Impact Toughness Analysis and Numerical Simulation of Coral Aggregate Concrete at Various Strength Grades: Experimental and Data Investigations
Abstract
1. Introduction
2. Experiment Study
2.1. Raw Material and Basic Properties
2.2. Preparation of Specimen
2.3. Test Method
3. Experiment Results and Discussion
3.1. Validation of Data
3.2. Quasi-Static Compressive Strength
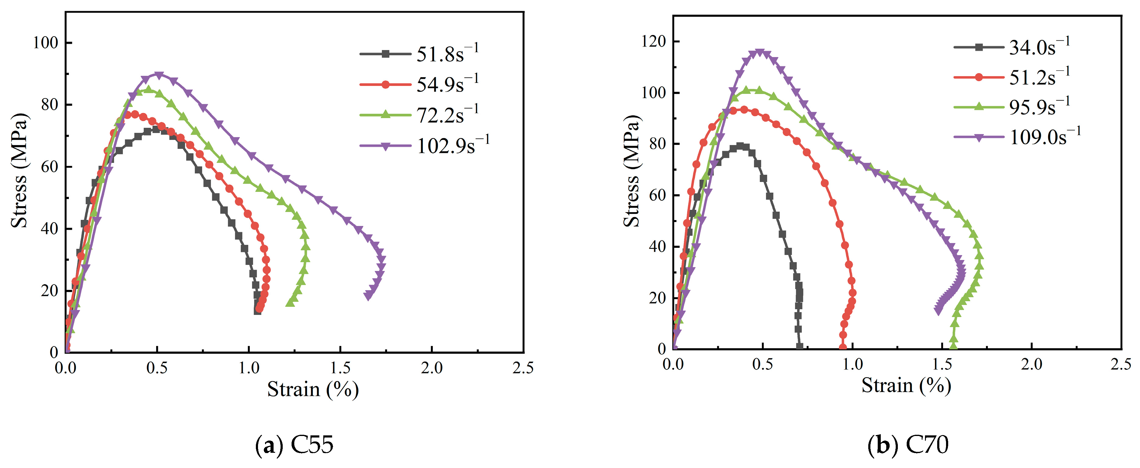
3.3. Stress–Strain Curve of Dynamic Impact
3.4. Effect of Strain Rate
3.5. Toughness Index
3.6. Failure Pattern
4. Numerical Study
4.1. Modeling of Geometry
4.2. Material Properties
4.3. Finite Element Meshing
4.4. Boundary Conditions
4.5. Mesoscopic Results
4.5.1. Stress–Strain Curve of the CASC
4.5.2. Failure Pattern and Failure Process
4.5.3. Failure Process of CASC
4.5.4. Cracking Process of Different Aggregate Volume Fraction of CASC
5. Conclusions
- (1)
 - The strength grade of CASC has a significant effect on the damage pattern under static and dynamic compression. The higher the strength grade of concrete, the less the damage degree of the specimens, unlike ordinary Portland concrete, where the cracks of CASC will be directly through the aggregate.
 - (2)
 - Coral concrete has a significant strain rate effect, and the DIF of CASC decreases with the increase in strength grade.
 - (3)
 - The toughness index of CASC grows with the increase in strain rate, and the trend of the toughness index with the strain rate can be obtained by fitting the exponential function. The growth rate of the toughness index changes significantly between the strength grade of 50 and 60 MPa.
 - (4)
 - In this paper, we propose to describe the energy absorption use of concrete in terms of the pre-peak and post-peak toughness ratios. The pre-peak to post-peak toughness ratio of CASC varies significantly in strain rates ranging from 70s-1 to 80s-1, indicating a change in the CASC damage mode and increased failure to the specimen.
 - (5)
 - A 3D random mesoscopic model which is composed of mortar, aggregate, and the ITZ is established to study the dynamic compression loading behavior of CASC. The feasibility of the proposed modeling method and model parameters is verified by comparing the failure mode, peak stress, and strain obtained in tests and numerical simulations.
 - (6)
 - Through the analysis of the numerical simulation analysis, it can be seen that the impact damage pattern of CASC at different strain rates is similar to the experimental results. The damage mode of CASC is investigated by varying the aggregate volume rate, and it can be obtained that the aggregate volume ratio has a greater influence on the failure mode of concrete. A percentage of 20% is a relatively reasonable aggregate volume ratio through numerical calculation.
 
Author Contributions
Funding
Data Availability Statement
Conflicts of Interest
References
- Zhang, Y. Research on Dynamic and Static Mechanical Properties of Coral Aggregate Concrete; Nanjing University of Aeronautics and Astronautics: Nanjing, China, 2016. (In Chinese) [Google Scholar]
 - Mrema, A.L.; Bungara, S.H. Achieving high strength high performance concrete from coral-limestone aggregates using ordinary Portland cement, fly ash and superplasticizer. In Proceedings of the 6th International Conference on Structural Engineering, Cape Town, South Africa, 5–7 September 2016; pp. 1380–1385. [Google Scholar]
 - Yu, H.; Da, B.; Ma, H.; Zhu, H.; Yu, Q.; Ye, H.; Jing, X. Durability of concrete structures in tropical atoll environment. Ocean Eng. 2017, 135, 1–10. [Google Scholar] [CrossRef]
 - Da, B.; Yu, H.F.; Ma, H.Y.; Tan, Y.S.; Mi, R.J.; Dou, X.M. Experimental investigation of whole stress-strain curves of coral concrete. Construct. Build Mater. 2016, 122, 81–89. [Google Scholar] [CrossRef]
 - Cai, Y.; Ren, H.Q.; Long, Z.L.; Guo, R.Q.; Du, K.M.; Chen, S.S.; Zheng, Z.H. Comparison study on the impact compression mechanical properties of coral aggregate concrete and ordinary Portland concrete. Structures 2022, 44, 1403–1415. [Google Scholar] [CrossRef]
 - Ma, H.; Yue, C.; Yu, H.; Mei, Q.; Chen, L.; Zhang, J.; Zhang, Y.; Jiang, X. Experimental study and numerical simulation of impact compression mechanical properties of high strength coral aggregate seawater concrete. Int. J. Impact Eng. 2020, 137, 103466. [Google Scholar] [CrossRef]
 - Sivakumar, N.; Ananthi, G.B.G. Characterisation of domestically discarded vegetable waste biomass ash and silica sand mixed with ordinary Portland cement concrete. Biomass Convers. Biorefinery 2024, 1–15. [Google Scholar] [CrossRef]
 - Kanagaraj, B.; Nammalvar, A.; Andrushia, A.D.; Gurupatham, B.G.A.; Roy, K. Influence of nano composites on the impact resistance of concrete at elevated temperatures. Fire 2023, 6, 135. [Google Scholar] [CrossRef]
 - Philip, R.E.; Andrushia, A.D.; Nammalvar, A.; Gurupatham BG, A.; Roy, K. A comparative study on crack detection in concrete walls using transfer learning techniques. J. Compos. Sci. 2023, 7, 169. [Google Scholar] [CrossRef]
 - Mazzucco, G.; Majorana, C.E.; Salomoni, V.A. Numerical simulation of polypropylene fibres in concrete materials under fire conditions. Comput.Struct. 2015, 154, 17–28. [Google Scholar] [CrossRef]
 - Fang, Q.; Zhang, J.; Zhang, Y.; Wu, H.; Gong, Z. A 3D mesoscopic model for the closedcell metallic foams subjected to static and dynamic loadings. Int. J. Impact Eng. 2015, 82, 103–112. [Google Scholar] [CrossRef]
 - Guo, J.; Zhang, J.; Yu, H.; Ma, H. Dynamic compressive behaviour of basic magnesium sulfate cement-coral aggregate concrete (BMSC-CAC) after exposure to elevated temperatures: Experimental and analytical studies. Constr. Build. Mater. 2023, 383, 131336. [Google Scholar] [CrossRef]
 - Saksala, T. Numerical modelling of concrete fracture processes under dynamic loading: Meso-mechanical approach based on embedded discontinuity finite elements. Eng. Fract. Mech. 2018, 201, 282–297. [Google Scholar] [CrossRef]
 - Potapov, S.; Masurel, A.; Marin, P.; Daudeville, L. Mixed DEM/FEM Modeling of Advanced Damage in Reinforced Concrete Structures. J. Eng. Mech. 2016, 143, 04016110. [Google Scholar] [CrossRef]
 - Fang, Q.; Zhang, J.; Zhang, Y.; Gong, Z.; Chen, L.; Liu, J. 3D Numerical Investigation of Cement Mortar with Microscopic Defects at High Strain Rates. J. Mater. Civ. Eng. 2015, 28, 04015155. [Google Scholar] [CrossRef]
 - Dai, L.Z.; Long, D.X.; Wang, L. Meso-scale modeling of concrete cracking induced by 3D corrosion expansion of helical strands. Comput. Struct. 2021, 254, 106615. [Google Scholar] [CrossRef]
 - Ma, H.; Wu, Z.; Yu, H.; Zhang, J.; Yue, C. Experimental and three-dimensional mesoscopic investigation of coral aggregate concrete under dynamic splitting-tensile loading. Mater. Struct. 2020, 53, 12. [Google Scholar] [CrossRef]
 - Jia, M.K.; Xu, W.X.; Zhu, Z.G. Numerical study on the excluded volumes of realistic 3D non convex particles. Powder Technol. 2019, 349, 52–58. [Google Scholar] [CrossRef]
 - LS-DYNA 2006. In Keyword User’s Manual; Livermore Software Technology Corporation: Livermore, CA, USA, 2006.
 - Yuan, Y.F. Mix Design and Property of Coral Aggregate Concrete; Nanjing University of Aeronautics and Astronautics: Nanjing, China, 2015. (In Chinese) [Google Scholar]
 - Song, B.; Chen, W. Dynamic Stress Equilibration in Split Hopkinson Pressure Bar Tests on Soft Materials. Exp. Mech. 2004, 44, 300–312. [Google Scholar] [CrossRef]
 - Davies ED, H.; Hunter, S.C. The dynamic compression testing of solids by the method of the split Hopkinson pressure bar. J. Mech. Phys. Solids 1963, 11, 155–179. [Google Scholar] [CrossRef]
 - Lindholm, U.S. Some experiments with the split Hopkinson pressure bar. J. Mech. Phys. Solids 1964, 12, 317–335. [Google Scholar] [CrossRef]
 - Gray, G.; Blumenthal, W.R. Split-Hopkinson Pressure Bar Testing of Soft Materials; ASM international: Materials Park, OH, USA, 2000; pp. 488–496. [Google Scholar]
 - Fu, Q.; Zhang, Z.; Zhao, X.; Hong, M.; Guo, B.; Yuan, Q.; Niu, D. Water saturation effect on the dynamic mechanical behaviour and scaling law effect on the dynamic strength of coral aggregate concrete. Cem. Concr. Compos. 2021, 120, 104034. [Google Scholar] [CrossRef]
 - Field, J.E.; Walley, S.M.; Proud, W.G.; Goldrein, H.T. Review of experimental techniques for high rate deformation shock studies. Int. J. Impact Eng. 2004, 30, 725–775. [Google Scholar] [CrossRef]
 - Guo, J.; Zhang, J.; Ma, H.; Yu, H.; Wu, Z.; Han, W.; Liu, T. Forthcoming. Dynamic behavior of a new type of coral aggregate concrete: Experimental and numerical investigation. J. Mater. Civ. Eng. 2023, 35, 04023124. [Google Scholar] [CrossRef]
 - Ma, L.; Li, Z.; Liu, J.; Duan, L.; Wu, J. Mechanical properties of coral concrete subjected to uniaxial dynamic compression. Constr. Build. Mater. 2019, 199, 244–255. [Google Scholar] [CrossRef]
 - CEB, CEB-FIP Model Code 1990, Committee Euro-International Du Beton; Redwood Books: Trowbridge, Wilshire, UK, 1993.
 - Ross, C.A.; Jerome, D.M.; Tedesco, J.W.; Hughes, M.L. Moisture and strain rate effffects on concrete strength. ACI Mater. J. 1996, 93, 293–300. [Google Scholar]
 - Tedesco, J.; Powell, J.; Ross, C.; Hughes, M. A strain-rate-dependent concrete material model for adina. Comput. Struct. 1997, 64, 1053–1067. [Google Scholar] [CrossRef]
 - Fujikake, K.; Mori, K.; Uebayashi, K.; Ohno, T. Dynamic properties of concrete materials with high rates of tri-axial compressive loads. Struct. Mater. 2000, 8, 511–522. [Google Scholar]
 - Al-Salloum, Y.; Almusallam, T.; Ibrahim, S.; Abbas, H.; Alsayed, S. Rate dependent behavior and modeling of concrete based on SHPB experiments. Cem. Concr. Compos. 2015, 55, 34–44. [Google Scholar] [CrossRef]
 - Choi, H.; Kim, J.; Yoon, Y.; Moon, B.-R. Investigation of incremental hybrid genetic algorithm with subgraph isomorphism problem. Swarm Evol. Comput. 2019, 49, 75–86. [Google Scholar] [CrossRef]
 - Yan, P.; Zhang, J.; Fang, Q.; Zhang, Y.; Fan, J. 3D numerical modelling of solid particles with randomness in shape considering convexity and concavity. Powder Technol. 2016, 301, 131–140. [Google Scholar] [CrossRef]
 - Wu, Z.Y.; Zhang, J.H.; Yu, H.F.; Ma, H. 3D mesoscopic investigation of the specimen aspect-ratio effect on the compressive behavior of coral aggregate concrete. Compos. Part B Eng. 2020, 198, 108025. [Google Scholar] [CrossRef]
 - Fang, Q.; Zhang, J.; Zhang, Y.; Liu, J.; Gong, Z. Mesoscopic investigation of closed-cell aluminum foams on energy absorption capability under impact. Compos. Struct. 2015, 124, 409–420. [Google Scholar] [CrossRef]
 - Holmquist, T.J.; Johnson, G.R. A computational constitutive model for concrete subjected to large strains, high strain rates, and high pressures. ASME J. Appl. Mech. 2011, 78, 051003. [Google Scholar] [CrossRef]
 - Malvar, L.J.; Crawford, J.E.; Wesevich, J.W.; Simons, D.A. APlasticity Concrete Material Model for, DYNA3D. Int. J. Impact Eng. 1997, 19, 847–873. [Google Scholar] [CrossRef]
 - Hua, S. Research on the Microstructure and the Mechanical Property of Interface Transition Zone of Coral Concrete. Master’s Thesis, Nanjing University of Aeronautics and Astronautics, Nanjing, China, 2019. [Google Scholar]
 - Fang, Q.; Zhang, J.H. Three-dimensional numerical modelling of concrete-like materials subjected to dynamic loadings. In Advances in Protective Structures; CRC Press: Boca Raton, FL, USA, 2012; pp. 33–64. [Google Scholar]
 - Yang, X.; You, Z.; Wang, Z.; Dai, Q. Review on heterogeneous model reconstruction of stone-based composites in numerical simulation. Constr. Build. Mater. 2016, 117, 229–243. [Google Scholar] [CrossRef]
 - Wu, Z.Y.; Zhang, J.H.; Yu, H.F.; Ma, H.; Chen, L.; Dong, Y.; Zhang, Y. Coupling effect of strain rate specimen size on the compressive properties of coral aggregate concrete: A 3D mesoscopic study. Compos. Part B Eng. 2020, 200, 108299. [Google Scholar] [CrossRef]
 














| Raw Materials | Fineness Modulus  | Apparent Density (kg/m3) | Bulk Density (kg/m3) | Porosity (%) | Water Absorption (%) | 
|---|---|---|---|---|---|
| Coral | - | 2557 | 1058 | 7.7 | 10.9 | 
| Coral sand | 2.44 | 2500 | 1115 | 45 | 11 | 
| Raw Materials | SiO2 | Al2O3 | CaO | SO3 | MgO | Fe2O3 | I.L | 
|---|---|---|---|---|---|---|---|
| FA | 54.88 | 26.89 | 4.77 | 1.16 | 1.31 | 6.49 | 3.1 | 
| Cement | 21.35 | 4.67 | 62.60 | 2.25 | 3.08 | 3.31 | 0.95 | 
| Cement | Specific Surface Area (m2/kg) | Burning Loss (%) | Normal Consistency (%)  | Coagulation Time (h)  | Compressive Strength (MPa) | Flexural Strength (MPa)  | |||
|---|---|---|---|---|---|---|---|---|---|
| Initial | Final | 3d | 28d | 3d | 28d | ||||
| 42.5R | 380 | 1.8 | 28.0 | 2.5 | 3.3 | 25.65 | 44.72 | 4.9 | 7.8 | 
| K+ | Na+ | Ca+ | Mg2+ | Fe3+ | Al3+ | B2O3 | Cl− | |||
|---|---|---|---|---|---|---|---|---|---|---|
| 391.4 | 104,34 | 402.4 | 1249 | 5.73 | 8 | 40.85 | 27.24 | 92.3 | 2503 | 18,800 | 
| No | Raw Materials (kg·m−3) | W/B | Sand Ratio (%) | Slump (mm) | 28d Compressive Strength (MPa) | |||||||
|---|---|---|---|---|---|---|---|---|---|---|---|---|
| Cementitious Materials | Cement | FA | Coral | Coral Sand | Pre- Absorption  | Total Water  | Water Reducer | |||||
| CASC55 | 550 | 429 | 121 | 680 | 1020 | 85 | 193 | 33 | 0.35 | 56 | 242 | 60.8 | 
| CASC70 | 800 | 620 | 180 | 369 | 860 | 61 | 224 | 22.4 | 0.28 | 66 | 274 | 72.0 | 
| CASC | fcy (Mpa) | Strain Rate (s−1) | Peak Stress (MPa) | Peak Strain (%) | DIF | Toughness | 
|---|---|---|---|---|---|---|
| C55 | 56.7 | 51.8 | 72.1 | 0.50 | 1.27 | 0.418 | 
| 54.9 | 77.0 | 0.36 | 1.36 | 0.434 | ||
| 72.2 | 84.7 | 0.45 | 1.50 | 0.628 | ||
| 102.9 | 89.8 | 0.50 | 1.58 | 1.02 | ||
| C70 | 69.2 | 34.0 | 79.2 | 0.38 | 1.15 | 0.273 | 
| 51.2 | 93.5 | 0.38 | 1.35 | 0.455 | ||
| 77.0 | 99.2 | 0.31 | 1.43 | 0.617 | ||
| 95.9 | 101.1 | 0.44 | 1.46 | 0.925 | ||
| 109.0 | 116.0 | 0.47 | 1.68 | 1.217 | 
| No. | R2 | ||
|---|---|---|---|
| CASC 50 | 0.02163 | 0.28616 | 0.899 | 
| CASC 70 | 0.02503 | 0.27533 | 0.886 | 
| CASC 80 | 0.00042 | 0.54002 | 0.809 | 
| Ma-2020 [17] | 0.00133 | 0.47334 | 0.978 | 
| Zhang-2016 [1] | 0.000814 | 0.5156 | 0.924 | 
| Zhang-2016 [1] | 0.01385 | 0.33657 | 0.871 | 
| Ma-2019 [28] | 0.05628 | 0.2464 | 0.812 | 
| Fu-2021 [25] | 0.00773 | 0.37218 | 0.988 | 
| No. | R2 | ||
|---|---|---|---|
| CASC-50 | −1.7497 | 0.01725 | 0.996 | 
| CASC-70 | −1.8888 | 0.01902 | 0.991 | 
| CASC-80 | −1.9848 | 0.02156 | 0.967 | 
| Zhang 2016 [1] | −1.3699 | 0.01611 | 0.847 | 
| Fu 2021 [19] | −1.39344 | 0.00989 | 0.988 | 
| Ma 2019 [27] | −2.13454 | 0.01217 | 0.808 | 
| Ma 2019 [27] | −1.4607 | 0.01133 | 0.632 | 
| Ma 2019 [27] | −1.0728 | 0.01346 | 0.766 | 
| No | Strain Rate (s−1) | Static Compressive Strength (MPa) | Dynamic Impact Strength (MPa) | Dynamic Peak Strain (10−2) | ||||
|---|---|---|---|---|---|---|---|---|
| Test | Numerical | Error (%) | Test | Numerical | Error (%) | |||
| CASC-55 | 51.8 | 56.7 | 72.1 | 69.9 | 3.1 | 0.50 | 0.27 | 46.2 | 
| 54.9 | 77.0 | 77.8 | 1.1 | 0.36 | 0.34 | 5.6 | ||
| 72.2 | 84.7 | 85.2 | 0.5 | 0.45 | 0.41 | 8.9 | ||
| 102.9 | 89.8 | 90.1 | 0.3 | 0.50 | 0.46 | 8.1 | ||
| CASC-70 | 34.0 | 69.2 | 79.2 | 76.5 | 3.4 | 0.38 | 0.31 | 18.4 | 
| 51.2 | 93.5 | 92.7 | 0.8 | 0.38 | 0.35 | 7.9 | ||
| 77.0 | 99.2 | 97.2 | 2.1 | 0.31 | 0.38 | 22.6 | ||
| 95.9 | 101.1 | 103.5 | 2.4 | 0.44 | 0.43 | 2.3 | ||
| 109.0 | 116.0 | 120.1 | 3.5 | 0.47 | 0.49 | 4.3 | ||
Disclaimer/Publisher’s Note: The statements, opinions and data contained in all publications are solely those of the individual author(s) and contributor(s) and not of MDPI and/or the editor(s). MDPI and/or the editor(s) disclaim responsibility for any injury to people or property resulting from any ideas, methods, instructions or products referred to in the content.  | 
© 2024 by the authors. Licensee MDPI, Basel, Switzerland. This article is an open access article distributed under the terms and conditions of the Creative Commons Attribution (CC BY) license (https://creativecommons.org/licenses/by/4.0/).
Share and Cite
Guo, J.; Yu, H.; Ma, H.; Quan, S.; Liu, T.; Dai, X. Impact Toughness Analysis and Numerical Simulation of Coral Aggregate Concrete at Various Strength Grades: Experimental and Data Investigations. Buildings 2024, 14, 1605. https://doi.org/10.3390/buildings14061605
Guo J, Yu H, Ma H, Quan S, Liu T, Dai X. Impact Toughness Analysis and Numerical Simulation of Coral Aggregate Concrete at Various Strength Grades: Experimental and Data Investigations. Buildings. 2024; 14(6):1605. https://doi.org/10.3390/buildings14061605
Chicago/Turabian StyleGuo, Jianbo, Hongfa Yu, Haiyan Ma, Sangchu Quan, Ting Liu, and Xiaodi Dai. 2024. "Impact Toughness Analysis and Numerical Simulation of Coral Aggregate Concrete at Various Strength Grades: Experimental and Data Investigations" Buildings 14, no. 6: 1605. https://doi.org/10.3390/buildings14061605
APA StyleGuo, J., Yu, H., Ma, H., Quan, S., Liu, T., & Dai, X. (2024). Impact Toughness Analysis and Numerical Simulation of Coral Aggregate Concrete at Various Strength Grades: Experimental and Data Investigations. Buildings, 14(6), 1605. https://doi.org/10.3390/buildings14061605
        