Next Article in Journal
Using Bibliometrics and Grounded Theory in Investigating Factors Influencing Profit Distribution in Integrated Project Delivery Projects
Next Article in Special Issue
MFRWA: A Multi-Frequency Rayleigh Wave Approximation Method for Concrete Carbonation Depth Evaluation
Previous Article in Journal
Improving Thermal Performance in Data Centers Based on Numerical Simulations
 
 
Font Type:
Arial Georgia Verdana
Font Size:
Aa Aa Aa
Line Spacing:
Column Width:
Background:
Article

Surface Deformation Calculation Method Based on Displacement Monitoring Data

by
Lin He
1,2,* and
Yibin Yao
1
1
School of Geodesy and Geomatics, Wuhan University, Wuhan 430079, China
2
Guizhou Panjiang Coal Power Group Technology Research Institute Co., Ltd., Guiyang 550002, China
*
Author to whom correspondence should be addressed.
Buildings 2024, 14(5), 1417; https://doi.org/10.3390/buildings14051417
Submission received: 12 March 2024 / Revised: 7 April 2024 / Accepted: 9 May 2024 / Published: 14 May 2024

Abstract

Considering the importance of calculating surface deformation based on monitoring data, this paper proposes a method for calculating horizontal deformation based on horizontal displacement monitoring data. This study first analyzes the characteristics of horizontal displacement monitoring data, then proposes a scheme for obtaining the surface horizontal displacement field through corresponding discrete point interpolation. Subsequently, the calculation method for surface horizontal strain is introduced, along with relevant examples. The study also systematically summarizes the calculation methods for surface curvature and surface tilt deformation values, forming a set of surface deformation calculation methods based on monitoring data. The research results indicate that when there is a large number of on-site monitoring points, effective monitoring points can be selected based on the direction of horizontal displacement. When interpolating the surface horizontal displacement field, the interpolation accuracy of the radial basis function method is slightly higher than that of ordinary Kriging. The form of coordinate expression has a significant impact on interpolation accuracy. The accuracy of interpolation using horizontal displacement vectors expressed in polar coordinates is higher than that using vectors expressed in Cartesian coordinates. The calculated surface horizontal strain has effective upper and lower limits, with lower-limit strain on the contour line conforming to the typical surface deformation patterns around mined-out areas.

1. Introduction

Conducting research on mining subsidence related issues is of great significance for economic development and social stability [1,2,3]. The monitoring methods used in displacement mainly include, but are not limited to, GPS deformation monitoring and leveling deformation monitoring [4,5]. Considering the current difficulty in predicting surface deformations of mining areas using the segmented caving method, how to analyze the surface deformations of mining areas and evaluate the extent of building damage based on periodic deformation monitoring data, as well as how to provide additional assurance for the prediction results and guiding the demolition of buildings around mining areas and the arrangement of underground mining plans, is an urgent problem to be solved. Currently, the calculation methods for surface deformation caused by underground mining mainly include the following categories: (1) profile function method; (2) influence function method (including probabilistic integration method); (3) limit equilibrium method; (4) numerical simulation methods; (5) monitoring interpolation method.
The profile function method [6,7] and the influence function method [8,9] both originated from the smooth and continuous deformation of the ground surface during thin coal seam mining. Although these two methods have different principles, they both require the determination of a parameter, namely the maximum settlement value, which is commonly estimated in thin coal seam mining problems using settlement factors and coal seam thickness [10,11,12]. The calculation of settlement at any point on the ground surface depends on this parameter. However, in the segmented caving method of metal mining, the presence of sinkholes in the caving zone makes it difficult to determine this parameter. Furthermore, the maximum settlement value on the ground surface is generally located within the sinkhole, which significantly affects the ground deformation in the nearby area. The impact on distant areas, especially in continuous deformation zones, is minimal. Therefore, these two methods are not suitable for calculating ground deformations caused by segmented caving mining. More importantly, these two methods essentially calculate the overall ground deformation as continuous deformation and are not suitable for calculating the overall discontinuous deformation of the ground caused by segmented caving mining in principle.
The limit equilibrium method, as a method for calculating surface deformation, cannot be used to calculate the size of surface deformation, but can be used to determine the boundaries of discontinuous deformation zones. Therefore, this method also falls within the scope of research on the division of surface deformation zones. The method mainly relies on calculating the angle of cracks to determine the boundaries of discontinuous deformation zones on the surface. The method has clear physical concepts and is easy to use, but in practice it is often limited by complex geological environments, such as existing structural planes and difficult-to-determine rock and soil engineering parameters, the height of debris in collapse zones [13].
Currently, numerical simulation methods used to calculate surface deformations caused by segmented caving mining mainly include three categories: (1) continuum mechanics methods, such as the Finite Element Method (FEM) and Finite Difference Method (FDM); (2) discontinuous media mechanics methods, such as the Discrete Element Method (DEM), Discontinuous Deformation Analysis (DDA), and Rock Fracture Process Analysis System (RFPA); (3) hybrid methods, such as the Combined Finite Element Discrete Element Method (FDEM). In continuum mechanics methods, equivalent continuum models are generally used to deal with jointed rock masses, considering joints in the rock mass and obtaining mechanical parameters of the respective Representative Elementary Volume (REV) using different constitutive models [14,15,16]. However, continuum mechanics methods fundamentally do not allow for element cracking; hence, they cannot simulate large-scale discontinuous deformations at the Earth’s surface caused by segmented caving mining, only reflecting overall deformation trends. On the other hand, discontinuous media mechanics methods and hybrid methods have the potential to address this issue [17,18,19]. Although numerical simulation methods have been widely used to calculate surface deformations caused by segmented caving mining and have achieved good results in many cases, the irregular nature of metallic ore deposits means that the surface deformation calculation problem cannot be treated as a plane strain problem [20,21,22]. Therefore, in order to obtain the entire surface deformation field, it is necessary to conduct three-dimensional numerical simulations or many representative cross-sectional two-dimensional numerical simulations, resulting in a large computational workload.
The monitoring interpolation method is a method that relies on the arrangement of surface monitoring points, with monitoring methods often referring to GPS monitoring, total station monitoring, and leveling instrument monitoring, and some scholars have conducted related work. Blachowski et al. [23] used the ArcGIS spatial analysis module to perform radial basis function interpolation and Kriging interpolation on more than 20 years of leveling monitoring and GPS monitoring results in a mine area in Canada. They used the Slope function in the extension module to calculate the slope value and horizontal deformation value by taking the Euclidean norm of the gradients of vertical displacement and horizontal displacement, respectively. Xia et al. [24] also used Kriging interpolation to calculate the horizontal and vertical displacements of GPS monitoring from 2008 to 2016 at the Jinshandian iron mine, obtaining horizontal displacement fields and vertical displacement fields, and then used a method of drawing circles of specific radii in displacement contour lines to determine the required specific slope values and horizontal deformation values. This method is actually an approximate treatment of the deformation value calculation method proposed by Blachowski et al. However, the method used by Blachowski et al. to calculate horizontal deformation values, which takes the norm of the gradient of horizontal displacement as the horizontal deformation value, essentially ignores the direction of horizontal displacement. In some methods that can obtain continuous surface horizontal displacement functions, some scholars often calculate the maximum principal strain as an indicator of horizontal deformation values, which can not only solve the problem of ignoring the direction of horizontal displacement, but also the maximum principal strain as the largest horizontal tensile deformation value [25]. However, the commonly used data processing commercial software such as ArcGIS or Surfer currently cannot directly calculate the maximum principal strain from monitoring data. Furthermore, there is little systematic description regarding the monitoring interpolation method at present. Overall, as a calculation method for surface deformation, the main advantage of the monitoring interpolation method is that it can quickly obtain the entire surface deformation field based on monitoring data, bypassing the need for complex constitutive relationships and rock mechanics parameters, and it often achieves good results [26,27]. However, its main disadvantage is that it cannot predict surface deformation [28,29]; thus, it can only be used for calculating assessment of surface deformation in mining areas or studying the historical patterns of surface deformation [30]. It is worth noting that although this method theoretically can only be used for continuous deformation areas, as its use depends on the arrangement of surface measurement points, it actually only requires continuous surface deformation within the range of the measurement point layout, thus it can be used for locally continuous deformation areas. In addition, methods of obtaining high-quality surface displacement data are currently rapidly developing, such as UAV photogrammetry [31,32,33] and InSAR deformation monitoring [34,35,36]; therefore, the monitoring interpolation method will have great potential for application.
It can be seen from the above that the dynamic changes in surface deformation patterns caused by the sublevel caving mining method make predicting the surface deformation situation extremely challenging. There is a need to develop surface deformation calculation methods based on periodic deformation monitoring data. Currently, the calculation methods for surface curvature and tilt deformation values based on vertical displacement monitoring data are relatively mature, there are few achievements related to the calculation method of surface horizontal strain, which are insufficient to guide engineering practice. This paper mainly presents a method for calculating surface horizontal strain based on horizontal displacement monitoring data and implements it through programming. Specifically, the characteristics of surface horizontal displacement monitoring data are analyzed, a scheme for interpolation of discrete points to obtain the surface horizontal displacement field is provided, the method for calculating surface horizontal strain is introduced, along with relevant numerical examples. Meanwhile, the calculation methods for surface curvature and tilt deformation values are systematically summarized.

2. Characteristics of Horizontal Displacement Monitoring Data

After each update of the horizontal displacement monitoring data, data for N sets of monitoring points (μxi, μyi, xi, yi) can be obtained, where i = 1, …, N. Here, xi and yi represent the positions in the E-W and N-S directions, respectively, of the i-th monitoring point, while μxi and μyi represent the horizontal displacements in the E-W and N-S directions of the i-th monitoring point, which can be obtained by subtracting the positions of the monitoring points at two different times. The cumulative horizontal displacement data of GPS monitoring points in the west area of the Chengchao Iron Mine in January 2015 shown in Figure 1 were taken as an example for feature analysis. The length of the arrow in Figure 1 represents the magnitude of displacement, and the legend “−290.0 m Horizontal goaf” represents the horizontal goaf at a distance of 290.0 m from the reference point. From Figure 1, it can be observed that apart from a few monitoring points near the boundary with very small horizontal displacement values due to measurement errors in the direction of the horizontal displacement vector, the other monitoring points all indicate horizontal displacement vectors pointing towards the mined-out area, moving towards it. In practice, this feature can be used to select effective monitoring points. Within the monitoring range of the western area of the Chengchao Iron Mine, the magnitude of the horizontal displacements of monitoring points decreases as the distance from the mined-out area increases, whereas in the monitoring range of the Jinchuan Nickel Mine mined using the backfill method, the magnitude of the horizontal displacements of monitoring points initially increases and then decreases with increasing distance from the mined-out area [37]. This is because the monitoring ranges of the two mines are different. Compared to the western area of the Chengchao Iron Mine, the Jinchuan Nickel Mine includes horizontal displacement monitoring above and near the mined-out area (the area above and near the mined-out area of the western area of the Chengchao Iron Mine belongs to a large deformation zone and is not monitored for safety reasons). If this area is not considered in point measurements, the characteristics of the horizontal displacement magnitudes of the two mining areas are similar and follow the basic rules of surface movement around mined-out areas. Additionally, the monitoring range affects the accuracy of the horizontal displacement field calculated by interpolation of discrete points, and in practice, the monitoring range should generally cover the corresponding research area.
When performing interpolation for discrete points, the horizontal displacements (μxi, μyi) can also be represented in a local polar coordinate system as (‖μi‖, θi), where ‖μi‖ and θi, respectively, denote the magnitude of the cumulative horizontal displacement vector μi in the local polar coordinate system and the angle between μi’s direction and the E-W direction. Therefore, there are two different approaches to obtain the surface horizontal displacement field through interpolation of discrete points: one is to interpolate using the two sets of data (μxi, xi, yi) and (μyi, xi, yi) separately; the other is to interpolate using the two sets of data (‖μi‖, xi, yi) and (θi, xi, yi) separately.
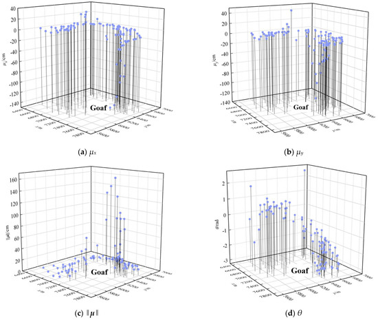
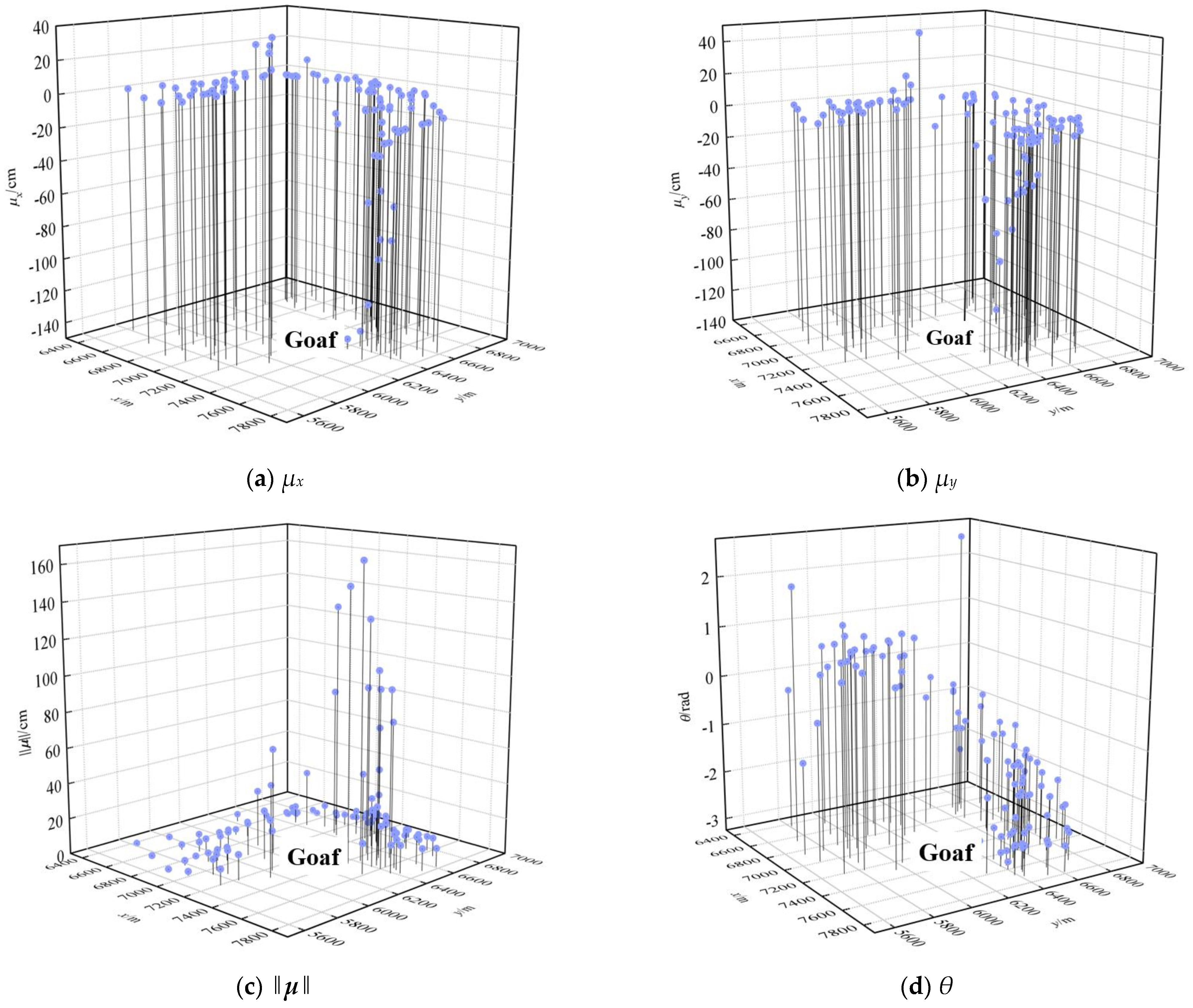
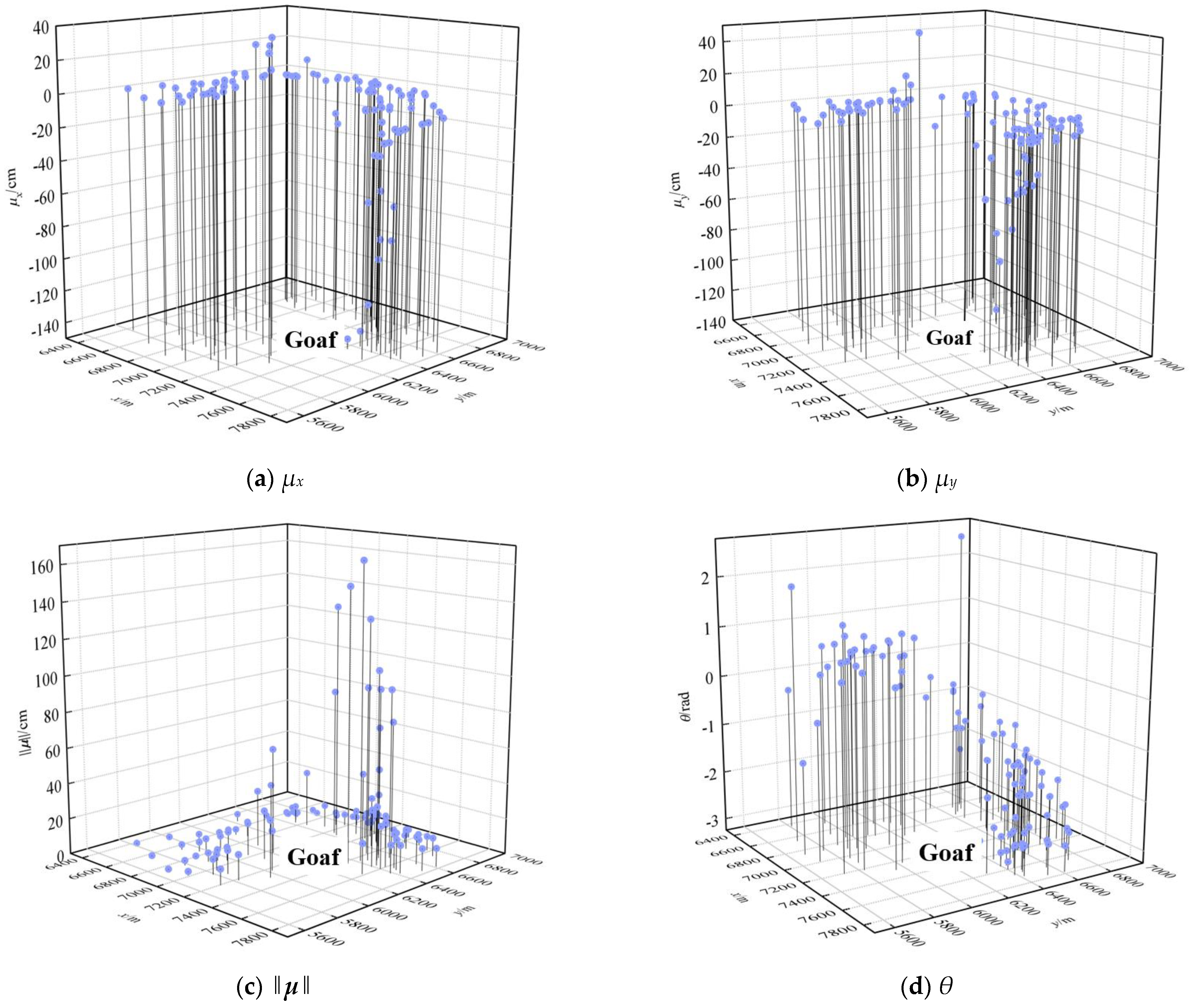
Based on the analysis above, it can be observed that the surface horizontal displacement monitoring data in a certain range around the goaf area exhibit certain similarities. Therefore, it is advisable to examine the distribution characteristics of μxi, μyi, ‖μi‖, and θi using the cumulative horizontal displacement data of the GPS monitoring points in the west area of the Chengchao Iron Mine in January 2015. The values of the four sets of data at the monitoring points are shown in Figure 2, where the points represent the data values, and the projection positions of the points on the plane indicate the locations of the monitoring points. According to Figure 2, it can be observed that ‖μ‖ and θ exhibit clear regularities: the ‖μ‖ values decrease with increasing distance from the goaf area within the monitoring range, and the θ values gradually increase in a spiral manner from the northeast corner to the southwest corner around the goaf area (except for the monitoring points at the boundaries affected by measurement errors).

3. Interpolation of Surface Horizontal Displacement Field at Discrete Points

After initial testing of several commonly used interpolation methods for discrete points (such as inverse distance weighting, natural neighbor interpolation, ordinary Kriging, radial basis function interpolation, etc.), it is known from existing research that ordinary Kriging and radial basis function interpolation are relatively convenient and effective methods [23,24,25,26,27,28,29,30]. The specific usage of these two methods in this problem is described as follows.

3.1. Ordinary Kriging Method

Ordinary Kriging is essentially a geostatistical method that utilizes the correlation between existing discrete data points for interpolation. The correlation between attribute values at a distance h in the direction of the point separation can be represented by a semi-variance function.
γ h = 1 2 E Z x Z x + h 2
In the equation, γ represents the value of the semi-variogram function, and Z(x) and Z(x + h) denote the attribute values at locations x and x + h, respectively.
In practice, the semi-variogram function in Equation (1) can be estimated using the experimental semi-variogram function. Due to the lack of specific directional dependence in surface horizontal displacements caused by underground mining, the correlation structure here can be assumed to be isotropic, where the correlation between discrete data points is only related to distance. The experimental semi-variogram function that is solely distance-dependent is given by:
γ ^ h = 1 2 n h k = 1 n h Z x i Z x j 2 x i , x j | d 1 x i x j d 2 h = 1 n h k = 1 n h x i x j
In the equation above, γ ^ represents the estimated experimental semi-variogram function, xi and xj are pairs of data points satisfying the distance between d1 and d2, n h denotes the number of pairs of points satisfying the aforementioned condition, and h is the average distance between pairs of points satisfying the aforementioned condition.
During practical application, one may first divide the data points into equidistant groups based on their distances, and within each group, applying Equation (2) yields a series of discrete points h , γ ^ h . Subsequently, a suitable semi-variogram function model can be selected for fitting. As shown in Figure 3, the cumulative horizontal displacements in the West Area of Chengchao Iron Mine in January 2015 were fitted using a Gaussian model for the semi-variogram function. Commonly used semi-variogram function models include spherical, exponential, linear, Gaussian, and power models [38], with their corresponding mathematical expressions shown in Table 1. In the table, C and a, respectively, represent the model parameters to be fitted, namely the Sill and Range.
To estimate the attribute value μ ^ x 0 at an unknown point x0, especially when using a bounded semi-variance function model (such as a Gaussian model), it is necessary to determine the known data points used to estimate that point, i.e., the search radius. Empirical evidence suggests that the search radius is typically set at no less than half the range and closer to the range is more appropriate [39]. Finally, by utilizing M points within the search circle to obtain the semi-variance function values between pairs of points using the semi-variance function model, and then solving the corresponding Equation (3) corresponds to the Kriging equation, from which the weights λi of the known points required in Equation (4) can be obtained to estimate the attribute value μ ^ x 0 at the unknown point x0.
γ 11 γ 1 M 1 γ M 1 γ M M 1 1 1 0 λ 1 λ M m = γ 10 γ M 0 1
In the equation, the unknown variable m is a constant related to the Lagrange multiplier used to ensure unbiasedness.
μ ^ ( x 0 ) = i = 1 M λ i μ ( x i )

3.2. Radial Basis Function Method

When the position (x, y) of an unmonitored point is given, the accumulated horizontal displacement parameter at this point, denoted as ‖μ‖, can be estimated as a linear combination of the values ϕ of radial basis functions related to each monitored point’s position (xi, yi). Here, we illustrate this using the example of a high-order surface radial basis function (Multiquadric RBF).
μ = i = 1 N ω i ϕ x , y , x i , y i , i = 1 , , N
where
ϕ x , y , x i , y i = ϕ i = x x i 2 + y y i 2 + R 2 1 2
In the equation, ω i represents the unknown weights of ϕ i , and R2 is an arbitrary constant greater than 0. If R2 is determined, the value of ω i in Equation (5) can be determined by ensuring that the interpolation at all monitoring points is exact. This condition is equivalent to solving a linear system of size N × N concerning ω i .
μ j = N i = 1 ω i ϕ ( x j , y j , x i , y i ) , i , j = 1 , , N
where
ϕ x , y , x i , y i = ϕ j i = x j x i 2 + y j y i 2 + R 2 1 2
Other commonly used types of radial basis functions include the Inverse Multiquadric, Thin-plate Spline, and Gaussian radial basis functions, with their corresponding mathematical expressions shown in Table 2. In the table, r 2 = x x i 2 + y y i 2 .
The selection of R2 can be achieved through the “leave-one-out” method. Specifically, a certain R2 value is set, and in each interpolation, one monitoring point is left out and the remaining N − 1 points are used to interpolate the horizontal displacement parameter μ at the unused monitoring point using radial basis functions. This operation needs to be performed N times to obtain N pairs of data μ C i , μ M i , i = 1, …, N. Here, μ C i is the interpolated value obtained at the unused monitoring point, and μ M i is the measured value at the unused monitoring point. The root mean square error (RMSE) can then be used as a criterion to select the optimal R2 value. In particular, as different studies may focus on different research areas, when evaluating the interpolation effect, it is only necessary to consider the interpolation accuracy in the specific research area. Therefore, one can define the effective root mean square error (ERMSE):
E R M S E = n = 1 K μ C i μ M i 2 / K , n = 1 , , K
In the equation, K represents the number of data points within a specific study area. Additionally, due to the dynamic changes in surface deformation areas caused by underground mining activities in the segmented collapse method, the evaluation points used in different periods may vary. Finally, a series of different R2 values can be attempted, and a curve graph can be plotted with R2 as the independent variable and ERMSE as the dependent variable to select the approximately optimal R2 value, as shown in Figure 4.

3.3. Interpolation Accuracy Evaluation

When using ordinary Kriging and radial basis function methods for surface horizontal displacement interpolation, it is necessary to evaluate the interpolation accuracy of the two methods. For ordinary Kriging, the evaluation mainly focuses on different semi-variance function models, as shown in Table 1; while for radial basis function methods, evaluation is conducted on different types of radial basis functions, as shown in Table 2.
Due to the differences in the principles of the two methods, the evaluation methods for accuracy also slightly differ. Ordinary Kriging is an approximate interpolation method that relies on semi-variance function models and can be evaluated by comparing the differences between the measured and calculated values at all monitoring points; whereas radial basis function methods are precise interpolation methods that require evaluation using the “leave-one-out” method. The evaluation metrics used are the mean absolute error (MAE) and the root mean square error (RMSE). Additionally, depending on the specific research area of interest, evaluation metrics can be calculated using only points within that specific research area, referred to as effective mean absolute error (EMAE) and effective root mean square error (ERMSE).
To facilitate the calculation of surface horizontal strain, the horizontal displacement is ultimately expressed in the form of (μx, μy, x, y). Therefore, during the accuracy evaluation process, it is advisable to first select the optimal semi-variance function model and radial basis function type based on the minimum ERMSE value when interpolating μx, μy, ‖μ‖, and θ using ordinary Kriging and radial basis function methods separately, and then calculate the corresponding EMAE and ERMSE values. Subsequently, transform the interpolation results of ‖μ‖ and θ into μx and μy and recalculate the EMAE and ERMSE values. Finally, based on the EMAE and ERMSE values obtained from different interpolation methods and coordinate expression forms, select the relatively optimal interpolation method and coordinate expression form, determine the range and grid spacing of the interpolation area, and obtain the horizontal displacement field.

4. Calculation Methods for Surface Horizontal Strain

After obtaining the surface horizontal displacement field (μxi, μyi, xi, yi), the surface strain within the continuous deformation zone can be calculated using the continuum mechanics displacement-strain geometric equations.
ε x = μ x / x ε y = μ y / y γ x y = μ x / y + μ y / x
However, through discrete point interpolation, only the horizontal displacement values at discrete grid points are obtained, and a continuous horizontal displacement function cannot be directly obtained. Therefore, Equation (10) cannot be directly applied. In particular, since the interpolation region covers the deformation range of the entire mining area, there is actually no deformation at the grid boundary points, and a second-order zero-strain tensor can be directly used to describe its horizontal deformation. For the deformation at internal points within the grid, the partial differential relationships in Equation (10) can be approximated using a central differencing scheme.
ε x μ x x + h μ x x h / ( 2 h ) ε y μ y y + h μ y y h / ( 2 h ) γ x y = μ x y + h μ x y h + μ y x + h μ y x h / ( 2 h )
In the equation, h represents the grid spacing.
The strain state at each interior point within the grid can be represented by a second-order strain tensor
ε = ε x γ x y / 2 γ x y / 2 ε y
The corresponding principal strains’ magnitude and direction cosines can be obtained by calculating the eigenvalues of Equation (12) and the eigenvectors associated with each eigenvalue. The largest eigenvalue and its corresponding eigenvector represent the major principal strain ε1 and the corresponding direction cosine n1, while the smallest eigenvalue and its corresponding eigenvector represent the minor principal strain ε3 and the corresponding direction cosine n3.
In summary, the method proposed in this paper for calculating surface strain based on horizontal displacement monitoring data can be summarized as shown in Figure 5. Furthermore, since both ordinary Kriging and radial basis function methods may provide better horizontal displacement fields, it is recommended to utilize both approaches. Additionally, as this method is based on the displacement–strain geometric relationship in continuum mechanics, it is only applicable for calculating surface horizontal strain within continuous deformation zones.

5. Methods for Calculating Surface Curvature and Slope Based on Vertical Displacement Monitoring Data

For the method of calculating the vertical displacement field using discrete point interpolation, a similar, even simpler method to calculating the horizontal displacement field is used and a brief description is provided here. Firstly, the optimal semi-variance function model and radial basis function type for interpolating the vertical displacement ω are selected based on the minimum ERMSE value using ordinary kriging and radial basis function methods, and the corresponding EMAE and ERMSE values are calculated. Then, based on the EMAE and ERMSE values obtained from different interpolation methods, the relatively optimal interpolation method is selected, and the range and grid spacing of the interpolation area are determined to obtain the vertical displacement field. After obtaining the vertical displacement field (ωi, xi, yi), surface curvature and slope can be calculated.

5.1. Surface Curvature Calculation Methods

After the extraction of underground minerals, the surface undergoes subsidence, which is accompanied by the bending of the surface, thus forming a curved surface relative to the original surface elevation. The normal curvature kn is used to describe the degree of curvature of a point on the surface in a certain direction, and it is defined as the ratio of the second fundamental form II to the first fundamental form I of the surface.
I = d r 2 = α x x d x 2 + 2 α x y d x d y + α y y d y 2
where
α x x = 1 + ω x 2 α x y = 1 + ω x ω y α y y = 1 + ω y 2
II = d n d r = β x x d x 2 + 2 β x y d x d y + β y y d y 2
where
β x x = 2 ω x 2 α x x α y y α x y 2 β x y = 2 ω x y α x x α y y α x y 2 β y y = 2 ω y 2 α x x α y y α x y 2
The normal curvature is then given by
k n = II I = β x x d x 2 + 2 β x y d x d y + β y y d y 2 α x x d x 2 + 2 α x y d x d y + α y y d y 2 = β x x + 2 β x y X + β y y X 2 α x x + 2 α x y X + α y y X 2
Here, X = dy/dx represents the tangent value in a certain direction. The principal direction of the normal curvature kn can then be determined by setting ∂ kn/∂ X = 0, leading to the solution.
X 1 , 2 = α x x β y y α y y β x x 2 α x y β y y α y y β x y ± 1 4 α x x β yy α y y β x x 2 α x y β y y α y y β x y α x x β x y α x y β x x α x y β yy α y y β x y
Substituting the principal directions X1 and X2 from Equation (18) into Equation (17) yields the principal curvatures k1 and k2 as shown in Figure 6. The principal curvatures represent the maximum and minimum curvatures of the surface, with the corresponding directions being the principal directions. Furthermore, using the principal curvatures, one can also calculate the Gaussian curvature G and the mean curvature M, which are useful for assessing the shape and properties of the surface.
G = k 1 k 2 = β x x β y y β x y 2 α x x α y y α x y 2
M = 1 2 ( k 1 + k 2 ) = α x x β y y + β x x α y y 2 α x y β x y 2 ( α x x α y y α x y 2 )
In specific computations, a method similar to that used for calculating surface strain can be employed. Curvature can be set to zero directly at the boundaries of the mesh, while central differencing can be used at interior mesh points to calculate the first and second partial derivatives.

5.2. Calculation Method for Surface Inclination

Surface inclination refers to the ratio of the relative vertical displacement between adjacent points to the horizontal distance between the two points. For the surface formed by mining subsidence, it can be described by ω(x, y), which is a typical scalar field. The negative gradient direction of this field is the direction in which the function value decreases the fastest. Therefore, the maximum inclination value at a point can be obtained in this direction. This value numerically equals the directional derivative of the vertical displacement ω in the gradient direction, which is the second norm of the gradient.
T max = ω = ω x 2 + ω y 2
In specific computations, a method similar to that used for calculating surface strain and curvature can be employed. The inclination is set to zero directly at the grid boundaries, and within the grid points, central differencing can be utilized to handle first-order partial derivatives.
Based on the above, a method for calculating surface curvature and inclination deformation values based on vertical displacement monitoring data can be obtained. Curvature mainly includes the calculation of principal curvatures, Gaussian curvature, and mean curvature, while inclination mainly refers to the calculation of maximum inclination values. By combining the aforementioned methods of calculating surface horizontal displacement field and surface horizontal strain using discrete point interpolation, a complete method for calculating surface deformation based on monitoring data as shown in Figure 7 can be obtained. Specifically, during the calculation process, deformation values can be directly set to 0 at the grid boundaries, and at the interior grid points, central differencing can be used to handle first-order partial derivatives and second-order partial derivatives. Additionally, it is worth noting that this method is essentially only applicable to regions with continuous deformation within the monitoring range.

6. Engineering Applications

In order to demonstrate the application of the above methods in practical engineering scenarios, the cumulative horizontal displacement data of the GPS monitoring points in the western area of the Chengchao Iron Mine in January 2015 are used for calculation illustration. Firstly, the selected variogram models and types of radial basis functions for interpolating μx, μy, ‖μ‖, and θ based on the minimum ERMSE values using ordinary kriging and radial basis function methods are presented, along with the corresponding EMAE and ERMSE values, as shown in Table 3. It can be observed from the table that in ordinary Kriging interpolation, the best-performing semi-variance function model varies for different horizontal displacement parameters, while the radial basis function method shows the best performance with the multiquadric type. Additionally, the EMAE and ERMSE values of ordinary Kriging are equal to or slightly higher than those of the radial basis function method, indicating that the interpolation accuracy of the radial basis function method is slightly higher than that of ordinary Kriging in this particular problem.
Table 3 also provides the EMAE and ERMSE values for μx and μy transformed from ‖μ‖ and θ interpolation, indicating higher accuracy in this study when transforming from interpolated ‖μ‖ and θ to μx and μy compared to directly interpolating μx and μy. To sum up, employing the high-order surface radial basis function method (MQ RBF) and representing the horizontal displacement vector in polar coordinates for discrete point interpolation in this project can yield a relatively precise horizontal displacement field, from which the surface horizontal strain can be deduced.
Due to the fact that the maximum principal strain ε1 represents the maximum horizontal tensile deformation value at a point and is commonly used as an indicator for surface or structural deformation evaluation, contour maps of the maximum principal strain were generated based on the calculation method of this study, as shown in Figure 8. The numerical values corresponding to the contour lines in Figure 8 represent the magnitude of the large principal strain ε1, and the legend “−290.0 m Horizontal goaf” represents the horizontal goaf at a distance of 290.0 m from the reference point. Observing the horizontal strain results obtained by the method, it can be noted that the 0.1 cm/m contour line calculated by this method exhibits significant fluctuations in two areas, which may be attributed to the precision of numerical calculations and the accuracy of GPS monitoring data. In contrast, the 0.2 cm/m contour line appears relatively stable; thus, the lower limit value of the maximum principal strain ε1 calculated by this method can be set at 0.2 cm/m. As for the upper limit value, it can be determined based on the layout range of GPS monitoring points, with different regions having different upper limit values. For instance, in the upper region, the upper limit value can be set at 0.5 cm/m; whereas in the lower region, the upper limit can be set at 1.0 cm/m. By establishing these limits, the effective area of the calculated strain can be defined, ideally within the coverage of the monitoring range.
Furthermore, for the computed smaller values of the major principal strain, i.e., the lower limit value of 0.2 cm/m, it is not sufficient to determine their effectiveness solely based on the absence of convexity in the contour shape. Analysis using a strain polar representation plot is necessary, where a point’s strain polar plot reflects the magnitude and sign of strain in various directions. Figure 9 presents the strain polar plot of horizontal strain on the isoline of the 0.2 cm/m major principal strain. The legend “−290.0 m Horizontal goaf” in Figure 9 represents the horizontal goaf at a distance of 290.0 m from the reference point. Figure 9 indicating that the horizontal strains near the edges of vertical and parallel mined-out areas are, respectively, tensile and compressive strains. This suggests that when soil or rock mass at a certain location on the ground moves towards the mined-out area, tensile deformation occurs, and correspondingly, compression deformation takes place in the vertical direction due to the Poisson effect. This observation aligns with the general ground deformation pattern around mined-out areas in the field, confirming the effectiveness of the lower limit value of 0.2 cm/m and the reliability of the aforementioned method for calculating horizontal ground strains. Similar validations can be conducted for strains in other effective regions.

7. Conclusions

Calculation method of surface deformation based on monitoring data: a method is primarily proposed to obtain the surface horizontal displacement field based on hori-zontal displacement monitoring data through discrete point interpolation. Subsequently, the numerical method of surface horizontal strain within the continuous deformation zone is calculated using the continuum mechanics displacement–strain geometric equation, accompanied by relevant examples. Additionally, a method for calculating the tilt and curvature deformation values based on vertical displacement monitoring data is summarized to provide a systematic calculation approach for surface deformation based on monitoring data. The following conclusions are mainly drawn:
(1)
With a large number of on-site monitoring points, effective monitoring points can be selected based on the direction of horizontal displacement. Discrete point interpolation can be performed to calculate the surface horizontal displacement field using ordinary Kriging and radial basis function methods, with the interpolation accuracy of the radial basis function method slightly higher than that of ordinary Kriging.
(2)
The form of coordinate representation has a significant impact on interpolation accuracy, which can be evaluated through effective mean absolute error (EMAE) and effective root mean square error (ERMSE). The interpolation accuracy of the polar coordinate representation of horizontal displacement vector is higher than that of the Cartesian coordinate representation of horizontal displacement vector.
(3)
By using the continuum mechanics displacement–strain geometric equation, the surface horizontal strain can be calculated from the surface horizontal displacement field. The calculated surface horizontal strain has effective upper and lower limits, and the strain on the lower limit contour line conforms to the general surface deformation patterns around the goaf area.

Author Contributions

Conceptualization, L.H. and Y.Y.; methodology, Y.Y.; software, L.H.; validation, L.H.; investigation, L.H.; resources, Y.Y.; writing—original draft preparation, L.H.; writing—review and editing, Y.Y.; visualization, L.H.; supervision, Y.Y.; project administration, Y.Y. All authors have read and agreed to the published version of the manuscript.

Funding

This work was supported by the Guizhou Province Major Science and Technology Special Project (No. [2021]3001); the Guizhou Provincial Central Leading Local Science and Technology Development Fund Project (No. [2021]4005); Guizhou Province Science and Technology Projects (No. [2022]016); National Natural Science Foundation of China (No. 42388102); and National Natural Science Foundation of China (No. 42330105). The financial support is greatly appreciated.

Data Availability Statement

The original contributions presented in the study are included in the article, further inquiries can be directed to the corresponding author.

Conflicts of Interest

Author Lin He was employed by the company Guizhou Panjiang Coal Power Group Technology Research Institute Co., Ltd. The remaining authors declare that the research was conducted in the absence of any commercial or financial relationships that could be construed as a potential conflict of interest.

References

  1. Zhang, Z.; Wang, Q.; Liu, Z.; Chen, Q.; Guo, Z.; Zhang, H. Renew mineral resource-based cities: Assessment of PV potential in coal mining subsidence areas. Appl. Energy 2023, 329, 120296. [Google Scholar] [CrossRef]
  2. Zhang, K.; Liu, S.; Bai, L.; Cao, Y.; Yan, Z. Effects of Underground Mining on Soil–Vegetation System: A Case Study of Different Subsidence Areas. Ecosyst. Health Sustain. 2023, 9, 0122. [Google Scholar] [CrossRef]
  3. Li, D.; Jiang, C.; Jiang, C.; Liu, F.; Zhu, Q. Geochemical characteristics and migration patterns of rare earth elements in coal mining subsidence lakes under the influence of multiple factors. Sci. Total Environ. 2023, 904, 166668. [Google Scholar] [CrossRef] [PubMed]
  4. Li, H.; Guo, G.; Zha, J.; Wang, T.; Chen, Y.; Yuan, Y.; Huo, W. A New Method of Regional Mining Subsidence Control for Sustainable Development in Coal Areas. Sustainability 2023, 15, 7100. [Google Scholar] [CrossRef]
  5. Gojković, Z.; Kilibarda, M.; Brajović, L.; Marjanović, M.; Milutinović, A.; Ganić, A. Ground Surface Subsidence Monitoring Using Sentinel-1 in the “Kostolac” Open Pit Coal Mine. Remote Sens. 2023, 15, 2519. [Google Scholar] [CrossRef]
  6. Wang, B.; Xu, J.; Xuan, D. Time function model of dynamic surface subsidence assessment of grout-injected overburden of a coal mine. Int. J. Rock Mech. Min. Sci. 2018, 104, 1–8. [Google Scholar] [CrossRef]
  7. Torano, J.; Rodrıguez, R.; Ramırez-Oyanguren, P. Probabilistic analysis of subsidence-induced strains at the surface above steep seam mining. Int. J. Rock Mech. Min. Sci. 2000, 37, 1161–1167. [Google Scholar] [CrossRef]
  8. Sheorey, P.R.; Loui, J.P.; Singh, K.B.; Singh, S.K. Ground subsidence observations and a modified influence function method for complete subsidence prediction. Int. J. Rock Mech. Min. Sci. 2000, 37, 801–818. [Google Scholar] [CrossRef]
  9. Ghabraie, B.; Ren, G.; Barbato, J.; Smith, J.V. A predictive methodology for multi-seam mining induced subsidence. Int. J. Rock Mech. Min. Sci. 2017, 93, 280–294. [Google Scholar] [CrossRef]
  10. Chi, S.; Wang, L.; Yu, X.; Lv, W.; Fang, X. Research on dynamic prediction model of surface subsidence in mining areas with thick unconsolidated layers. Energy Explor. Exploit. 2021, 39, 927–943. [Google Scholar] [CrossRef]
  11. Hu, Q.; Cui, X.; Liu, W.; Feng, R.; Ma, T.; Li, C. Quantitative and dynamic predictive model for mining-induced movement and deformation of overlying strata. Eng. Geol. 2022, 311, 106876. [Google Scholar] [CrossRef]
  12. Guo, W.; Zhao, G.; Bai, E.; Guo, M.; Wang, Y. Effect of overburden bending deformation and alluvium mechanical parameters on surface subsidence due to longwall mining. Bull. Eng. Geol. Environ. 2021, 80, 2751–2764. [Google Scholar] [CrossRef]
  13. Brady, B.H.; Brown, E.T. Rock Mechanics: For Underground Mining; Springer Science & Business Media: Berlin/Heidelberg, Germany, 2006. [Google Scholar]
  14. Geng, D.; Dai, N.; Guo, P.; Zhou, S.; Di, H. Implicit numerical integration of highly nonlinear plasticity models. Comput. Geotech. 2021, 132, 103961. [Google Scholar] [CrossRef]
  15. He, L.; Wu, D.; Ma, L. Numerical simulation and verification of goaf morphology evolution and surface subsidence in a mine. Eng. Fail. Anal. 2023, 144, 106918. [Google Scholar] [CrossRef]
  16. Cheng, H.; Zhang, L.; Guo, L.; Wang, X.; Peng, S. A new dynamic prediction model for underground mining subsidence based on inverse function of unstable creep. Adv. Civ. Eng. 2021, 2021, 1–9. [Google Scholar] [CrossRef]
  17. Yang, X.; Wen, G.; Dai, L.; Sun, H.; Li, X. Ground subsidence and surface cracks evolution from shallow-buried close-distance multi-seam mining: A case study in Bulianta coal mine. Rock Mech. Rock Eng. 2019, 52, 2835–2852. [Google Scholar] [CrossRef]
  18. Xia, K.; Chen, C.; Yang, K.; Zhang, H.; Pang, H. A case study on the characteristics of footwall ground deformation and movement and their mechanisms. Nat. Hazards 2020, 104, 1039–1077. [Google Scholar] [CrossRef]
  19. Xia, K.; Chen, C.; Wang, T.; Yang, K.; Zhang, C. Investigation of mining-induced fault reactivation associated with sublevel caving in metal mines. Rock Mech. Rock Eng. 2022, 55, 5953–5982. [Google Scholar] [CrossRef]
  20. Feng, F.; Chen, S.; Li, D.; Huang, W.; Peng, K.; Zang, C. Excavation unloading-induced fracturing of hard rock containing different shapes of central holes affected by unloading rates and in situ stresses. Energy Sci. Eng. 2020, 8, 4–27. [Google Scholar] [CrossRef]
  21. Svartsjaern, M.; Saiang, D. Discrete element modelling of footwall rock mass damage induced by sub-level caving at the Kiirunavaara mine. Minerals 2017, 7, 109. [Google Scholar] [CrossRef]
  22. Hamdi, P.; Stead, D.; Elmo, D.; Toyra, J. Use of an integrated finite/discrete element method-discrete fracture network approach to characterize surface subsidence associated with sub-level caving. Int. J. Rock Mech. Min. Sci. 2018, 103, 55–67. [Google Scholar] [CrossRef]
  23. Blachowski, J.; Chrzanowski, A.; Szostak-Chrzanowski, A. Application of GIS methods in assessing effects of mining activity on surface infrastructure. Arch. Min. Sci. 2014, 59, 307–321. [Google Scholar] [CrossRef]
  24. Xia, K.; Chen, C.; Deng, Y.; Xiao, G.; Zheng, Y.; Liu, X.; Fu, H.; Song, X.; Chen, L. In situ monitoring and analysis of the mining-induced deep ground movement in a metal mine. Int. J. Rock Mech. Min. Sci. 2018, 109, 32–51. [Google Scholar] [CrossRef]
  25. Saeidi, A.; Deck, O.; Verdel, T. Development of a damage simulator for the probabilistic assessment of building vulnerability in subsidence areas. Int. J. Rock Mech. Min. Sci. 2015, 73, 42–53. [Google Scholar] [CrossRef]
  26. Wang, Z.; Dai, H.; Yan, Y.; Ren, J.; Liu, J.; Zhang, Y.; Xu, G. Application of the Time Function Model for Dynamic Deformation Prediction in Mining Areas under Characteristic Constraints. Sustainability 2023, 15, 14719. [Google Scholar] [CrossRef]
  27. Li, C.; Ding, L.; Cui, X.; Zhao, Y.; He, Y.; Zhang, W.; Bai, Z. Calculation model for progressive residual surface subsidence above mined-out areas based on logistic time function. Energies 2022, 15, 5024. [Google Scholar] [CrossRef]
  28. Li, J.; Wang, L. Mining subsidence monitoring model based on BPM-EKTF and TLS and its application in building mining damage assessment. Environ. Earth Sci. 2021, 80, 396. [Google Scholar] [CrossRef]
  29. Pang, H.; Chen, C.; Xia, K.; Deng, Y.; Zhang, C.; Sun, C. A methodology based on strain analysis for identifying potential discontinuous deformation zones in sublevel caving mines. Eng. Geol. 2020, 279, 105872. [Google Scholar] [CrossRef]
  30. Zhao, X.; Zhu, Q. Analysis of the surface subsidence induced by sublevel caving based on GPS monitoring and numerical simulation. Nat. Hazards 2020, 103, 3063–3083. [Google Scholar] [CrossRef]
  31. Rábago, J.; Portuguez-Castro, M. Use of Drone Photogrammetry as An Innovative, Competency-Based Architecture Teaching Process. Drones 2023, 7, 187. [Google Scholar] [CrossRef]
  32. Liu, L. Drone-based photogrammetry for riverbed characteristics extraction and flood discharge modeling in Taiwan’s mountainous rivers. Measurement 2023, 220, 113386. [Google Scholar] [CrossRef]
  33. Song, J.; Du, S.; Yong, R.; Wang, C.; An, P. Drone Photogrammetry for Accurate and Efficient Rock Joint Roughness Assessment on Steep and Inaccessible Slopes. Remote Sens. 2023, 15, 4880. [Google Scholar] [CrossRef]
  34. Cai, J.; Zhang, L.; Dong, J.; Guo, J.; Wang, Y.; Liao, M. Automatic identification of active landslides over wide areas from time-series InSAR measurements using Faster RCNN. Int. J. Appl. Earth Obs. Geoinf. 2023, 124, 103516. [Google Scholar] [CrossRef]
  35. Dai, K.; Chen, C.; Shi, X.; Wu, M.; Feng, W.; Xu, Q.; Liang, R.; Zhuo, G.; Li, Z. Dynamic landslides susceptibility evaluation in Baihetan Dam area during extensive impoundment by integrating geological model and InSAR observations. Int. J. Appl. Earth Obs. Geoinf. 2023, 116, 103157. [Google Scholar] [CrossRef]
  36. Miao, F.; Ruan, Q.; Wu, Y.; Qian, Z.; Kong, Z.; Qin, Z. Landslide Dynamic Susceptibility Mapping Base on Machine Learning and the PS-InSAR Coupling Model. Remote Sens. 2023, 15, 5427. [Google Scholar] [CrossRef]
  37. Zhao, H.; Ma, F.; Zhang, Y.; Guo, J. Monitoring and mechanisms of ground deformation and ground fissures induced by cut-and-fill mining in the Jinchuan Mine 2, China. Environ. Earth Sci. 2013, 68, 1903–1911. [Google Scholar] [CrossRef]
  38. Dasaka, S.M.; Zhang, L.M. Spatial variability of in situ weathered soil. Geotechnique 2012, 62, 375–384. [Google Scholar] [CrossRef]
  39. Zhao Webster, R.; Oliver, M.A. Geostatistics for Environmental Scientists; John Wiley & Sons: Hoboken, NJ, USA, 2007. [Google Scholar]
Figure 1. Vector diagram of horizontal displacement at monitoring point.
Figure 1. Vector diagram of horizontal displacement at monitoring point.
Buildings 14 01417 g001
Figure 2. Cumulative μx, μy, ‖μ‖ and θ values at monitoring points.
Figure 2. Cumulative μx, μy, ‖μ‖ and θ values at monitoring points.
Buildings 14 01417 g002
Figure 3. The semi-variance function corresponding to the Gaussian model.
Figure 3. The semi-variance function corresponding to the Gaussian model.
Buildings 14 01417 g003
Figure 4. Optimal R2 value determination curve.
Figure 4. Optimal R2 value determination curve.
Buildings 14 01417 g004
Figure 5. Calculation steps for surface horizontal strain.
Figure 5. Calculation steps for surface horizontal strain.
Buildings 14 01417 g005
Figure 6. Principal curvature and principal directions.
Figure 6. Principal curvature and principal directions.
Buildings 14 01417 g006
Figure 7. Calculation method for surface deformation based on monitoring data.
Figure 7. Calculation method for surface deformation based on monitoring data.
Buildings 14 01417 g007
Figure 8. Isoline map of major principal strain.
Figure 8. Isoline map of major principal strain.
Buildings 14 01417 g008
Figure 9. A polar plot representing horizontal strains on equipotential lines of 0.2 cm/m maximum principal strain.
Figure 9. A polar plot representing horizontal strains on equipotential lines of 0.2 cm/m maximum principal strain.
Buildings 14 01417 g009
Table 1. Common semi-variance function models.
Table 1. Common semi-variance function models.
Semi-Variogram Function ModelMathematical Expression
Globular γ h = C 3 2 h a 1 2 h a 3 , h < a C , h a
Exponential γ h = C 1 exp h a
Linear γ h = C h a , h < a C , h a
Gaussian γ h = C 1 exp h 2 a 2
Power γ h = C h β , 0 < β < 2
Table 2. Commonly used radial basis functions.
Table 2. Commonly used radial basis functions.
Types of Radial Basis FunctionsMathematical Expression
Multiquadric r 2 + R 2 1 2
Inverse Multiquadric r 2 + R 2 1 2
Thin-plate Spline r 2 log ( r / R )
Gaussian exp 1 2 r 2 / R 2
Table 3. Evaluation of accuracy in interpolating cumulative horizontal displacement data.
Table 3. Evaluation of accuracy in interpolating cumulative horizontal displacement data.
Parameter NamesOrdinary Kriging MethodRadial Basis Function Method
Semi-Variance Function ModelEMAE/cmERMSE/cmRadial Basis
Function Type
EMAE/cmERMSE/cm
μxSpherical2.945.04Gaussian2.854.20
μyExponential2.754.91Thin Plate Spline2.754.35
μGaussian3.755.86Inverse Multiquadric3.405.06
θPower0.310.69Multiquadric0.310.69
μ‖, θμx\2.824.40\2.693.89
μ‖, θμy\2.864.55\2.674.07
Disclaimer/Publisher’s Note: The statements, opinions and data contained in all publications are solely those of the individual author(s) and contributor(s) and not of MDPI and/or the editor(s). MDPI and/or the editor(s) disclaim responsibility for any injury to people or property resulting from any ideas, methods, instructions or products referred to in the content.

Share and Cite

MDPI and ACS Style

He, L.; Yao, Y. Surface Deformation Calculation Method Based on Displacement Monitoring Data. Buildings 2024, 14, 1417. https://doi.org/10.3390/buildings14051417

AMA Style

He L, Yao Y. Surface Deformation Calculation Method Based on Displacement Monitoring Data. Buildings. 2024; 14(5):1417. https://doi.org/10.3390/buildings14051417

Chicago/Turabian Style

He, Lin, and Yibin Yao. 2024. "Surface Deformation Calculation Method Based on Displacement Monitoring Data" Buildings 14, no. 5: 1417. https://doi.org/10.3390/buildings14051417

APA Style

He, L., & Yao, Y. (2024). Surface Deformation Calculation Method Based on Displacement Monitoring Data. Buildings, 14(5), 1417. https://doi.org/10.3390/buildings14051417

Note that from the first issue of 2016, this journal uses article numbers instead of page numbers. See further details here.

Article Metrics

Back to TopTop