Numerical Study on the Dynamic Response and Damage Cumulative of Bolt-Supported Cavern under Adjacent Cyclic Explosion
Abstract
1. Introduction
2. Numerical Calculation Model
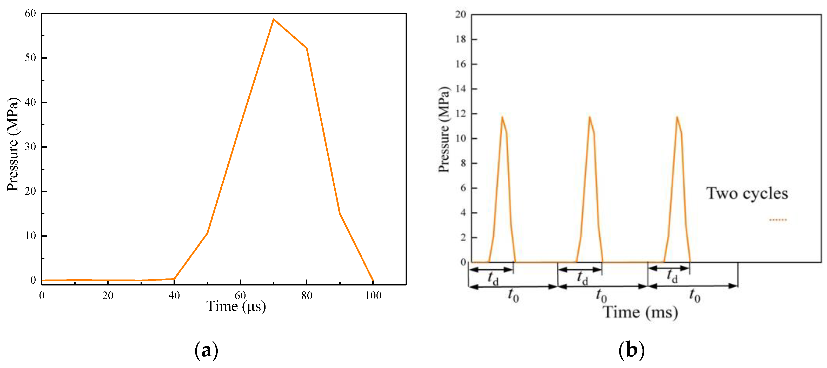
2.1. Model Geometry and Boundary Conditions
2.2. Material Properties and Parameters
2.2.1. Surrounding Rock
2.2.2. Rock Bolts
3. Numerical Results and Discussion
3.1. Comparative Analysis of Numerical Simulation and Test Results
3.2. Dynamic Response of Bolt-Supported Cavern
3.2.1. Stress Wave Propagation Law
3.2.2. Displacement of the Cavern Wall
3.2.3. Circumferential Peak Strain of Cavern Wall
3.3. Damage of Bolt-Supported Cavern
3.3.1. Damage Evolution Process of the Surrounding Rock
3.3.2. Damage Cumulative of the Surrounding Rock
3.4. Dynamic Response of Bolts
4. Conclusions
- (1)
- When the total level of adjacent explosion load is the same, the displacement and peak circumferential strain of the cavern wall in the high-level single explosion is larger than those in the low-level cyclic explosion. However, low-level cyclic explosions damage surrounding rock more than high-level single explosions.
- (2)
- With increasing explosion times, the attenuation speed of the stress wave in cyclic explosions initially rises and then falls. The cumulative damage of surrounding rock presents an irreversible step-by-step increase with explosion times, and the relationship between them is a power function.
- (3)
- When the adjacent explosion source explodes, the bolt’s axial peak tensile and compressive stress increase first and then decrease from the anchor head to the anchor end, and the maximum value appears 60 mm away from the anchor head.
Author Contributions
Funding
Data Availability Statement
Conflicts of Interest
References
- Guan, X.; Xu, H.; Fu, H.; Zhang, W.; Li, P.; Ding, H.; Yu, K.; Zhang, S. Vibration characteristics, attenuation law, and prediction method in the near field of tunnel blasting. Case Stud. Constr. Mater. 2023, 19, e02662. [Google Scholar] [CrossRef]
- Yang, J.; Cai, J.; Yao, C.; Li, P.; Jiang, Q.; Zhou, C. Comparative study of tunnel blast-induced vibration on tunnel surfaces and inside surrounding rock. Rock Mech. Rock Eng. 2019, 52, 4747–4761. [Google Scholar] [CrossRef]
- Jiang, N.; Gao, T.; Zhou, C.; Luo, X. Effect of excavation blasting vibration on adjacent buried gas pipeline in a metro tunnel. Tunn. Undergr. Space Technol. 2018, 81, 590–601. [Google Scholar] [CrossRef]
- Cao, F.; Zhang, S.; Ling, T. Analysis of Cumulative Damage for Shared Rock in a Neighborhood Tunnel under Cyclic Blasting Loading Using the Ultrasonic Test. Shock Vib. 2020, 2020, 8810089. [Google Scholar] [CrossRef]
- Shi, C.; Zhao, Q.; Lei, M.; Peng, M. Vibration velocity control standard of buried pipeline under blast loading of adjacent tunnel. Soils Found. 2019, 59, 2195–2205. [Google Scholar] [CrossRef]
- Xia, X.; Li, H.; Li, J.; Liu, B.; Yu, C. A case study on rock damage prediction and control method for underground tunnels subjected to adjacent excavation blasting. Tunn. Undergr. Space Technol. 2013, 35, 1–7. [Google Scholar] [CrossRef]
- Fiamingo, A.; Bosco, M.; Massimino, M.R. The role of soil in structure response of a building damaged by the 26 December 2018 earthquake in Italy. J. Rock Mech. Geotech. Eng. 2023, 15, 937–953. [Google Scholar] [CrossRef]
- Wei, J.; Yanhai, W.; Qiang, F. Study of the influence of blasting load on fresh concrete at adjacent chambers based on DDA. Procedia Eng. 2012, 29, 563–567. [Google Scholar] [CrossRef][Green Version]
- Zhang, Z.; Zhou, C.; Remennikov, A.; Wu, T.; Lu, S.; Xia, Y. Dynamic response and safety control of civil air defense tunnel under excavation blasting of subway tunnel. Tunn. Undergr. Space Technol. 2021, 112, 103879. [Google Scholar] [CrossRef]
- Liu, Y.; Dai, F. A review of experimental and theoretical research on the deformation and failure behavior of rocks subjected to cyclic loading. J. Rock Mech. Geotech. Eng. 2021, 13, 1203–1230. [Google Scholar] [CrossRef]
- Zang, C.; Chen, M.; Zhang, G.; Wang, K.; Gu, D. Research on the failure process and stability control technology in a deep roadway: Numerical simulation and field test. Energy Sci. Eng. 2020, 8, 2297–2310. [Google Scholar] [CrossRef]
- Li, Z.; Hu, Y.; Wang, G.; Zhou, M.; Hu, W.; Zhang, X.; Gao, W. Study on cyclic blasting failure characteristics and cumulative damage evolution law of tunnel rock mass under initial in-situ stress. Eng. Fail. Anal. 2023, 150, 107310. [Google Scholar] [CrossRef]
- Peng, K.; Zhou, J.; Zou, Q.; Song, X. Effect of loading frequency on the deformation behaviours of sandstones subjected to cyclic loads and its underlying mechanism. Int. J. Fatigue 2020, 131, 105349. [Google Scholar] [CrossRef]
- Peng, K.; Zhou, J.; Zou, Q.; Yan, F. Deformation characteristics of sandstones during cyclic loading and unloading with varying lower limits of stress under different confining pressures. Int. J. Fatigue 2019, 127, 82–100. [Google Scholar] [CrossRef]
- Ramulu, M.; Chakraborty, A.; Sitharam, T. Damage assessment of basaltic rock mass due to repeated blasting in a railway tunnelling project—A case study. Tunn. Undergr. Space Technol. 2009, 24, 208–221. [Google Scholar] [CrossRef]
- Wang, J.-T.; Wu, X.-H.; Yang, B.; Sun, Q. Bearing capacity and damage behavior of HCFTST columns under cyclic loading. Structures 2021, 32, 1492–1506. [Google Scholar] [CrossRef]
- Chu, H.; Yang, X.; Li, S.; Liang, W. Experimental study on the blasting-vibration safety standard for young concrete based on the damage accumulation effect. Constr. Build. Mater. 2019, 217, 20–27. [Google Scholar] [CrossRef]
- Yim, H.C.; Krauthammer, T. Mechanical properties of single-plate shear connections under monotonic, cyclic, and blast loads. Eng. Struct. 2012, 37, 24–35. [Google Scholar] [CrossRef]
- Sun, B.; Yuan, D.; Zeng, S. Experimental Study on the Mechanical Characteristics of Rock Bolts under Blast Loading. J. Disaster Prev. Mitig. Eng. 2017, 37, 302–307. [Google Scholar] [CrossRef]
- Wang, G.Y.; Zhang, S.H.; Xie, W.Q.; Wang, X.D. Numerical analysis of dynamic response and axial stress distribution of rock bolts under explosive loads. J. Min. Saf. Eng. 2009, 26, 114–117. [Google Scholar]
- Wang, W.J.; Wang, Z.G.; Zheng, J.J.; Shi, Z.J. The response behaviour of fully grouted GFRP rock bolts under blast dynamic load. J. Min. Saf. Eng. 2020, 37, 898–907. [Google Scholar] [CrossRef]
- Wang, G.; Cao, A.; Wang, X.; Yu, R.; Huang, X.; Yu, R.; Huang, X.; Lin, J. Numerical simulation of the dynamic responses and damage of underground cavern under multiple explosion sources. Eng. Fail. Anal. 2021, 120, 105085. [Google Scholar] [CrossRef]
- Ansell, A. Dynamic testing of steel for a new type of energy absorbing rock bolt. J. Constr. Steel Res. 2006, 62, 501–512. [Google Scholar] [CrossRef]
- Han, J.; Ma, S.W.; Zhang, M.; Bi, Z.Q.; Cao, C.; Ren, T. Design and engineering practice of rebar bolt for large deformation roadway. J. Chin. Coal Soc. 2021, 46, 3745. [Google Scholar] [CrossRef]
- Chong, Z.; Yue, T.; Yao, Q.; Li, X.; Zheng, C.; Xia, Z.; Li, H. Experimental and numerical investigation of crack propagation in bolting systems strengthened with resin-encapsulated rock bolts. Eng. Fail. Anal. 2021, 122, 105259. [Google Scholar] [CrossRef]
- Wang, G.Y.; Gu, J.C.; Chen, A.M.; Xu, J.M.; Zhang, X.Y. Model tests on anti-explosion anchoring effect of tunnels reinforced by dense bolts at arch top. Chin. J. Geotech. Eng. 2009, 31, 378–383. [Google Scholar] [CrossRef]
- Hallquist, J.O. LS-DYNA Keyword User’s Manual; Livermore Software Technology Corporation: Livermore, CA, USA, 2007; pp. 299–800. [Google Scholar]
- Tu, Z.; Lu, Y. Modifications of RHT material model for improved numerical simulation of dynamic response of concrete. Int. J. Impact Eng. 2010, 37, 1072–1082. [Google Scholar] [CrossRef]
- Wang, Z.; Wang, H.; Wang, J.; Tian, N. Finite element analyses of constitutive models performance in the simulation of blast-induced rock cracks. Comput. Geotech. 2021, 135, 104172. [Google Scholar] [CrossRef]
- Shin, W.; Park, H.; Han, J. Improvement of the dynamic failure behavior of concrete subjected to projectile impact using user-defined material model. Constr. Build. Mater. 2022, 332, 127343. [Google Scholar] [CrossRef]
- Borrvall, T.; Riedel, W. The RHT concrete model in LS-DYNA. In Proceedings of the 8th European LS-DYNA User Conference, Strasbourg, France, 23–24 May 2011; pp. 23–24. [Google Scholar]
- Li, S.; Ling, T.; Liu, D.; Liang, S.; Zhang, R.; Huang, B.; Liu, K. Determination of Rock Mass Parameters for the RHT Model Based on the Hoek–Brown Criterion. Rock Mech. Rock Eng. 2023, 56, 2861–2877. [Google Scholar] [CrossRef]
- Riedel, W. Beton Unter Dynamischen Lasten: Meso-und Makromechanische Modelle und Ihre Parameter; EMI: London, UK, 2000. [Google Scholar]
- Li, H. The Study of the Rock RHT Model and to Determine the Values of Main Parameters; China University of Mining and Technology: Beijing, China, 2016. [Google Scholar]
- Chen, S.G.; Cai, J.G.; Zhao, J.; Zhou, Y.X. Discrete element modelling of an underground explosion in a jointed rock mass. Geotech. Geol. Eng. 2000, 18, 59–78. [Google Scholar] [CrossRef]
- Wang, Q.R.; Xie, L.X.; Song, E.X.; Kong, F.L.; Fan, J.Q.; Yu, L.Y.; Xu, J.M.; Shi, X.Y. Model tests on dynamic responses of surrounding rock and support structure on underground tunnel under combined dynamic and static loading. Int. J. Rock Mech. Min. Sci. 2023, 171, 105572. [Google Scholar] [CrossRef]
- Qiu, J.; Li, X.; Li, D.; Zhao, Y.; Hu, C.; Liang, L. Physical model test on the deformation behavior of an underground tunnel under blasting disturbance. Rock Mech. Rock Eng. 2021, 54, 91–108. [Google Scholar] [CrossRef]
- US Army Engineers Waterways Experimental Station. TM 5-855-1, Fundamental of Protective Design for Conventional Weapons; US Army Engineers Waterways Experimental Station: Vicksburg, MS, USA, 1986. [Google Scholar]


















| Density (Kg/m3) | Cohesion (MPa) | Young’s Modulus (GPa) | Poisson’s Ratio | Internal Friction Angle (°) | Tensile Strength (MPa) | Compressive Strength (MPa) |
|---|---|---|---|---|---|---|
| 1700 | 0.12 | 1.6 | 0.19 | 39 | 0.11 | 2.0 |
| Density (g/cm3) | Elastic Modulus (GPa) | Passion Ratio | Yield Strength (GPa) | Tangent Modulus (GPa) |
|---|---|---|---|---|
| 2.72 | 7.6 | 0.34 | 1.45 | 0.025 |
Disclaimer/Publisher’s Note: The statements, opinions and data contained in all publications are solely those of the individual author(s) and contributor(s) and not of MDPI and/or the editor(s). MDPI and/or the editor(s) disclaim responsibility for any injury to people or property resulting from any ideas, methods, instructions or products referred to in the content. |
© 2024 by the authors. Licensee MDPI, Basel, Switzerland. This article is an open access article distributed under the terms and conditions of the Creative Commons Attribution (CC BY) license (https://creativecommons.org/licenses/by/4.0/).
Share and Cite
Wang, G.; Chang, K.; Cao, A. Numerical Study on the Dynamic Response and Damage Cumulative of Bolt-Supported Cavern under Adjacent Cyclic Explosion. Buildings 2024, 14, 1307. https://doi.org/10.3390/buildings14051307
Wang G, Chang K, Cao A. Numerical Study on the Dynamic Response and Damage Cumulative of Bolt-Supported Cavern under Adjacent Cyclic Explosion. Buildings. 2024; 14(5):1307. https://doi.org/10.3390/buildings14051307
Chicago/Turabian StyleWang, Guangyong, Kaiwen Chang, and Ansheng Cao. 2024. "Numerical Study on the Dynamic Response and Damage Cumulative of Bolt-Supported Cavern under Adjacent Cyclic Explosion" Buildings 14, no. 5: 1307. https://doi.org/10.3390/buildings14051307
APA StyleWang, G., Chang, K., & Cao, A. (2024). Numerical Study on the Dynamic Response and Damage Cumulative of Bolt-Supported Cavern under Adjacent Cyclic Explosion. Buildings, 14(5), 1307. https://doi.org/10.3390/buildings14051307

