Flexural Behavior of Cross-Laminated Timber Panels with Environmentally Friendly Timber Edge Connections
Abstract
1. Introduction
Research Significance
2. Method and Adhesive-Free Timber Edge Connections
2.1. Connected CLT Panels with Innovative Adhesive-Free Timber Edge Connections
2.2. Four-Point Bending Test
2.3. Failures Evaluation and Validation Process of Numerical Model
3. Results and Discussion
3.1. Verification and Validation of Numerical Model
3.2. Investigated Parameters of CLT Panels with Self-Developed Adhesive-Free Timber Edge Connections
3.3. Load–Displacement Response
3.4. Load–Strain Performance
3.5. Strain Distribution along the Mid-Span Depth
3.6. Stress Distribution, Failure Modes, and Deflection Distribution
4. Conclusions and Recommendations
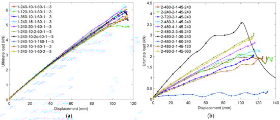
- The models concerned with the DS and the HL edge connections exhibited the ultimate load ranges of 4.95–6.23 kN and 0.35–3.58 kN, respectively, with the mean load capacity of the DS edge connection at 5.70 kN, which was 149% higher than 2.29 kN of the HL edge connection.
- The preferred 15 mm diameter dowel connections in the DS edge connection improved the load capacity by 15.26%, while increments in the horizontal length of the DS connection and adjustments in the placement of its dowel connectors raised the CLT panel’s ultimate load by 8.8% and 8.83%, respectively.
- The CLT panels that utilized the HL edge connections were generally more ductile but less stable, with greater load capacity standard deviations, compared to those with the DS edge connections, which demonstrated both the tensile and compressive failures, whereas the panels with the HL edge connections mostly failed due to the tension.
- The number of dowel connections from both the DS and the HL edge connections positively correlated with their load capacities (up to 11.71% and 80.81%, respectively).
- Factor ‘d’ played an important role in the panel’s ultimate load (an improvement of 44.44% by increasing ‘d’) regarding the HL connection. Meanwhile, the panels with the DS edge connection were minorly impacted by the factor ‘d’.
- The load capacity of the panels with the HL edge connection was improved by 80.81% due to the increment of the connection’s upper thickness. The recommended thickness of the HL connection’s upper thickness should be above 45 mm at least.
- Stress and deformation barely existed at most of the panels’ bottom lamella layers. This situation can be improved by (1) increasing the number of dowl connectors and (2) modifying the dowel connectors’ location.
- According to the validation of the numerical model, the developed numerical models (31.96 kN and 87.1 mm) exhibited a slightly lower load capacity (−0.1%) and a greater deflection at failure (1.9%) than that of the experimental tests’ mean values (32 kN and 85.4 mm).
Author Contributions
Funding
Data Availability Statement
Acknowledgments
Conflicts of Interest
References
- Grebner, D.L.; Bettinger, P.; Siry, J.P.; Boston, K. Forest Products. In Introduction to Forestry and Natural Resources; Academic Press: Cambridge, MA, USA, 2022; pp. 101–129. [Google Scholar] [CrossRef]
- Xin, Z.; Gattas, J. Structural Behaviors of Integrally-Jointed Plywood Columns with Knot Defects. Int. J. Struct. Stab. Dyn. 2021, 21, 2150022. [Google Scholar] [CrossRef]
- Jockwer, R.; Brühl, F.; Cabrero, J.M.; Hübner, U.; Leijten, A.; Munch-Anderssen, J.; Ranasinghe, K. Modern Connections in the Future Eurocode 5—Overview of Current Developments. In Proceedings of the World Conference on Timber Engineering 2021, WCTE 2021, Santiago, Chile, 9–12 August 2021. [Google Scholar]
- Harley, T.; White, G.; Dowdall, A.; Bawcombe, J.; McRobie, A.; Steinke, R. Dalston Lane—The World’s Tallest CLT Building. In Proceedings of the WCTE 2016—World Conference on Timber Engineering, Vienna, Austria, 22–25 August 2016. [Google Scholar]
- Tannert, T. Improved Performance of Reinforced Rounded Dovetail Joints. Constr. Build. Mater. 2016, 118, 262–267. [Google Scholar] [CrossRef]
- Techlam, N.Z. Advantages & Benefits of Glulam. Available online: https://techlam.nz/about/advantages-benefits-of-glulam/ (accessed on 20 November 2023).
- Zhang, Y.; Zhang, X.; Wang, L. Experimental Validation and Simplified Design of an Energy-Based Time Equivalent Method Applied to Evaluate the Fire Resistance of the Glulam Exposed to Parametric Fire. Eng. Struct. 2022, 272, 115051. [Google Scholar] [CrossRef]
- Bahrami, A.; Vall, A.; Khalaf, A. Comparison of Cross-Laminated Timber and Reinforced Concrete Floors with Regard to Load-Bearing Properties. Civ. Eng. Archit. 2021, 9, 1395–1408. [Google Scholar] [CrossRef]
- Bahrami, A.; Edås, M.; Magnenat, K.; Norén, J. The Behavior of Cross-Laminated Timber and Reinforced Concrete Floors in a Multi-Story Building. Int. J. Adv. Appl. Sci. 2022, 9, 43–50. [Google Scholar] [CrossRef]
- Bahrami, A.; Nexén, O.; Jonsson, J. Comparing Performance of Cross-Laminated Timber and Reinforced Concrete Walls. Int. J. Appl. Mech. Eng. 2021, 26, 28–43. [Google Scholar] [CrossRef]
- Bajzecerová, V.; Kanócz, J.; Rovňák, M.; Kováč, M. Prestressed CLT-Concrete Composite Panels with Adhesive Shear Connection. J. Build. Eng. 2022, 56, 104785. [Google Scholar] [CrossRef]
- Wang, M.; Xu, Q.; Harries, K.A.; Chen, L.; Wang, Z.; Chen, X. Experimental Study on Mechanical Performance of Shear Connections in CLT-Concrete Composite Floor. Eng. Struct. 2022, 269, 114842. [Google Scholar] [CrossRef]
- Jeong, G.Y.; Pham, V.S.; Tran, D.K. Development of Predicting Equations for Slip Modulus and Shear Capacity of CLT–Concrete Composite with Screw Connections. J. Build. Eng. 2023, 71, 106468. [Google Scholar] [CrossRef]
- Xu, Q.; Wang, M.; Chen, L.; Harries, K.A.; Song, X.; Wang, Z. Mechanical Performance of Notched Shear Connections in CLT-Concrete Composite Floor. J. Build. Eng. 2023, 70, 106364. [Google Scholar] [CrossRef]
- Cao, J.; Xiong, H.; Wang, Z.; Chen, J. Mechanical Characteristics and Analytical Model of CLT-Concrete Compo-site Connections under Monotonic Loading. Constr. Build. Mater. 2022, 335, 127472. [Google Scholar] [CrossRef]
- Asselstine, J.; Lam, F.; Zhang, C. New Edge Connection Technology for Cross Laminated Timber (CLT) Floor Slabs Promoting Two-Way Action. Eng. Struct. 2021, 233, 111777. [Google Scholar] [CrossRef]
- Tapia, C.; Claus, M.; Aicher, S. A Finger-Joint Based Edge Connection for the Weak Direction of CLT Plates. Constr. Build. Mater. 2022, 340, 127645. [Google Scholar] [CrossRef]
- Khai Tran, D.; Young Jeong, G. Tension Resistance Properties of Hold-down and Angle-Bracket Connections on Cross-Laminated Timber (CLT). Structures 2023, 56, 104841. [Google Scholar] [CrossRef]
- Zhang, J.; Zhang, C.; Li, Y.; Chang, W.S.; Huang, H. Cross-Laminated Timber (CLT) Floor Serviceability under Multi-Person Loading: Impact of Beam–Panel Connections. Eng. Struct. 2023, 296, 116941. [Google Scholar] [CrossRef]
- Udele, K.E.; Sinha, A.; Morrell, J.J. Effects of Re-Drying on Properties of Cross Laminated Timber (CLT) Connections. J. Build. Eng. 2023, 76, 107298. [Google Scholar] [CrossRef]
- Milojević, M.; Racic, V.; Marjanović, M.; Nefovska-Danilović, M. Influence of Inter-Panel Connections on Vibration Response of CLT Floors Due to Pedestrian-Induced Loading. Eng. Struct. 2023, 277, 115432. [Google Scholar] [CrossRef]
- Khai Tran, D.; Jeong, G.Y. Design of Geometric Variables of Hold-down and Angle Bracket Connections for Lateral Resistance Enhancement of Cross-Laminated Timber (CLT) Walls Considering the Influence of Wood Species, Load-Grain Angles, and Floor Conditions. Structures 2023, 48, 1003–1017. [Google Scholar] [CrossRef]
- Aloisio, A.; De Santis, Y.; Pasca, D.P.; Fragiacomo, M.; Tomasi, R. Aleatoric and Epistemic Uncertainty in the Overstrength of CLT-to-CLT Screwed Connections. Eng. Struct. 2024, 304, 117575. [Google Scholar] [CrossRef]
- Hemmilä, V.; Adamopoulos, S.; Karlsson, O.; Kumar, A. Development of Sustainable Bio-Adhesives for Engineered Wood Panels-A Review. RSC Adv. 2017, 7, 38604–38630. [Google Scholar] [CrossRef]
- Stark, N.M.; Cai, Z.; Carll, C. Wood-Based Composite Materials: Panel Products, Glued-Laminated Timber, Structural Composite Lumber, and Wood-Nonwood Composite Materials. In General Technical Report FPL–GTR–190; Forest Products Laboratory (US): Madison, WI, USA, 2010. [Google Scholar]
- Qiao, G.; Li, T.; Frank Chen, Y. Assessment and Retrofitting Solutions for an Historical Wooden Pavilion in China. Constr Build Mater 2016, 105, 435–447. [Google Scholar] [CrossRef]
- Crowther, P. Historic Trends in Building Assembly. In Proceedings of the ACSA/CIB International Science and Technology Conference—Technology in Transition: Mastering the Impacts, Montreal, QC, Canada, 25–29 June 1999. [Google Scholar]
- Baño, V.; Moltini, G. Experimental and Numerical Analysis of Novel Adhesive-Free Structural Floor Panels (TTP) Manufactured from Timber-to-Timber Joints. J. Build. Eng. 2021, 35, 102065. [Google Scholar] [CrossRef]
- Ilgın, H.E.; Karjalainen, M.; Alanen, M.; Malaska, M. Evaluating Fire Performance: An Experimental Comparison of Dovetail Massive Wooden Board Elements and Cross-Laminated Timber. Fire 2023, 6, 352. [Google Scholar] [CrossRef]
- Sotayo, A.; Bradley, D.; Bather, M.; Sareh, P.; Oudjene, M.; El-Houjeyri, I.; Harte, A.M.; Mehra, S.; O’Ceallaigh, C.; Haller, P.; et al. Review of State of the Art of Dowel Laminated Timber Members and Densified Wood Materials as Sustainable Engineered Wood Products for Construction and Building Applications. Dev. Built Environ. 2020, 1, 100004. [Google Scholar] [CrossRef]
- Structure Craft. Dowel Laminated Timber—The All Wood Panel—Mass Timber Design Guide. Available online: https://structurecraft.com/blog/dowel-laminated-timber-design-guide-and-profile-handbook (accessed on 31 January 2024).
- Vilguts, A.; Phillips, A.R.; Jerves, R.; Antonopoulos, C.; Griechen, D. Monotonic Testing of Single Shear-Plane CLT-to-CLT Joint with Hardwood Dowels. J. Build. Eng. 2024, 88, 109252. [Google Scholar] [CrossRef]
- Mehra, S.; O’Ceallaigh, C.; Sotayo, A.; Guan, Z.; Harte, A.M. Experimental Characterisation of the Moment-Rotation Behaviour of Beam-Beam Connections Using Compressed Wood Connectors. Eng. Struct. 2021, 247, 113132. [Google Scholar] [CrossRef]
- Mehra, S.; O’Ceallaigh, C.; Hamid-Lakzaeian, F.; Guan, Z.; Harte, A.M. Evaluation of the Structural Behaviour of Beam-Beam Connection Systems Using Compressed Wood Dowels and Plates. In Proceedings of the WCTE 2018—World Conference on Timber Engineering, Seoul, Republic of Korea, 20–23 August 2018. [Google Scholar]
- Sotayo, A.; Bradley, D.F.; Bather, M.; Oudjene, M.; El-Houjeyri, I.; Guan, Z. Development and Structural Behaviour of Adhesive Free Laminated Timber Beams and Cross Laminated Panels. Constr. Build. Mater. 2020, 259, 119821. [Google Scholar] [CrossRef]
- CEN. EN 16351; Timber Structures—Cross Laminated Timber—Requirements. Comit’e Europ´een de Normalisation: Brussels, Belgium, 2021.
- CEN. EN 1995-1-1; Eurocode 5: Design of Timber Structures—Part 1-1: General—Common Rules and Rules for Buildings. Comit´e Europ´een de Normalisation: Brussels, Belgium, 2005.
- Sitnikova, E.; Guan, Z.W.; Schleyer, G.K.; Cantwell, W.J. Modelling of Perforation Failure in Fibre Metal Laminates Subjected to High Impulsive Blast Loading. Int. J. Solids Struct. 2014, 51, 3135–3146. [Google Scholar] [CrossRef]
- Gama, B.A.; Gillespie, J.W. Finite Element Modeling of Impact, Damage Evolution and Penetration of Thick-Section Composites. Int. J. Impact Eng. 2011, 38, 181–197. [Google Scholar] [CrossRef]
- Hashin, Z. Failure Criteria for Unidirectional Fiber Composites. J. Appl. Mech. 1980, 47, 329–334. [Google Scholar] [CrossRef]














| Contact Property | Stiffness Coefficient | Damage Nominal Stress | ||||
|---|---|---|---|---|---|---|
| Knn (N/mm3) | Kss (N/mm3) | Ktt (N/mm3) | tnn (N/mm2) | tss (N/mm2) | ttt (N/mm2) | |
| Values | 105 | 105 | 105 | 100 | 100 | 100 |
| Name of Model | Comparison Group | LC (mm) | D (mm) | N | DT1 | DT2 | TB (mm) | d (mm) | PL |
|---|---|---|---|---|---|---|---|---|---|
| 1-240-10-1-60-1—3 | 1, 2, 3, 4, 5 | 240 | 10 | 1 | - | - | - | 60 | 1—3 |
| 1-120-10-1-60-1—3 | 1 | 120 | 10 | 1 | - | - | - | 60 | 1—3 |
| 1-360-10-1-60-1—3 | 1 | 360 | 10 | 1 | - | - | - | 60 | 1—3 |
| 1-240-15-1-60-1—3 | 2 | 240 | 15 | 1 | - | - | - | 60 | 1—3 |
| 1-240-20-1-60-1—3 | 2 | 240 | 20 | 1 | - | - | - | 60 | 1—3 |
| 1-240-10-2-60-1—3 | 3 | 240 | 10 | 2 | - | - | - | 60 | 1—3 |
| 1-240-10-2c-60-1—3 | 3 | 240 | 10 | 2c | - | - | - | 60 | 1—3 |
| 1-240-10-1-180-1—3 | 4 | 240 | 10 | 1 | - | - | - | 180 | 1—3 |
| 1-240-10-1-60-1—2 | 5 | 240 | 10 | 1 | - | - | - | 60 | 1—2 |
| 1-240-10-1-60-2—3 | 5 | 240 | 10 | 1 | - | - | - | 60 | 2—3 |
| 2-480-2-1-45-240 | 6, 7, 8, 9, 10 | 480 | - | - | 2 | 1 | 45 | 240 | - |
| 2-240-2-1-45-240 | 6 | 240 | - | - | 2 | 1 | 45 | 240 | - |
| 2-720-2-1-45-240 | 6 | 720 | - | - | 2 | 1 | 45 | 240 | - |
| 2-480-3-1-45-240 | 7 | 480 | - | - | 3 | 1 | 45 | 240 | - |
| 2-480-4-1-45-240 | 7 | 480 | - | - | 4 | 1 | 45 | 240 | - |
| 2-480-2-3-45-240 | 8 | 480 | - | - | 2 | 3 | 45 | 240 | - |
| 2-480-2-1-30-240 | 9 | 480 | - | - | 2 | 1 | 30 | 240 | - |
| 2-480-2-1-60-240 | 9 | 480 | - | - | 2 | 1 | 60 | 240 | - |
| 2-480-2-1-45-120 | 10 | 480 | - | - | 2 | 1 | 45 | 120 | - |
| 2-480-2-1-45-360 | 10 | 480 | - | - | 2 | 1 | 45 | 360 | - |
| Name of Model | Comparison Group | Ultimate Load (kN) | Difference | Displacement (mm) | Difference |
|---|---|---|---|---|---|
| 1-240-10-1-60-1—3 | 1, 2, 3, 4, 5 | 5.40 | - | 114.07 | - |
| 1-120-10-1-60-1—3 | 1 | 4.95 | −8.43% | 106.52 | −6.62% |
| 1-360-10-1-60-1—3 | 1 | 5.88 | 8.80% | 113.92 | −0.13% |
| 1-240-15-1-60-1—3 | 2 | 6.23 | 15.26% | 113.14 | −0.81% |
| 1-240-20-1-60-1—3 | 2 | 5.93 | 9.80% | 112.46 | −1.41% |
| 1-240-10-2-60-1—3 | 3 | 6.04 | 11.71% | 113.23 | −0.74% |
| 1-240-10-2c-60-1—3 | 3 | 5.88 | 8.83% | 110.81 | −2.86% |
| 1-240-10-1-180-1—3 | 4 | 5.59 | 3.50% | 111.24 | −2.48% |
| 1-240-10-1-60-1—2 | 5 | 5.47 | 1.34% | 114.91 | 0.74% |
| 1-240-10-1-60-2—3 | 5 | 5.61 | 3.85% | 114.60 | 0.46% |
| Mean | 5.70 | 112.49 | |||
| Std. Dev. | 0.37 | 2.49 | |||
| COV | 6.51% | 2.24% | |||
| 2-480-2-1-45-240 | 6, 7, 8, 9, 10 | 1.98 | - | 125.06 | - |
| 2-240-2-1-45-240 | 6 | 2.09 | 5.56% | 100.52 | −19.62% |
| 2-720-2-1-45-240 | 6 | 2.05 | 3.54% | 114.44 | −8.49% |
| 2-480-3-1-45-240 | 7 | 2.27 | 14.65% | 119.66 | −4.32% |
| 2-480-4-1-45-240 | 7 | 2.65 | 33.84% | 116.20 | −7.08% |
| 2-480-2-3-45-240 | 8 | 3.07 | 55.05% | 114.84 | −8.17% |
| 2-480-2-1-30-240 | 9 | 3.58 | 80.81% | 101.56 | −18.79% |
| 2-480-2-1-60-240 | 9 | 0.35 | −82.32% | 130.67 | 4.49% |
| 2-480-2-1-45-120 | 10 | 2.00 | 1.01% | 129.43 | 3.49% |
| 2-480-2-1-45-360 | 10 | 2.86 | 44.44% | 113.12 | −9.55% |
| Mean | 2.29 | 116.55 | |||
| Std. Dev. | 0.87 | 10.26 | |||
| COV | 37.87% | 8.81% |
Disclaimer/Publisher’s Note: The statements, opinions and data contained in all publications are solely those of the individual author(s) and contributor(s) and not of MDPI and/or the editor(s). MDPI and/or the editor(s) disclaim responsibility for any injury to people or property resulting from any ideas, methods, instructions or products referred to in the content. |
© 2024 by the authors. Licensee MDPI, Basel, Switzerland. This article is an open access article distributed under the terms and conditions of the Creative Commons Attribution (CC BY) license (https://creativecommons.org/licenses/by/4.0/).
Share and Cite
Ren, H.; Bahrami, A.; Cehlin, M.; Wallhagen, M. Flexural Behavior of Cross-Laminated Timber Panels with Environmentally Friendly Timber Edge Connections. Buildings 2024, 14, 1455. https://doi.org/10.3390/buildings14051455
Ren H, Bahrami A, Cehlin M, Wallhagen M. Flexural Behavior of Cross-Laminated Timber Panels with Environmentally Friendly Timber Edge Connections. Buildings. 2024; 14(5):1455. https://doi.org/10.3390/buildings14051455
Chicago/Turabian StyleRen, Honghao, Alireza Bahrami, Mathias Cehlin, and Marita Wallhagen. 2024. "Flexural Behavior of Cross-Laminated Timber Panels with Environmentally Friendly Timber Edge Connections" Buildings 14, no. 5: 1455. https://doi.org/10.3390/buildings14051455
APA StyleRen, H., Bahrami, A., Cehlin, M., & Wallhagen, M. (2024). Flexural Behavior of Cross-Laminated Timber Panels with Environmentally Friendly Timber Edge Connections. Buildings, 14(5), 1455. https://doi.org/10.3390/buildings14051455
