Abstract
Steel structures with light weight, high rigidity, and easy assembly have become the first choice for large-span complex building materials. At the same time, transparent materials are widely used for the sake of practicality and aesthetics. However, steel structures will be deformed due to changes in temperature, which will affect the accuracy of closure. The components are restricted from free deformation as a result of multiple statically indeterminate structures. A safety hazard will occur if the residual temperature stress is not released. At present, the strain law of open-air steel structures caused by temperature change is still unclear, and the corresponding temperature–strain model has not been established. This paper is based on the third-phase reconstruction and expansion project of Taiyuan Wusu Airport in Xiaodian District, Taiyuan City, Shanxi Province (37°45′ N, 112°38′ E, average altitude of 774 m), winter long time series temperature measured data, deduced daily temperature change laws, and the established relationship model between air temperature and steel surface temperature. Based on the measured data of long-term stress and strain in winter, the strain law of open-air steel columns under temperature change is discussed. According to the results, the air temperature can be utilized to determine the strain of the open-air steel column during winter. The determination coefficient of the temperature–stress model can reach 0.868, and the radial bending stress caused by the change in daily temperature cannot be ignored, accounting for 15.7% of the radial stress at the same time, which can provide a reference for stress calculations of similar structures.
1. Introduction
Large-span buildings have become more popular in modern architecture in recent decades due to the rapid urbanization process and continuous innovation of building materials. Large-span buildings not only serve practical functions but also become landmarks of their city. Steel has become the core material of large-span buildings such as railway stations, airports, large stadiums, and exhibition centers because of its light weight, high rigidity, and easy assembly. The construction quality of steel structures has a direct impact on the quality of buildings. Some representative large-span projects that utilize a large number of steel structures are shown in Table 1.
Table 1.
Represented large-span projects using a steel structure.
In the construction phase, the truss structure is exposed to direct sunlight, and the surface temperature distribution is not uniform. The nonuniform temperature effect is unfavorable for controlling closure accuracy [1]. The nonuniform temperature effect has been made worse by the increasing complexity of steel structures and the emergence of transparent materials as roofs. The National Stadium of China is dominated by steel structures. The roof is designed with a double-layer membrane that includes a transparent ETFE membrane on top and a translucent PTFE acoustic ceiling on the bottom [2]. The roof of Guangzhou South Railway Station, Asia’s largest railway station, is not only covered with transparent ETFE film but also has plenty of glass for daylighting [3]. Due to the widespread use of transparent materials, the temperature exposure of steel structures is increasing. At the same time, due to the different temperature effects on different parts of the large-span steel structure, the internal stress distributions of the structure will be uneven, which will affect the stability and safety of the structure. The impact of temperature changes on buildings is often overlooked by designers. Due to the existence of multiple statically indeterminate structures, the mutual restraints between the components cannot be freely deformed, and the stress will change with the temperature [4]. If the stress cannot be released, there will be a certain security risk. When the average temperature change in the box-type component reaches 20 °C and 40 °C, respectively, the temperature stress is 49.44 MPa and 98.88 MPa, respectively [5].
On 15 December 2010, the roof of the steel structure on the west side of the Nadam Stadium in Ordos City, which had been in operation for only 6 months, collapsed. After the investigation, it was found that the rod connection was not standardized, and the roof was affected by temperature, resulting in a greater degree of shrinkage, which was one of the causes of the accident [6].
At present, a considerable part of the existing research focuses on the performance of steel structures under high-temperature fire conditions. Through reliability analysis and calculations of temperature, axial force, and bearing capacity of a single unit, Kubicka et al. found that the choice of support mode determines the safety of the structure under high-temperature fire [7]. Băetu et al. evaluated the damage behavior of industrial steel structures in fire through numerical simulation and experimental research [8]. By exploring the postfire behaviors of various joints and using finite element simulation, Akduman et al. concluded that temperature will have a negative impact on the bearing capacity of joints [9]. Seif et al. used the INIST stress–strain model to explore the buckling of steel columns at high temperatures [10]. Karalar et al. studied the influence of heat-induced bending strain cycles on the performance of steel columns by abstracting the measured data of integral bridges [11].
There are few studies on the effects of sunshine temperature on steel structures, and only exploratory work has been carried out. There are no specific requirements for it in the current specifications. Wang et al. conducted temperature tests on steel structure specimens with I-shaped and box-shaped sections and obtained the temperature rise law of steel structure members and solar radiation under open-air sunshine conditions. At the same time, numerical simulation was conducted to determine that the sunshine temperature field has obvious nonuniformity, and the maximum temperature rise exceeds 20 °C [12,13]. Chen et al. established a model of a large-scale steel structure in Shanghai, analyzed the variation in temperature and temperature stress with time, and concluded that the temperature stress of sunshine in summer can reach more than 30% of the design strength [14]. Greve et al. measured the key nodes by 156 temperature sensors placed on the main reflector of the telescope and calculated the temperature of other nodes by interpolation method to obtain the thermal load of the IRAM-30 m telescope [15,16]. Song et al. studied the influence of solar temperature gradient on long-span bridges by establishing a temperature field–humidity field coupling model. The results show that the deflection caused by temperature gradient should be considered during the construction stage [17].
However, there are still many assumptions that have not been verified in the study of the temperature variation in open-air steel structures or components. The relationship between temperature changes and the strain law of open-air steel structures is still ambiguous, and the corresponding temperature–strain model has not yet been established. Therefore, it is necessary to conduct a comprehensive and detailed measurement of the physical quantities related to the thermal boundary conditions of steel members, study the law of strain caused by daily temperature changes in steel structures, and establish a corresponding mathematical model.
In this paper, two types of steel cylindrical specimens with different diameters and thicknesses are taken as the research object. Through the design experiment, the temperature of the environment, steel, steel stress, and other physical quantities are monitored long-term through all-weather monitoring in winter. The distribution law of uneven temperature and temperature strain of steel members has been mastered, and the relationship between air temperature, steel surface temperature, and overall deformation has been established. The law of strain on steel structures caused by daily air temperature changes has been clarified, and the mathematical model corresponding to it has been established. The stress of the steel column in winter is calculated by the temperature, which provides a reliable reference for the sunshine–strain effect of similar structures.
2. Materials and Methods
2.1. Overview of Study Area
The research area is located on the site of the third phase reconstruction and expansion project of Taiyuan Wusu Airport in Xiaodian District, Taiyuan City, Shanxi Province (37°45′ N, 112°38′ E, average altitude of 774 m). The experimental site has a flat surface, and the sun is sufficient. The experimental site is shown in Figure 1. The experimental area belongs to the typical temperate continental climate. The four seasons are distinct, the annual sunshine is sufficient, and the sunshine time is approximately 2800 h [18]. The maximum annual temperature difference can reach 50 °C.
Figure 1.
Location of the studied area and experimental site.
2.2. Specimen and Working Conditions
The material of the specimen is consistent with the engineering. The specifications were PD1400 30 mm and PD1600 35 mm, respectively. The length was 600 mm, and the surface was covered with rust. According to ‘Steel Plate for Building Structure’ [19], the materials used Q460GJC and Q345GJC, respectively, to study the response of steel members with different materials and sizes to nonuniform temperatures. The specimens were continuously monitored from November 2023 to March 2024 with a 60-s observation interval. Except for accidental power outages, a total of 122 days of temperature and strain data were collected. Figure 2 shows the collected time history of steel surface temperature.
Figure 2.
Time history curve of steel surface temperature.
2.3. Experimental Measurement Content and Equipment
In the response experiments of steel columns with different materials and sizes to temperature changes, in addition to the physical properties of the steel column itself, some physical quantities related to the thermal boundary conditions are also needed. To study the nonuniform temperature effect of the steel structure, the main physical parameter used is the surface temperature of the specimen, which has a strong correlation with the ambient temperature. Therefore, the air temperature at the experimental site was collected simultaneously in this experiment.
At present, there are two commonly used methods for measuring temperature: contact and noncontact. The contact measurement method needs to directly adsorb or embed the temperature sensor into the object to be measured, while the noncontact measurement does not need to contact with the object to be measured, but the accuracy is lower than that of the contact sensor [20]. Considering that this experiment is in an outdoor environment and the measurement accuracy is strict, it is better to choose a contact temperature sensor. Based on previous experiments, the thermal resistance with higher accuracy under working conditions was selected as the surface temperature measurement sensor for this specimen.
The nonuniform temperature effect experiment is an outdoor experiment, and the sensor needs to be as stable as possible under the premise of satisfying the accuracy. The Pt100 sensor with strong anti-interference and waterproof ability becomes the first choice. The Pt100 sensor used in this experiment is a three-wire A-level resistor with a range of −50 to 350 °C and an accuracy of 0.1 °C. The ‘technical specification and reference table for industrial platinum thermal resistance’ states that Pt100 has a temperature coefficient of TCR = 0.003851, with the following resistance–temperature characteristics [21]:
where R0 and RT are the resistance values of platinum resistance at 0 °C and T °C, respectively, A, B, and C are indexed coefficients, and B and C are much smaller than A. Therefore, the resistance value of platinum is approximately linear with temperature within a certain range.
Stress and strain measurements were conducted using the BX120-3CA-3CA strain gauges. The strain gauges can simultaneously collect stress and strain data in three directions, and their accuracy can be achieved 1 με. The experimental data of the steel columns subjected to the deformation effect of temperature change are digitally collected by the YSV8320 test and analysis system. The test and analysis system can collect 20 stress, strain, and temperature data at the same time, which is not limited by meteorological conditions. The sampling frequency of the measured parameters is 60 s. A computer can be used to directly observe the test status of the instrument, and all operations are completed by the computer. YSV8320 test and analysis system has good stability and strong anti-interference ability. It is widely used in bridge, building, aircraft, ship, vehicle, and hoisting machinery state tests. The specific information about the instruments and equipment used in the experiment is shown in Table 2, and the physical diagram is shown in Figure 3.
Table 2.
Experimental equipment information.
Figure 3.
Experimental instruments: (a) Pt100 sensor; (b) three−riaxial strain gauge; (c) analysis and measurement system.
2.4. Experimental Measuring Point Arrangement
Arranging the measuring points is a crucial component of the experiment. A reasonable sensor arrangement can ensure the accuracy of both the temperature and deformation data for the specimen. The Q345 test piece has three sets of triaxial strain gauges and a temperature sensor arrangement, while the Q460 test piece has three sets of triaxial strain gauges. The ambient temperature is measured by a set of temperature sensors, and all sensors can be replaced at any time according to demand in the future.
In the experiment on the nonuniform temperature effect, six sets of triaxial strain gauges are evenly distributed on the outer surface of the cylindrical specimen with a radius of 120° and are numbered Y1 to Y6, respectively. Y1 to Y3 are positioned on the surface of Q345 steel, while Y4 to Y6 are placed on the surface of Q460 steel. Taking into account the outdoor monitoring environment, the layout of the sensor needs to be protected to prevent the abnormal data caused by the short circuit of the water inlet. The strain gauge can measure the axial and radial temperature deformation of the specimen simultaneously. The layout is shown in Figure 4.
Figure 4.
Layout diagram of strain gauges (left is Q345, right is Q460).
3. Analysis of Experimental Results of Nonuniform Temperature Effect of Steel Column Sunshine
Continuous monitoring of air temperature was used to obtain the daily minimum and maximum temperatures in the experiment. A general model was created from a large amount of data to simulate the change in ambient temperature by combining sunrise and sunset times. By studying the deformation data caused by the temperature of a large number of specimens, the nonuniform temperature effect of steel columns in complex environments was revealed, and the nonuniform sunshine temperature effect of steel columns was discussed. An ambient temperature–steel surface temperature model was created, and when combined with the steel temperature-stress model, the steel stress was calculated using air temperature.
3.1. Regulations of Temperature Changes
Ideally, solar radiation is the main factor that affects air temperature. After the rise of the sun in winter in the study area, the solar elevation angle gradually increases, the solar radiation received by the ground gradually increases, and the temperature gradually increases, reaching a peak around 14:00; then, the solar radiation received by the ground gradually weakened, and the temperature gradually decreased. After sunset, the solar radiation received by the ground at this moment was zero, and the temperature began to rapidly decrease until the sun rose to its lowest point. The long time series temperature-time history curve and its abstract diagram are shown in Figure 5.
Figure 5.
Long–term temperature curve and daily temperature diagram.
The atmospheric temperature curve for three days during the experiment is shown in Figure 5 (left). According to the atmospheric temperature curve, the temperature drops approximately linearly from sunset to sunrise, and the daytime temperature curve can be approximated by a sine curve. The abstract diagram of the single-day temperature curve is shown in Figure 5 (right).
In Figure 5, Tmax is the highest temperature in °C; Ts is the temperature at sunset in °C; Tmin is the lowest temperature in °C; tr is sunrise time; tmax is the occurrence time of the highest temperature; and ts is sunset time.
3.2. Daily Temperature Change Model
The single-day temperature can be simulated using a combination of linear and nonlinear methods, as shown in Figure 5. The temperature before sunrise and after sunset can be simulated in a linear way, while the rest of the time is simulated using a trigonometric function. The specific expression of the daily temperature model is given as follows:
where Tmax and Tmin are the highest and lowest temperatures in a day, respectively; T0 and T24 are the temperatures at 0 am and 24 am, respectively; and tr and ts are the times of sunrise and sunset, respectively. The model can be used to calculate the daily ambient temperature when only Tmax, Tmin, T0, T24, tr, and ts of the day are known. At the same time, the model can also be used as a boundary condition for the construction of nonuniform temperature fields of steel members.
The correlation of the fitting model was judged by the model’s coefficient of determination (R2) and the level of variance analysis (F). The root mean square error (RMSE) and Relative Percent Deviation (RPD) are calculated by using the validation data set to comprehensively evaluate the inversion accuracy and prediction ability of the model. The model’s prediction accuracy increases as the RMSE value decreases. The prediction accuracy of RPD evaluation is divided into five grades. Less than 1.0 does not have predictive ability, and more than 2.5 has strong predictive ability. Table 3 illustrates the specific classification.
Table 3.
Relative Percent Deviation grading degree.
The calculation formulas for RMSE and PRD are as follows:
where yi is the predicted value of the model, is the measured value of the data, n is the number of data involved in the calculation, ySD is the standard deviation of the verification data, and yRMSE is the root mean square error of the modeling data.
The measured data of sunny weather on 30 November 2023 are compared with the corresponding model simulation data. The results are shown in Figure 6. The calculated R2, RMSE, and RPD are shown in Table 4.
Figure 6.
Comparison of the simulated and real temperatures.
Table 4.
Model validation results.
Figure 6 is the comparison between the simulated temperature and the real air temperature on 30 November 2023. The model uses a combination of linear and nonlinear forms to simulate daily temperature, and its R2 values are 0.747, 0.808, and 0.853, respectively, which is a good fit. At the same time, the model’s RPD is higher than 2, resulting in a high level of quantitative prediction accuracy.
To verify the universality of the temperature model, the measured data on 11 January 2024 were randomly selected to verify its universality. The model verification results are shown in Table 5, and the simulated temperature curve and the measured temperature curve are shown in Figure 7.
Table 5.
Results of universal verification of the model.
Figure 7.
Model universality verification results.
In most time periods, the time history curves of the measured temperature and the simulated temperature are consistent, except for the sunset stage, as can be observed in Figure 7. The RPD of the sunset stage with the worst simulation effect also reached 1.58, with general quantitative prediction accuracy. The models in other stages have high prediction accuracy, which proves that the model has good universality.
If the temperature changes rapidly in a short period, the model’s simulation effect in this period is significantly less than that in other periods. The simulation effect is effective when there is continuous change and no short-term jump.
3.3. The Model for the Temperature of Steel Surfaces and Air Temperatures
Ideally, the surface temperature of steel exposed to the open-air environment changes with the change in solar radiation. However, the measurement principle for solar radiation is more complex and requires a lot of calculations, which is not conducive to actual production and life. Air temperature is influenced by solar radiation, and it is easier to obtain than solar radiation. Therefore, the relationship model between steel surface temperature and air temperature is replaced by the relationship model between steel surface temperature and solar radiation.
The surface temperature of steel has a similar trend to air temperature, and there is a lag effect of ten minutes to half an hour between the surface temperature of the steel and the air temperature in the current experimental environment. Therefore, the relationship between the surface temperature of the steel and the air temperature can be established by the piecewise mathematical transformation of the air temperature model. The mathematical model is established as follows:
where . In Equation (5), all are constants except time t and function g(t), where φ2 and φ1 are the lag times of steel surface temperature compared with air temperature in h; K1 and K3 are the ratios of the slope of the steel temperature line to the slope of the air temperature line; , with A1 and A2 as the corresponding temperature curve amplitudes.
The steel–air temperature model curve on 30 November 2023 and the measured temperature curve are compared in Figure 8. Table 6 shows the model verification results.
Figure 8.
Air temperature–steel surface temperature model and measured steel temperature curve.
Table 6.
Model validation results.
In almost all time periods, the time history curves of the measured temperature and the simulated temperature overlap. The sunset stage’s RPD with the worst simulation effect reaches 1.78, which has a generally quantitative prediction accuracy. The remaining stage models have high levels of prediction accuracy.
3.4. Analysis of Experimental Results of the Steel Column Strain Law
3.4.1. The Temperature Distribution Law for the Length Direction of the Specimen and the Inner and Outer Sides of the Same Position
The specimen is a thick-walled and long steel section. The temperature distributions along the length direction (axial) of the specimen and the inner and outer sides of the same position are studied to eliminate the influence of the arrangement of the measuring points on the results. Taking the temperature measuring points of Q345 cylindrical steel and Q460 cylindrical steel as an example, the temperature distribution law of the specimen along the axial direction is studied by comparing the axial temperature time history curve. In each specimen, there is a maximum temperature difference of 0.5 °C between the axial measuring points. It can be considered that the temperature gradient along the axial direction of the slender steel structure specimen can be neglected without shelter. Taking the Q345 sample as an example, three sets of temperature sensors were arranged. The sensor groups are distributed on both the inner and outer sides of the sample on a horizontal line. The findings indicate that the temperature difference between the same horizontal position measuring points is not more than 4.0 °C. Based on the purpose of this experiment, it can be considered that the arrangement of measuring points for long-wall thick-walled steel structure specimens has no effect on the experimental results.
3.4.2. Temperature Distribution Law of Specimens
Based on the temperature experimental data obtained from long-term monitoring, this study takes the day of 7 March 2024, the highest temperature of the specimen during the experiment, as an example to analyze the temperature distribution and time-varying characteristics of typical steel specimens in detail. Figure 9 shows the maximum and minimum temperatures, temperature difference, and time history curve of the Q460 specimen. Comparing the statistical data in Figure 9, it can be seen that there is a temperature difference between the measuring points of the cylindrical specimen, and this phenomenon is particularly obvious during the day, indicating that the temperature distribution caused by the influence of solar radiation in the specimen is nonuniform. The temperature of the daytime specimen is higher than the ambient temperature, and it reaches its highest temperature at approximately 2:00 p.m.–3:00 p.m. The temperature of the specimen at night continues to decrease and reaches its lowest point after sunrise. The main reason is that the temperature of the specimen at night is higher than the ambient temperature, and the heat convection between the specimen and the surrounding environment causes the temperature of the specimen to continue to decrease. The ambient temperature starts to increase after sunrise, and the radiation heat transfer between the specimen and the surrounding environment gradually decreases until it reaches equilibrium, and the surface temperature drops to its lowest point.
Figure 9.
The temperature–time curves of measuring point arrangement in Q460.
The measuring point W-1 is placed in the southeast and has direct sunlight. Its temperature–time history curve has the same trend as the atmospheric temperature curve, reaching its highest temperature point at 2:00 p.m. The temperature reaches its highest point at approximately 3:30 p.m. at the measuring point W-2 on the southwest side. The measuring point W-3 is located on the inner side of the steel northwest and is exposed to direct sunlight. The temperature measured at this point is the highest among the four temperature measuring points. The measuring point W-4 is located on the north side, and its highest temperature is the lowest among the four measuring points. There is a difference in temperature distribution among all measuring points throughout the day, and the maximum temperature difference between different measuring points can be 13.63 °C.
In the sunshine environment, the steel specimen is affected by the nonuniform temperature, resulting in the generation of bending stresses. The bending stress can be calculated by using the following expression:
where and are the strain of the top surface measuring point and the strain on the bottom surface measuring point, respectively, D is the diameter of the circular tube specimen (m), and y is the distance between the top or bottom measuring point and the neutral axis (m).
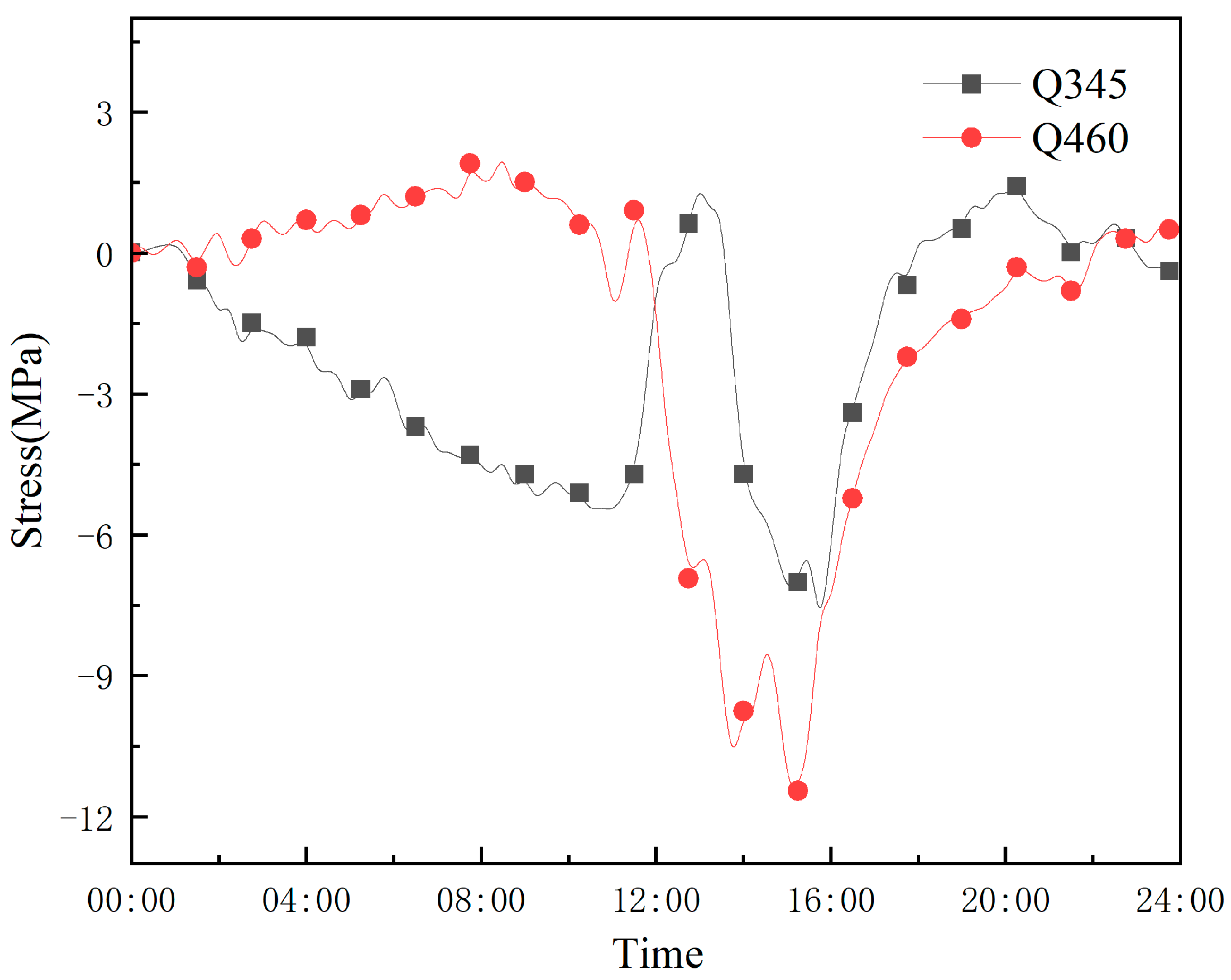
The relationship between the bending stress of the two material specimens and time can be seen in Figure 10. From the diagram, it can be seen that there are obvious bending stresses in the specimens of the two materials, of which the maximum can reach 11.45 MPa, accounting for about 15.7% of the maximum radial stress at the same time. For larger-span buildings or summers with stronger solar radiation, the stress generated by sunshine, especially the bending stress, cannot be ignored.
Figure 10.
Bending stress variation curves for the specimen.
Bending stress has an important influence on the overall structural integrity and safety of steel columns in practice. When the steel column is subjected to a bending load, bending stress will be generated, which may lead to a reduction in the bearing capacity of some areas of the steel column. At the connection of the steel column or other uneven places, the bending stress may be concentrated in the local area, resulting in an increase in the stress there, which may cause fatigue cracks or even failure, affecting the safety of the overall structure.
The time–history curves for axial deformation and horizontal radial deformation of the two specimens are shown in Figure 11. The test results show that the axial and radial deformations of the two specimens are very small, the maximum axial deformation is 0.23 mm, the length of the specimen is 0.6 m, and the deformation of the steel bar caused by temperature is less than 4/10,000 of the length. The maximum radial deformation is 0.22 mm. Considering the diameter of the specimen (1.6 m), the deformation caused by temperature is less than 2/10,000 of its diameter, which indicates that sunshine has little effect on the deformation of steel.
Figure 11.
Axial and radial temperature deformations of the specimen (left is axial, right is radial).
3.4.3. The Stress and Deformation Law of the Specimen
Based on a large number of experimental data obtained from long-term temperature monitoring, this study takes the experimental results on 30 November 2023 as an example to analyze the nonuniform temperature deformation effect of steel column members in detail. Figure 12 shows the temperature stress curve for each measuring point of the Q460 specimen over a whole day. Due to wire fracture, the Y6 measurement point was eliminated from Figure 12.
Figure 12.
Time−history curves of stress change in the specimen (left is axial, right is radial).
According to the experimental results, the temperature stress of the specimen is compressive, and its distribution is not balanced. At the same time, there is a significant negative correlation between compressive stress and the temperature curve. The stress increases with the decrease in temperature, and vice versa. After sunrise, the temperature of steel began to rise gradually, and the compressive stress of the specimens of both materials began to decline rapidly, reaching the minimum value at about 2:00 p.m. The minimum axial stress was 9.242 MPa at 1:30 p.m., and the minimum radial stress was 4.013 MPa at 1:30 p.m. Due to the heat exchange between the steel and the environment after sunset, the temperature of the steel gradually decreases, and the compressive stress gradually increases, reaching its peak at sunrise.
3.4.4. Relationships between Temperature and Stress of Specimens
The variation trend of temperature and stress with time is analyzed according to experimental data. The typical temperature–stress time history curves of two kinds of specimens are given in Figure 13. The correlation coefficients for temperature and stress in both materials are 0.91 and 0.89, respectively.
Figure 13.
Temperatures and stresses of specimens (left is Q345, right is Q460).
There is a very high correlation between the temperature and the stress of the specimen, and the linear relationship between the stress and the temperature can be determined by linear fitting. Figure 14 is the fitting diagram of temperature and axial stress for two kinds of material specimens. From the results in the diagram, it can be seen that there is a negative correlation between temperature and axial stress in two types of material specimens. At low stress levels, increasing the temperature will lead to a decrease in compressive stress, which is caused by the thermal expansion effect of the material. Heat causes the material to expand, leading to an increase in its volume. This expansion reduces the constraints on the material and reduces the stress generated by the same external pressure. Therefore, the axial stress of the specimens of the two materials at low stress levels is negatively correlated with temperature. The linear fitting determination coefficients R2 of temperature–stress of Q345 and Q460 specimens are 0.844 and 0.805, respectively.
Figure 14.
The relationships between the temperature stress of the specimen and the temperature of the steel (left is Q345, right is Q460).
3.4.5. Relationships between Specimen Stress and Atmospheric Temperature
Linear fitting is used to obtain a stress calculation method using the atmospheric temperature model obtained above to replace the steel temperature. The fitting diagram for the two specimens and the atmospheric temperature is shown in Figure 15. The diagram indicates a strong linear correlation between the simulated temperature and the stress of the specimens. The linear fitting determination coefficients R2 of the simulated atmospheric temperature–stress of Q345 and Q460 specimens are 0.868 and 0.797, respectively.
Figure 15.
The relationships between the temperature stress of the specimen and the simulated air temperature (left is Q345, right is Q460).
4. Discussion
Due to the advancement of building materials, there has been a steady increase in the proportion of large-span buildings in modern buildings over the past decades. At the same time, the widespread use of light-transmitting materials has increased the sensitivity of steel structures to temperature changes. However, designers easily ignore the temperature effect of buildings caused by temperature changes. According to reference [5], when the average temperature changes in box members occurred at 20 °C and 40 °C, the temperature stresses reached 49.44 MPa and 98.88 MPa, respectively. Reference [9] pointed out that the temperature stress in summer sunshine can reach 30% of the design strength of steel.
At present, there are few studies on the temperature effects caused by temperature changes in steel structures, and only exploratory work is being carried out. Most of them are measured for a specific project, and the mathematical model corresponding to it has not been established. Furthermore, the current specification is unclear about the temperature effect caused by the temperature change.
In view of the current lack of temperature–steel temperature effect models, based on the measured data of long-term temperature, stress, and strain in winter, this study deduces the time–history variation law of daily temperature, establishes the relationship model between temperature and steel surface temperature, and discusses the strain law of open-pit steel columns in winter by daily temperature change in combination with strain data.
The current model still has some potential limitations such as seasonal factors, external factors, regional factors, etc. It will affect the model’s predictive performance in nonwinter and other regions. In the follow-up study, the model will be gradually improved, and the measured data of other regions will further increase through the identification and processing of seasonal effects by feature engineering so as to further improve the generalization ability of the model.
The experiment in this study was carried out on steel columns, and numerical simulation methods can be used to extrapolate the experimental results to other steel structures. By creating a detailed finite element model and using experimental data as input parameters in the model, the mechanical response of other steel structures under the same conditions can be predicted. At the same time, the simulation results are verified by small-scale experiments before the results are extrapolated, and the simulation results are calibrated.
The randomly selected observation data proves that the model has a high prediction accuracy and strong applicability.
5. Conclusions
In this study, based on a large number of experimental data, the construction of a daily temperature physical model and the method of calculating the temperature stress of specimens were completed. The main conclusions are drawn as follows:
(1) The daily temperature model constructed by the linear-nonlinear model can simulate the daily temperature. The simulation effect is good for the period of continuous change period and no short-term jump.
(2) The temperature distribution of the specimen caused by solar radiation during the day is nonuniform. The maximum temperature difference between different measuring points during the experiment can be 13.63 °C, and the stress generated accounts for 15.7% of the maximum radial stress simultaneously.
(3) In winter, both specimens are subjected to compressive stress, and the distribution is uneven. There is a significant negative correlation between the steel temperature and this stress.
(4) Through statistical analysis, it can be considered that the temperature of the steel is linearly related to its stress. The daily temperature model combined with the fitting model can also be used to calculate the stress of the specimen.
Author Contributions
Conceptualization, X.L. and C.C.; methodology, X.L.; software, X.Z.; validation, Y.C. (Yucheng Chen) and Y.Z.; formal analysis, Y.C. (Yang Chen); investigation, Y.C. (Yang Chen), C.L. and Q.Y.; resources, Y.Z. and Y.C. (Yongxin Cai); data curation, X.Z. and Y.C. (Yucheng Chen); writing—original draft preparation, C.C.; writing—review and editing, X.L.; visualization, X.L.; supervision, C.L. and Y.C. (Yongxin Cai) and Q.Y.; project administration, X.Z. All authors have read and agreed to the published version of the manuscript.
Funding
This research was funded by the Shanxi Natural Science Foundation of China (Grant No. 202203021211153), National Natural Science Foundation of China (Grant No. 51704205), and Shanxi Water Conservancy Technology and Research Promotion Project of China (Grant No. 2023GM12). The APC was funded by 2023GM12.
Data Availability Statement
The raw data supporting the conclusions of this article will be made available by the authors upon request.
Conflicts of Interest
Authors Xinbin Zhan and Yu Zhang were employed by the company Beijing Urban Construction Group Co., Ltd. Authors Yang Chen, Cheng Liu and Yongxin Cai were employed by the company Shanxi Aviation Industry Group Co., Ltd. Author Qiang Yu was employed by the company Taiyuan Construction Engineering Quality and Safety Station. The remaining authors declare that the research was conducted in the absence of any commercial or financial relationships that could be construed as a potential conflict of interest.
References
- Wang, J.; Liu, Y.; Fan, J.; Zhou, M.; Nie, J.; Qiang, A.; Zhou, Z. Analysis on non-uniform temperature field of large-spansteel truss structure with inclined leg. Eng. Mech. 2024, 41, 208–218. [Google Scholar] [CrossRef]
- Li, X. National Stadium design. Archit. J. 2008, 8, 1–17. [Google Scholar]
- Li, B.; Chen, Z.; Liu, H.; Zhang, F.; Li, G.; Wang, K. ETFE air cushion membrane structures. Progress. Steel Build. Struct. 2016, 1–9. [Google Scholar] [CrossRef]
- Li, D.; Cao, P.; Lu, W.; Fu, X.; Wu, W.; Li, C. Study on temperature effect and construction closing temperature in steel roof of concert hall in Jiangsu Grand Theater. Build. Struct. 2018, 48, 113–117+107. [Google Scholar] [CrossRef]
- Fan, Z.; Wang, J.; Tang, J. Analysis on temperature field and determination of temperature upon healing of large-spansteelstructure of the National Stadium. J. Build. Struct. 2007, 28, 9. [Google Scholar] [CrossRef]
- Wu, J. Inner Mongolia Ordos International Nadam Stadium part of the reconstruction project awning steel structure installation. Inn. Mong. Sci. Technol. Econ. 2013, 23, 63+65. [Google Scholar]
- Kubicka, K.; Radoń, U. The impact of support type on the reliability of steel trusses subjected to the action of a fire. Appl. Sci. 2020, 10, 7916. [Google Scholar] [CrossRef]
- Băetu, G.; Gălățanu, T.-F.; Băetu, S.-A. Behavior of steel structures under elevated temperature. Procedia Eng. 2017, 181, 265–272. [Google Scholar] [CrossRef]
- Akduman, S.; Karalar, M.; Mert, N.; Öztürk, H. Investigation of the post-fire behavior of different end-plated beam-column connections. Buildings 2024, 14, 1013. [Google Scholar] [CrossRef]
- Seif, M.; Choe, L.; Gross, J.; Luecke, W.E.; Main, J.A.; McColskey, D.; Sadek, F.; Weigand, J.M.; Zhang, C. Temperature-Dependent Material Modeling for Structural Steels: Formulation and Application; NIST Technical Note 1907; National Institute of Standards and Technology (NIST): Gaithersburg, MD, USA, 2016. [CrossRef]
- Karalar, M.; Dicleli, M. Effect of thermal induced flexural strain cycles on the low cycle fatigue performance of integral bridge steel H-piles. Eng. Struct. 2016, 124, 388–404. [Google Scholar] [CrossRef]
- Wang, Y.; Lin, C.; Shi, Y. Experimental study on the temperature of steel members in sunshine. J. Build. Struct. 2010, 31, 140–147. [Google Scholar]
- Lin, C.; Wang, Y.; Shi, Y. Analysis of the temperature field of steel members in sunshine. Steel Constr. 2010, 25, 38–43+31. [Google Scholar]
- Chen, J.; Hong, H.; Fan, H. Study on temperature effects of space steel structure under sun shine. Steel Constr. 2011, 12, 1–5. [Google Scholar] [CrossRef]
- Greve, A.; Bremer, M.; Penalver, J.; Raffin, P.; Morris, D. Improvement of the IRAM 30-m telescope from temperature measurements and finite-element calculations. IEEE Trans. Antennas Propag. 2005, 53, 851–860. [Google Scholar] [CrossRef]
- Greve, A.; Mangum, J. Mechanical measurements of the ALMA prototype antennas. IEEE Antennas Propag. Mag. 2008, 50, 66–80. [Google Scholar] [CrossRef]
- Song, X.; Melhem, H.; Li, J.; Xu, Q.; Cheng, L. Effects of solar temperature gradient on long-span concrete box girder during cantilever construction. J. Bridge Eng. 2016, 21, 04015061. [Google Scholar] [CrossRef]
- Gao, Y.; Lian, X.; Ge, L. Inversion model of surface bare soil temperature and water content based on UAV thermal infrared remote sensing. Infrared Phys. Technol. 2022, 125, 104289. [Google Scholar] [CrossRef]
- GB/T 19879-2023; Steel Plate for Building Structure. China Iron and Steel Industry Association: Beijing, China, 2023.
- Sha, Z. Principle and Application of Intelligent Integrated Temperature Sensor; Mechanical Industry Press: Beijing, China, 2002. [Google Scholar]
- JB/T 8622-1997; Technical Specification and Reference Table for Industrial Platinum Thermal Resistance. Ministry of Machine Building: Beijing, China, 1997.
Disclaimer/Publisher’s Note: The statements, opinions and data contained in all publications are solely those of the individual author(s) and contributor(s) and not of MDPI and/or the editor(s). MDPI and/or the editor(s) disclaim responsibility for any injury to people or property resulting from any ideas, methods, instructions or products referred to in the content. |
© 2024 by the authors. Licensee MDPI, Basel, Switzerland. This article is an open access article distributed under the terms and conditions of the Creative Commons Attribution (CC BY) license (https://creativecommons.org/licenses/by/4.0/).














