Abstract
In response to the increasing threat of powerful earth-penetrating weapons, underground protective structures typically employ composite structural systems with reinforced steel layers. However, current numerical studies often simplify the entire structural system to plain concrete when assessing damage effects, and penetration and blasting processes are treated separately using a restart method. In this paper, we adopt an integrated simulation approach to analyze the resistance performance of composite protective structures with reinforcement layers. The results reveal significant differences in failure modes between plain concrete and reinforced concrete protective structures. The diameter of the steel bars and the spacing between mesh layers notably impact the penetration and blasting damage. Based on the results of a parameter analysis, we propose a method for optimizing the design of reinforcements in composite underground protective structures. The results of the study show the following: (1) The penetration and blast damage patterns of EPWs on plain concrete and composite protective structures with reinforcing mesh are significantly different. Compared to the plain concrete layer, the composite protection structure can effectively resist the damage of EPWs. (2) With the increase in reinforcement diameter, the decrease in reinforcement mesh spacing, and the increase in reinforcement dosage, the penetration depth gradually decreases; the amount and range of the blast damage also decrease accordingly. (3) Under the condition of the same reinforcement ratio, reducing the number of layers of reinforcement mesh, increasing the diameter of reinforcement, and configuring the reinforcement on the top of the protective structure as much as possible can improve the performance of the protective layer against penetration. At the same time, the reasonable arrangement of the reinforcement mesh can also enhance the ability of the protective structure to resist blasting damage.
1. Introduction
In response to the gradual shift of strategically important targets underground, the use of earth-penetrating weapons (EPWs) for attacking underground command systems has become a typical combat mode. After an EPW utilizes kinetic energy to penetrate underground defense structures, it inflicts interior damage through explosive shock waves. To address these threats, the design and construction of underground protection systems are becoming increasingly complex. The enhancement of their resistance capability is generally considered from two perspectives. One is to improve the strength of the construction materials, i.e., to use more resilient concrete materials. Previous studies have indicated that incorporating materials such as fibers and minerals into concrete can effectively enhance the penetration resistance of protective structures [1,2]. Another method involves setting up a bulletproof layer mainly composed of reinforcing bars in the protective layer. Its purpose is to cause the EPW to decelerate or deflect due to asymmetric resistance [3]. However, there is currently a lack of research on the damage of such composite underground protective structures.
Some scholars conducted experimental studies on the penetration and blasting damage processes of EPWs on concrete structures. However, most studies are based on simplified experiments using small-sized plain concrete specimens. Moreover, the processes of penetration [4,5,6,7,8,9] and internal blasting damage [10,11,12,13,14,15,16] are considered separately, including two main types of tests: pre-drilled charge detonation and post-penetration charge detonation. There is a significant difference between the experimental procedures mentioned above and the actual conditions of the protective structure damage process [17,18].
Full-scale penetration–blasting damage experiments are very expensive. Most of the current numerical research methods are based on the finite element method, in addition to the finite difference method [19] and the emerging Bessel-based robust multistep method [20]. Among them, the finite difference method divides the solution region into a difference grid, replacing the continuous solution domain with a finite number of grid nodes. The finite difference method discretizes the derivatives in the governing equations by replacing them with the difference quotients of the function values at the grid nodes by methods such as Taylor series expansions, thus creating a system of algebraic equations with the values at the grid nodes as unknowns, which is adapted to the problems with linear region rules. Bessel’s robust multistep method is a meshless technical method combining the Gaussian quadrature technique with the Bessel-based multistep method, which can be used for the stress analysis of notched composite plates due to the fact that fracture occurs during the numerical simulation of intrusive, as well as explosive cases, and Bessel’s robust multistep method is very robust in a stress–strain analysis of composites which are subjected to cracking. Therefore, a numerical simulation was generally used to evaluate the damaging effect of EPWs on actual underground protective structures. Previous numerical studies mostly used the restart method to analyze the blasting damage effect after the completion of EPW penetration [21,22]. However, this method cannot consider the initial damage caused by the projectile body to the protective structure during the penetration stage. Due to the complexity of the damage process, there is a superposition effect between the wavelengths of the penetration and blasting action [23]; some studies also indicated that the projectile fragments have an impact on the range of the subsequent explosive damage [24]; these effects are difficult to consider in the restart model. The characteristics of the dynamic explosive shock wave of the moving charge [23] has confirmed that there are interactions between media in complex penetration–blasting damage processes. Sun et al. [25] compared the damage effects of pre-drilled explosive charges and post-penetration–blasting. The results indicated that the fragmentation and simple superposition of the two processes cannot truly reflect the destructive effect of EPWs on the protective structure, and this simplification is detrimental to the damage assessment of protective structures. Yang et al. [26] reported that the penetration of EPWs has an undeniable enhancing effect on the subsequent blasting damage of concrete targets.
Meanwhile, the construction of geometric models for protective structures in current numerical simulation studies is overly simplistic. In Research on the Factors Influencing the Composite Damage Efficiency of Typical Bunker by Ground Penetrating Bombs [27], the internal elastic layer and the bulletproof layer were equated to plain concrete, with an increase in thickness. However, this approach does not align with the actual damage state observed in the structure. Some previous studies clarified that the placement of reinforcement bars in protective structures has a significant impact on the degree of penetration–blasting damage to the target [28,29]. Other literature analyzes the impact of different projectile bodies on the penetration depth of reinforced concrete protective layers with reinforcing bars. Kojima et al. [30] found that the damage caused by hard-nosed missiles to the same target plate was more severe than that caused by soft-nosed missiles in penetration tests on reinforced concrete slabs with different projectiles. Meanwhile, the impact resistance of a double-reinforced concrete slab was inferior to that of a single-reinforced concrete slab when using a hard-nosed missile and almost equal when using a soft-nosed missile. Shiu et al. [31] established a model using the three-dimensional discrete element method to analyze the impact of four different warhead shapes on the penetration depth and compared the experimental results with different target velocities. However, these studies did not involve the limiting effect of the reinforcement layer on shock wave damage during the blasting process.
In this paper, an integrated simulation was used to study the penetration and blasting damage of EPWs for composite underground protective structures with reinforcement layers. Following this introduction, Section 2 details the process of establishing the numerical model. Section 3 compares the results of small-scale penetration experiments and concrete implosion experiments with numerical simulations to verify the predictive accuracy of the model. Using illustrative examples, Section 4 discusses the impact of various design parameters on the anti-penetration and blasting performance of underground structures. Subsequently, in Section 5, an optimization reinforcement design method for protective structures is proposed. The conclusions of this work are presented in Section 6.
2. Establishment of Numerical Model
2.1. Geometric Model
The primary parameter to consider in the model of protective structures is the thickness of the top bulletproof layer. The minimum requirement is that its thickness should be greater than the penetration depth of the projectile it resists. However, when the projectile explodes inside the bulletproof layer, it also generates an explosion shock wave, which can concentrate on the non-penetrated protective layer. Therefore, the thickness of the bulletproof layer should be appropriately increased. Following the recommendation in shielding cover design for civil air defence engineering with a parking lot basement [32], we set the thickness of the top bulletproof layer at 150 cm in this numerical model. The overall span of the protective structure is set at 360 cm, with the side wall being 200 cm high and 30 cm thick. Elements such as entrances and exits, ventilation openings, and auxiliary structures with minimal impact on the calculation results are not considered. In order to ensure the accuracy of the finite element analysis results and avoid the occurrence of element penetration during penetration, the element size of the concrete protective layer is selected as 2 cm and the projectile is 1 cm. SOLID164 solid elements are used for meshing, and, based on symmetry, half of the protective structure is modeled in LS-DYNA.
The reinforcing layer of the steel reinforcement mesh adopts a diameter of 16 mm, with a set number of layers of 8, a mesh aperture of 10 cm, and a layer spacing of 18 cm. BEAM164 elements are used for grid partitioning. To improve the computational efficiency, a separate modeling method is adopted. In this approach, the concrete main structure and the elastic layer of the steel reinforcement are modeled and divided into grids as different components; we use different unit types and materials for simulation calculation, we calculate the reinforcement unit stiffness matrix Ks and concrete unit stiffness matrix Kc separately, and then we integrate them systematically to summarize into the overall stiffness matrix K. In the separated common node model, beam or rod units are used for reinforcement; solid units are used for concrete. The common node of the reinforcement unit and the concrete unit is more consistent with the actual construction state of the building. In the calculation process, according to the stress changes during the explosion, the steel and concrete structures show different mechanical forms, so as to more accurately simulate the changes in the process of the invasion of the explosion of the various components of the material mechanics. When the concrete unit reaches the failure conditions, it is automatically deleted by the system, and the reinforcing steel unit still assumes the role of being compressive and tensile until it reaches the failure conditions, which improves the simulation accuracy of the blast intrusion process. The geometric model of the protective structure is shown in Figure 1a,b. The projectile body is made of tungsten alloy material, and the internal charge is made of TNT material. The specific dimensions are shown in Figure 1c. The SOLID164 physical element is used in the numerical modeling. The numerical calculation in this work is based on the fluid–structure coupling algorithm. Therefore, it is necessary to construct an air–fluid domain that is suitable for the overall model size. Here, the size of the fluid domain is determined to be 220 cm × 220 cm × 443 cm.
Figure 1.
Geometric model of the protective structure: (a) separation modeling of steel reinforced concrete, (b) composite model, and (c) size and finite element mesh division of the projectile.
2.2. Material Model
In the design of protective structures, high-grade concrete is typically used, and, here, C40 concrete is employed. The MAT_JOHNSON_HOLMQUIST_CONCRETE (HJC) material model provided by LS-DYNA is chosen for its accurate description of damage, fracture, etc., in concrete under high impact and strain. The material of the projectile body is tungsten alloy, and the Johnson–Cook (J–C) constitutive model is adopted. This model is commonly used to analyze issues such as material softening caused by significant changes in the strain rate or temperature, and it is a plastic material model influenced by the strain rate and temperature. The reinforcing bars are selected as HRB400 steel bars, and the built-in MAT_PLASTIC_KINEMATIC (P–K) material model in LS-DYNA software is used. The air adopts a MAT_NULL material model, simulating gas in an ideal state using the state equation defined by the built-in EOS_LINEAR_POLYNOMIAL (EOS) keyword in the software. TNT is selected as the explosive material, defined by the HIGH_EXPLOSIVE_BURN material model, and the Jones–Wilkins–Lee (JWL) equation is used to determine the relationship between detonation pressure, energy, and relative volume. The specific values of material parameters are shown in Appendix A.
2.3. Interaction Settings and Boundary Conditions
Interaction settings and boundary conditions are crucial in the simulation. When the projectile penetrates the concrete protective layer, it causes damage and collapses. The model uses ERODING_SURFACE_TO-SURFACE to define the contact between the projectile and the concrete. Here, the concrete is set as the slave surface, and the projectile is set as the master surface. The contact between the projectile body (solid element) and the steel reinforcement layer (beam element) is defined by AUTOMATIC_BEAMSTO_SURFACE. Due to the higher hardness of the projectile compared to the steel bars, the steel reinforcement mesh is set as the slave surface, and the projectile is set as the master surface. During the penetration–explosion process, concrete and steel reinforcement mesh may undergo deformation and damage due to collision with the projectile. The contact and bonding slip between the steel reinforcement mesh and concrete are defined by CONSTRAINED_BEAM_IN_SOLID. And AUTOMATIC_SINGLE_SURFACE is used to consider the automatic single-sided contact between the concrete and steel reinforcement mesh. The explosion simulation problem in this work requires the establishment of an infinite fluid domain, and its simulation is achieved through BOUNDARY_NON_REFLECTING. For the entire structural model, constraints that restrict vertical movement are set at the bottom as boundary conditions.
3. Verification by Small-Scale Experiments
3.1. Description of the Small-Scale Experiments
To verify the effectiveness and accuracy of the numerical modeling method, we conducted small-scale anti-penetration tests and anti-explosion tests, and then compared the results with the numerical outcomes. In the Analysis of Dynamic Response of Large-Volume Concrete Under Projectile Penetration and Explosion [33], the penetration of projectiles into large-volume concrete was tested. The projectile used in this test had a diameter of 14 mm and a length of 140 mm. A dual 35 mm smooth-bore ballistic gun was used to fire on a cylindrical concrete target with a design strength of C40. The target-hitting velocities were 860 m/s, 981 m/s, and 1183 m/s. The diameter of the target body was 1 m, and the thickness was 1.2 m, respectively. The explosion test was conducted on the interior of high-performance concrete prefabricated holes, as reported in [34]. The test specimen was cylindrical, with a diameter of 300 mm and a height of 300 mm. A cylindrical hole with a size of 38 mm × 150 mm was excavated at the top of the specimen. Subsequently, a TNT explosive (37 mm × 15 mm) was placed 50 mm away from the opening and detonated. The specific values of material parameters used in numerical modeling are shown in Appendix B.
3.2. Results Comparison and Error Study
The simulation results of frontal damage to the target surface in the penetration experiment are compared with the experimental results in Figure 2. It can be observed that the landing points of the projectile are all in the middle of the target body, and the concrete around the target appears damaged and collapses. Numerous small cracks are spreading from the center to the surrounding areas, accompanied by several relatively wide main cracks. The numerical simulation captured the morphology of the target damage caused by the penetration of the projectile body well. The curves of the depths of the projectile penetration into the target versus time obtained by the numerical model are given in Figure 3. The comparison between the numerical simulation and experimental results is shown in Table 1. It can be observed that their values are very close, with errors all within 2%.

Figure 2.
Frontal damage to the target surface in the penetration test: (a) simulation results, and (b) experimental results.
Figure 3.
Curves of the depths of projectile penetration into the target versus time obtained by numerical model.
Table 1.
Result comparison.
The numerical simulation of the damage process inside the target during the internal explosion experiment of prefabricated holes in concrete is shown in Figure 4. The overall damage effects obtained by the numerical model and the experiment are compared in Figure 5a,b. It can be seen that the damage morphology of the two is very similar. The numerical model forms a funnel pit area at the top, similar to the experimental results, with a large number of fine cracks spreading from the center of the hole to the edge of the specimen and five main cracks with larger widths generated at the top. The simulation result of the crater depth in the numerical model is shown in Figure 5c, with an explosion crater depth of approximately 53 mm. The experimental measurement result is 48.5 mm, and the relative error can be calculated as 9.3%. These comparisons demonstrate the credibility of the numerical modeling method used in this article.
Figure 4.
Numerical simulation image of the damage process inside the target during the internal explosion experiment of prefabricated holes in concrete.
Figure 5.
Internal explosion experiment of prefabricated holes in concrete: (a) numerical simulation results, (b) experimental results, and (c) details of explosion pit.
4. Illustrative Example and Discussion of Results
4.1. Problem Description and Parameter Settings
We will discuss the influence of different parameters on the protective performance of combined underground protective structures through a series of numerical cases. The factors include the steel bar diameter, steel reinforcement mesh spacing, changes in the number of layers, and diameter of steel bars under the same reinforcement ratio. Here, a total of 14 cases are designed and modeled. Case 1 represents a plain concrete protective structure without any elastic layer of steel reinforcement mesh. The specific steel bar design parameters for each case are shown in Table 2. The target landing speeds of the projectiles are all set at 450 m/s, and the target angle is 90 degrees.
Table 2.
Design parameters of steel reinforcement layers in various cases.
The discussion of different cases mainly focuses on the damage modes, penetration depth of the projectile, damage volume, area of the damage hole, stress distribution, and its evolution over time. Four measuring points, S1, S2, S3, and S4, are set in the Cartesian co-ordinate system with the top incident point as the origin, as shown in Figure 6. Their co-ordinates are (0, 0, −150 cm), (50 cm, 0, −150 cm), (100 cm, 0, −150 cm), and (150 cm, 0, −150 cm), respectively. Meanwhile, a connecting line from S1 to S4 is established to analyze the stress distribution along this path.
Figure 6.
Distribution of measurement points in the model.
4.2. Comparison between Plain Concrete and Composite Protective Structures
For plain concrete barriers, the quality of the concrete is an important factor in the resistance of the barrier to damage. Figure 7 shows the damage volume of C30, C40, and C50 plain concrete barriers when subjected to internal blast damage. It can be seen that, as the quality of the concrete improves, the ability of the protective layer to resist the internal explosion also increases.
Figure 7.
Volume of damage for different qualities of concrete.
Figure 8 shows the penetration depth of the projectile under Cases 1 and 2, while Figure 9a,b provide three-dimensional damage images under Cases 1 and 2. From the figures, it is evident that, for protective structures of the same thickness, the protective ability has significantly improved after the addition of a steel reinforcement layer. There are also notable differences in damage morphology between the two cases. The EPW detonates deeper in the position of the plain concrete protective structure, with its damage primarily concentrated in the middle and lower parts (the protective layer has fully penetrated, and the damage volume is 16,736 cm3). In contrast, the protective structure equipped with steel reinforcement mesh allows the projectile to stay inside the protective layer, resulting in damage concentrated in the upper and middle parts (with a penetration depth of 1.15 m and a damage volume of 8640 cm3). During the blasting process, larger voids appeared in the plain concrete structure at the explosion point, forming a shuttle shape. The damage to the composite structure at the explosion point did not significantly expand, and the overall stress distribution was more uniform. Figure 9c,d show the top-view clouds of Case 1 and Case 2. As shown in the Figures, the maximum diameter of the damaged area is 765.2 mm when the steel reinforcement layer is not set, while, after setting up eight layers of steel reinforcement mesh, the maximum diameter of the damaged area is 724.1 mm. This indicates that the steel reinforcement layer also has a limiting effect on the blasting damage, providing better protection for internal personnel and equipment.
Figure 8.
Penetration depth of the projectile under (a) Case 1 and (b) Case 2.
Figure 9.
Damage of protective structures: (a) 3D image for plain concrete; (b) 3D image with reinforcement layers; (c) top-view image for plain concrete; and (d) top-view image with reinforcement layers.
Figure 10 shows the stress distribution on the upper surface of the internal use area of the protective structure during the explosion of the projectile. The abscissa represents the distance from the measuring point to the center point (i.e., the path from measuring points S1 to S4). As shown in the Figure, due to the projectile penetrating the entire protective layer of plain concrete, the maximum principal stress reaches its maximum value in the penetration zone. Near the penetration point (within 50 cm), the stress in Case 1 is much greater than that in Case 2. When away from the target point, the stress of both is almost equal. This indicates that the set steel reinforcement mesh plays an important role in limiting the blasting damage effect of the projectile at the penetration point of the protective structure.
Figure 10.
Maximum principal stress distribution on the upper surface of the internal use area of the protective structure.
4.3. Influence of Reinforcement Diameter
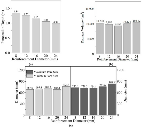
In this study, we compared and examined the numerical results of the penetration–blasting effects for composite protective structures with steel bar diameters of 8 mm, 12 mm, 16 mm, 20 mm, and 24 mm, respectively. The relevant parameters are detailed in Cases 2, 3, 4, 5, and 6 in Table 2. The three-dimensional damage images of each case are presented in Figure 11, and the damage information is summarized in Figure 12. Observations from Figure 11 and Figure 12a reveal that, as the diameter of the steel bar increases, the location of the explosion gradually approaches the top of the protective layer, and the damage caused by the explosion is concentrated at its top. Figure 12b indicates that the holes resulting from projectile penetration and blasting damage increase with the increase in steel bar diameter. According to the literature [35], this phenomenon is attributed to the dynamic explosion effect of high-speed projectiles having similar properties in concrete and air media. The intensity of the explosion wave field in the same direction as the velocity is positively correlated with the velocity, while the intensity of the wavelength in the opposite direction is negatively correlated with the velocity. Due to the rapid consumption of kinetic energy by the steel reinforcement mesh, the velocity of the projectile decreases, leading to significant damage to the top of the protective structure. This further expands the penetrating hole, resulting in an increase in damage volume. Consequently, the explosion location is closer to the top penetration hole. The impact energy generated by the explosion acts more on the upper part of the protective layer and in the air, forming larger funnel-shaped deep pits on the outer surface. Figure 12c illustrates that, as the diameter of the configured steel bars increases, the maximum damaged area and volume of the protective structure show a trend of first decreasing, then increasing, and finally increasing. This complex behavior is attributed to the dual effects of the penetration depth and the diameter of the hole generated by blasting on the damaged volume.
Figure 11.
3D damage images of protective structures with different diameters of steel bars.
Figure 12.
Damage information of protective structures with different diameters of steel bars: (a) penetration depth; (b) damage volume; and (c) diameter of damage hole formed by EPW.
Since the primary function of protective structures is to safeguard the internal use space, analyzing the surface stress distribution in the use area provides a better assessment of safety and reliability. Figure 13a displays the maximum principal stress distribution on the upper surface of the internal use area. The abscissa represents the distance between the measuring point and the center point. Figure 13b–f demonstrate the evolution of the maximum principal stress at each measuring point over time under different cases. The results show that, as the diameter of the configured steel bars continues to increase, the maximum principal stress at the center of the bottom of the protective layer gradually decreases. The peak value of the maximum principal stress also correspondingly decreases, and its position shifts towards the edge supporting the wall. As the calculation time increases, the change amplitude of maximum principal stress values at the four measuring points gradually decreases under the case with a larger steel bar diameter. This indicates that its stress distribution becomes more uniform. These findings suggest that increasing the diameter of the steel reinforcement mesh can enhance the anti-penetration performance of the protective structure. Moreover, the bonding effect with concrete, to a certain extent, limits the impact of the blasting damage on the internal use space.

Figure 13.
(a) Maximum principal stress distribution of the protective structure after penetration–blasting damage; and evolution of maximum principal stress at each measuring point versus time with reinforcement diameters of (b) 8 mm, (c) 12 mm, (d) 16 mm, (e) 20 mm, and (f) 24 mm.
4.4. Influence of Reinforcement Mesh Spacing
The numerical investigation of the penetration–blasting damage on protective structures with a steel reinforcement mesh spacing of 12 cm, 15 cm, 18 cm, 21 cm, and 24 cm was conducted. The relevant parameters are outlined in Cases 2, 7, 8, 9, and 10 in Table 3. The three-dimensional damage images of each case are presented in Figure 14, and the damage information is summarized in Table 3. An analysis of Figure 14 and Table 3 reveals a positive correlation between the penetration depth of the projectile and the spacing of the steel reinforcement mesh. The location of the damage caused by blasting tends to move towards the deeper layers of protective structures as the spacing between te steel reinforcement mesh increases. When the spacing value is reduced from 24 cm to 12 cm, the number of layers of steel reinforcement mesh penetrated by the projectile increases from 5 to 8, and the penetration depth decreases from 1.2 m to 1.08 m. This suggests that increasing the number of layers of steel reinforcement mesh effectively consumes the penetration kinetic energy of the projectile, enhancing the anti-penetration performance of the protective structure. However, the change in spacing between the steel reinforcement mesh does not exhibit a regular effect on the diameter of the penetration–blasting damage holes and the total damage volume. This complexity is attributed to the fact that a deeper penetration depth limits the damage caused by blasting, reflecting the intricate impact of the steel reinforcement mesh on the penetration–blasting damage.
Table 3.
Damage information of protective structures with different spacing of reinforcement mesh.
Figure 14.
3D damage images of protective structures with different spacing of steel reinforcement mesh.
Figure 15 illustrates the maximum principal stress distribution on the upper surface of the internal use area of the protective structure after blasting damage, along with the evolution curve of the maximum principal stress at each measuring point over time. In Case 2, concrete collapse occurred at the center of the protective layer, resulting in a maximum principal stress of zero at the origin of the corresponding curve in Figure 15a. For the remaining cases, within the range of 50 cm from the bottom center of the protective layer, the stress curve corresponding to Case 10 is lower than the other three cases. The stress peaks achieved by the four cases are relatively close. As the measuring point gradually moves away from the center position, the trend and value of the maximum principal stress curve under various cases also gradually approach it. Figure 15b–f demonstrate that the changes in the time history curves of stress in Case 2 and Cases 7, 8, and 9 are consistent at S1 and its adjacent S2. However, when the spacing increases to 24 cm (Case 10), the number of points where the curve corresponding to S2 reaches its maximum value is the greatest. This indicates that increasing the number of layers of steel bars results in a more uniform stress distribution throughout the protective structure. It can be seen that densifying the steel reinforcement mesh can improve the anti-penetration and blasting damage performance of the protective structure. However, when the change in spacing is within a certain range, the effect on the structure’s resistance to blasting damage is not significant.
Figure 15.
(a) Maximum principal stress distribution of the protective structure after penetration–blasting damage; and evolution of maximum principal stress at each measuring point versus time with reinforcement mesh spacing of (b) 12 cm, (c) 15 cm, (d) 18 cm, (e) 21 cm, and (f) 24 cm.
4.5. Damage Effect Corresponding to Different Reinforcement Amounts
The penetration depth of the projectile, damage volume, and volume proportion of steel reinforcement in each case are presented in Table 4. The relationship between the penetration depth and the volume proportion of reinforcement is illustrated in Figure 16. The results from Cases 1 to 10 indicate that the penetration of the projectile requires a greater kinetic energy to reach the same depth in a composite protective structure with elastic layers compared to a plain concrete protective structure. The penetration depth decreases with the increase in the proportion of steel reinforcement volume. Therefore, it can be inferred that the higher the steel content in the protective layer, the stronger its resistance to penetration. The content of steel bars in the protective layer is not significantly related to the amount of damage caused by intrusion and explosion. However, when the steel content in the protective layer is too large or too small, the explosion position of the ground-penetrating projectile will be close to the top or bottom of the protective layer. At these times, the damage to the protective structure is the most severe.
Table 4.
Damage parameters and steel content parameters under different cases.
Figure 16.
Relationship curve between the proportion of steel reinforcement volume and penetration depth.
The results from Cases 2 to 10 show that the proportion of the number of penetrated steel reinforcement layers in cases with a shallow penetration depth is relatively small. At this time, the utilization rate of the configured steel reinforcement mesh is not high. Only Cases 3 and 4 have a utilization rate of steel bars exceeding 85%. Although the configured steel reinforcement mesh can be efficiently utilized, the steel content under these two cases is relatively low, the penetration depth of the projectile is also relatively deep, and the explosion of the projectile will pose a significant threat to internal personnel and equipment. The above study indicates that simply increasing the steel content in the protective layer may have a lower efficiency in improving its resistance to penetration and blasting damage. Therefore, after considering the relevant costs of configuring the steel reinforcement mesh, the design method with the highest cost-effectiveness should be found.
5. Optimization Reinforcement Design for a Protective Structure
5.1. Penetration Depth and Resistance to Blasting Damage
To further determine the optimal design for the reinforcement mesh configuration, we established Cases 11, 12, 13, and 14. These cases all have the same reinforcement ratio as Case 2. The spacing of their steel reinforcement mesh is also the same, with priority set at the upper part of the protective layer. The three-dimensional overall damage image of each case and the penetration effect image of the steel reinforcement mesh are presented in Figure 17. The penetration depth, diameter of the blasting hole, and total damage volume are summarized in Table 5. It can be observed that, under the same reinforcement ratio, reducing the number of steel reinforcement mesh layers and increasing the diameter of steel bars can decrease the penetration depth of the projectile. The location of the projectile explosion and its damage to the protective layer are also closer to the top. The damage volume of Case 14 is the largest, but the penetration depth is the shallowest. The utilization rate of steel reinforcement mesh in all four cases exceeded 85% (with three cases achieving a 100% utilization rate). In Case 14, the ability of the structure to resist penetration is comparable to Cases 5 and 7, in which the steel content is 1.5 times that of Case 14. It can be considered that, under the same reinforcement ratio, reducing the number of layers of steel reinforcement mesh, increasing the diameter of the steel bars, and placing steel bars at the top of the structure can better improve the performance of the protective layer in resisting penetration.
Figure 17.
Concrete damage and steel layer penetration effect of protective structures under the same reinforcement ratio for steel rebar with (a) diameter of 16 mm, 8 layers; (b) diameter of 17.1 mm, 7 layers; (c) diameter of 18.5 mm, 6 layers; (d) diameter of 20.2 mm, 5 layers; and (e) diameter of 22.6 mm, 4 layers.
Table 5.
Damage information of protective structures with the same reinforcement ratio.
5.2. Discussion on Stress Distribution and Design Optimization
To comprehensively evaluate the impact of different reinforcement configuration schemes on the structural protection effect, it is also necessary to discuss the stress distribution and evolution on the surface of the internal use area, as shown in Figure 18. Due to the collapse at the center of the protective layer in Cases 11, 12, and 14, the maximum principal stress at the starting position of the corresponding stress curve is zero. It can be found that, as the diameter of the steel reinforcement mesh increases and the number of layers decreases, the peak value of the maximum principal stress decreases. Moreover, the position where the peak occurs gradually deviates from the center and moves towards the supporting wall. When away from the center, as the number of steel layers decreases, the amplitude of stress change increases, but the peak value does not differ much. The maximum principal stress peak at S1 is close to 40 MPa (except for Case 13); the number of measuring points reaching 30 MPa at S2 increases as the number of steel reinforcement mesh layers decreases. For S3 and S4 near the supporting wall, the stress curves of the five cases are basically the same. The above results show that Case 13 has the best resistance to penetration–blasting damage. This indicates that, under the same reinforcement ratio, changing the number of steel reinforcement mesh layers and the steel diameter within a certain range can improve the performance of the protective structure. In actual reinforcement design, one can consider selecting the configuration scheme with the highest cost-effectiveness after determining the reinforcement ratio. Moreover, the setting of the steel reinforcement mesh should be moved up to ensure that blasting damage occurs in the upper layer of the protective structure.

Figure 18.
Protective structures with the same reinforcement ratio: (a) maximum principal stress distribution after penetration–blasting damage; evolution of maximum principal stress at each measuring point versus time for steel reinforcement with (b) diameter of 16 mm, 8 layers; (c) diameter of 17.1 mm, 7 layers; (d) diameter of 18.5 mm, 6 layers; (e) diameter of 20.2 mm, 5 layers; and (f) diameter of 22.6 mm, 4 layers.
6. Conclusions
- A comprehensive numerical model was constructed for the integrated simulation of the penetration and blasting damage of EPWs in composite underground protective structures with reinforcement layers. The accuracy of the numerical simulation was verified through the results of small-scale penetration tests and concrete built-in blasting tests
- The penetration and blast damage patterns of EPWs on plain concrete and composite protective structures with reinforcing mesh were significantly different. The plain concrete structure showed a larger cavity at the blast point site and showed a shuttle shape. The composite protective structure, however, did not significantly expand the damage at the blast point location due to the limiting effect of the steel reinforcement layer on the blast damage, and the overall stress distribution was more uniform. A composite protective structure in the EPW hit a volume of destruction for the plain concrete protective layer of 51.63%, while effectively reducing the depth of penetration, to avoid the EPW through the protective layer.
- With the increase in the diameter of the steel bar, steel mesh spacing, and the increase in the amount of steel bar, the composite protective structure of the location of the explosion moved gradually to the top of the protective layer closer to the damage caused by the explosion, which is also concentrated in the top of the protective layer. For the composite protective structure in the case of separate changes in the diameter of the steel bar and separate changes in the spacing of the reinforcement network damage volume by the depth of penetration and the diameter of the hole produced by the blast, the difference in the amount of change is relatively small. The ability of the composite protection structure to resist penetration increased with an increasing reinforcement diameter, decreasing reinforcement spacing, and increasing amount of reinforcement. When the rest of the conditions remain unchanged and the bar diameter alone is increased from 8 mm to 24 mm, the depth of penetration decreases from 1.34 m to 0.98 m, which is a decrease of 26.87 per cent; and, when the bar spacing alone is increased from 12 mm to 24 mm, the depth of penetration increases from 1.08 m to 1.2 m, which is an increase of 11.11 per cent.
- Under the condition of the same reinforcement ratio, reducing the number of layers of reinforcing mesh, increasing the diameter of reinforcing bars, and configuring the reinforcing bars at the top of the protective structure as far as possible can improve the resistance of the protective layer to infiltration, and the depth of infiltration is reduced from 1.15 m to 1.05 m. The number of layers of reinforcing mesh and the diameter of reinforcing bars are also increased. Additionally, a reasonable arrangement of steel reinforcement mesh can enhance the ability of the protective structure to resist blasting damage, providing better protection for internal personnel and equipment.
Author Contributions
Conceptualization, X.Z. and L.X.; methodology, X.Z. and Y.W.; software, C.Z.; validation, X.Z., C.Z. and S.L.; formal analysis, X.Z.; investigation, X.Z.; resources, L.X.; data curation, X.Z.; writing—original draft preparation, X.Z. and C.Z.; writing—review and editing, G.Z.; project administration, X.Z.; funding acquisition, X.Z. and Y.W. All authors have read and agreed to the published version of the manuscript.
Funding
This research was funded by Hubei Provincial Natural Science Foundation of China, grant number 2024AFB949; Natural Science Foundation of Shandong Province, grant number ZR2022ME172; National Natural Science Foundation of China (Earthquake-Joined) Project, grant number U2139207 and Foundation of Hubei Key Laboratory of Blasting Engineering, grant number BL2021-19.
Data Availability Statement
The data that support the findings of this study are available from the corresponding author, Longjun Xu and Yujin Wang, upon reasonable request.
Conflicts of Interest
The authors declare no conflicts of interest.
Appendix A. Values of Material Parameters in Numerical Models
In numerical modeling, the parameter values of the HJC material model for concrete were given in Table A1, where ρH is the density of concrete, T is the maximum tensile hydrostatic pressure, GH is the shear modulus, AH is the normalized cohesive strength, BH is the normalized pressure hardening, CH is the strain rate coefficient, NH is the pressure hardening exponent, fcH is the quasi-static uniaxial compressive strength, EFmin is the amount of plastic strain before fracture, SFmax is the normalized maximum strength, PC is the crushing pressure, μc is the crushing volumetric strain, Pl is the locking pressure, μl is the locking volumetric strain, and D1, D2, K1, K2, and K3 are the dimensionless parameters.
Table A1.
Parameter of HJC.
Table A1.
Parameter of HJC.
| Symbol | Value | Symbol | Value |
|---|---|---|---|
| ρH | 2400 kg/m3 | μc | 0.001 |
| GH | 14.86 GPa | Pl | 810 MPa |
| AH | 0.79 | μl | 0.10 |
| BH | 1.6 | D1 | 0.04 |
| CH | 0.007 | D2 | 1.0 |
| NH | 0.61 | K1 | 85 GPa |
| fcH | 48 MPa | K2 | −171 GPa |
| T | 4 MPa | K3 | 208 GPa |
| EFmin | 0.001 | SFmax | 7 |
| Pc | 16 MPa |
The parameter values of the P–K material model for steel bars are given in Table A2, where ρP is the density of steel, EP is the elastic modulus, Pr is the Poisson’s ratio, σy is the yield stress, ETAN is the tangent modulus, β is the hardening parameter, and SRC is strain rate parameter. The parameter values of the Johnson–Cook material model for the tungsten alloy projectile body were given in Table A3, where ρJ is the density of tungsten alloy, GJ is the shear modulus, Tm is the melt temperature, Tr is the room temperature, EPS0J is the quasi-static threshold strain rate, and AJ, BJ, NJ, CJ, and M are dimensionless parameters. The parameter values of the EOS and JWL material model for the air domain and TNT explosive were given in Table A4 and Table A5, respectively, where E0E is the initial internal energy, V0E is the initial relative volume, C0, C1, C2, C3, C4, C5, and C6 are the polynomial equation coefficient, ρJWL is the density of TNT explosive, E0JWL is the detonation energy, V0JWL is the initial relative volume, AJWL and BJWL are the constants with units, and R1, R2, and ω are the dimensionless parameters.
Table A2.
Parameter of P–K.
Table A2.
Parameter of P–K.
| Symbol | Value | Symbol | Value |
|---|---|---|---|
| ρP | 7850 kg/m3 | ETAN | 0.05 |
| EP | 200 GPa | β | 0 |
| Pr | 0.27 | SRC | 40 |
| σy | 335 MPa |
Table A3.
Parameter of Johnson–Cook.
Table A3.
Parameter of Johnson–Cook.
| Symbol | Value | Symbol | Value |
|---|---|---|---|
| ρJ | 17,700 kg/m3 | CJ | 0.018 |
| GJ | 150 GPa | M | 0.59 |
| AJ | 0.01342 | Tm | 1793 |
| BJ | 0.00351 | Tr | 293 |
| NJ | 0.25 | EPS0J | 1.0 |
Table A4.
Parameter of EOS.
Table A4.
Parameter of EOS.
| Symbol | Value | Symbol | Value |
|---|---|---|---|
| C0 | −1 × 10−6 | C5 | 0.4 |
| C1 | 0 | C6 | 0 |
| C2 | 0 | E0E | 0.25 MPa |
| C3 | 0 | V0E | 1 |
| C4 | 0.4 |
Table A5.
Parameter of JWL.
Table A5.
Parameter of JWL.
| Symbol | Value | Symbol | Value |
|---|---|---|---|
| ρJWL | 1640 kg/m3 | R2 | 0.95 |
| AJWL | 3.74 × 105 MPa | ω | 0.3 |
| BJWL | 0.0323 × 105 MPa | V0JWL | 1 |
| R1 | 4.15 | E0JWL | 0.07 cm2/µs2 |
Appendix B. Material Parameters in Numerical Models for Comparison with Validation Tests
In the numerical modeling of anti-penetration test, the parameters of the concrete material model are the same as those in Table A1. The values of the projectile material using the J–C constitutive law are shown in Table A6. In the numerical models corresponding to the small-scale explosion resistance test, the values of the material parameters for concrete is given in Table A7; and the values of the material parameters for the air domain and TNT explosive are the same as those in Table A4 and Table A5.
Table A6.
Parameter of Johnson–Cook.
Table A6.
Parameter of Johnson–Cook.
| Symbol | Value | Symbol | Value |
|---|---|---|---|
| ρJ | 7850 kg/m3 | CJ | 4.77 × 10−6 |
| GJ | 92 GPa | M | 0.59 |
| AJ | 0.01342 | Tm | 1793 |
| BJ | 0.00351 | Tr | 293 |
| NJ | 0.25 |
Table A7.
Parameter of HJC.
Table A7.
Parameter of HJC.
| Symbol | Value | Symbol | Value |
|---|---|---|---|
| ρH | 2440 kg/m3 | μc | 0.66 |
| GH | 22 GPa | Pl | 1000 MPa |
| AH | 0.79 | μl | 0.08 |
| BH | 1.6 | D1 | 0.04 |
| CH | 0.007 | D2 | 1.0 |
| NH | 0.61 | K1 | 85 GPa |
| fcH | 200 MPa | K2 | −171 GPa |
| T | 4 MPa | K3 | 208 GPa |
| EFmin | 0.004 | SFmax | 7 |
| Pc | 83 MPa |
References
- Wang, S.S.; Le, H.T.N.; Poh, L.H.; Feng, H.J.; Zhang, M.H. Resistance of high-performance fiber-reinforced cement composites against high-velocity projectile impact. Int. J. Impact Eng. 2016, 95, 89–104. [Google Scholar] [CrossRef]
- Xiao, Q.Q.; Huang, Z.X.; Zu, X.D.; Jia, X.; Zhu, Q.F.; Cai, W. Shaped charge penetration into high- and ultrahigh-strength Steel-Fiber reactive powder concrete targets. Def. Technol. 2020, 16, 217–224. [Google Scholar] [CrossRef]
- Wang, K.H.; Zhou, G.; Li, M.; Zou, H.H.; Wu, H.J.; Di, B.G.; Duan, J.; Dai, X.H.; Shen, Z.K.; Li, P.J.; et al. Experimental research on the mechanism of a high-velocity projectile penetrating into a reinforced concrete target. Explos. Shock Waves 2021, 41, 92–99. [Google Scholar]
- Zhang, S.B.; Kong, X.Z.; Fang, Q.; Peng, Y. The maximum penetration depth of hypervelocity projectile penetration into concrete targets: Experimental and numerical investigation. Int. J. Impact Eng. 2023, 181, 104734. [Google Scholar] [CrossRef]
- Sun, X.C.; Wang, Z.G.; Sun, Y.Y.; Wang, S.T. Anti-penetration performance of novel double steel ferrules confined and prestressed concrete. Structures 2024, 59, 105700. [Google Scholar] [CrossRef]
- Wang, J.; Wu, H.; Dong, H.; Zhou, J.; Shi, X.; Yang, G.; Huang, F. Flow field analysis of long rod hypervelocity penetration into semi-infinite concrete target. Mech. Mater. 2023, 179, 104564. [Google Scholar] [CrossRef]
- Li, X.; Liu, Y.; Yan, J.; Shi, Z.; Wang, H.; Xu, Y.; Huang, F. High-speed penetration of ogive-nose projectiles into thick concrete targets: Tests and a projectile nose evolution model. Def. Technol. 2024, 32, 553–571. [Google Scholar] [CrossRef]
- Xu, X.Z.; Su, Y.C.; Feng, Y.B. Optimization analysis of state equation and failure criterion for concrete slab subjected to impact loading. Int. J. Impact Eng. 2024, 186, 104872. [Google Scholar] [CrossRef]
- Yankelevsky, D.; Feldgun, V. The embedment of a high velocity rigid ogive nose projectile into a concrete target. Int. J. Impact Eng. 2020, 144, 15. [Google Scholar] [CrossRef]
- Shu, Y.Z.; Wang, G.H.; Lu, W.B.; Gao, Z.; Peng, T.; Liu, J. Damage assessment of concrete structures subjected to internal explosion under air-backed and water-backed conditions. Ocean Eng. 2023, 272, 18. [Google Scholar] [CrossRef]
- Huang, X.P.; Yue, Y.S.; Zhu, B.; Chen, Y.M. Failure analysis of underground concrete silo under near-field soil explosion. Tunn. Undergr. Space Technol. 2024, 147, 105696. [Google Scholar] [CrossRef]
- Zhao, X.; Sun, J.; Zhao, H.; Jia, Y.; Fang, H.; Wang, J.; Yao, Y.; Wei, D. Experimental and mesoscopic modeling numerical researches on steel fiber reinforced concrete slabs under contact explosion. Structures 2024, 61, 106114. [Google Scholar] [CrossRef]
- Wang, Z.T.; Chen, W.S.; Huang, Z.J.; Hao, H. Numerical study on perforation damage and fragmentation of reinforced concrete slab under close-in explosion. Eng. Fail. Anal. 2024, 158, 107985. [Google Scholar] [CrossRef]
- Lu, J.; Wu, H.; Cheng, Y.; Chen, G. Blast resistance of grouting sleeve connected precast concrete columns under close-in explosions. Int. J. Impact Eng. 2024, 187, 104908. [Google Scholar] [CrossRef]
- Yu, S.; Zhang, G.; Wang, Z.; Liu, J.; Deng, S.; Song, X.; Wang, M. Experimental and numerical study of corrugated steel-plain concrete composite structures under contact explosions. Thin-Walled Struct. 2024, 197, 111624. [Google Scholar] [CrossRef]
- Yuan, P.; Xiang, H.; Xu, S.; Liu, J.; Su, Y.; Qu, K.; Wu, C. Experimental and numerical study of steel wire mesh reinforced G-HPC slab protected by UHMWPE FRC under multiple blast loadings. Eng. Struct. 2023, 275, 13. [Google Scholar] [CrossRef]
- Lai, J.Z.; Zhou, J.H.; Yin, X.X.; Zheng, X.B. Dynamic behavior of functional graded cementitious composite under the coupling of high speed penetration and explosion. Compos. Struct. 2021, 274, 12. [Google Scholar] [CrossRef]
- Zuo, K.; Zhang, J.C.; Zeng, X.M.; Li, L. Experimental study on formation of craters in rock with BLU-109B earth penetrating model projectiles. Chin. J. Rock Mech. Eng. 2007, 26, 2767–2771. [Google Scholar]
- Kabir, H.; Aghdam, M.M. A generalized 2D Bézier-based solution for stress analysis of notched epoxy resin plates reinforced with graphene nanoplatelets. Thin-Walled Struct. 2021, 169, 108484. [Google Scholar] [CrossRef]
- Wang, Y.; Gu, Y.; Liu, J. A domain-decomposition generalized finite difference method for stress analysis in three-dimensional composite materials. Appl. Math. Lett. 2020, 104, 106226. [Google Scholar] [CrossRef]
- Yang, G.D.; Wang, G.H.; Lu, W.B.; Jin, X.H.; Yan, P.; Chen, M.; Li, Q. Damage characteristics of concrete structures under the combined loadings of penetration and explosion. J. Cent. South Univ. 2017, 48, 3284–3292. [Google Scholar]
- Yang, G.D.; Wang, G.H.; Lu, W.B.; Yan, P.; Chen, M. Combined effects of penetration and explosion on damage characteristics of a mass concrete target. J. Vibroeng. 2018, 20, 1632–1651. [Google Scholar] [CrossRef]
- Chen, L.M.; Li, Z.B.; Chen, R. Characteristics of dynamic explosive shock wave of moving charge. Explos. Shock Waves 2020, 40, 74–82. [Google Scholar]
- Wang, Y.; Kong, X.Z.; Fang, Q.; Hong, J.; Zhai, Y.X. Numerical investigation on damage and failure of concrete targets subjected to projectile penetration followed by explosion. Explos. Shock Waves 2022, 42, 60–73. [Google Scholar]
- Sun, S.Z.; Lu, H.; Yue, S.L.; Geng, H.; Jiang, Z.Z. The composite damage effects of explosion after penetration in plain concrete targets. Int. J. Impact Eng. 2021, 153, 11. [Google Scholar] [CrossRef]
- Yang, G.D.; Wang, G.H.; Lu, W.B.; Yan, P.; Chen, M.; Wu, X.X. A SPH-Lagrangian-Eulerian Approach for the Simulation of Concrete Gravity Dams under Combined Effects of Penetration and Explosion. KSCE J. Civ. Eng. 2018, 22, 3085–3101. [Google Scholar] [CrossRef]
- Wu, Y. Research on the Factors Influencing the Composite Damage Efficiency of Typical Bunker by Ground Penetrating Bombs. Master’s Thesis, Nanjing University of Science and Technology, Nanjing, China, 2014. [Google Scholar]
- Zhao, L.Q. Damage Effects of Reinforced Concrete Beam & Slab under the Combined Impact of Blast and Fragments. Master’s Thesis, Tianjin University, Tianjin, China, 2018. [Google Scholar]
- Lou, J.F. Theoretical Model and Numerical Study on Penetrating into Semi-Infinite Targets. Ph.D. Thesis, China Academy of Engineering Physics, Beijing, China, 2012. [Google Scholar]
- Kojima, I. An experimental study on local behavior of reinforced concrete slabs to missile impact. Nucl. Eng. Des. 1991, 130, 121–132. [Google Scholar] [CrossRef]
- Shiu, W.J.; Donzé, F.V.; Daudeville, L. Penetration prediction of missiles with different nose shapes by the discrete element numerical approach. Comput. Struct. 2008, 86, 2079–2086. [Google Scholar] [CrossRef]
- Zhou, J.N.; Chang, S.M.; Wang, B.; Jin, F.N. Shielding cover design for civil air defence engineering with parking lot basement. Chin. J. Undergr. Space Eng. 2007, 3, 792–795. [Google Scholar]
- Yang, X. Analysis of Dynamic Response of Large-Volume Concrete under Projectile Penetration and Explosion. Master’s Thesis, Harbin Engineering University, Harbin, China, 2021. [Google Scholar]
- Lai, J.Z.; Guo, X.J.; Zhu, Y.Y. Repeated penetration and different depth explosion of ultra-high performance concrete. Int. J. Impact Eng. 2015, 84, 1–12. [Google Scholar] [CrossRef]
- Wei, W.L.; Li, S.T.; Chen, Y.Q. Numerical Simulation of Air Explosion Process of High Speed Projectiles. In Proceedings of the 17th China CAE Annual Conference, Haikou, China, 12 November 2021; p. 5. [Google Scholar]
Disclaimer/Publisher’s Note: The statements, opinions and data contained in all publications are solely those of the individual author(s) and contributor(s) and not of MDPI and/or the editor(s). MDPI and/or the editor(s) disclaim responsibility for any injury to people or property resulting from any ideas, methods, instructions or products referred to in the content. |
© 2024 by the authors. Licensee MDPI, Basel, Switzerland. This article is an open access article distributed under the terms and conditions of the Creative Commons Attribution (CC BY) license (https://creativecommons.org/licenses/by/4.0/).