Analysis of Physical Properties of Coarse Aggregates Recovered from Demolished Concrete with a Two-Stage Water Jigs Process for Reuse as Aggregates in Concrete
Abstract
1. Introduction
2. Materials and Methods
2.1. Material Preparation
2.2. Jigging Process
2.2.1. Jigging Equipment
2.2.2. Jig Concentration Test
2.3. Materials Characterization
2.3.1. Densimetric Distribution Test
2.3.2. Analysis of the Concrete Substrate Constitution
2.3.3. Granulometric Distribution Test
2.3.4. Form Factor
2.3.5. Specific Density (OD), Saturated Specific Density (SSD), Apparent Density (OD), Saturated Apparent Density (SSD), and Water Absorption
- Specific Density (OD) (kg/m3)
- Specific Density (SSD) (kg/m3)
- Apparent Density (OD) (kg/m3)
- Water Absorption (%)
3. Results and Discussion
3.1. Granulometric Distribution Test
3.2. Densimetric Distribution Test
3.3. Concrete Substrate Constitution
3.4. Jig Concentration Tests
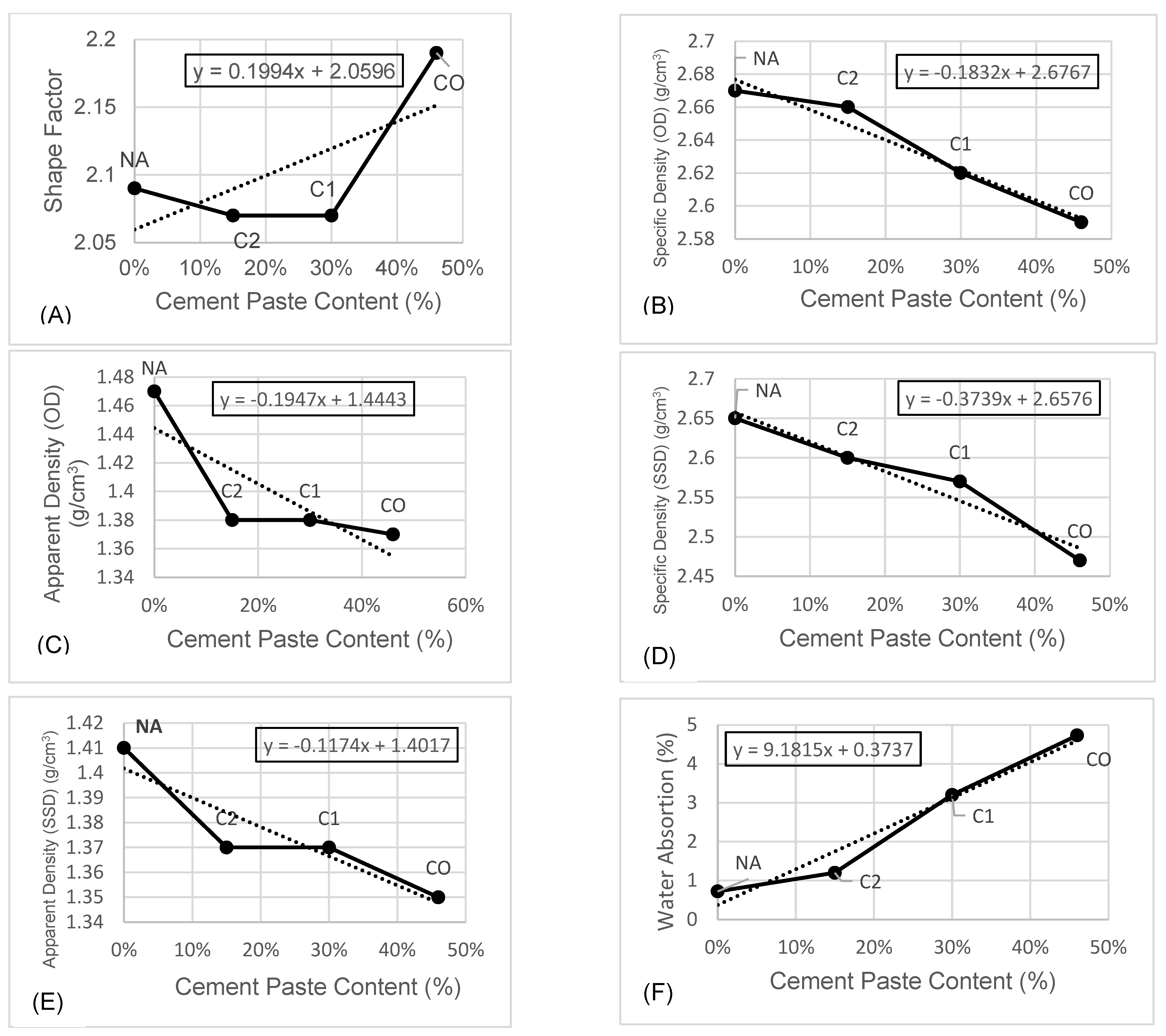
3.5. Material Physical Characterization
Analysis of Physical Properties
3.6. Future Trendings
4. Conclusions
Author Contributions
Funding
Data Availability Statement
Acknowledgments
Conflicts of Interest
References
- European Commission. 2011. Available online: http://ec.europa.eu/environment/waste/pdf/2011_CDW_Report.pdf (accessed on 15 April 2024).
- Eurostat. Waste Statistics in Europe. Available online: http://epp.eurostat.ec.europa.eu/ (accessed on 15 April 2024).
- Bao, Z.; Lu, W. Developing efficient circularity for construction and demolition waste management in fast emerging economies: Lessons learned from Shenzhen, China. Sci. Total Environ. 2020, 724, 138264. [Google Scholar] [CrossRef]
- López, L.; Roca, R.; Gassó, S. The Circular Economy in the Construction and Demolition Waste Sector: A Review of Initiatives. In Proceedings of the 24th International Congress on Project Management and Engineering, Alcoi, Spain, 7–10 July 2020. [Google Scholar]
- Directive, E. Directive 2008/98/EC of the European Parliament and of the Council of 19 November 2008 on waste and repealing certain Directives. Off. J. Eur. Union 2008, 312, 3. [Google Scholar]
- Commissariat Général au Développement Durable. Waste Managed by the Building Companies: Quantities and Management Methods in 2008, Chiffre et Statistiques nr. 231, Juillet 2011; Ministère du l’Ecologie du Développement Durable du Transports e du Logement: Paris, France, 2011; p. 5. (In French) [Google Scholar]
- Coelho, A.; De Brito, J. Economic viability analysis of a construction and demolition waste recycling plant in Portugal—Part I: Location, materials, technology, and economic analysis. J. Clean. Prod. 2013, 39, 338–352. [Google Scholar] [CrossRef]
- Coelho, A.; De Brito, J. Environmental analysis of a construction and demolition waste recycling plant in Portugal—Part I: Energy consumption and CO2 emissions. Waste Manag. 2013, 33, 1258–1267. [Google Scholar] [CrossRef]
- Coelho, A.; De Brito, J. Environmental analysis of a construction and demolition waste recycling plant in Portugal—Part II: Environmental sensitivity analysis. Waste Manag. 2013, 33, 147–161. [Google Scholar] [CrossRef]
- Neto, R.; Gastineau, P.; Cazacliu, G.; Guen, L.; Paranhos, R.; Petter, C. An economic analysis of the processing technologies in CDW recycling platforms. Waste Manag. 2017, 60, 277–289. [Google Scholar] [CrossRef] [PubMed]
- Coelho, A.; De Brito, J. Economic viability analysis of a construction and demolition waste recycling plant in Portugal e part II: Economic sensitivity analysis. J. Clean. Prod. 2013, 39, 329–337. [Google Scholar] [CrossRef]
- Hua, K.; Chen, Y.; Naz, F.; Zeng, C.; Cao, S. Separation studies of concrete and brick from construction and demolition waste. Waste Manag. 2019, 85, 396–404. [Google Scholar] [CrossRef] [PubMed]
- Tam, V.; Tam, C.; Le, K. Removal of cement mortar remains from recycled aggregate using pre-soaking approaches. Resour. Conserv. Recycl. 2007, 50, 82–101. [Google Scholar] [CrossRef]
- Wu, Z.; Yu, A.T.W.; Shen, L.; Liu, G. Quantifying construction and demolition waste: An analytical review. Waste Manag. 2014, 34, 1683–1692. [Google Scholar] [CrossRef]
- Galderisi, A.; Bravo, M.; Iezzi, G.; Cruciani, G.; Paris, E.; Brito, J.D. Physico-Mechanical Performances of Mortars Prepared with Sorted Earthquake Rubble: The Role of CDW Type and Contained Crystalline Phases. Materials 2023, 16, 2855. [Google Scholar] [CrossRef]
- European Environment Agency. EU as a Recycling Society—Present Recycling Levels of MunicipalWaste and Construction & Demolition Waste in the EU; European Environment Agency: Copenhagen, Denmark, 2009. Available online: https://web.archive.org/web/20210428083527id_/http://avfallnorge.web123.no/article_docs/EUgjenvinningsstudie.pdf (accessed on 15 April 2024).
- Reis, G.S.; Quattrone, M.; Ambrós, W.M.; Cazacliu, B.G.; Sampaio, C.H. Current Applications of Recycled Aggregates from Construction and Demolition: A Review. Materials 2021, 14, 1700. [Google Scholar] [CrossRef] [PubMed]
- Gschwenter, V.L.S.; Tubino, R.M.C.; Ambrós, W.M.; Miltzarek, G.L.; Sampaio, C.H.; Moncunill, J.O.; Cazacliu, B.G.; Dal Molin, D.C.C. Production of High-Quality Coarse Recycled Aggregates through a Two-Stage Jigging Process. Minerals 2022, 12, 532. [Google Scholar] [CrossRef]
- Sampaio, C.H.; Cazacliu, B.G.; Miltzarek, G.L.; Huchet, F.; Le Guen, L.; Petter, C.O.; Paranhos, R.; Ambr´os, W.M.; Silva Oliveira, M.L. Stratification in air jigs of concrete/brick/gypsum particles. Constr. Build. Mater. 2016, 109, 63–72. [Google Scholar] [CrossRef]
- Sampaio, H.C.; Cazacliu, B.G.; Ambrós, W.M.; Kronbauer, M.A.; Tubino, R.M.C.; Dal Molin, D.C.C.; Oliva Moncunill, J.; Miltzarek, G.L.; Waskow, R.P.; dos Santos, V.L.G.; et al. Characterization of Demolished Concretes with Three Different Strengths for Recycling as Coarse Aggregate. Minerals 2021, 11, 803. [Google Scholar] [CrossRef]
- Salgado, F.D.; Silva, F.D. Recycled aggregates from construction and demolition waste towards an application on structural concrete: A review. J. Build. Eng. 2022, 52, 104452. [Google Scholar] [CrossRef]
- Martinez, P.S.; Cortina, G.M.; Martinez, F.F.; Sanchez, A.R. Comparative study of three types of fine recycled aggregates from construction and demolition waste (CDW), and their use in masonry mortar fabrication. J. Clean. Prod. 2016, 118, 162–169. [Google Scholar] [CrossRef]
- Brito, J.; Saikia, N. Recycled Aggregate in Concrete—Use of Industrial, Construction and Demolition Waste; Chapter 3; Springer: London, UK, 2013; p. 81. [Google Scholar]
- Caicedo, D.F.; dos Reis, G.S.; Lima, E.C.; De Brum, I.A.; Thue, P.S.; Cazacliu, B.G.; Lima, D.R.; dos Santos, A.H.; Dotto, G.L. Efficient adsorbent based on construction and demolition wastes functionalized with 3-aminopropyltriethoxysilane (APTES) for the removal ciprofloxacin from hospital synthetic effluents. J. Environ. Chem. Eng. 2020, 8, 103875. [Google Scholar] [CrossRef]
- Galderisi, A.; Iezzi, G.; Bianchini, G.; Paris, E.; Brito, E. Petrography of construction and demolition waste (CDW) from Abruzzo region (Central Italy). Waste Manag. 2022, 137, 61–71. [Google Scholar] [CrossRef]
- Etxeberria, M.; V´azquez, E.; Marí, A.; Barra, M. Influence of amount of recycled coarse aggregates and production process on properties of recycled aggregate concrete. Cem. Concr. Res. 2007, 37, 735–742. [Google Scholar] [CrossRef]
- Xiao, J.Z.; Li, J.B.; Zhang, C. On relationships between the mechanical properties of recycled aggregate concrete—An overview. Mater. Struct. 2006, 39, 655–664. [Google Scholar] [CrossRef]
- Ferreira, L.; Brito, J.; Barra, M. Influence of the pre-saturation of recycled coarse concrete aggregates on concrete properties. Mag. Concr. Res. 2011, 63, 617–627. [Google Scholar] [CrossRef]
- De Brito, J.; Pereira, A.S.; Correia, J.R. Mechanical behavior of non-structural concrete made with recycled ceramic aggregates. Cem. Concr. Compos. 2005, 27, 429–433. [Google Scholar] [CrossRef]
- Agrela, F.; Cabrera, M.; Galvín, A.P.; Barbudo, A.; Ramirez, A. Influence of the sulfate content of recycled aggregates on the properties of cement-treated granular materials using Sulphate-Resistant Portland Cement. Constr. Build. Mater. 2014, 68, 127–134. [Google Scholar] [CrossRef]
- Neville, A. The confused world of sulfate attack on concrete. Cem. Concr. Res. 2004, 34, 1275–1296. [Google Scholar] [CrossRef]
- BCSJ. Proposed Standard for the “Use of Recycled Aggregate and Recycled Aggregate Concrete”; Building Contractors Society of Japan Committee on Disposal and Reuse of Construction Waste: Tokyo, Japan, 1977. [Google Scholar]
- RILEM TC 172-EDM/CIB TG 22; Environmental Design Methods in Materials and Structural Engineering. RILEM: Paris, France, 1999.
- UNE-EN 13242:2003+A1; Aggregates for Unbound and Hydraulically Bound Materials for Use in Civil Engineering Work and Road Construction. European Committee for Standardization: Bruxelles, Belgium, 2008.
- Çelik, A.İ.; Özkılıç, Y.O.; Zeybek, Ö.; Karalar, M.; Qaidi, S.; Ahmad, J.; Burduhos-Nergis, D.D.; Bejinariu, C. Mechanical Behavior of Crushed Waste Glass as Replacement of Aggregates. Materials 2022, 15, 8093. [Google Scholar] [CrossRef] [PubMed]
- Özkılıç, Y.O.; Çelik, A.İ.; Tunç, U.; Karalar, M.; Deifalla, A.; Alomayri, T.; Althoey, F. The use of crushed recycled glass for alkali activated fly ash based geopolymer concrete and prediction of its capacity. J. Mater. Res. Technol. 2023, 24, 8267–8281. [Google Scholar] [CrossRef]
- Çelik, A.İ.; Tunç, U.; Bahrami, A.; Karalar, M.; Othuman Mydin, M.A.; Alomayri, T.; Özkılıç, Y.O. Use of waste glass powder toward more sustainable geopolymer concrete. J. Mater. Res. Technol. 2023, 24, 8533–8546. [Google Scholar] [CrossRef]
- Sampaio, H.C.; Ambrós, W.M.; Cazacliu, B.G.; Oliva Moncunill, J.; Veras, M.M.; Miltzarek, G.L.; Silva, L.F.O.; Kuerten, A.S.; Liendo, M.A. Construction and Demolition Waste Recycling through Conventional Jig, Air Jig, and Sensor-Based Sorting: A Comparison. Minerals 2021, 11, 904. [Google Scholar] [CrossRef]
- Teixeira, A.B.; Barkat, H.; Sampaio, C.H.; Moncunill, J.O. Recovery of Demolished House Rocks from Construction and Demolition Waste with Water Jigs. Minerals 2024, 14, 39. [Google Scholar] [CrossRef]
- Ambrós, M.W. Jigging: A Review of Fundamentals and Future Directions. Minerals 2020, 10, 998. [Google Scholar] [CrossRef]
- Sampaio, C.H.; Tavares, L.M.M. Beneficiamento Gravimétrico: Uma introdução Aos Processos de Concentração Mineral e Reciclagem de Materiais Por Densidade; Editora UFRGS: Porto Alegre, Brazil, 2005. [Google Scholar]
- Royal Decrete 1247/2008; (EHE-08): Structural Concrete Instruction. Available online: https://www.mitma.gob.es/recursos_mfom/1820100.pdf (accessed on 12 April 2024).
- Akbarnezhad, A.; Ong, K.C.G.; Zhang, M.H.; Tam, C.T. Acid Treatment Technique for Determining the Mortar Content of Recycled Concrete Aggregates. J. Test. Eval. 2013, 41, 441–450. [Google Scholar] [CrossRef]
- EN 933-4:2008; Tests for Geometrical Properties of Aggregates. Part 4: Determination of Particle Shape—Shape Index. British Standards Institution: London, UK, 2009.
- ASTM C127-07; Standard Test Method for Density, Relative Density (Specific Gravity), and Absorption of Coarse Aggregate. ASTM: West Conshohocken, PA, USA, 2009.
- De Juan, M.S. Study on the Use of Recycled Aggregates in Structural Concrete Production. Ph.D. Thesis, Polytechnic University of Madrid, Madrid, Spain, 2004. (In Spanish). [Google Scholar]
- Santos, J.; Branco, F.A.; de Brito, J. Reinforced concrete beams with recycled aggregates from demolished concrete of a stadium. In Proceedings of the SB05—3rd International Conference on Sustainable Building, Tokyo, Japan, 23–29 September 2005; pp. 2011–2018. [Google Scholar]










| Concrete Size Distribution | <5 mm (%) | 5/8 mm (%) | 8/12.5 mm (%) | 12.5/20 mm (%) | Total (%) |
|---|---|---|---|---|---|
| 16/20 Mpa Concrete | 32.8 | 14.7 | 26.6 | 25.9 | 100 |
| 32.8 | 67.2 | 100 | |||
| Materials | Code |
|---|---|
| Concrete after the comminution process | CO |
| Concentrated material generated in the first jig stage (DM1 and DM2) | C1 |
| Concentrated material generated in the second jig stage (DM3) | C2 |
| Natural aggregates used in the industry | NA |
| Materials | Specific Density (OD) (g/cm3) | Apparent Density (OD) (g/cm3) | Specific Density (SSD) (g/cm3) | Apparent Density (SSD) (g/cm3) | Water Absorption (%) | Form Factor | Cement Paste (%) |
|---|---|---|---|---|---|---|---|
| CO | 2.59 | 1.37 | 2.47 | 1.35 | 4.73 | 2.19 | 46% |
| C1 | 2.62 | 1.38 | 2.57 | 1.37 | 3.2 | 2.07 | 30% |
| C2 | 2.66 | 1.38 | 2.6 | 1.37 | 1.2 | 2.07 | 15% |
| NA | 2.67 | 1.47 | 2.65 | 1.41 | 0.72 | 2.09 | 0% |
Disclaimer/Publisher’s Note: The statements, opinions and data contained in all publications are solely those of the individual author(s) and contributor(s) and not of MDPI and/or the editor(s). MDPI and/or the editor(s) disclaim responsibility for any injury to people or property resulting from any ideas, methods, instructions or products referred to in the content. |
© 2024 by the authors. Licensee MDPI, Basel, Switzerland. This article is an open access article distributed under the terms and conditions of the Creative Commons Attribution (CC BY) license (https://creativecommons.org/licenses/by/4.0/).
Share and Cite
Teixeira, A.B.; Sampaio, C.H.; Moncunill, J.O.; Cortina Palas, J.L.; Lima, M.M.D.; La Rosa, G.T.H. Analysis of Physical Properties of Coarse Aggregates Recovered from Demolished Concrete with a Two-Stage Water Jigs Process for Reuse as Aggregates in Concrete. Buildings 2024, 14, 2226. https://doi.org/10.3390/buildings14072226
Teixeira AB, Sampaio CH, Moncunill JO, Cortina Palas JL, Lima MMD, La Rosa GTH. Analysis of Physical Properties of Coarse Aggregates Recovered from Demolished Concrete with a Two-Stage Water Jigs Process for Reuse as Aggregates in Concrete. Buildings. 2024; 14(7):2226. https://doi.org/10.3390/buildings14072226
Chicago/Turabian StyleTeixeira, Artur Bressanelli, Carlos Hoffmann Sampaio, Josep Oliva Moncunill, Jose Luis Cortina Palas, Monica Mariana Davila Lima, and Grethel Tamara Herrera La Rosa. 2024. "Analysis of Physical Properties of Coarse Aggregates Recovered from Demolished Concrete with a Two-Stage Water Jigs Process for Reuse as Aggregates in Concrete" Buildings 14, no. 7: 2226. https://doi.org/10.3390/buildings14072226
APA StyleTeixeira, A. B., Sampaio, C. H., Moncunill, J. O., Cortina Palas, J. L., Lima, M. M. D., & La Rosa, G. T. H. (2024). Analysis of Physical Properties of Coarse Aggregates Recovered from Demolished Concrete with a Two-Stage Water Jigs Process for Reuse as Aggregates in Concrete. Buildings, 14(7), 2226. https://doi.org/10.3390/buildings14072226

