Seismic Performance of Steel-Reinforced High Strength Concrete Joints Considering Bond Slip Effect
Abstract
1. Introduction
2. Experimental Overview
2.1. Specimen Design
2.2. Material Properties
2.3. Loading Scheme
3. Test Results and Discussion
3.1. Test Behavior and Failure Modes
3.2. Load-Slip Curve
3.2.1. Different Anchoring Lengths
3.2.2. Different Concrete Grades
3.2.3. Different Stirrup Spacing
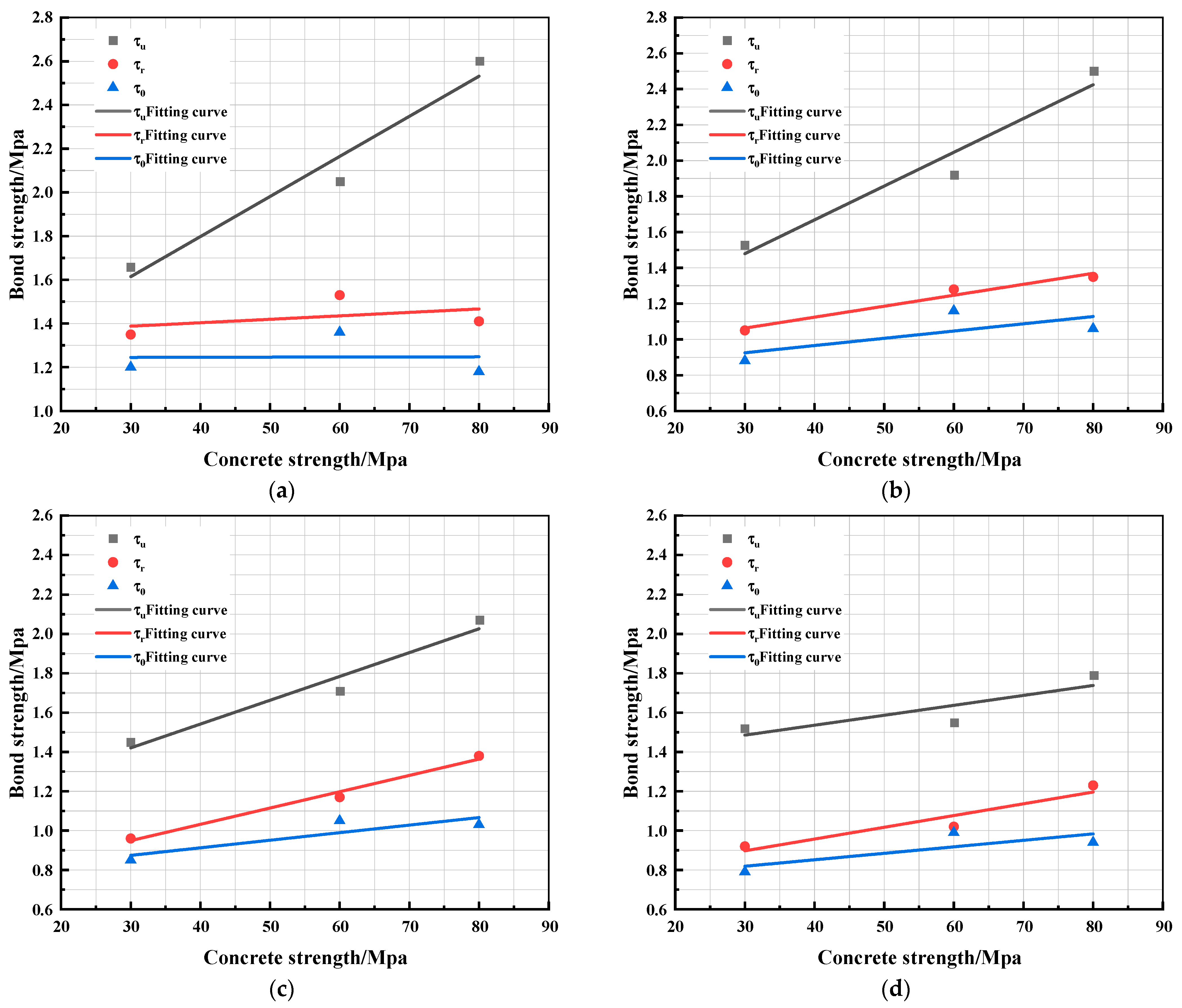
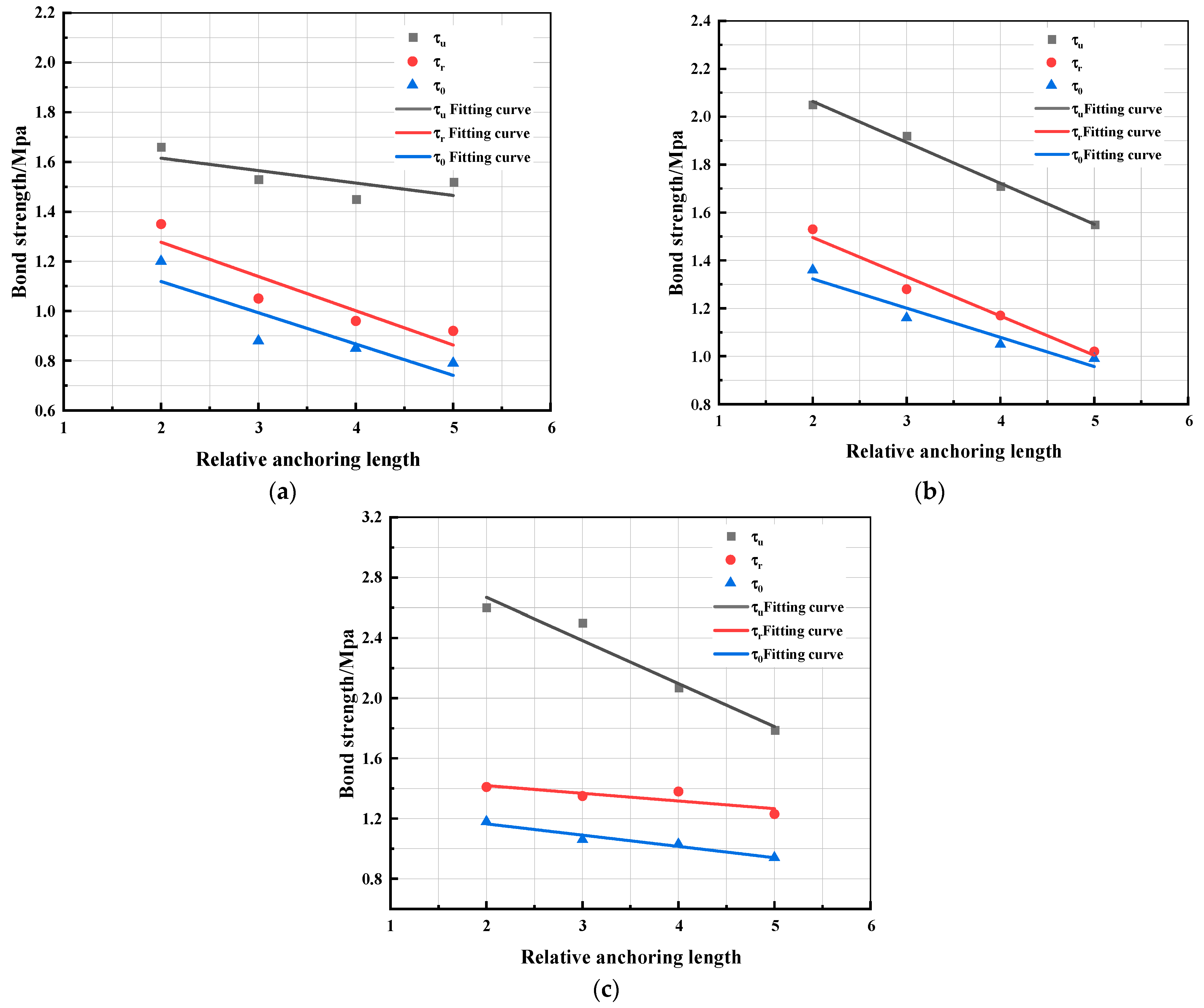
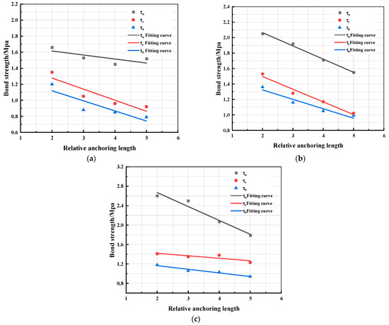
4. Characteristic Bond Strength
4.1. Analysis of Characteristic Bond Strength and Influencing Factors
- represents the external load applied during the test, the unit kN.
- represents the girth length of the steel section, in mm; The test structural steel size is I10, so the circumference length is 460 mm.
- represents the anchoring length between the structural steel of the specimen and the concrete, in mm.
4.1.1. Concrete Strength
4.1.2. Stirrup Ratio
4.1.3. Anchoring Length
4.2. The Calculation Formula of the Characteristic Bond Strength
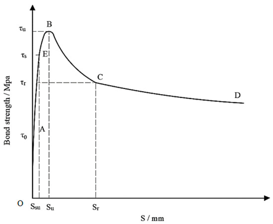
4.3. Characteristic Slip Value
- (1)
- Initial slip :At this time, the specimen did not slip.
- (2)
- Control point slip :Slip values corresponding to control points (, ). Where
- (3)
- Limit state slip ;
- (4)
- Initial slip in the residual stage:
5. Bond Slip Constitutive Relation
- (1)
- OA section: The free end does not slip, but the bond stress continues to increase until the free end of begins to slip. At this stage, the mathematical expression is:
- (2)
- AB segment: AB segment is described by parabola, and the mathematical expression is as follows:where ,
- (3)
- BCD segment: The BCD segment is described by hyperbola, and the mathematical expression is as follows:where , .
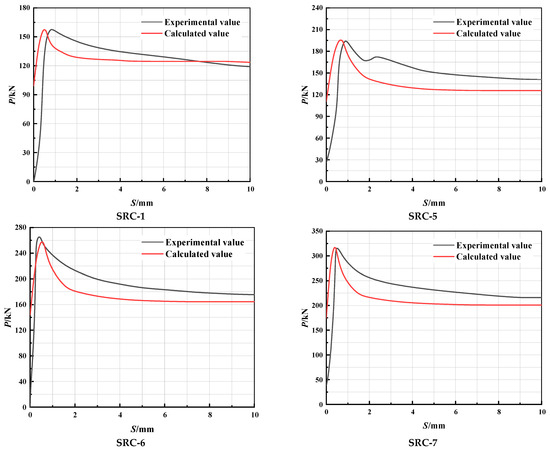
6. Finite Element Analysis
6.1. Material Characteristics and Constitutive Models
6.2. Mesh Discretization and Boundary Conditions
6.3. Finite Element Results
7. Conclusions
- (1)
- The load-slip curves at the free end can be roughly divided into three stages: ascent stage, descent stage, and residual deformation stage.
- (2)
- The influence of the strength grade of the concrete on the bond strength between structural steels and concrete was significant. The ultimate bond strength accelerated with the increase in the concrete grade, and this effect was more pronounced in specimens with anchorage lengths of 200 mm and 300 mm.
- (3)
- The ultimate load grew with the increase in the anchorage length, while the ultimate bond stress decreased. The primary reason is that the relative distribution length of the high stress region on the junction stress diffusion length grows with the increase in the anchorage length. The distribution of the high stress region on the diffusion length of the bond stress is relatively reduced, while the resistance load is increased. There is no significant change in the effective area of bond strength, so there will be an increase in anchorage length and characteristic adhesion.
- (4)
- The bond-slip constitutive model fitted by the three-segment relationship can well describe the variation of the curve of the structural steel and the high strength concrete.
- (5)
- The material constitutive model considering the effect of bond-slip is implanted into the software in the case of the ABAQUS finite element platform. The material is applied to the numerical simulation analysis of the SRHSC exterior joints. The rationality and accuracy of the new material are verified by comparing the simulation results with the test results.
Author Contributions
Funding
Data Availability Statement
Conflicts of Interest
Abbreviations
| Symbol | Representative Meaning | Unit |
| Initial bond strength | MPa | |
| Ultimate bond strength | MPa | |
| Residual bond strength | MPa | |
| Initial load | kN | |
| Ultimate load | kN | |
| Residual load | kN | |
| Anchorage length | mm | |
| Web height of the I10 shaped steel | mm | |
| External load applied | kN | |
| Girth length of the shaped steel section | mm | |
| Standard compressive strength of concrete cub | MPa | |
| Cross-section height of the shaped steel | mm | |
| Initial slip | mm | |
| Control point slip | mm | |
| Limit state slip | mm | |
| Initial slip | mm | |
| Parameter of the ascending section | - | |
| Parameter of the descending section | - | |
| Compressive stress of concrete | MPa | |
| Compressive strength of concrete axis | MPa | |
| Compressive strain of concrete | - | |
| Peak compressive strain of concrete | - | |
| Ascending stage parameter | - | |
| Descending stage parameter | - | |
| Axial tensile strength of concrete | MPa | |
| Tensile strain of concrete | - | |
| Peak tensile strain of concrete | - | |
| Represent tensile and compressive concrete, respectively | - | |
| Ratio of plastic and inelastic strain | 0.5~0.95 under tension, 0.35~0.7 under pressure | |
| corresponding strain in the inelastic stage of concrete under tension and pressure | - |
References
- Liu, W. Study on Seismic Performance of Side Joints of Steel-Reinforced Ultra-High Strength Concrete Frame. Ph.D. Thesis, Dalian University of Technology, Dalian, China, 2017. [Google Scholar]
- Ding, F.X. Study on Mechanical Performance and Design Method of Circular Steel Tubular Concrete Structure; Central South University: Changsha, China, 2006. [Google Scholar]
- Fan, G.; Song, Y.; Wang, L. Experimental study on the seismic behavior of reinforced concrete beam-column joints under various strain rates. J. Reinf. Plast. Compos. 2014, 33, 601–618. [Google Scholar] [CrossRef]
- Asprone, D.; Frascadore, R.; Di Ludovico, M.; Prota, A.; Manfredi, G. Influence of strain rate on the seismic response of RC structures. Eng. Struct. 2012, 35, 29–36. [Google Scholar] [CrossRef]
- Bischoff, P.H.; Perry, S.H. Compressive behaviour of concrete at high strain rates. Mater. Struct. 1991, 24, 425–450. [Google Scholar] [CrossRef]
- Zheng, S.; Deng, G.; Tian, W.; Che, S.; Wang, Z. Study on the bond slip constitutive Relationship of steel reinforced concrete Structures. J. Harbin Inst. Technol. 2005, 37, 524–527. [Google Scholar]
- Jing, D.H.; Sun, X.C.; Krevaikas, T.; Shen, J.C. Load–slip behavior of steel bearing–square reinforced concrete column connection joints with adhesive bonding and self-locking. Eng. Struct. 2024, 311, 118181. [Google Scholar] [CrossRef]
- Zhang, L.; Zhou, T.; Zhang, Z.; Tao, H.; Tan, W.; Liang, Z. Study on the bond-slip behavior between steel bar and rammed earth. J. Build. Eng. 2024, 90, 109441. [Google Scholar] [CrossRef]
- Zhang, N.; Ju, T.F.; Qiu, R. Experimental study on the bond-slip behavior of steel tube-coal gangue concrete. Int. J. Press. Vessel. Pip. 2024, 209, 105209. [Google Scholar] [CrossRef]
- Sun, L.; Wang, C.; Zhang, C.W.; Yang, Z.Y.; Li, C.; Qiao, P.Z. Experimental investigation on the bond performance of sea sand coral concrete with FRP bar reinforcement for marine environments. Adv. Struct. Eng. 2023, 26, 533–546. [Google Scholar] [CrossRef]
- Shakir, Q.M.; Hanoon, H.K. New models for reinforced concrete precast hybrid deep beams under static loads with curved hybridization. Structures 2023, 54, 1007–1025. [Google Scholar] [CrossRef]
- Shakir, Q.M.; Hannon, H.K. Innovative Model of Precast RC Curved Hybrid Deep Beams Composed Partially with High-Performance Concrete. Arab. J. Sci. Eng. 2024, 49, 6045–6060. [Google Scholar] [CrossRef]
- Yu, F.; Wu, C.; Xu, B.; Guan, Y.; Zhu, X.; Fang, Y. Study on shear bearing capacity of PVC-CFRP confined concrete column-RC beam exterior joint with core steel tube. Constr. Build. Mater. 2024, 410, 134197. [Google Scholar] [CrossRef]
- Yang, L.; Ye, M.; Huang, Y.; Dong, J. Study on Mechanical Properties of Displacement-Amplified Mild Steel Bar Joint Damper. Iran. J. Sci. Technol.-Trans. Civ. Eng. 2023, 1–14. [Google Scholar] [CrossRef]
- Nicoletti, V.; Quarchioni, S.; Tentella, L.; Martini, R.; Gara, F. Experimental Tests and Numerical Analyses for the Dynamic Characterization of a Steel and Wooden Cable-Stayed Footbridge. Infrastructures 2023, 8, 100. [Google Scholar] [CrossRef]
- Luo, Y.; Liu, X.; Chen, F.; Zhang, H.; Xiao, X. Numerical Simulation on Crack-Inclusion Interaction for Rib-to-Deck Welded Joints in Orthotropic Steel Deck. Metals 2023, 13, 1402. [Google Scholar] [CrossRef]
- Aghabagloo, M.; Carreras, L.; Barahona, M.; Barris, C.; Baena, M. Experimental study and numerical prediction of the bond-slip law for concrete elements strengthened with FRP using metaheuristic algorithm. Constr. Build. Mater. 2024, 411, 134712. [Google Scholar] [CrossRef]
- Wang, W.; Mi, J.; Zhu, B.; Chen, Y.; Xu, J.; Jia, Y. Study on bond-slip mechanism and interface shear transfer of corrugated web PEC columns with studs. Constr. Build. Mater. 2024, 413, 134899. [Google Scholar] [CrossRef]
- Zhang, J.; Meng, X.; Song, J.; Cao, X.; Ma, K. Push-out tests of interfacial bond slip between H-shaped steel and ultra-high performance concrete. Structures 2023, 57, 105268. [Google Scholar] [CrossRef]
- Saikali, R.E.; Pantazopoulou, S.J.; Palermo, D. Local Bond-Slip Behavior of Reinforcing Bars in High- Performance Steel Fiber-Reinforced Concrete Beams. ACI Struct. J. 2022, 119. [Google Scholar] [CrossRef]
- Zhang, G.; Han, Q.; Xu, K.; Du, X.; He, W. Quasi-static tests of CFST embedded RC column-to-precast cap beam with socket connection. Eng. Struct. 2021, 241, 112443. [Google Scholar] [CrossRef]
- Zhang, G.; Han, Q.; Xu, K.; Song, Y.; Li, Z.; Du, X. Parameter analysis and design on socket CFST column-cap beam joint with UHPC grouted connection. Eng. Struct. 2023, 292, 116528. [Google Scholar] [CrossRef]
- Chen, S.; Zhang, R.; Jia, L.J.; Wang, J.Y.; Gu, P. Structural behavior of UHPC filled steel tube columns under axial loading. Thin Walled Struct. 2018, 130, 550–563. [Google Scholar] [CrossRef]
- Gan, D.; Zhou, Z.; Zhou, X. Experimental Behavior of Square Tubed-Reinforced-Concrete Column to RC Beam Joints with Internal Diaphragms under Cyclic Loading. Key Eng. Mater. 2018, 763, 779–786. [Google Scholar] [CrossRef]
- Yang, D.; Wu, Z.; Zuo, R.; Li, J.; Xie, H.; Zhang, Y. Quasi-static testing of UHPC cupped socket piers-footing connection and its seismic fragility analysis under near-fault ground motions. Sci. Rep. 2024, 14, 10903. [Google Scholar] [CrossRef] [PubMed]
- Chen, L.; Wang, S.; Yin, C.; Li, S. Experimental study on constitutive relationship between checkered steel and concrete. Constr. Build. Mater. 2019, 210, 483–498. [Google Scholar] [CrossRef]
- Bai, G.; Ma, J.; Liu, B.; Chen, X. Study on the interfacial bond slip constitutive relation of I-section steel and fully recycled aggregate concrete. Constr. Build. Mater. 2020, 238, 117688. [Google Scholar] [CrossRef]
- Mahin, S.A.; Bertero, V.V. Rate of Loading Effects on Uncracked and Repaired Reinforced Concrete Members, Report No. EERC 72-9; Earthquake Engineering Research Center, University of California at Berkeley: Berkeley, CA, USA, 1972. [Google Scholar]
- Chung, L.; Shah, S.P. Effect of loading rate on anchorage bond and beam-column joints. ACI Struct. J. 1989, 86, 132–142. [Google Scholar]
- Kitajima, K.; Koizumi, T.; Akiyama, H.; Kanda, M.; Nakanishi, M.; Adachi, H. Response characteristics of reinforced concrete columns under bi-directional earthquake motions. In Proceedings of the 10th World Conference on Earthquake Engineering, Madrid, Spain, 19–24 July 1992. [Google Scholar]
- Inoue, N.; Wenliuhan, H.; Kanno, H.; Hori, N.; Ogawa, J. Shaking table tests of reinforced concrete columns subjected to simulated input motions with different time durations. J. Struct. Eng. 2000, 45, 313–320. [Google Scholar]
- Lee, W.; Lin, C.; Liu, T. Impact and fracture response of sintered 316L stainless steel subjected to high strain rate loading. Mater. Charact. 2007, 58, 363–370. [Google Scholar] [CrossRef]
- Li, J.H.; Xue, J.Y.; Wang, X.T. Experimental study on bond slip performance of steel reinforced concrete column under repeated load. Eng. Mech. 2009, 26, 98–104. [Google Scholar]
- Sun, Y.J.; Wu, T.; Liu, X. Calculation method of crack width of steel fiber light aggregate concrete beams with FRP bars based on bonding and sliding. Eng. Mech. 2022, 39, 34–44. [Google Scholar]
- Rodríguez-Martínez, J.A.; Rusinek, A.; Klepaczko, J.R. Constitutive relation for steels approximating quasi-static and intermediate strain rates at large deformations. Mech. Res. Commun. 2009, 36, 419–427. [Google Scholar] [CrossRef]
- Fan, G.; Song, Y. Effect of axial compression ratio on dynamic mechanical properties of RC beam–column joints. Mag. Concr. Res. 2014, 66, 1219–1236. [Google Scholar] [CrossRef]
- Yang, Y. Research on Basic Theory and Application of Bond Slip of Shaped Steel Concrete. Ph.D. Tthesis, Xi’an University of Architecture and Technology, Xi’an, China, 2003. [Google Scholar]
- GB50010-2010; Code for Design of Concrete Structures. PRC National Standard: Beijing, China, 2010.
- CAE Application Alliance; Zhang, J. ABAQUS 6.12 Finite Element Analysis from Beginners to Proficient; China Machine Press: Beijing, China, 2014. [Google Scholar]




















| Specimen Number | Concrete Grade/MPa | Stirrup Spacing/mm | b × h/mm | Anchorage Length/mm |
|---|---|---|---|---|
| SRC-1 | C30 | 6@120 | 200 × 200 | 200 |
| SRC-2 | C30 | 6@120 | 200 × 200 | 300 |
| SRC-3 | C30 | 6@120 | 200 × 200 | 400 |
| SRC-4 | C30 | 6@120 | 200 × 200 | 500 |
| SRC-5 | C60 | 6@120 | 200 × 200 | 200 |
| SRC-6 | C60 | 6@120 | 200 × 200 | 300 |
| SRC-7 | C60 | 6@120 | 200 × 200 | 400 |
| SRC-8 | C60 | 6@120 | 200 × 200 | 500 |
| SRC-9 | C80 | 6@80 | 200 × 200 | 300 |
| SRC-10 | C80 | 6@80 | 200 × 200 | 400 |
| SRC-11 | C80 | 6@120 | 200 × 200 | 200 |
| SRC-12 | C80 | 6@120 | 200 × 200 | 300 |
| SRC-13 | C80 | 6@120 | 200 × 200 | 400 |
| SRC-14 | C80 | 6@120 | 200 × 200 | 500 |
| Cement | Slag Powder | Fly Ash | Artificial Sand | River Sand | Cobble | Admixture | Water | |
|---|---|---|---|---|---|---|---|---|
| C30 | 1.00 | 0.28 | 0.28 | 2.35 | 1.56 | 4.24 | 0.044 | 0.78 |
| C60 | 1.00 | 0.16 | 0.16 | 1.36 | 0.48 | 2.21 | 0.033 | 0.41 |
| Cement | Silica Powder | Fly Ash | Water | Water Reducing Agent | Cobble | Silica Sand | |
|---|---|---|---|---|---|---|---|
| C80 | 1 | 0.14 | 0.28 | 0.33 | 0.02 | 2.75 | 1.18 |
| Specimen ID | /KN | /KN | /KN | /MPa | /MPa | /MPa |
|---|---|---|---|---|---|---|
| SRC-1 | 109.98 | 152.67 | 123.94 | 1.20 | 1.66 | 1.35 |
| SRC-2 | 121.48 | 211.71 | 144.46 | 0.88 | 1.53 | 1.05 |
| SRC-3 | 155.80 | 266.63 | 177.29 | 0.85 | 1.45 | 0.96 |
| SRC-4 | 183.18 | 349.66 | 211.60 | 0.79 | 1.52 | 0.92 |
| SRC-5 | 125.58 | 189.35 | 141.18 | 1.36 | 2.05 | 1.53 |
| SRC-6 | 159.60 | 264.30 | 177.29 | 1.16 | 1.92 | 1.28 |
| SRC-7 | 193.71 | 315.19 | 215.87 | 1.05 | 1.71 | 1.17 |
| SRC-8 | 227.36 | 357.05 | 233.93 | 0.99 | 1.55 | 1.02 |
| SRC-9 | 167.44 | 264.30 | 177.29 | 1.21 | 1.92 | 1.28 |
| SRC-10 | 194.75 | 343.10 | 212.59 | 1.06 | 1.86 | 1.15 |
| SRC-11 | 109.31 | 239.20 | 128.80 | 1.18 | 2.60 | 1.41 |
| SRC-12 | 146.92 | 338.63 | 186.32 | 1.06 | 2.50 | 1.35 |
| SRC-13 | 190.60 | 381.52 | 254.45 | 1.03 | 2.07 | 1.38 |
| SRC-14 | 216.20 | 412.70 | 283.63 | 0.94 | 1.79 | 1.23 |
| Test Piece | Characteristic Bond Strength | Test Value/MPa | Calculated Value/MPa | Test Value/Calculated Value |
|---|---|---|---|---|
| SRC-1 | 1.20 | 1.13 | 1.06 | |
| 1.66 | 1.76 | 0.94 | ||
| 1.35 | 1.26 | 1.07 | ||
| SRC-2 | 0.88 | 1.01 | 0.87 | |
| 1.53 | 1.60 | 0.96 | ||
| 1.05 | 1.14 | 0.92 | ||
| SRC-3 | 0.85 | 0.91 | 0.93 | |
| 1.45 | 1.43 | 1.01 | ||
| 0.96 | 1.02 | 0.94 | ||
| SRC-4 | 0.79 | 0.80 | 0.99 | |
| 1.52 | 1.27 | 1.19 | ||
| 0.92 | 0.91 | 1.01 | ||
| SRC-5 | 1.36 | 1.22 | 1.11 | |
| 2.05 | 2.11 | 0.97 | ||
| 1.53 | 1.39 | 1.10 | ||
| SRC-6 | 1.16 | 1.10 | 1.05 | |
| 1.92 | 1.95 | 0.98 | ||
| 1.28 | 1.28 | 1.00 | ||
| SRC-7 | 1.05 | 1.00 | 1.05 | |
| 1.71 | 1.78 | 0.96 | ||
| 1.17 | 1.16 | 1.00 | ||
| SRC-8 | 0.99 | 0.89 | 1.11 | |
| 1.55 | 1.61 | 0.96 | ||
| 1.02 | 1.04 | 0.98 | ||
| SRC-9 | 1.21 | 1.16 | 1.04 | |
| 1.92 | 2.18 | 0.88 | ||
| 1.28 | 1.37 | 0.93 | ||
| SRC-10 | 1.06 | 1.05 | 1.01 | |
| 1.86 | 2.02 | 0.92 | ||
| 1.15 | 1.27 | 0.91 | ||
| SRC-11 | 1.18 | 1.27 | 0.93 | |
| 2.60 | 2.34 | 1.11 | ||
| 1.41 | 1.49 | 0.95 | ||
| SRC-12 | 1.06 | 1.16 | 0.91 | |
| 2.50 | 2.18 | 1.14 | ||
| 1.35 | 1.37 | 0.98 | ||
| SRC-13 | 1.03 | 1.05 | 0.98 | |
| 2.07 | 2.02 | 1.02 | ||
| 1.38 | 1.27 | 1.09 | ||
| SRC-14 | 0.94 | 0.95 | 0.99 | |
| 1.71 | 1.85 | 0.92 | ||
| 1.23 | 1.14 | 1.08 |
| Test Piece | Characteristic Bond Strength | Test Value/MPa | Calculated Value/MPa | Test Value/Calculated Value |
|---|---|---|---|---|
| SRC-5 | 0.84 | 0.68 | 1.23 | |
| 1.32 | 1.23 | 1.07 | ||
| 0.97 | 0.81 | 1.19 | ||
| SRC-9 | 0.70 | 0.46 | 1.52 | |
| 1.08 | 0.82 | 1.32 | ||
| 0.58 | 0.55 | 1.05 | ||
| SRC-11 | 1.30 | 0.85 | 1.53 | |
| 1.43 | 1.41 | 1.01 | ||
| 0.85 | 0.97 | 0.88 |
| Expansion Angle ρ | Eccentricity | Coefficient of Viscosity | ||
|---|---|---|---|---|
| 30 | 0.1 | 1.16 | 0.667 | 0.0005 |
| Test Piece | Type | Yield Point | Limiting Point | Failure Point | |||
|---|---|---|---|---|---|---|---|
| SRUHSC-1 | Test | 86.29 | 10.98 | 96.36 | 20.28 | 86.92 | 55.5 |
| FE | 75.88 | 10.42 | 85.64 | 20.41 | 82.47 | 54.6 | |
| SRUHSC-6 | Test | 86.02 | 10.85 | 97.05 | 24.88 | 82.49 | 42.00 |
| FE | 76.61 | 11.68 | 92.00 | 25.65 | 80.55 | 39.98 | |
| SRUHSC-7 | Test | 79.41 | 11.6 | 92.99 | 20.3 | 79.04 | 38.00 |
| FE | 78.78 | 10.13 | 91.91 | 20.26 | 77.92 | 32.25 | |
| SRUHSC-8 | Test | 86.61 | 11.4 | 93.26 | 20.34 | 79.27 | 62.37 |
| FE | 85.12 | 9.87 | 85.62 | 19.97 | 92.06 | 62.72 | |
Disclaimer/Publisher’s Note: The statements, opinions and data contained in all publications are solely those of the individual author(s) and contributor(s) and not of MDPI and/or the editor(s). MDPI and/or the editor(s) disclaim responsibility for any injury to people or property resulting from any ideas, methods, instructions or products referred to in the content. |
© 2024 by the authors. Licensee MDPI, Basel, Switzerland. This article is an open access article distributed under the terms and conditions of the Creative Commons Attribution (CC BY) license (https://creativecommons.org/licenses/by/4.0/).
Share and Cite
Liu, W.; Guo, J. Seismic Performance of Steel-Reinforced High Strength Concrete Joints Considering Bond Slip Effect. Buildings 2024, 14, 1747. https://doi.org/10.3390/buildings14061747
Liu W, Guo J. Seismic Performance of Steel-Reinforced High Strength Concrete Joints Considering Bond Slip Effect. Buildings. 2024; 14(6):1747. https://doi.org/10.3390/buildings14061747
Chicago/Turabian StyleLiu, Wei, and Jiacheng Guo. 2024. "Seismic Performance of Steel-Reinforced High Strength Concrete Joints Considering Bond Slip Effect" Buildings 14, no. 6: 1747. https://doi.org/10.3390/buildings14061747
APA StyleLiu, W., & Guo, J. (2024). Seismic Performance of Steel-Reinforced High Strength Concrete Joints Considering Bond Slip Effect. Buildings, 14(6), 1747. https://doi.org/10.3390/buildings14061747
