The Cyclic Performance and Macro-Simplified Analytical Model of Internal Joints in RC-Assembled Frame Structures Connected by Unbonded Prestressed Strands and Mortise-Tenon Based on Numerical Studies
Abstract
1. Introduction
2. Significance of This Study
3. New Connection in the Assembly Structure
4. Establishment and Validation of the Refined Analysis Model
4.1. Establishment of the Refined Analysis Model
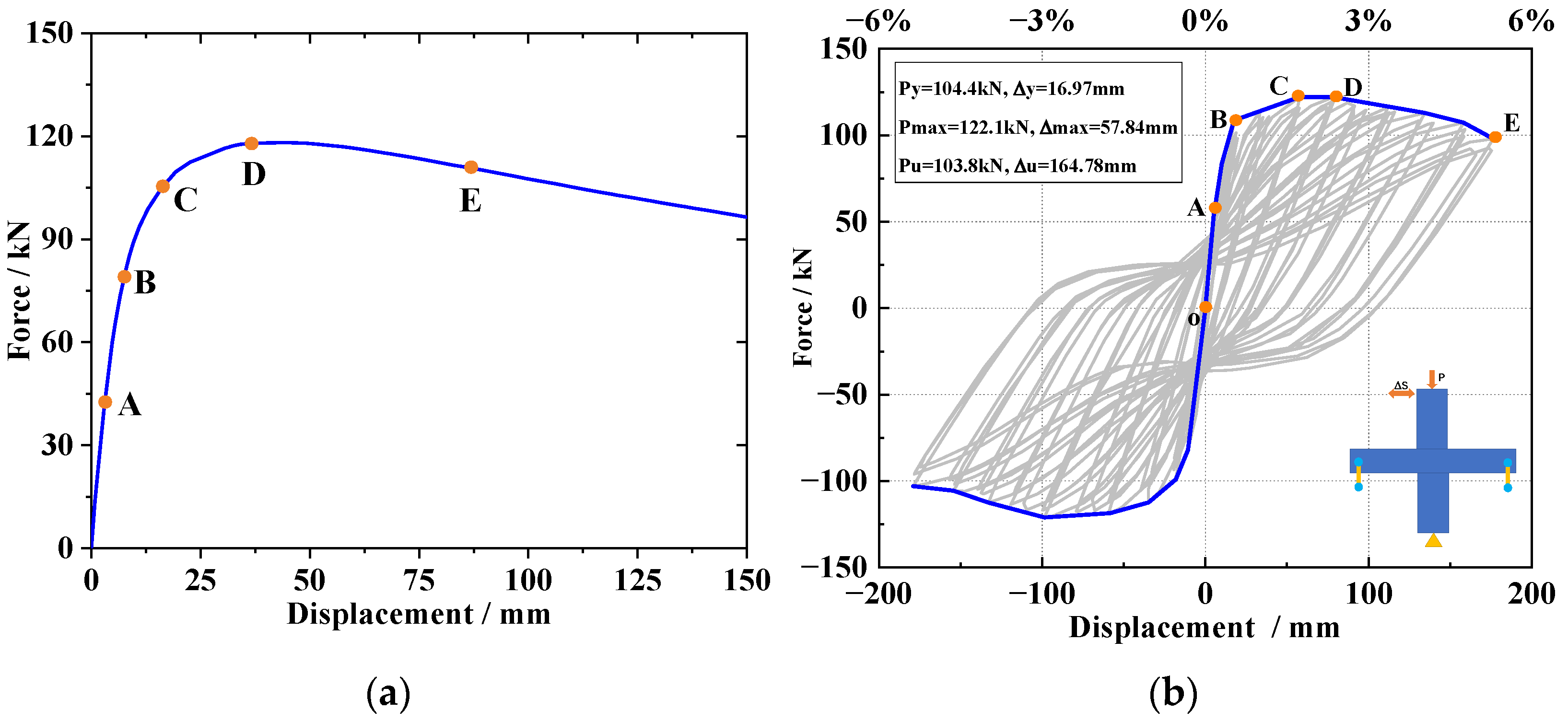
4.2. Model Validation
5. Analysis Results of the Refined Analysis Model
5.1. Hysteresis Curves Analysis
5.2. Deformation and Failure Process of the Joint
6. The Establishment of the Macro-Simplified Analytical Model
6.1. The Size of the Core Region of the Joint
6.2. Macro-Simplified Analytical Model
6.3. The Size of the Diagonal Compression Strut
6.4. The Skeleton Curve of the Shear Block in the Core Region
6.5. Materials and Elements of the Macro-Simplified Analytical Model
7. Hysteresis Parameter Identification
7.1. Introduction to Parameter Identification
7.2. Implementation Route for Parameter Identification by GA
8. Validation of Macro-Simplified Analysis Models
9. Conclusions
- The failure of the novel joint under horizontal cyclic loading begins with the failure of the core region. Under smaller axial compression ratios, the degree of relative constraint of the joints is weaker, and the relative slippage between prefabricated components becomes more significant. It is recommended that the axial compression ratio not be less than 0.1 and not exceed 0.4. Increasing the area of and the initial effective stress of the UPS can enhance the joint’s yield and peak load. However, their impact on the joint’s initial stiffness and hysteresis performance is minimal. The recommended range for the area of the UPS is from As (n = 0.02) to As (n = 0.1), with the initial effective stress of the UPS set at 0.75 fpu.
- The core region of the joint comprises multiple prefabricated components. The force mechanism of the diagonal compression strut still occurs in the core region under horizontal loading. The shear stress–strain skeleton curve of the core region of the joint is computed based on the diagonal compression strut.
- Based on the equivalent compression-only region surrounding the core region of the joint, this paper constructs a simplified numerical analysis model suitable for the proposed joint. The parameters obtained through GA identification in the restoring force models can effectively reflect the hysteresis performance of the joint under various conditions.
- Meanwhile, this paper also highlights that further theoretical analysis and relevant experimental verification are needed for the internal joint. This research is necessary to obtain improved connections and design parameters. For parameter identification by GA, the relevant algorithms still need further optimization to improve the accuracy and efficiency of parameter identification.
Author Contributions
Funding
Data Availability Statement
Conflicts of Interest
References
- Breccolotti, M.; Gentile, S.; Tommasini, M.; Materazzi, A.L.; Bonfigli, M.F.; Pasqualini, B.; Colone, V.; Gianesini, M. Beam-column joints in continuous RC frames: Comparison between cast-in-situ and precast solutions. Eng. Struct. 2016, 127, 129–144. [Google Scholar] [CrossRef]
- Guaygua, B.; Sanchez-Garrido, A.J.; Yepes, V. A systematic review of seis-mic-resistant precast concrete buildings. Structures 2023, 58, 105598. [Google Scholar] [CrossRef]
- Lee, J.Y.; Heo, J.H.; Byun, H.W.; Kim, K.H.; Shin, D. Comparison of emulation evaluation methods of precast concrete moment resistance structures. Eng. Struct. 2023, 291, 116416. [Google Scholar] [CrossRef]
- Martins, R.; do Carmo, R.; Costa, H.; Julio, E. A review on precast structural concrete walls and connections. Adv. Struct. Eng. 2023, 26, 2600–2620. [Google Scholar] [CrossRef]
- Liu, W.H.; Zhang, H.; Wang, Q.; Hua, T.R.; Xue, H. A Review and Scientometric Analysis of Global Research on Prefabricated Buildings. Adv. Civ. Eng. 2021, 2021, 8869315. [Google Scholar] [CrossRef]
- Yu, S.; Liu, Y.; Wang, D.; Bahaj, A.S.; Wu, Y.; Liu, J. Review of thermal and environmental performance of prefabricated buildings: Implications to emission reductions in China. Renew. Sustain. Energy Rev. 2021, 137, 110472. [Google Scholar] [CrossRef]
- Ferdous, W.; Bai, Y.; Ngo, T.D.; Manalo, A.; Mendis, P. New advancements, challenges and opportunities of multistorey modular buildings-A state-of-the-art review. Eng. Struct. 2019, 183, 883–893. [Google Scholar] [CrossRef]
- Sánchez-Garrido, A.J.; Navarro, I.J.; García, J.; Yepes, V. A systematic literature review on modern methods of construction in building: An integrated approach using machine learning. J. Build. Eng. 2023, 73, 106725. [Google Scholar] [CrossRef]
- Brunesi, E.; Nascimbene, R.; Bolognini, D.; Bellotti, D. Experimental investigation of the cyclic response of reinforced precast concrete framed structures. PCI J. 2015, 60, 57–79. [Google Scholar] [CrossRef]
- Lu, Z.W.; Huang, J.; Dai, S.B.; Liu, J.X.; Zhang, M.Z. Experimental study on a pre-cast beam-column joint with double grouted splice sleeves. Eng. Struct. 2019, 199, 109589. [Google Scholar] [CrossRef]
- Ye, Z.H.; Giriunas, K.; Sezen, H.; Wu, G.; Feng, D.C. State-of-the-art review and investigation of structural stability in multi-story modular buildings. J. Build. Eng. 2021, 33, 101844. [Google Scholar] [CrossRef]
- Song, X.B.; Li, K.; Crayssac, E.; Wu, Y.J. Lateral Performance of Traditional Heavy Timber Frames with Mortise-Tenon Joints Retrofitted Using Self-Tapping Screws. J. Struct. Eng. 2018, 44, 04018187. [Google Scholar] [CrossRef]
- Breccolotti, M.; Bonfigli, M.F.; Colone, V.; Materazzi, A.L.; Pasqualini, B.; Tommasini, M. Wet-joint techniques for the construction of precast concrete pipe rack structures in remote seismic zones. PCI J. 2017, 62, 45–58. [Google Scholar] [CrossRef]
- Chang, H.; Choi, I.; Kim, J.; Hong, S.Y. Experimental investigation on seismic performance of two types of member-panel zone unified joints for precast concrete moment-resisting frame. J. Build. Eng. 2021, 43, 103202. [Google Scholar] [CrossRef]
- Yang, C.T.; Xie, L.L.; Li, A.Q.; Wang, X.Y. A dry-connected rotational friction dissipative beam-to-column joint for precast concrete frame: Full-scale experimental and numerical investigations. J. Build. Eng. 2022, 54, 104685. [Google Scholar] [CrossRef]
- Building Seismic Safety Council (US). NEHRP Recommended Provisions for Seismic Regulations for New Buildings; FEMA: Washington, DC, USA, 1994. [Google Scholar]
- Bhandari, S.; Riggio, M.; Jahedi, S.; Fischer, E.C.; Muszynski, L.; Luo, Z.X. A review of modular cross laminated timber construction: Implications for temporary housing in seismic areas. J. Build. Eng. 2023, 63, 105485. [Google Scholar] [CrossRef]
- Nzabonimpa, J.D.; Hong, W.K. Experimental and Nonlinear Numerical Analysis of Precast Concrete Column Splices with High-Yield Metal Plates. J. Struct. Eng. 2019, 145, 04018254. [Google Scholar] [CrossRef]
- Oettel, V.; Joachim, L.; Schmidt, B. Calculation approach of multi keyed dry joints for sustainable modular precast element constructions made of UHPFRC. Constr. Build. Mater. 2023, 370, 130687. [Google Scholar] [CrossRef]
- Dubina, D.; Stratan, A. Behaviour of welded connections of moment resisting frames beam-to-column joints. Eng. Struct. 2002, 24, 1431–1440. [Google Scholar] [CrossRef]
- Zhang, Y.; Li, D.S. Seismic behavior and design of repairable precast RC beam–concrete-filled square steel tube column joints with energy-dissipating bolts. J. Build. Eng. 2021, 44, 103419. [Google Scholar] [CrossRef]
- Priestley, M. Overview of PRESSS Research program. PCI J. 1991, 4, 50–57. [Google Scholar] [CrossRef]
- Priestley, M.N.; Sritharan, S.; Conley, J.R.; Pampanin, S. Preliminary results and conclusions from the PRESSS five-story precast concrete test building. PCI J. 1999, 44, 42–67. [Google Scholar] [CrossRef]
- Dong, H.; Wen, J.; Han, Q.; Bi, K.; Zhou, Y.; Du, X. A novel self-centering braced double-column rocking bent for seismic resilience. J. Earthq. Eng. 2023, 27, 1215–1236. [Google Scholar] [CrossRef]
- Iqbal, A.; Pampanin, S.; Buchanan, A.H. Seismic Performance of Full-Scale Post-Tensioned Timber Beam-Column Connections. J. Earthq. Eng. 2016, 20, 383–405. [Google Scholar] [CrossRef]
- Naserpour, A.; Fathi, M.; Dhakal, R.P. Numerical analysis of inclined demountable precast concrete walls with rocking-based composite columns for seismic protection of building structures. J. Build. Eng. 2023, 75, 107009. [Google Scholar] [CrossRef]
- Guo, Z.P.; Guo, H.S.; Li, L.M.; Shi, P.F. Nonlinear finite element analysis of post-tensioned precast prestressed slab-beam-column joints. Structures 2023, 58, 105438. [Google Scholar] [CrossRef]
- Li, D.B.; Chai, Y.K.; Li, W.L.; Xiang, R. Experimental study and finite element analysis of seismic behaviour of novel precast prestressed concrete frames. Structures 2022, 38, 402–415. [Google Scholar] [CrossRef]
- Wang, J.W.; Zhou, W. Experimental and numerical response of unbonded post-tensioned rocking wall under lateral cyclic loading. J. Build. Eng. Ing 2023, 66, 105827. [Google Scholar] [CrossRef]
- Lv, Q.F.; Han, T.C.; Liu, Y. Models and design procedure for cross-laminated bamboo rocking walls. Structures 2022, 38, 1031–1049. [Google Scholar] [CrossRef]
- Piri, M.; Massumi, A. Seismic performance of steel moment and hinged frames with rocking shear walls. J. Build. Eng. 2022, 50, 104121. [Google Scholar] [CrossRef]
- Zhang, H.Y.; Geng, X.R.; Zhou, W. Experiments on the hysteretic response of self-centering RC columns prestressed by unbonded posttensioned tendons. J. Earthq. Eng. 2022, 26, 6763–6777. [Google Scholar] [CrossRef]
- Priestley, M.J.N.; MacRae, G.A. Seismic tests of precast beam-to-column joint subassemblages with unbonded tendons. PCI J. 1996, 41, 64–80. [Google Scholar] [CrossRef]
- Xin, Z.Y.; Baber, K.; Gattas, J.M. A novel tension strap connection for rapid assembly of temporary timber structures. Eng. Struct. 2022, 262, 114320. [Google Scholar] [CrossRef]
- Aloisio, A.; Contento, A.; Alaggio, R.; Briseghella, B.; Fragiacomo, M. Probabilistic assessment of a light-timber frame shear wall with variable pinching under repeated earth-quakes. J. Struct. Eng. 2022, 148, 04022178. [Google Scholar] [CrossRef]
- Huang, H.; Wu, Y.T.; Li, Z.; Sun, Z.W.; Chen, Z.X. Seismic behavior of Chuan-Dou type timber frames. Eng. Struct. 2018, 167, 725–739. [Google Scholar] [CrossRef]
- Dong, H.; He, M.; Wang, X.; Christopoulos, C.; Li, Z.; Shu, Z. Development of a uniaxial hysteretic model for dowel-type timber joints in OpenSees. Constr. Build. Mater. 2021, 288, 123112. [Google Scholar] [CrossRef]
- Bolmsvik, A.; Linderholt, A.; Brandt, A.; Ekevid, T. FE modelling of light weight wooden assemblies-Parameter study and comparison between analyses and experiments. Eng. Struct. 2014, 73, 125–142. [Google Scholar] [CrossRef]
- Wang, X.J.; He, M.J.; Dong, H.L.; Li, Z. Numerical modeling strategies and parametric analyses of platform-type and balloon-type cross-laminated timber (CLT) shear walls under lateral load. Eng. Struct. 2023, 295, 116857. [Google Scholar] [CrossRef]
- Lacourt, P.A.; Crisafulli, F.J.; Mirasso, A.E. Finite element modelling of hysteresis, degradation and failure of dowel type timber joints. Eng. Struct. 2016, 123, 89–96. [Google Scholar] [CrossRef]
- Blasetti, A.S.; Hoffman, R.M.; Dinehart, D.W. Simplified hysteretic finite element model for wood and viscoelastic polymer connections for the dynamic analysis of shear walls. J. Struct. Eng. 2008, 134, 77–86. [Google Scholar] [CrossRef]
- Zhang, B.Z.; Xie, Q.F.; Li, S.Y.; Zhang, L.P.; Xue, J.Y. Numerical analysis of traditional Chinese timber structure: Simplified finite element model and composite elements of joints. J. Build. Eng. 2023, 67, 106027. [Google Scholar] [CrossRef]
- Zhang, B.Z.; Xie, Q.F.; Liu, Y.J.; Zhang, L.P.; Li, S.Y. Effects of gaps on the seismic performance of traditional timber frames with straight mortise-tenon joint: Experimental tests, energy dissipation mechanism and hysteretic model. J. Build. Eng. 2022, 58, 105019. [Google Scholar] [CrossRef]
- Wang, C.; Xiao, J.; Liu, W.; Ma, Z. Unloading and reloading stress-strain relationship of recycled aggregate concrete reinforced with steel/polypropylene fibers under uniaxial low-cycle loadings. Cem. Concr. Compos. 2022, 131, 104597. [Google Scholar] [CrossRef]
- Wang, C.Q.; Wu, H.X.; Li, C.X. Hysteresis and damping properties of steel and polypropylene fiber reinforced recycled aggregate concrete under uniaxial low-cycle loadings. Constr. Build. Mater. 2022, 134, 12619. [Google Scholar] [CrossRef]
- GB50010-2010; Code for Design of Concrete Structures. China Construction Industry Press: Beijing, China, 2010.
- JGJ 369-2016; Code for Design of Prestressed Concrete Structures. China Construction Industry Press: Beijing, China, 2016.
- Cook, R.D.; Malkus, D.S.; Plesha, M.E.; Robert, J. Witt. Concepts and Applications of Finite Element Analysis; Wiley: New York, NY, USA, 1974. [Google Scholar]
- Hwang, S.J.; Lee, H.J. Analytical model for predicting shear strengths of interior reinforced concrete beam column joints for seismic resistance. ACI Struct. J. 2000, 97, 35–44. [Google Scholar]
- Hwang, S.J.; Lee, H.J. Analytical model for predicting shear strengths of exterior reinforced concrete beam column joints for seismic resistance. ACI Struct. J. 2000, 96, 846–857. [Google Scholar]
- Paulay, T.; Priestley, M.J.N. Seismic Design of Reinforced Concrete and Masonry Buildings; Wiley Interscience: Hoboken, NJ, USA, 1992. [Google Scholar]
- Alath, S.; Kunnath, S.K. Modeling inelastic shear deformation in RC beam-column joints. In Proceedings of the 10th Conference on Engineering Mechanics, New York, NY, USA, 21–24 May 1995; ASCE: Reston, VA, USA, 1995; pp. 822–825. [Google Scholar]
- Biddah, A.; Ghobarah, A. Modelling of shear deformation and bond slip in reinforced concrete joints. Struct. Eng. Mech. 1999, 7, 413–432. [Google Scholar] [CrossRef]
- Mitra, N. An Analytical Study of Reinforced Concrete Beam-Column Joint Behavior under Seismic Loading; University of Washington: Washington, DC, USA, 2007; pp. 1–210. [Google Scholar]
- Mazzoni, S.; McKenna, F.; Scott, M.H.; Fenves, G.L. OpenSees User’s Manual; PEER, University of California: Berkeley, CA, USA, 2004. [Google Scholar]
- Negash, B.A.; You, W.; Lee, J.; Lee, K. Parameter identification of Bouc-Wen model for magnetorheological (MR) fluid damper by a novel genetic algorithm. Adv. Mech. Eng. 2020, 12, 1687814020950546. [Google Scholar] [CrossRef]
- Li, Z.; Noori, M.; Zhao, Y.; Wan, C.F.; Feng, D.C. A multi-objective optimisation algorithm for Bouc-Wen-Baber-Noori model to identify reinforced concrete columns failing in different modes. J. Mater. Des. Appl. 2021, 235, 2165–2182. [Google Scholar]
- Ma, Y.; Wu, Z.B.; Cheng, X.B.; Sun, Z.G.; Chen, X.Y. Parameter identification of hysteresis model of reinforced concrete columns considering shear action. Structures 2023, 47, 93–104. [Google Scholar] [CrossRef]
- Sengupta, P.; Li, B. Modified Bouc-Wen model for hysteresis behavior of RC beam–column joints with limited transverse reinforcement. Eng. Struct. 2013, 46, 392–406. [Google Scholar] [CrossRef]
- Charalampakis, A.E.; Koumousis, V.K. Identification of Bouc-Wen hysteretic systems by a hybrid evolutionary algorithm. J. Sound Vib. 2008, 314, 571–585. [Google Scholar] [CrossRef]
- Raviolo, D.; Civera, M.; Fragonara, L.Z. A comparative analysis of optimization algorithms for finite element model updating on numerical and experimental benchmarks. Buildings 2023, 13, 3010. [Google Scholar] [CrossRef]
- Available online: https://opensees.berkeley.edu/wiki/index.php/Command_Manual (accessed on 2 March 2011).
- Lowes, L.N.; Mitra, N.; Altoontash, A. A Beam-Column Joint Model for Simulating the Earthquake Response of Reinforced Concrete Frames; Pacific Earthquake Engineering Research Center, College of Engineering, University of California: Berkeley, CA, USA, 2003. [Google Scholar]
- Park, Y.J.; Ang, A.H.S. Mechanistic seismic damage model for reinforced concrete. J. Struct. Eng. ASCE 1985, 111, 722–739. [Google Scholar] [CrossRef]
























| Connection Location | Material Model | Input Parameters |
|---|---|---|
| Core region | Pinching4 | $ePf1 $ePd1 $ePf2 $ePd2 $ePf3 $ePd3 $ePf4 $ePd4 <$eNf1 $eNd1 $eNf2 $eNd2 $eNf3 $eNd3 $eNf4 $eNd4> $rDispP $rForceP $uForceP <$rDispN $rForceN $uForceN > $gK1 $gK2 $gK3 $gK4 $gKLim $gD1 $gD2 $gD3 $gD4 $gDLim $gF1 $gF2 $gF3 $gF4 $gFLim $gE $dmgType |
| Type | Axial Compression Ratio n | Area of UPS Ap | Initial Stress of UPS fpeff | ||||||||
|---|---|---|---|---|---|---|---|---|---|---|---|
| 0.1 | 0.2 | 0.3 | 0.4 | 0.5 | 420 | 560 | 700 | 0.63 | 0.77 | 0.92 | |
| Pf1 | 1.171 | 1.204 | 1.442 | 1.905 | 2.452 | 1.483 | 1.743 | 2.085 | 1.468 | 1.479 | 1.621 |
| Pd1 | 0.00008 | 0.00009 | 0.00010 | 0.00014 | 0.00018 | 0.00011 | 0.00013 | 0.00015 | 0.00011 | 0.00011 | 0.00012 |
| Pf2 | 2.977 | 3.060 | 3.566 | 4.843 | 5.733 | 3.769 | 4.430 | 5.299 | 3.732 | 3.854 | 4.174 |
| Pd2 | 0.00260 | 0.00217 | 0.00320 | 0.00423 | 0.00545 | 0.00329 | 0.00387 | 0.00463 | 0.00326 | 0.00351 | 0.00382 |
| Pf3 | 3.135 | 3.223 | 3.861 | 5.101 | 6.565 | 3.970 | 4.667 | 5.581 | 3.931 | 4.128 | 4.207 |
| Pd3 | 0.01708 | 0.01726 | 0.01803 | 0.01979 | 0.01876 | 0.01962 | 0.02242 | 0.02340 | 0.01941 | 0.02003 | 0.02110 |
| Pf4 | 2.501 | 2.571 | 3.080 | 4.069 | 5.237 | 3.166 | 3.722 | 4.452 | 3.136 | 3.373 | 3.575 |
| Pd4 | 0.03294 | 0.03386 | 0.04057 | 0.05359 | 0.06897 | 0.04170 | 0.04903 | 0.05864 | 0.04130 | 0.04442 | 0.04840 |
| Type | Axial Compression Ratio n | Area of UPS Ap | Initial Stress of UPS fpeff | ||||||||
|---|---|---|---|---|---|---|---|---|---|---|---|
| 0.1 | 0.2 | 0.3 | 0.4 | 0.5 | 420 | 560 | 700 | 0.63 | 0.77 | 0.92 | |
| rDispP | 0.21 | 0.22 | 0.22 | 0.15 | 0.12 | 0.25 | 0.18 | 0.05 | 0.22 | 0.23 | 0.25 |
| rForceP | 0.28 | 0.30 | 0.40 | 0.42 | 0.45 | 0.40 | 0.40 | 0.40 | 0.40 | 0.40 | 0.40 |
| uForceP | 0.26 | 0.25 | 0.25 | 0.24 | 0.18 | 0.23 | 0.15 | 0.11 | 0.25 | 0.25 | 0.25 |
| K1 | 0.65 | 0.70 | 0.72 | 0.75 | 0.75 | 0.75 | 0.75 | 0.77 | 0.71 | 0.71 | 0.72 |
| K2 | 0.20 | 0.35 | 0.15 | 0.18 | 0.25 | 0.30 | 0.30 | 0.30 | 0.15 | 0.15 | 0.15 |
| K3 | 0.04 | 0.04 | 0.05 | 0.06 | 0.065 | 0.09 | 0.11 | 0.15 | 0.05 | 0.08 | 0.15 |
| K4 | 0.15 | 0.12 | 0.18 | 0.14 | 0.10 | 0.10 | 0.12 | 0.12 | 0.18 | 0.18 | 0.18 |
| D1 | 0.18 | 0.25 | 0.33 | 0.41 | 0.35 | 0.10 | 0.33 | 0.33 | 0.33 | 0.33 | 0.35 |
| D2 | 0.15 | 0.12 | 0.10 | 0.12 | 0.0 | 0.40 | 0.10 | 0.10 | 0.10 | 0.10 | 0.11 |
| D3 | 0.80 | 0.82 | 0.93 | 0.90 | 1.0 | 1.0 | 0.93 | 0.93 | 0.93 | 0.93 | 0.93 |
| D4 | 0.12 | 0.15 | 0.14 | 0.12 | 0.0 | 0.50 | 0.14 | 0.14 | 0.14 | 0.14 | 0.14 |
| F1 | 0.35 | 0.50 | 0.55 | 0.55 | 0.65 | 0.53 | 0.55 | 0.65 | 0.65 | 0.55 | 0.55 |
| F1 | 0.28 | 0.15 | 0.25 | 0.10 | 0.25 | 0.25 | 0.25 | 0.23 | 0.25 | 0.25 | 0.25 |
| F3 | 0.02 | 0.04 | 0.04 | 0.06 | 0.055 | 0.05 | 0.04 | 0.05 | 0.04 | 0.04 | 0.04 |
| F4 | 0.80 | 0.90 | 1.1 | 1.1 | 1.0 | 1.0 | 1.1 | 1.1 | 1.1 | 1.1 | 1.1 |
Disclaimer/Publisher’s Note: The statements, opinions and data contained in all publications are solely those of the individual author(s) and contributor(s) and not of MDPI and/or the editor(s). MDPI and/or the editor(s) disclaim responsibility for any injury to people or property resulting from any ideas, methods, instructions or products referred to in the content. |
© 2024 by the authors. Licensee MDPI, Basel, Switzerland. This article is an open access article distributed under the terms and conditions of the Creative Commons Attribution (CC BY) license (https://creativecommons.org/licenses/by/4.0/).
Share and Cite
Wang, J.; Zhang, W.; Zhang, C. The Cyclic Performance and Macro-Simplified Analytical Model of Internal Joints in RC-Assembled Frame Structures Connected by Unbonded Prestressed Strands and Mortise-Tenon Based on Numerical Studies. Buildings 2024, 14, 1629. https://doi.org/10.3390/buildings14061629
Wang J, Zhang W, Zhang C. The Cyclic Performance and Macro-Simplified Analytical Model of Internal Joints in RC-Assembled Frame Structures Connected by Unbonded Prestressed Strands and Mortise-Tenon Based on Numerical Studies. Buildings. 2024; 14(6):1629. https://doi.org/10.3390/buildings14061629
Chicago/Turabian StyleWang, Junwei, Wenxue Zhang, and Cheng Zhang. 2024. "The Cyclic Performance and Macro-Simplified Analytical Model of Internal Joints in RC-Assembled Frame Structures Connected by Unbonded Prestressed Strands and Mortise-Tenon Based on Numerical Studies" Buildings 14, no. 6: 1629. https://doi.org/10.3390/buildings14061629
APA StyleWang, J., Zhang, W., & Zhang, C. (2024). The Cyclic Performance and Macro-Simplified Analytical Model of Internal Joints in RC-Assembled Frame Structures Connected by Unbonded Prestressed Strands and Mortise-Tenon Based on Numerical Studies. Buildings, 14(6), 1629. https://doi.org/10.3390/buildings14061629
