction between the steel wires. Therefore, the bending stress σ b can be calculated according to Equation (3):
σ b = 0.5 σ m a x
where σ m a x is the maximum bending stress.
As the vehicle bridge coupling analysis involves nonlinear analysis and iterative processing, the suspender is equivalent to a Beam element in the FE model that cannot consider the stress distribution in the cross-section. However, the suspender member is a parallel structure composed of multiple steel wires. As shown in Figure 5, the deformation of the steel wire must be consistent, and the axial stress is basically the same, while the distribution of bending normal stress in its section is not uniform. The bending stress of the outermost steel wire is large, whereas that of the inner steel wire is small. The outermost steel wire becomes the weakest link when the longitudinal displacement between the cable beams under vehicle load is noticeable. The normal stress in bending is calculated according to the position of the steel wire to consider the bending stress state of the steel wire at the disagreeing position using Equation (3). Moreover, the equivalent treatment can be performed as in Equation (4). The following crack propagation rate can be calculated correspondingly.
σ x = σ 1 + σ 2 2 ,   σ 1 = x d D σ m a x ,   σ 2 = x + d D σ m a x
where σ 1 and σ 2 are the stresses on both sides of the section, D is the diameter of the suspender, and d is the diameter of the steel wire.
The location near the anchor with significant bending stress must be considered in the analysis of the suspender degradation process, and the pitting pit in this area should be taken as the crack initiation location. The long-span bridge has a large loading length and a long vibration response decay period. The vehicle load characteristics and their effects increase significantly under continuous coupling superposition. Under normal circumstances, the sliding friction between the wheel and the ground is relatively small, and there is interaction between the two; the vibration response of the bridge is limited; and the bending stress of the cable is within the range of normal operation. However, when a sudden accident occurs on the bridge, continuous traffic braking behavior may occur, and the braking force effect of one vehicle is superimposed onto others, which greatly increases the relative displacement between the cable beams and the bending stress of the main cable. When the steel wire of the suspender degrades to a certain extent with the increase in service time, the larger bending stress may lead to fracture failure. Thus, degraded suspenders under traffic flow braking should be further analyzed.

2.2. Traffic Load Braking Model

Traffic load is the main excitation during the service life of bridges. It causes longitudinal and vertical motion responses under continuous vehicle movement. For large-span bridges, the ratio of constant to live load is relatively high. The axial stress increment on components such as hangers and main cables due to traffic load is small under normal working conditions, whereas the relative motion between main cable and girders caused by vehicle movement can result in noticeable bending stress on suspender hangers. However, the bending stress amplitude caused by the longitudinal motion of the main girder is relatively limited because of bidirectional traffic loading and the distribution of vehicles across the entire bridge. When vehicle braking occurs, the impact force generated is significant, particularly when the distance between vehicles is short. The emergency braking of the front vehicle can cause continuous braking of the rear vehicle, resulting in the accumulation of braking effects.
The traffic load information used in this study was collected by a traffic monitoring system for a month, and included parameters such as axle number, axle distance, axle load, and vehicle speed [19]. Figure 6 shows the hourly traffic volume after processing. The traffic flow data exhibit significant periodic variations, with a notable decrease in traffic volume during nighttime. It can also be seen from Figure 6 and Figure 7 that the peak traffic periods mainly occur from 09:00 to 13:00 and from 16:00 to 18:00. Two-axle vehicles and six-axle vehicles constitute the main vehicle types in the overall traffic volume. The variation pattern of the two-axle vehicle traffic aligns with the overall traffic volume, whereas the traffic volume of six-axle vehicles remains relatively stable. In terms of different lanes, two-axle vehicles dominate the overtaking lane, accounting for 92.31% of the total; the slow lane is mainly occupied by two-axle vehicles and six-axle vehicles, accounting for 49.32% and 44.57%, respectively. The traffic characteristics of this road are correlated with the economic features of the region, in which large vehicle operations are not time-restricted because of economic demands, thereby resulting in a relatively stable overall proportion.
Traffic flow appears to be in a continuous motion state when no blocking factors such as accidents in road traffic exist. Continuous traffic flow can be described by traffic volume, flow speed, and flow density. Increasing the flow density within a certain range can enhance the total traffic volume on the road. However, increasing the flow density beyond this range can cause congestion, thereby reducing traffic flow. The speed–density linear relationship model proposed by Greenshields can effectively simulate the variation in the traffic flow parameters, as shown in Equation (5) [20]. The variation in traffic volume and flow density can be obtained by combining the relationship between the three parameters of traffic flow. When the flow density is low, the vehicles on the road are in a free-movement state; when the flow density is high and traffic congestion occurs, the flow speed v tends to 0 km/h. Based on the known traffic volume and the speed of the data collected, the corresponding traffic density can be obtained by conducting statistical analysis.
Q = K v f 1 K K j = K j v 1 v v f
where Q is hourly traffic volume, K is traffic density, v is traffic speed, v f is design speed, and K j is jam density.
Many factors may have an impact on vehicle braking such as tires, temperature, ground surface and vehicle weight. However, due to the complexity of highway traffic vehicles, including cars, off-road vehicles, buses, and trucks with multiple axles, these related factors vary when affected by the external environment. Their complex change rules are difficult to test in refined simulation analyses due to the large computation required. At present, the basic considerations of vehicle bridge analysis systems are vehicle type, weight, axle distance, and vehicle speed [21]. In order to simplify this, vehicle deceleration velocity was selected to simulate braking behavior, which can be easily connected to vehicle weight and used to simulate the braking effect of vehicles. Vehicle deceleration velocity is a simplified consideration based on an ideal ground surface; this is also a common practice in existing studies [11]. Based on this, the related key parameter is to determine the safe braking distance required for traffic flow braking behavior.
When driving on highways, the vehicle’s only option is to apply the brakes when obstacles, road damage, or stationary vehicles ahead are encountered without the possibility of changing lanes to bypass them. The following vehicle takes corresponding reactive measures when a vehicle encounters a sudden accident and needs to stop urgently. The driver’s reaction process comprises four stages, including detecting the stopped vehicle ahead, taking action, braking, and ultimately coming to a stop, which are then repeated by subsequent vehicles. Figure 8 illustrates the braking behavior of vehicles. Vehicles must come to a complete stop before reaching the obstacle to ensure safety. The distance covered by these four stages constitutes the minimum distance required for vehicles to stop safely, referred to as the stopping sight distance, which can be calculated using Equation (6). In a state of safe driving, vehicles should maintain a safe stopping distance from the vehicle in front.
S = S 1 + S 2 + S 3 + S 4 = v t 1 + v t 2 + 1 2 v t 3 + v d t 4
where t 1 is the driver’s emergency braking response time, which approximately follows a lognormal distribution; t 2 is the time for taking measures; t 3 is the braking to stop time of the vehicle; and t 4 and v d are the driver’s reaction time and driving speed in the blocked state.
In order to simulate the braking process, the perception–reaction time and the speed during the time of taking measures remain unchanged during this process. The American Association of State Highway Workers stipulates that the driver’s judgment time and action time are 1.5 and 1 s, respectively [22]. Brunson et al. [23] showed that the driver’s emergency braking response time approximately follows the lognormal distribution, in which t 1 is approximately 1.36 s. In addition, the driver needs at least a perception–reaction time of t 2 = 0.4 s to take braking measures. The braking distance of the vehicle is related to the braking force; when the reaction time is short, the emergency braking is fast, and the brake deceleration is generally 6.86 m/s2 [24,25]. When the reaction time is sufficient, the braking behavior is usually slow, and the brake deceleration is small, approximately half of the fast braking. Therefore, the braking time t 3 and corresponding distance are calculated according to the vehicle speed. The safe stopping distance of the vehicle braking at different speeds is determined based on Equation (6). Then, in the simulation of traffic flow braking, it is assumed that the vehicle enters the braking process after reaching the permissible safe stopping distance, and the continuous braking action of subsequent vehicles is simulated accordingly.

2.3. Reliability of Degraded Suspender

Cable components such as suspenders generally degrade because of the action of environmental corrosion and load fatigue [26]. As shown in Figure 9, their failure process can be divided into three parts: (1) Uniform corrosion and pitting corrosion are developed. Uniform corrosion directly causes a reduction in the wire diameter. The reduction degree is roughly equal along the length of the wire, and the pitting is randomly distributed on the surface of the wire. (2) Pits turn into fatigue cracks. When the pits reach a certain depth, they turn into cracks. (3) Fatigue cracks develop. Cracks continue to expand under the stress cycle caused by live load operation. The failure of the steel wire occurs when the cross-section loss reaches a certain degree.
The uniform corrosion of the high-strength steel wire includes steel coating corrosion and matrix corrosion, whereas pitting corrosion can be calculated by the uniform corrosion depth and pitting coefficient Λ(t) based on block analysis. Existing studies have presented the time-varying characteristics of uniform corrosion and pitting depth through accelerated corrosion tests [27]. Depth transforms into a crack when it reaches a certain threshold. According to the theory of fracture mechanics, the crack propagation rate depends on the stress intensity factor value K of the crack, which is determined by the load, length, position, and geometry parameters. The suspenders mainly bear the axial stress caused by the load and the bending stress caused by the relative displacement. The constitutive relation of linear elasticity is linear. Thus, the crack’s stress intensity factor can be calculated by the superposition principle. Under the combined action of axial stress and bending stress, the stress intensity factor of the cylindrical member can be calculated according to Equation (7):
Δ K = φ a x i a Δ σ a π a + φ b e n d i n g a b Δ σ b π a
where a is the crack depth, b is the diameter of the steel wire, Δ σ a is the axial stress amplitude, Δ σ b is the bending stress amplitude, and φ a x i a , φ b e n d i n g are the calculation coefficients of axial stress and bending stress, respectively.
However, for the concrete steel wire, the normal stress of the single-steel wire section is basically the same sign because of the cross-sectional stress distribution’s effect. The crack growth rate can be calculated using stress intensity factor K , as in Equation (8):
d a d N = C Δ K m
where a is the crack depth, C and m are the parameters of the Paris–Erdogan model, Δ K is the stress intensity factor range, and N is the number of stress cycles.
Mayrbaurl [28] asserted that the critical relative crack depth conforms to the lognormal distribution with a mean value of 0.390 and a coefficient of variation of 0.414, and the maximum critical relative depth is 0.5 based on the test. In order to consider the failure process, this study takes toughness as the criterion for the ultimate strength of the high-strength steel wire [29], as shown in Equation (9):
σ u = K C φ a c , b c , D π a c
where φ a c , b c , D is the calculation coefficients of the crack, a c   and   b c are the critical crack depth and width, respectively, and K C is the fracture toughness [30].
The pitting shape of the steel wire is generally considered oval, and its development state is shown in Figure 10. Based on the basic parameters of the ellipse and the circle equation, the left side of the pitting edge focus ( x A , y A ) can be obtained, as shown in Equation (10):
x A = b 2 D + b b 2 D 2 + 4 a 4 4 a 2 b 2 2 a 2 b 2 y A = D x A x A 2
The loss area of the steel wire section can be obtained using the integral method.
A l o s s = A 1 + A 2 = 2 0 x A D x x 2 d x + 2 x A b a b b 2 x 2 d x
As shown in Figure 10, the ultimate bearing capacity of the steel wire is
r = A s A l o s s σ u
where σ u is the ultimate stress strength, A l o s s is the loss area of the steel wire section, and A s is the area of the steel wire section.
For the bridge suspender, the bearing capacity follows the Daniels effect [31,32], which can be represented as Equation (13):
F u = m a x n m F i
where n is the number of steel wires, m is the number of broken steel wires, and Fi is the ultimate bearing capacity of ith steel wire.
According to the characteristics of its bending stress distribution, the bending response under the vehicle may lead to the breakage of most outer steel wires, thereby causing the stress redistribution of the cable body section. Moreover, the stress response of the other steel wires increases, thereby affecting the reliability of the suspender.
For the whole service time, the status of the suspender is the relationship between the ultimate bearing capacity and load. Therefore, the corresponding limit state equation is established as Equation (14) [16,33]. The deformation under traffic braking significantly increases the axial and bending stress, thereby seriously increasing the stress state of the suspender cross-section. The corresponding reliability index can be calculated as follows [34]:
Z = g t = R t S t
where R t is the random variable of bearing capacity, and S t is the random variable of the load.
Correspondingly, the failure probability of the suspender can be expressed as
P f g t < 0 = P R t S t < 0
Bridge evaluation mainly considers the relationship between the structural reliability index and the target reliability index. In order to ensure bridge operation safety, the bridge components are required to meet the target reliability index level during the operation period, which can be calculated according to the failure probability of the structure using Equation (16). Commonly used reliability calculation methods are the JC method, response surface method, and Monte Carlo method. The calculation method used for the reliability index in this paper is the importance sampling method based on the Monte Carlo method, which is suitable for structural reliability analysis when the random variables are arbitrarily distributed [31].
β = Φ 1 1 P f
where Φ 1 is the inverse function of the standard normal distribution.
With the adoption of the importance sampling method based on the Monte Carlo method, we are able to more accurately simulate the various random variability factors that a bridge may encounter in the actual service environment, such as load uncertainty, fluctuations in material properties, and the effects of environmental erosion. This method effectively captures the effects of these random variables on the overall reliability of the degraded suspender through the generation and simulation of a large number of random samples, thus improving the accuracy and reliability of the assessment results.

2.4. Assessment Step

Based on the above analysis method, the reliability analysis and evaluation of suspender components under traffic flow braking can be realized. A flowchart of the analysis steps is shown in Figure 11, and the detailed procedure is as follows.
Step 1: Obtaining the traffic load characteristics (vehicle speed, axle load, axle distance, etc.) and normal operation traffic load through the monitored data using the sampling method. Then, the key parameters of the braking model are determined based on braking response, action, and vehicle deceleration time to simulate the most unfavorable conditions, which would be used to obtain the bridge dynamic response.
Step 2: The dynamic analyses are conducted by inputting the stochastic traffic flow load from step 1 into the established vehicle bridge analysis system. Thereafter, the suspender stress time history is transformed into hourly stress intensity factor ranges and corresponding cycle numbers using the rain flow counting method.
Step 3: Based on the results from step 2, the initial damage and crack growth are calculated using Equations (7)–(13). Then, the iterative computation from step 3 to step 4 is conducted until the steel wire fails. The corresponding time-variant bearing capacity of the degraded suspender can be obtained.
Step 4: The reliability index of the suspender under traffic flow braking can be calculated using Equation (12).

3. Results and Discussion

3.1. Braking Effect

Figure 12 illustrates the maximum, minimum and average hourly traffic weights. Figure 13 illustrates the distribution of the vehicle speed, showing that it is concentrated in the range of 40 to 160 km/h. The weight of the vehicle is undoubtedly related to the braking force and affects the braking effect. The speed of the vehicle determines the braking distance and also affects the braking effect. First, single-vehicle loads are analyzed to examine the sudden change in cable stress caused by vehicle braking. The vehicle data are applied to the vehicle bridge analysis system [14], and the shortest suspender in the mid-span is selected as the object to study its stress response, which is mainly due to its short length inducing obvious bending stress, according to Equation (2). Figure 14 illustrates the axial and bending stress response of cables under a 30 t three-axle vehicle at different braking positions. The maximum bending stress occurs when the vehicle brakes at 0.75 L, reaching 130 MPa, whereas the minimum bending stress occurs at 0.375 L, measuring 112 MPa. All of these values are significantly greater than those under the normal operating time bending stress response, proving that the braking force of the vehicle can induce a sharp increase in bending stress. The braking location of the vehicle also results in significant differences in the bending stress.
Figure 15 illustrates the braking effects at different vehicle speeds. Under normal vehicle operation, the maximum bending stress linearly increases with increasing vehicle speed. However, the braking effects at different vehicle speeds exhibit complex variations. For braking at 0.75 L, the maximum bending stress in the suspender occurs at a speed of 70 km/h; for braking at 0.5 L, the maximum bending stress is observed at a vehicle speed of 120 km/h. The above conclusions indicate that the bending stress under vehicle braking is larger than the running vehicle, and the most unfavorable speed for different braking positions is not consistent.
Consequently, the suspender responses under regular traffic flow conditions and traffic flow braking are also obtained using the established vehicle bridge analysis system, as shown in Figure 16 and Figure 17. The continuous braking effect of the traffic flow is significantly greater than that of single vehicles. Compared with those under normal traffic flow conditions, the maximum axial stress and bending stress under continuous braking reach 415 MPa and 450 MPa, respectively. Given the large proportion of dead loads in long-span bridges, the braking effects of traffic flow mutually influence one another. Their effects are not added linearly, but rather increase the overall vibrational response. On the one hand, the braking effect of the traffic flow increases the bending angle of the suspender; on the other hand, the axial stress of the suspender increases obviously due to the large number of on-board vehicles (the increase in the live load) and the deformation of the main cable.

3.2. Suspender Reliability

The axial and bending stresses caused by the daily action of traffic flow are used to calculate the stress variation amplitude of the suspension cable based on the degradation model of the cable components. During this process, the uneven bending normal stress acting on the steel wire section is calculated according to the linear distribution law, and it is equivalently processed to calculate the fatigue crack propagation of the suspension cable steel wire. As shown in Figure 18, the fatigue crack developments of steel wires at different positions have significant differences. The outermost steel wire bears the greatest bending stress and fails after 12 years. The inner layer of the steel wire has a small bending stress and small stress amplitude caused by the axial load (because of the small ratio of live load to dead load). Thus, the steel wire inner layer has a much longer service life than the outer layer.
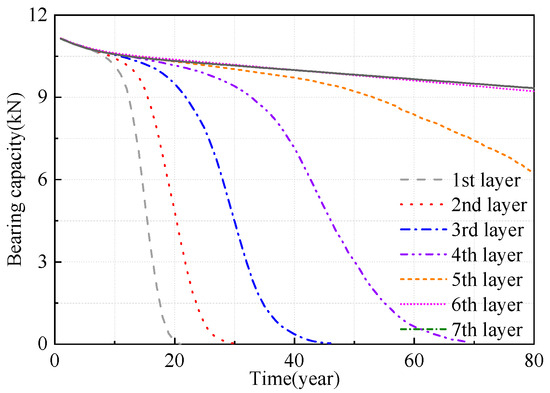
Figure 19 shows the distribution of broken steel wires in the outer layer during normal service life. The ratio of broken wires rapidly increases with the service time once they start to break, and the dispersion of the crack depth distribution also becomes greater. Then, based on this, the life of the steel wires in other positions can be calculated, and the average bearing capacity can be obtained according to Equation (15), as shown in Figure 20. The bearing capacity degradation processes of the inner and outer layers of steel wire are obviously different. The suspenders’ bearing capacities, considering the Daniels effect, are shown in Figure 21. It can be seen that the bearing capacity declines with the progression of the wire degradation process. Before the fracture occurred, the ultimate bearing capacity decreased to 81% of the initial value and its decline rate basically remained stable, although the steel wire continued to degrade and eventually failed.
In view of the failure characteristics of steel wire caused by bending stress, the steel wire at the center of the cable has low bending stress and is close to the normal working state in terms of the stress state, whereas the outer layer of the steel wire is highly prone to failure. The working status of steel wires under traffic braking force are calculated using Equation (9). Figure 22 shows the variation rule of the suspender bearing capacity and the number of broken wires. Compared with regular traffic, traffic flow braking will increase the number of broken wires, mainly because the steel wires in the outer layer are seriously degraded and can break easily under large bending stress. However, due to the Daniels effect [35], the suspender bearing capacity remains almost unchanged, even though steel wire breakage occurs; this is because the suspender steel wire can be regarded as a parallel structure showing coordinated deformation under load. Steel wires with small bearing capacity are always the first to break when the ultimate bearing capacity is far from being reached. Seriously degraded steel wires contribute little to the suspender’s ultimate bearing capacity. Even so, the cable force increment caused by stress redistribution and traffic braking poses a challenge for the degraded suspender. Figure 23 shows the time-varying suspender’s reliability under regular traffic and traffic braking conditions. Combined with the operation and maintenance of the actual cable degradation process, this study divides the service period into four levels based on the reliability index. Under regular traffic load, routine observations and regular inspections are recommended throughout the design life (26 years). In this period, the reliability index of the suspenders remains at a high level. However, the bridge requires special attention after 18 years of operation when traffic flow braking is considered. During this period, suspenders with severe performance degradation need to be inspected using special equipment or means to evaluate operational safety and must be promptly repaired or replaced. The difference in the bearing capacities of steel wires in different layers gradually increases, making the safety of suspender operation more uncertain. The traffic braking effect considerably increases the risk of suspender failure.

4. Conclusions

In this study, the reliability of degraded cables under traffic load braking is examined. A traffic flow braking model and the stress characteristics of the cable cross-section are introduced into a reliability analysis of degraded suspenders and validated using a prototype bridge. The main conclusions are as follows:
  • A continuous braking model based on simplified driver recognition, reaction time, and action time is established to calculate the safe reaction distance at different vehicle speeds. Moreover, a steel wire degradation model is established that considers the stress distribution characteristics of steel wire bending in the cross-section, which can be further used to analyze suspender damage under traffic flow braking;
  • The braking force of vehicles can induce a sharp increase in the suspender bending stress, and this is related to the vehicle speed and braking location. The maximum bending stress occurs when a vehicle brakes at 0.75 L, but the most unfavorable braking speed corresponding to different braking positions is not consistent. The maximum bending stress under continuous braking reaches 450 MPa and is far greater than the braking effect of a single vehicle;
  • Bending stress near the anchoring area is the main reason for the low fatigue life of steel wires. The differences in the bending stresses of steel wires in different layers mean that their service lives differ significantly. Traffic braking causes seriously degraded steel wires in the outer layer to break because of bending stress. The increase in the cable force caused by traffic flow braking is the main problem that should be considered when evaluating the reliability of degraded suspenders. Due to the effects of traffic flow braking, the timing of suspender maintenance is advanced by 8 years.
The traffic braking model established in this study is based on ideal assumed conditions and does not consider the randomness of driver behavior. These conditions still differ somewhat from the actual state. The suspenders’ stress change process has also been simplified; thus, subsequent research should address these limitations.

Author Contributions

Conceptualization, Y.Z. (Yue Zhao); methodology, Y.Z. (Yue Zhao) and Y.Z. (Yiyun Zhu); software, Y.Z. (Yue Zhao), Y.F. and B.S.; formal analysis, Y.F. and B.S.; investigation, Y.Z. (Yue Zhao) and Y.Z. (Yiyun Zhu); resources, Y.Z. (Yue Zhao) and Y.Z. (Yiyun Zhu); data curation, Y.F. and B.S.; writing—original draft preparation, Y.Z. (Yue Zhao) and Y.F.; writing—review and editing, Y.Z. (Yue Zhao), Y.F. and Y.Z. (Yiyun Zhu); visualization, B.S. and Y.Z. (Yiyun Zhu); supervision, Y.Z. (Yue Zhao) and Y.Z. (Yiyun Zhu); project administration, Y.Z. (Yue Zhao), Y.F. and B.S.; funding acquisition, Y.Z. (Yue Zhao). All authors have read and agreed to the published version of the manuscript.

Funding

This research was funded by the Natural Science Basic Research Program of Shaanxi (Program No. 2022JQ-336); the open fund of Shaanxi Provincial Key Laboratory (Chang’an University) of Highway Bridges and Tunnels (Program No. 300102212509); the Foundation of Xi’an University of Technology (Grant no. 256082109).

Data Availability Statement

Some or all data, models, or codes that support the findings of this study are available from the corresponding author upon reasonable request.

Conflicts of Interest

The authors declare no conflicts of interest.

References

  1. Guo, T.; Liu, J.; Zhang, Y.F.; Pan, S. Displacement monitoring and analysis of expansion joints of long-span steel bridges with viscous dampers. J. Bridge Eng. 2015, 20, 4014099. [Google Scholar] [CrossRef]
  2. Yuan, A.M.; Yang, T.; Xia, Y.F.; Qian, L.; Dong, L.; Jin, X. Replacement technology of long suspenders of Runyang suspension bridge. China J. Highw. Transp. 2021, 34, 289–297. [Google Scholar]
  3. Wang, H.; Shen, R.; Chen, W.; Bai, L.; Wang, L. Study on the movements and bending stresses of hangers and control measures in self-anchored rail suspension bridges. Eng. Struct. 2023, 275, 115304. [Google Scholar] [CrossRef]
  4. Jiang, J.H.; Ma, A.B.; Weng, W.F.; Fu, G.H.; Zhang, Y.F.; Liu, G.G.; Lu, F.M. Corrosion fatigue performance of pre-split steel wires for high strength bridge cables. Fatigue Fract. Eng. M. 2009, 32, 769–779. [Google Scholar] [CrossRef]
  5. Wang, S.Q.; Zhang, D.K.; Chen, K.; Xu, L.M.; Ge, S.R. Corrosion fatigue behaviors of steel wires used in coalmine. Mater. Des. 2014, 53, 58–64. [Google Scholar] [CrossRef]
  6. Betti, R.; West, A.C.; Vermaas, G.; Cao, Y. Corrosion and embrittlement in high-strength wires of suspension bridge cables. J. Bridge Eng. 2005, 10, 151–162. [Google Scholar] [CrossRef]
  7. Roffey, P. The fracture mechanisms of main cable wires from the fourth road suspension. Eng. Fail. Anal. 2013, 31, 430–441. [Google Scholar] [CrossRef]
  8. Zhou, Y.; Chen, S. Numerical investigation of cable breakage events on long-span cable-stayed bridges under stochastic traffic and wind. Eng. Struct. 2015, 105, 299–315. [Google Scholar] [CrossRef]
  9. Li, S.L.; Wei, S.Y.; Bao, Y.Q.; Li, H. Condition assessment of cables by pattern recognition of vehicle-induced cable tension ratio. Eng. Struct. 2018, 155, 1–15. [Google Scholar] [CrossRef]
  10. Ju, S.H.; Lin, H.T. A finite element model of vehicle-bridge interaction considering braking and acceleration. J. Sound Vib. 2007, 303, 46–57. [Google Scholar] [CrossRef]
  11. Yin, X.F.; Fang, Z. Random vibration analysis of vehicle-pavement-bridge system under vehicle braking. Chin. J. Comput. Mech. 2010, 27, 936–941. [Google Scholar]
  12. Fang, Z.; Yin, X.F.; Peng, X. Coupled vibration analysis for a girder bridge with random surface and a vehicle with uneven speed. Shock Vib. 2008, 27, 30–36. [Google Scholar]
  13. Deng, L.; Wang, F. Impact factors of simply-supported prestressed concrete girder bridges due to vehicle braking. J. Bridge Eng. 2015, 20, 0601500. [Google Scholar] [CrossRef]
  14. Liu, H.J.; Han, W.S.; Liu, N.; Gao, Y.; Han, X.B. Dynamic evolution of stochastic vehicle flow on bridge under braking conditions and analysis of vehicle-bridge coupled vibration. China J. Highw. Transp. 2020, 3, 76–88. [Google Scholar]
  15. Yang, M.G.; Cai, C.S.; Wei, B. A combined control strategy for vibration mitigations of a suspension bridge induced by vehicle braking force. Balt. J. Road Bridge Eng. 2015, 10, 118–125. [Google Scholar] [CrossRef]
  16. Liu, X.D.; Han, W.S.; Yuan, Y.G.; Chen, X.; Xie, Q. Corrosion fatigue assessment and reliability analysis of short suspender of suspension bridge depending on refined traffic and wind load condition. Eng. Struct. 2021, 234, 111950. [Google Scholar] [CrossRef]
  17. Liu, Z.X.; Guo, T.; Han, D.G.; Li, A.Q. Experimental study on corrosion-fretting fatigue behavior of bridge cable wires. J. Bridge Eng. 2020, 25, 04020104. [Google Scholar] [CrossRef]
  18. Okuda, M.; Kawaguchi, K.; Yamazaki, T. Design method of a hanger system for long-span suspension bridge. J. Bridge Eng. 2001, 6, 176–182. [Google Scholar]
  19. Han, W.; Liu, X.; Gao, G.; Xie, Q.; Yuan, Y. Site-specific extra-heavy truck load characteristics and bridge safety assessment. J. Aerosp. Eng. 2018, 31, 04018098. [Google Scholar] [CrossRef]
  20. Greenshieids, B.D. A Study in Highway Capacity. Highw. Res. Board Proc. 1935, 14, 448–477. [Google Scholar]
  21. Zhao, Y.; Huang, P.; Long, G.; Yuan, Y.; Sun, Y. Influence of fluid viscous damper on the dynamic response of suspension bridge under random traffic load. Adv. Civ. Eng. 2020, 9, 1–14. [Google Scholar] [CrossRef]
  22. AASHTO. A Policy on Geometric Design of Highways and Streets; American Association of State Highway and Transportation Officials: Washington. DC, USA, 2001. [Google Scholar]
  23. Brunson, S.J.; Kyle, E.M.; Phamdo, N.C.; Preziotti, G.R. Alert Algorithm Development Program: NHTSA Rear-End Collision Alert Algorithm; National Highway Traffic Safety Administration: Washington, DC, USA, 2002. [Google Scholar]
  24. Li, S.Q.; Du, P. Optimization of safe distance model considering driver difference. J. Jiangsu Univ. (Nat. Sci. Ed.) 2023, 44, 249–253+261. [Google Scholar]
  25. Shimizu, M.; Usami, M.; Fujinami, H. Development of collision-avoidance assist system operating at driver steering. JSAE Trans. 2009, 39, 41–46. [Google Scholar]
  26. Li, S.; Xu, Y.; Li, H.; Guan, X. Uniform and pitting corrosion modeling for high-strength bridge wires. J. Bridge Eng. 2014, 19, 04014025. [Google Scholar] [CrossRef]
  27. Yuan, Y.; Liu, X.; Pu, G.; Wang, T.; Guo, Q. Corrosion features and time-dependent corrosion model of Galfan coating of high strength steel wires. Constr. Build. Mater. 2021, 313, 125534. [Google Scholar] [CrossRef]
  28. Mayrbaurl, R.M.; Camo, S. Cracking and fracture of suspension bridge wire. J. Bridge Eng. 2001, 6, 645–650. [Google Scholar] [CrossRef]
  29. Mahmoud, K.M. Fracture strength for a high strength steel bridge cable wire with a surface crack. Theor. Appl. Fract. Mech. 2007, 48, 152–160. [Google Scholar] [CrossRef]
  30. Jiang, C.; Wu, C.; Jiang, X. Experimental study on fatigue performance of corroded high-strength steel wires used in bridges. Constr. Build. Mater. 2018, 187, 681–690. [Google Scholar] [CrossRef]
  31. Faber, M.H.; Engelund, S.; Rackwitz, R. Aspects of parallel wire cable reliability. Struct. Saf. 2003, 25, 201–225. [Google Scholar] [CrossRef]
  32. Wang, D.; Zhao, Y.; Guo, X.L.; Yuan, Y.G.; Li, X.L. Reliability assessment of parallel wire suspender components considering interlayer corrosion variance. Structures 2023, 47, 81–92. [Google Scholar]
  33. GB50068-2018; Unified Standard for Reliability Design of Building Structures. Ministry of Housing and Urban-Rural Development of the People’s Republic of China: Beijing, China, 2018.
  34. Lemaire, M. Structural Reliability; John Wiley & Sons: Hoboken, NJ, USA, 2009. [Google Scholar]
  35. Ibrahim, Y. Observations on applications of importance sampling in structural reliability analysis. Struct. Saf. 1991, 9, 269–281. [Google Scholar] [CrossRef]
Figure 1. Elevation of protype bridge (m).
Figure 1. Elevation of protype bridge (m).
Buildings 14 02333 g001
Figure 2. Finite element model.
Figure 2. Finite element model.
Buildings 14 02333 g002
Figure 3. Suspender cross-section (mm).
Figure 3. Suspender cross-section (mm).
Buildings 14 02333 g003
Figure 4. Cable deformation.
Figure 4. Cable deformation.
Buildings 14 02333 g004
Figure 5. Stress distribution of suspender steel wires: (a) Suspender stress distribution; (b) The maximum bending normal stress; (c) Stress distribution of the steel wire.
Figure 5. Stress distribution of suspender steel wires: (a) Suspender stress distribution; (b) The maximum bending normal stress; (c) Stress distribution of the steel wire.
Buildings 14 02333 g005
Figure 6. Daily traffic volume.
Figure 6. Daily traffic volume.
Buildings 14 02333 g006
Figure 7. Proportion of vehicle types.
Figure 7. Proportion of vehicle types.
Buildings 14 02333 g007
Figure 8. Traffic flow brake model.
Figure 8. Traffic flow brake model.
Buildings 14 02333 g008
Figure 9. Cable degradation process.
Figure 9. Cable degradation process.
Buildings 14 02333 g009
Figure 10. Cross-section loss of steel wire.
Figure 10. Cross-section loss of steel wire.
Buildings 14 02333 g010
Figure 11. Flowchart of corrosion fatigue analysis.
Figure 11. Flowchart of corrosion fatigue analysis.
Buildings 14 02333 g011
Figure 12. Traffic flow weight.
Figure 12. Traffic flow weight.
Buildings 14 02333 g012
Figure 13. Vehicle speed.
Figure 13. Vehicle speed.
Buildings 14 02333 g013
Figure 14. Vehicle braking effect of different positions (60 km/h): (a) Braking at 0.25 L; (b) Braking at 0.375 L; (c) Braking at 0.5 L; (d) Braking at 0.625 L; (e) Braking at 0.75 L; (f) Maximum bending stress of different brake positions.
Figure 14. Vehicle braking effect of different positions (60 km/h): (a) Braking at 0.25 L; (b) Braking at 0.375 L; (c) Braking at 0.5 L; (d) Braking at 0.625 L; (e) Braking at 0.75 L; (f) Maximum bending stress of different brake positions.
Buildings 14 02333 g014
Figure 15. Vehicle braking effect of different speeds (30 t): (a) Braking effect of 30 km/h; (b) Braking effect of 50 km/h; (c) Braking effect of 70 km/h; (d) Braking effect of 100 km/h; (e) Braking effect of 120 km/h; (f) Comparison of different vehicle speeds.
Figure 15. Vehicle braking effect of different speeds (30 t): (a) Braking effect of 30 km/h; (b) Braking effect of 50 km/h; (c) Braking effect of 70 km/h; (d) Braking effect of 100 km/h; (e) Braking effect of 120 km/h; (f) Comparison of different vehicle speeds.
Buildings 14 02333 g015
Figure 16. Cable force of the suspender.
Figure 16. Cable force of the suspender.
Buildings 14 02333 g016
Figure 17. Bending stress under traffic flow.
Figure 17. Bending stress under traffic flow.
Buildings 14 02333 g017
Figure 18. Crack development of steel wire.
Figure 18. Crack development of steel wire.
Buildings 14 02333 g018
Figure 19. Crack distribution of outer steel wires.
Figure 19. Crack distribution of outer steel wires.
Buildings 14 02333 g019
Figure 20. Steel wire bearing capacity degradation.
Figure 20. Steel wire bearing capacity degradation.
Buildings 14 02333 g020
Figure 21. Degradation of the cable.
Figure 21. Degradation of the cable.
Buildings 14 02333 g021
Figure 22. Variation in broken wires and suspender bearing capacity.
Figure 22. Variation in broken wires and suspender bearing capacity.
Buildings 14 02333 g022
Figure 23. Comparison of suspender reliability.
Figure 23. Comparison of suspender reliability.
Buildings 14 02333 g023
Disclaimer/Publisher’s Note: The statements, opinions and data contained in all publications are solely those of the individual author(s) and contributor(s) and not of MDPI and/or the editor(s). MDPI and/or the editor(s) disclaim responsibility for any injury to people or property resulting from any ideas, methods, instructions or products referred to in the content.

Share and Cite

MDPI and ACS Style

Zhao, Y.; Fu, Y.; Zhu, Y.; Su, B. Reliability Analysis of Degraded Suspenders of Long-Span Suspension Bridge under Traffic Flow Braking. Buildings 2024, 14, 2333. https://doi.org/10.3390/buildings14082333

AMA Style

Zhao Y, Fu Y, Zhu Y, Su B. Reliability Analysis of Degraded Suspenders of Long-Span Suspension Bridge under Traffic Flow Braking. Buildings. 2024; 14(8):2333. https://doi.org/10.3390/buildings14082333

Chicago/Turabian Style

Zhao, Yue, Yingzi Fu, Yiyun Zhu, and Botong Su. 2024. "Reliability Analysis of Degraded Suspenders of Long-Span Suspension Bridge under Traffic Flow Braking" Buildings 14, no. 8: 2333. https://doi.org/10.3390/buildings14082333

APA Style

Zhao, Y., Fu, Y., Zhu, Y., & Su, B. (2024). Reliability Analysis of Degraded Suspenders of Long-Span Suspension Bridge under Traffic Flow Braking. Buildings, 14(8), 2333. https://doi.org/10.3390/buildings14082333

Note that from the first issue of 2016, this journal uses article numbers instead of page numbers. See further details here.

Article Metrics

Back to TopTop