Mechanical Properties, Workability, and Experiments of Reinforced Composite Beams with Alternative Binder and Aggregate
Abstract
1. Introduction
2. Materials
3. Results of Experiments
3.1. Preparation of Test Specimens—Testing of Fresh Mixture
3.2. Bulk Density
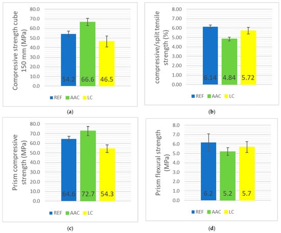
3.3. Strength Characteristics
3.4. Static Modulus of Elasticity
3.5. Heat Resistance
3.6. Load Capacity of Reinforced Concrete Beams
3.7. Tensile Strength of Surface Layer
4. Discussion
5. Conclusions
Author Contributions
Funding
Institutional Review Board Statement
Informed Consent Statement
Data Availability Statement
Acknowledgments
Conflicts of Interest
References
- Collepardi, M. The New Concrete; ENCO: Ponzano, Italy, 2006; p. 420. ISBN 88-961469-4-X. [Google Scholar]
- Aïtcin, P.C. High-Performance Concrete, 1st ed.; CRC Press: London, UK, 1998; p. 624. ISBN 9780429204074. [Google Scholar]
- Mateckova, P.; Bilek, V.; Sucharda, O. Comparative Study of High-Performance Concrete Characteristics and Loading Test of Pretensioned Experimental Beams. Crystals 2021, 11, 427. [Google Scholar] [CrossRef]
- Sucharda, O.; Marcalikova, Z.; Gandel, R. Microstructure, Shrinkage, and Mechanical Properties of Concrete with Fibers and Experiments of Reinforced Concrete Beams without Shear Reinforcement. Materials 2022, 15, 5707. [Google Scholar] [CrossRef] [PubMed]
- Fischetti, M.; Bockelman, N. Concrete Cure. Online. Sci. Am. 2023, 328, 52. [Google Scholar] [CrossRef]
- Hájek, P. Principles of sustainability in designing concrete structures according to MC2020. In Proceedings of the Conference 28. Concrete Days, ČBS, Praha, Czech Republic, 19–20 May 2022. (In Czech). [Google Scholar]
- Palomo, A.; Monteiro, P.; Martauz, P.; Bilek, V.; Fernandez-Jimenez, A. Hybrid binders: A journey from the past to a sustainable future (opus Caementicium futurum). Cem. Concr. Res. 2019, 124, 105829. [Google Scholar] [CrossRef]
- García-Lodeiro, I.; Palomo, A.; Fernández-Jiménez, A. Hybrid alkaline cements: Hydration kinetics study during the early reaction stages. In Proceedings of the 5th International Conference on Non-Traditional Cement & Concrete, Brno, Czech Republic, 16–19 June 2014; pp. 59–62, ISBN 978-80-214-4867-4. [Google Scholar]
- Özkılıç, Y.O.; Zeybek, Ö.; Bahrami, A.; Çelik, A.İ.; Mydin, M.A.O.; Karalar, M.; Hakeem, I.Y.; Roy, K.; Jagadesh, P. Optimum usage of waste marble powder to reduce use of cement toward eco-friendly concrete. J. Mater. Res. Technol. 2023, 25, 4799–4819. [Google Scholar] [CrossRef]
- Bilek, V.; Sucharda, O.; Bujdos, D. Frost Resistance of Alkali-Activated Concrete—An Important Pillar of Their Sustainability. Sustainability 2021, 13, 473. [Google Scholar] [CrossRef]
- Kothari, A.; Habermehl-Cwirzen, K.; Hedlund, H.; Cwirzen, A. A Review of the Mechanical Properties and Durability of Ecological Concretes in a Cold Climate in Comparison to Standard Ordinary Portland Cement-Based Concrete. Materials 2020, 13, 3467. [Google Scholar] [CrossRef]
- Lee, J.; Lee, T.; Lee, S.; Choi, H. Performance Evaluation of Cementless Composites with Alkali-Sulfate Activator for Field Application. Materials 2020, 13, 5410. [Google Scholar] [CrossRef] [PubMed]
- Collins, F.; Sanjayan, J.G. Workability and mechanical properties of alkali activated slag concrete. Cem. Concr. Res. 1999, 29, 455–458. [Google Scholar] [CrossRef]
- Awoyera, P.; Adesina, A. A critical review on application of alkali activated slag as a sustainable composite binder. Case Stud. Constr. Mater. 2019, 11, e00268. [Google Scholar] [CrossRef]
- ČSN EN 1992-1-1; Eurocode 2: Design of Concrete Structures—Part 1-1: General Rules and Rules for Building Structures, 2nd ed. Office for Technical Standardization, Metrology and State Testing: Prague, Czech Republic, 2019.
- Classen, M. Shear Crack Propagation Theory (SCPT)—The mechanical solution to the riddle of shear in RC members without shear reinforcement. Eng. Struct. 2020, 210, 110207. [Google Scholar] [CrossRef]
- Mari, A.; Cladera, A.; Bairan, J.M.; Oller, E.; Ribas, C. Shear-flexural strength mechanical model for the design and assessment of reinforced concrete beams subjected to point or distributed loads. Front. Struct. Civ. Eng. 2014, 8, 337–353. [Google Scholar] [CrossRef]
- Fernandez Ruiz, M.; Muttonia, A.; Sagasetab, J. Shear strength of concrete members without transverse reinforcement: A mechanical approach to consistently account for size and strain effects. Eng. Struct. 2015, 99, 360–372. [Google Scholar] [CrossRef]
- Muttoni, A.; Fernandez Ruiz, M. From experimental evidence to mechanical modeling and design expressions: The Critical Shear Crack Theory for shear design. Struct. Concr. 2019, 20, 1464–1480. [Google Scholar] [CrossRef]
- Sucharda, O. Identification of Fracture Mechanic Properties of Concrete and Analysis of Shear Capacity of Reinforced Concrete Beams without Transverse Reinforcement. Materials 2020, 13, 2788. [Google Scholar] [CrossRef] [PubMed]
- Marcalikova, Z.; Cajka, R.; Bilek, V.; Bujdos, D.; Sucharda, O. Determination of Mechanical Characteristics for Fiber-Reinforced Concrete with Straight and Hooked Fibers. Crystals 2020, 10, 545. [Google Scholar] [CrossRef]
- Özkılıç, Y.O.; Althaqafi, E.; Bahrami, A.; Aksoylu, C.; Karalar, M.; Özdöner, N.; Shcherban, E.; Stel’makh, S.; Beskopylny, A.; Thomas, B.S.; et al. Influence of ceramic waste powder on shear performance of environmentally friendly reinforced concrete beams. Sci. Rep. 2024, 14, 10401. [Google Scholar] [CrossRef] [PubMed]
- Collier, N.C. Transition and Decomposition Temperatures of Cement Phases—A Collection of Thermal Analysis Data. Ceram. Silik. 2016, 60, 338–343. [Google Scholar] [CrossRef]
- Kučera, P.; Česelská, T.; Matečková, P. Fire resistance of Building Structures; SPBI: Ostrava, Czech Republic, 2010; ISBN 978-80-7385-094-4. (In Czech) [Google Scholar]
- Pospíšil, D. Mineralogical Composition of Dinas. Bachelor’s Thesis, University of Technology, Brno, Czech Republic, 2018. [Google Scholar]
- Szklorzová, H.; Bilek, V. Influence of alkali ions in the activator on the performance of alkali activated mortars. In Proceedings of the 3rd International Symposium Non-Traditional Cement and Concrete, Brno, Czech Republic, 10–12 June 2008; pp. 777–784. [Google Scholar]
- ČSN EN 12350-5; Testing Fresh Concrete—Part 5 Flow Table Test. The Czech Office for Standards, Metrology and Testing: Prague, Czech Republic, 2020.
- ČSN EN 12350-2; Testing Fresh Concrete—Part 2 Slump Test. The Czech Office for Standards, Metrology and Testing: Prague, Czech Republic, 2020.
- ČSN EN 12350-4; Testing Fresh Concrete—Part 4 Degree of Compatibility. The Czech Office for Standards, Metrology and Testing: Prague, Czech Republic, 2020.
- ČSN EN 12390-3; Testing Hardened Concrete—Part 3: Compressive Strength of Test Specimens. The Czech Office for Standards, Metrology and Testing: Prague, Czech Republic, 2020.
- ČSN EN 12390-6; Testing Hardened Concrete—Part 6: Tensile Splitting Strength of Test Specimens. The Czech Office for Standards, Metrology and Testing: Prague, Czech Republic, 2024.
- ČSN EN 196-1; Methods of Testing Cement—Part 1: Determination of Strength. The Czech Office for Standards, Metrology and Testing: Prague, Czech Republic, 2016.
- ČSN EN 12390-13; Testing Hardened Concrete—Part 13: Determination of Secant Modulus of Elasticity in Compression. The Czech Office for Standards, Metrology and Testing: Prague, Czech Republic, 2021.
- ČSN 73 1371; Non-Destructive Testing of Concrete—Method of Ultrasonic Pulse Testing of Concrete. The Czech Office for Standards, Metrology and Testing: Prague, Czech Republic, 2011.
- Dataset Zenodo. Available online: https://zenodo.org/records/11191475 (accessed on 14 May 2024).
- Jerabek, J. Reinforced Concrete Beams without Shear Reinforcement. Master’s Thesis, VSB-TU Ostrava, Ostrava, Czech Republic, 2022. [Google Scholar]
- Mohammed, A.A.; Ahmed, H.U.; Mosavi, A. Survey of Mechanical Properties of Geopolymer Concrete: A Comprehensive Review and Data Analysis. Materials 2021, 14, 4690. [Google Scholar] [CrossRef]
- Yang, K.-H.; Cho, A.-R.; Song, J.-K. Effect of water–binder ratio on the mechanical properties of calcium hydroxide-based alkali-activated slag concrete. Constr. Build. Mater. 2012, 29, 504–511. [Google Scholar] [CrossRef]
- Venu, M.; Rao, T.D.G. An experimental investigation of the stress-strain behavior of geopolymer concrete. Slovak J. Civ. Eng. 2018, 26, 30–34. [Google Scholar] [CrossRef]
- Raut, U.; Shalini, A.; Prabu, B. Strength of geopolymer concrete reinforced with basalt fiber. Int. Res. J. Eng. Technol. 2019, 6, 3811–3817. [Google Scholar]
- Nath, P.; Sarker, P.K. Flexural strength and elastic modulus of ambient-cured blended low-calcium fly ash geopolymer concrete. Constr. Build. Mater. 2017, 130, 21–31. [Google Scholar] [CrossRef]
- Sarvanan, S.; Elavenil, S. Strength properties of geopolymer concrete using M-sand by assessing their mechanical characteristics. ARPN J. Eng. Appl. Sci. 2018, 13, 4028–4041. [Google Scholar]






















| Input Materials | (kg/m3) | ||
|---|---|---|---|
| REF | AAC | LC | |
| Cement CEM I 42.5 R | 450 | X | 450 |
| Blast furnace slag JMŠ 420 | X | 450 | X |
| Water glass | 56.3 | ||
| 50% KOH solution | 42 | ||
| Water | 200 | 172 | 224 |
| PC and PS based superplasticizer | 3 | X | 3 |
| MNP based plasticizer | X | 9 | X |
| 0/4 Aggregate | 1230 | 920 | 1020 |
| 4/8 Aggregate | 550 | 670 | 550 |
| Lightweight keramzit aggregate | X | X | 81 |
| REF | AAC | LC | |
|---|---|---|---|
| Flow table test (mm) | 290 | 660 | 260 |
| Slump test (mm) | 20 | 250 | 30 |
| Degree of compaction (-) | 1.13 | 1.02 | 1.13 |
| Number of Reinforcements Ø 10 mm | Load Capacity (kN) | Vexp/VR (-) | |||||
|---|---|---|---|---|---|---|---|
| REF | AAC | LC | LC (First Peak) | REF | AAC | LC | |
| 1 | 40.7 | 43.2 | 41.9 | 41.9 | 1.28 | 1.26 | 1.31 |
| 2 | 45.5 | 52.5 | 55.7 | 49.1 | 1.13 | 1.21 | 1.39 |
| 3 | 58.9 | 65.4 | 57.9 | 50.0 | 1.28 | 1.32 | 1.26 |
Disclaimer/Publisher’s Note: The statements, opinions and data contained in all publications are solely those of the individual author(s) and contributor(s) and not of MDPI and/or the editor(s). MDPI and/or the editor(s) disclaim responsibility for any injury to people or property resulting from any ideas, methods, instructions or products referred to in the content. |
© 2024 by the authors. Licensee MDPI, Basel, Switzerland. This article is an open access article distributed under the terms and conditions of the Creative Commons Attribution (CC BY) license (https://creativecommons.org/licenses/by/4.0/).
Share and Cite
Marcalikova, Z.; Jerabek, J.; Gandel, R.; Gabor, R.; Bilek, V.; Sucharda, O. Mechanical Properties, Workability, and Experiments of Reinforced Composite Beams with Alternative Binder and Aggregate. Buildings 2024, 14, 2142. https://doi.org/10.3390/buildings14072142
Marcalikova Z, Jerabek J, Gandel R, Gabor R, Bilek V, Sucharda O. Mechanical Properties, Workability, and Experiments of Reinforced Composite Beams with Alternative Binder and Aggregate. Buildings. 2024; 14(7):2142. https://doi.org/10.3390/buildings14072142
Chicago/Turabian StyleMarcalikova, Zuzana, Jan Jerabek, Radoslav Gandel, Roman Gabor, Vlastimil Bilek, and Oldrich Sucharda. 2024. "Mechanical Properties, Workability, and Experiments of Reinforced Composite Beams with Alternative Binder and Aggregate" Buildings 14, no. 7: 2142. https://doi.org/10.3390/buildings14072142
APA StyleMarcalikova, Z., Jerabek, J., Gandel, R., Gabor, R., Bilek, V., & Sucharda, O. (2024). Mechanical Properties, Workability, and Experiments of Reinforced Composite Beams with Alternative Binder and Aggregate. Buildings, 14(7), 2142. https://doi.org/10.3390/buildings14072142

