Study on GA–ANN-Based Prediction of Paving Time of Cement-Stabilized Layer above Ultra-High-Filled Subgrade
Abstract
1. Introduction
2. GA–ANN Theory
3. Project Overview
4. Data Pre-Processing and Sensitivity Analysis
4.1. Data Pre-Processing
4.2. Algorithm Parameter
4.3. Sensitivity Analysis
5. Predictive Analysis
5.1. Model Training
5.2. Predictive Effect of Each Measurement Point
6. Discussion on Paving Time for Cement-Stabilized Gravel Layer
6.1. Discussion on Slope Horizontal Deformation
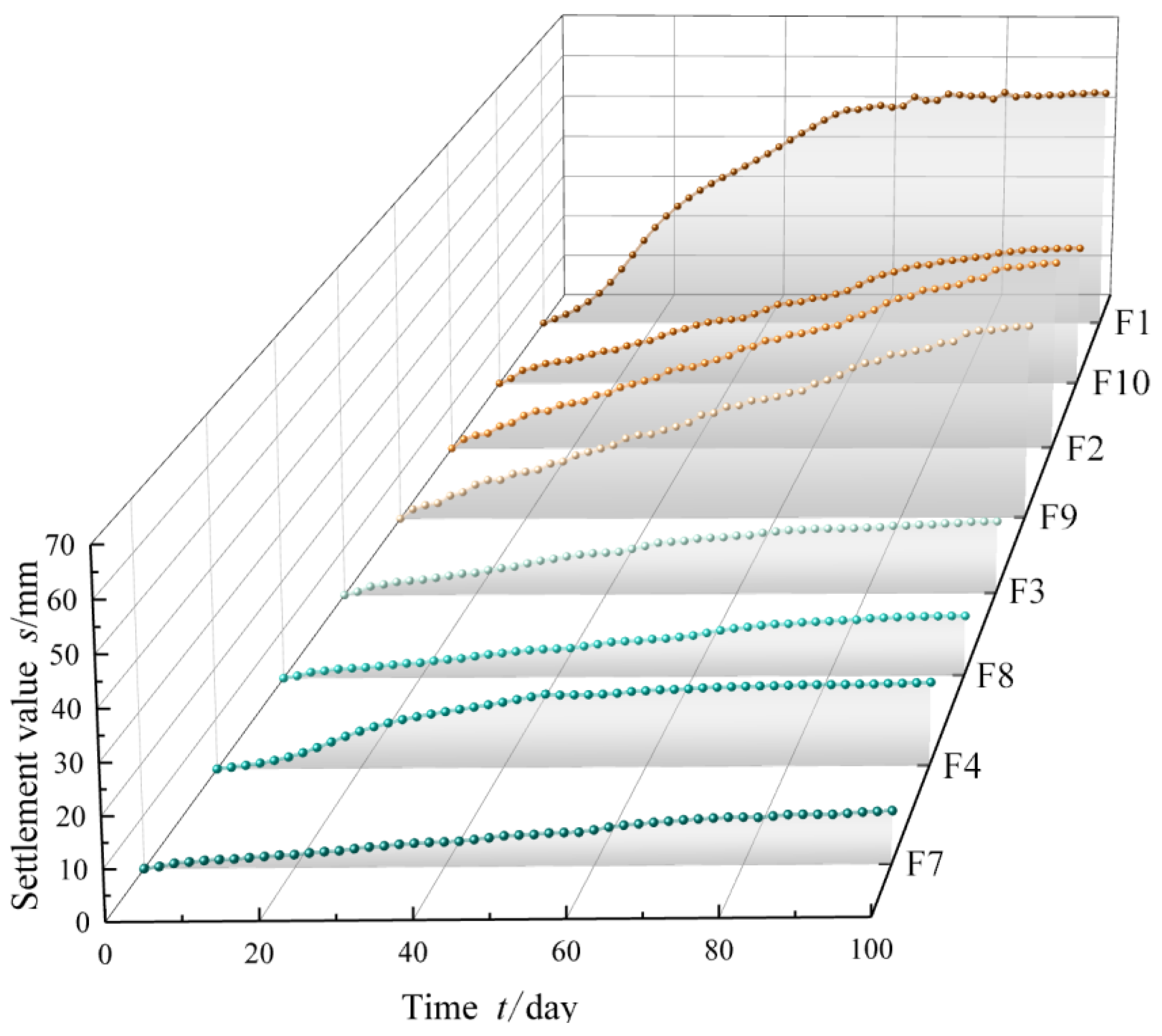
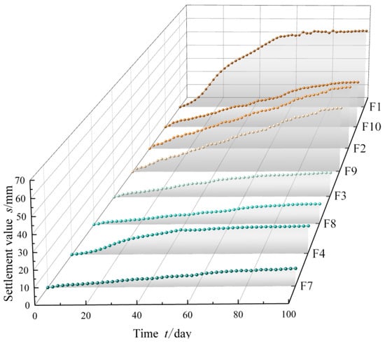
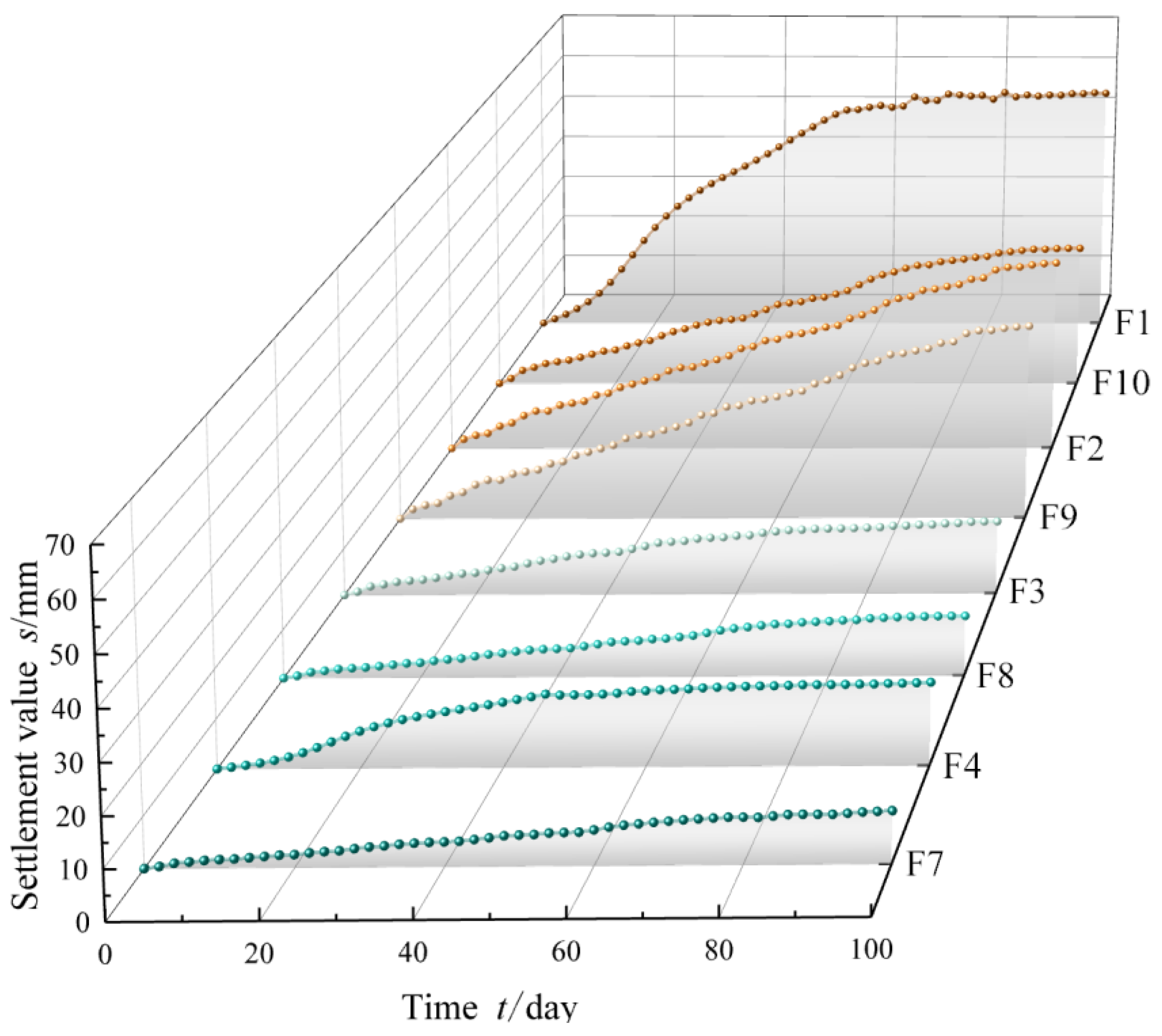
6.2. Discussion on Settlement
7. Conclusions
- (1)
- By introducing the genetic algorithm (GA), the nonlinear mapping capability of the ANN algorithm and the global optimization search capability of the GA algorithm are combined. Compared to ANN, the GA–ANN model has smaller RMSE and MAPE values, with MAPE being less than 10%, indicating relatively ideal prediction accuracy.
- (2)
- Using the GA–ANN model for subsequent predictions of settlement data at the four measurement points F1, F2, F9, and F10, the prediction curves exhibit a smoother shape and are closer to the measured curves. The GA–ANN model better predicts sudden changes in settlement rates, with a basic deviation within ±3 mm. In contrast, the ANN model has larger prediction errors, with predicted values lower than the measured values, leading to an optimistic estimation of early settlement convergence.
- (3)
- According to the slope horizontal deformation monitoring data, the slope is in a stable state, despite some adverse effects caused by the filling process or slope construction disturbances.
- (4)
- Using the predicted settlement curve by GA–ANN and paving requirements, the paving time of the cement-stabilized layer was estimated. According to the estimated time, the contractor carried out construction organization planning in advance, and there was no cracking phenomenon of the cement-stabilized gravel layer during paving. The project has been opened to traffic for half a year, and the pavement is in good operating condition.
Author Contributions
Funding
Data Availability Statement
Conflicts of Interest
Appendix A
| Input | Output | |||
|---|---|---|---|---|
| Number of Days. (d). | Settlement Value 15 Days Ago (mm) | Settlement Rate Value 15 Days Ago (mm/month) | Current Settlement Value (mm) | Current Settlement Rate (mm/month) |
| 15.0. | 0.00 | 15.80 | 13.46 | 49.24 |
| 15.5. | 0.25 | 16.04 | 14.30 | 50.76 |
| 16.0. | 0.49 | 16.38 | 15.15 | 52.02 |
| 16.5. | 0.75 | 16.81 | 16.01 | 53.03 |
| 17.0. | 1.00 | 17.34 | 16.88 | 53.77 |
| 17.5. | 1.26 | 17.96 | 17.75 | 54.23 |
| 18.0. | 1.53 | 18.67 | 18.61 | 54.41 |
| 18.5. | 1.81 | 19.48 | 19.46 | 54.30 |
| 19.0. | 2.10 | 20.38 | 20.30 | 53.89 |
| 19.5. | 2.40 | 21.37 | 21.12 | 53.17 |
| 20.0. | 2.71 | 22.46 | 21.92 | 52.18 |
| 20.5. | 3.04 | 23.64 | 22.69 | 50.97 |
| 21.0. | 3.39 | 24.92 | 23.44 | 49.59 |
| 21.5. | 3.75 | 26.28 | 24.16 | 48.10 |
| 22.0. | 4.13 | 27.75 | 24.86 | 46.55 |
| 22.5. | 4.53 | 29.30 | 25.54 | 44.97 |
| 23.0. | 4.96 | 30.95 | 26.19 | 43.40 |
| 23.5. | 5.41 | 32.70 | 26.81 | 41.88 |
| 24.0. | 5.88 | 34.54 | 27.42 | 40.44 |
| 24.5. | 6.38 | 36.48 | 28.01 | 39.06 |
| 25.0. | 6.91 | 38.51 | 28.57 | 37.75 |
| 25.5. | 7.47 | 40.61 | 29.12 | 36.48 |
| 26.0. | 8.06 | 42.79 | 29.65 | 35.26 |
| 26.5. | 8.69 | 44.95 | 30.16 | 34.08 |
| 27.0. | 9.34 | 47.02 | 30.66 | 32.96 |
| 27.5. | 10.04 | 48.89 | 31.14 | 31.88 |
| 28.0. | 10.77 | 50.51 | 31.60 | 30.85 |
| 28.5. | 11.53 | 51.83 | 32.05 | 29.88 |
| 29.0. | 12.32 | 52.88 | 32.49 | 28.95 |
| 29.5. | 13.13 | 53.65 | 32.92 | 28.08 |
| 30.0. | 13.96 | 54.15 | 33.33 | 27.26 |
| 30.5. | 14.81 | 54.39 | 33.73 | 26.48 |
| 31.0. | 15.67 | 54.34 | 34.12 | 25.76 |
| 31.5. | 16.53 | 53.99 | 34.50 | 25.09 |
| 32.0. | 17.40 | 53.34 | 34.88 | 24.46 |
| 32.5. | 18.27 | 52.40 | 35.24 | 23.89 |
| 33.0. | 19.12 | 51.23 | 35.60 | 23.37 |
| 33.5. | 19.97 | 49.88 | 35.96 | 22.90 |
| 34.0. | 20.79 | 48.40 | 36.30 | 22.47 |
| 34.5. | 21.60 | 46.86 | 36.65 | 22.11 |
| 35.0. | 22.38 | 45.28 | 36.98 | 21.79 |
| 35.5. | 23.14 | 43.71 | 37.32 | 21.53 |
| 36.0. | 23.88 | 42.18 | 37.66 | 21.33 |
| 36.5. | 24.59 | 40.72 | 37.99 | 21.19 |
| 37.0. | 25.27 | 39.33 | 38.32 | 21.11 |
| 37.5. | 25.93 | 38.01 | 38.66 | 21.09 |
| 38.0. | 26.57 | 36.73 | 39.00 | 21.13 |
| 38.5. | 27.18 | 35.50 | 39.34 | 21.22 |
| 39.0. | 27.77 | 34.32 | 39.68 | 21.37 |
| 39.5. | 28.35 | 33.18 | 40.03 | 21.58 |
| 40.0. | 28.91 | 32.09 | 40.39 | 21.86 |
| 40.5. | 29.44 | 31.05 | 40.75 | 22.21 |
| 41.0. | 29.96 | 30.07 | 41.12 | 22.61 |
| 41.5. | 30.46 | 29.13 | 41.50 | 23.06 |
| 42.0. | 30.95 | 28.25 | 41.88 | 23.51 |
| 42.5. | 31.42 | 27.42 | 42.27 | 23.94 |
| 43.0. | 31.88 | 26.63 | 42.67 | 24.35 |
| 43.5. | 32.32 | 25.90 | 43.07 | 24.71 |
| 44.0. | 32.75 | 25.22 | 43.47 | 25.03 |
| 44.5. | 33.17 | 24.58 | 43.88 | 25.30 |
References
- Hunter, G.; Fell, R. Prediction of impending failure of embankments on soft ground. Can. Geotech. J. 2003, 40, 209–220. [Google Scholar] [CrossRef]
- Wei, D.; Kou, H. Study on Fitting and Prediction of Settlement Deformation Data of High Fill subgrade in Expressway. Highw. Eng. 2018, 43, 251–255. [Google Scholar]
- Pan, L.-Y.; Xie, X.-Y. Observational settlement prediction by curve fitting methods. Rock Soil Mech. 2004, 25, 1053–1058. [Google Scholar]
- Zhang, J.-Z. Prediction and analysis of unsaturated soil foundation settlement based on Asaoka’s method. Highway 2021, 66, 316–318. [Google Scholar]
- Liu, J.; Yang, Z.; Han, J.; Chen, M. Comparison and analysis of some methods of soft soil subgrade settlement prediction. Eng. Surv. Mapp. 2016, 25, 52–56. [Google Scholar]
- Li, Y.; Leng, W.; Nie, R.; Mei, H.; Zhou, S.; Dong, J. A Combination Prediction Model for Subgrade Settlement Based on the Improved Set Pair Analysis Theory. J. Basic Sci. Eng. 2021, 29, 961–972. [Google Scholar]
- Ma, X.; Chen, Y.; Wang, X. Study on Settlement Combination Prediction of High Fill Subgrade in Turnout Area of High-speed Railway Station. J. China Railw. Soc. 2023, 45, 105–113. [Google Scholar]
- Feng, L.; Zhang, L.M. Enhanced prediction intervals of tunnel-induced settlement using the genetic algorithm and neural network. Reliab. Eng. Syst. Saf. 2022, 223, 108439. [Google Scholar] [CrossRef]
- Shen, Y.M.; Zhang, D.M.; Zhang, J.E. Prediction of long-term settlement in shield tunnel using GA-BP neural network. In Geotechnical Aspects of Underground Construction in Soft Ground; CRC Press: Boca Raton, FL, USA, 2021; pp. 656–663. [Google Scholar]
- He, J.; Zhang, B.; Luo, J. Study on the prediction of high-fill foundation settlement in Guangxi carbonaceous rock areas based on fuzzy neural network models. West. China Commun. Sci. Technol. 2020, 2020, 60–63. [Google Scholar]
- Miao, J.; Chen, X.; Lv, Y.; Wang, D.-Y. Prediction on deformation and reliability of subgrade of Qinghai-Tibet Railway based on BP neural network method. J. Nat. Disasters 2018, 27, 81–87. [Google Scholar]
- Chen, J.; Li, A.; Bao, C.; Dai, Y.; Liu, M.; Lin, Z.; Niu, F.; Zhou, T. A deep learning forecasting method for frost heave deformation of high-speed railway subgrade. Cold Reg. Sci. Technol. 2021, 185, 103265. [Google Scholar] [CrossRef]
- Shihabudheen, K.V.; Pillai, G.N.; Peethambaran, B. Prediction of landslide displacement with controlling factors using extreme learning adaptive neuro-fuzzy construction settlement with unevenly spaced time series. J. Zhejiang Univ. (Eng. Sci.) 2022, 56, 683–691. [Google Scholar]
- Ding, J.-W.; Wei, X.; Gao, P.-J.; Hu, J.; Chen, W.-H.; Jiao, N. Prediction of settlement of soft soil subgrade during operation based on GA-BP neural network. J. Southeast Univ. (Nat. Sci. Ed.) 2023, 53, 585–591. [Google Scholar]
- Chen, W.-H.; Luo, Q.; Wang, T.-F.; Jiang, L.-W.; Zhang, L. Bi-LSTM based rolling forecast of subgrade post-construction settlement with unevenly spaced time series. J. Zhejiang Univ. (Eng. Sci.) 2022, 56, 683–691. [Google Scholar]
- Song, X. Prediction of Highway Subgrade Settlement Based on IPSO-LSSVM Model. Geomat. Spat. Inf. Technol. 2023, 46, 177–180. [Google Scholar]
- Mousavi, S.M.; Mostafavi, E.S.; Jiao, P. Next generation prediction model for daily solar radiation on horizontal surface using a hybrid neural network and simulated annealing method. Energy Convers. Manag. 2017, 153, 671–682. [Google Scholar] [CrossRef]
- Alsarraf, J.; Moayedi, H.; Rashid, A.S.A.; Muazu, M.A.; Shahsavar, A. Application of PSO-ANN modelling for predicting the exergetic performance of a building integrated photovoltaic/thermal system. Eng. Comput. 2019, 36, 633–646. [Google Scholar] [CrossRef]
- Mosallanezhad, M.; Moayedi, H. Developing hybrid artificial neural network model for predicting uplift resistance of screw piles. Arab. J. Geosci. 2017, 10, 479. [Google Scholar] [CrossRef]
- Muhammad, N.A.R.; Syed, T.A.J.; Abidhan, B.; Shukla, S.K. Predicting and validating the load-settlement behavior of large-scale geosynthetic-reinforced soil abutments using hybrid intelligent modeling. J. Rock Mech. Geotech. Eng. 2023, 15, 773–788. [Google Scholar]
- JTG D30-2015; Ministry of Transport of the People’s Republic of China. Specifications for Design of Highway Subgrades. China Communication Press: Beijing, China, 2015.
- GB50026-2020; Ministry of Housing and Urban-Rural Development of the People’s Republic of China. Code for Engineering Surveying. Beijing China Planning Publishing House: Bejing, China, 2020.
- GB 50330-2013; Ministry of Housing and Urban-Rural Development of the People’s Republic of China. Technical Code of Construction Slope Engineering. China Building Industry Press: Bejing, China, 2013.













| Deformation Measurement Class | Vertical Deformation Monitoring | Horizontal Deformation Monitoring | |
|---|---|---|---|
| Mean Square Error in Elevation of Deformation Points/mm | Mean Square Error in Elevation of Adjacent Settlement deformation points/mm | Mean Square Error of Deformation Point Position/mm | |
| fourth class | ±2.0 | ±1.0 | ±12.0 |
| Measurement Points | Model | Training Set Accuracy Index | Testing Set Accuracy Index | ||
|---|---|---|---|---|---|
| RMSE/mm | MAPE/% | RMSE/mm | MAPE/% | ||
| F1 | ANN | 0.721 | 8.1 | 1.017 | 7.7 |
| GA–ANN | 0.332 | 3.9 | 0.385 | 3.0 | |
| F2 | ANN | 0.753 | 10.7 | 1.397 | 8.3 |
| GA–ANN | 0.317 | 6.5 | 0.611 | 6.0 | |
| F9 | ANN | 0.682 | 9.4 | 1.422 | 9.7 |
| GA–ANN | 0.207 | 5.1 | 0.532 | 4.0 | |
| F10 | ANN | 0.815 | 13.2 | 1.615 | 12.0 |
| GA–ANN | 0.415 | 9.3 | 0.844 | 10.5 | |
Disclaimer/Publisher’s Note: The statements, opinions and data contained in all publications are solely those of the individual author(s) and contributor(s) and not of MDPI and/or the editor(s). MDPI and/or the editor(s) disclaim responsibility for any injury to people or property resulting from any ideas, methods, instructions or products referred to in the content. |
© 2024 by the authors. Licensee MDPI, Basel, Switzerland. This article is an open access article distributed under the terms and conditions of the Creative Commons Attribution (CC BY) license (https://creativecommons.org/licenses/by/4.0/).
Share and Cite
Liu, W.; Chao, W.; Jin, Y.; Yang, F.; Fan, L.; Zhang, W.; Wu, L.; Song, C. Study on GA–ANN-Based Prediction of Paving Time of Cement-Stabilized Layer above Ultra-High-Filled Subgrade. Buildings 2024, 14, 2312. https://doi.org/10.3390/buildings14082312
Liu W, Chao W, Jin Y, Yang F, Fan L, Zhang W, Wu L, Song C. Study on GA–ANN-Based Prediction of Paving Time of Cement-Stabilized Layer above Ultra-High-Filled Subgrade. Buildings. 2024; 14(8):2312. https://doi.org/10.3390/buildings14082312
Chicago/Turabian StyleLiu, Wenjie, Wanli Chao, Yuxuan Jin, Fei Yang, Limin Fan, Wuqiao Zhang, Lijian Wu, and Changjun Song. 2024. "Study on GA–ANN-Based Prediction of Paving Time of Cement-Stabilized Layer above Ultra-High-Filled Subgrade" Buildings 14, no. 8: 2312. https://doi.org/10.3390/buildings14082312
APA StyleLiu, W., Chao, W., Jin, Y., Yang, F., Fan, L., Zhang, W., Wu, L., & Song, C. (2024). Study on GA–ANN-Based Prediction of Paving Time of Cement-Stabilized Layer above Ultra-High-Filled Subgrade. Buildings, 14(8), 2312. https://doi.org/10.3390/buildings14082312
