Experimental Study on Repairing/Restoration and Reinforcement Methods of the Reinforced Concrete Structures Damaged by Earthquakes
Abstract
1. Introduction
2. Reinforcement Principle
3. Specimens and Experimental Methods
3.1. Beam Specimens and Column Specimens
3.2. Material Properties
3.3. Test Device and Loading System
4. Results and Discussion
4.1. Analysis of Skeleton Curves of Reinforced Concrete Components after Damage Repairing and Reinforcement
- It is clear from the above figure that the reinforced beam and column specimens went through the whole process from elastic phase to yielding phase and finally to the final phase. Comparison of the load-carrying capacity, overall stiffness, and deformation capacity of the reinforced members shows significant improvement as compared to the pre-strengthened members.
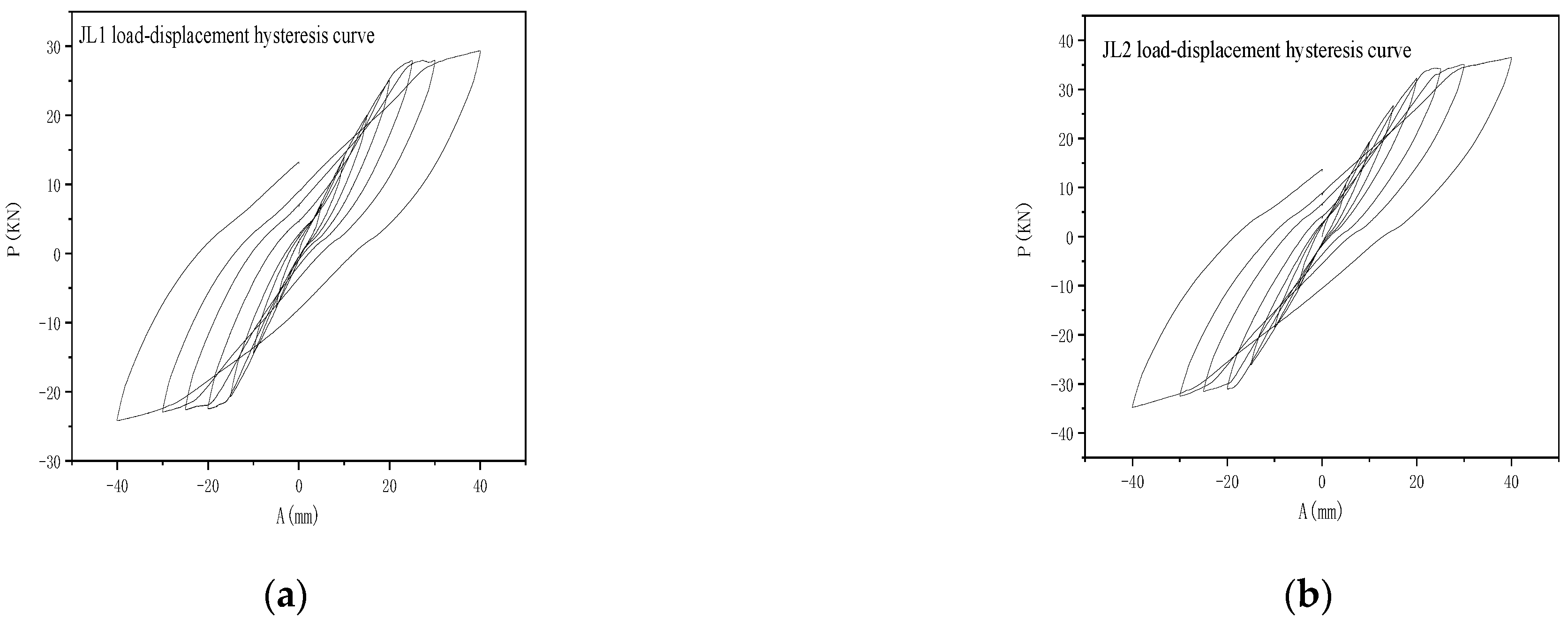
- The stress–strain curve of JL2 is basically linear when the displacement loading is ±10 mm. Thereafter, with the increase in displacement load, the elastic phase of the post-earthquake damage specimen is obviously longer than that of the pre-earthquake damage specimen, and the yield load is greatly increased. When the displacement load reaches ±50 mm, the lateral force basically no longer increases and the ductility is very good.
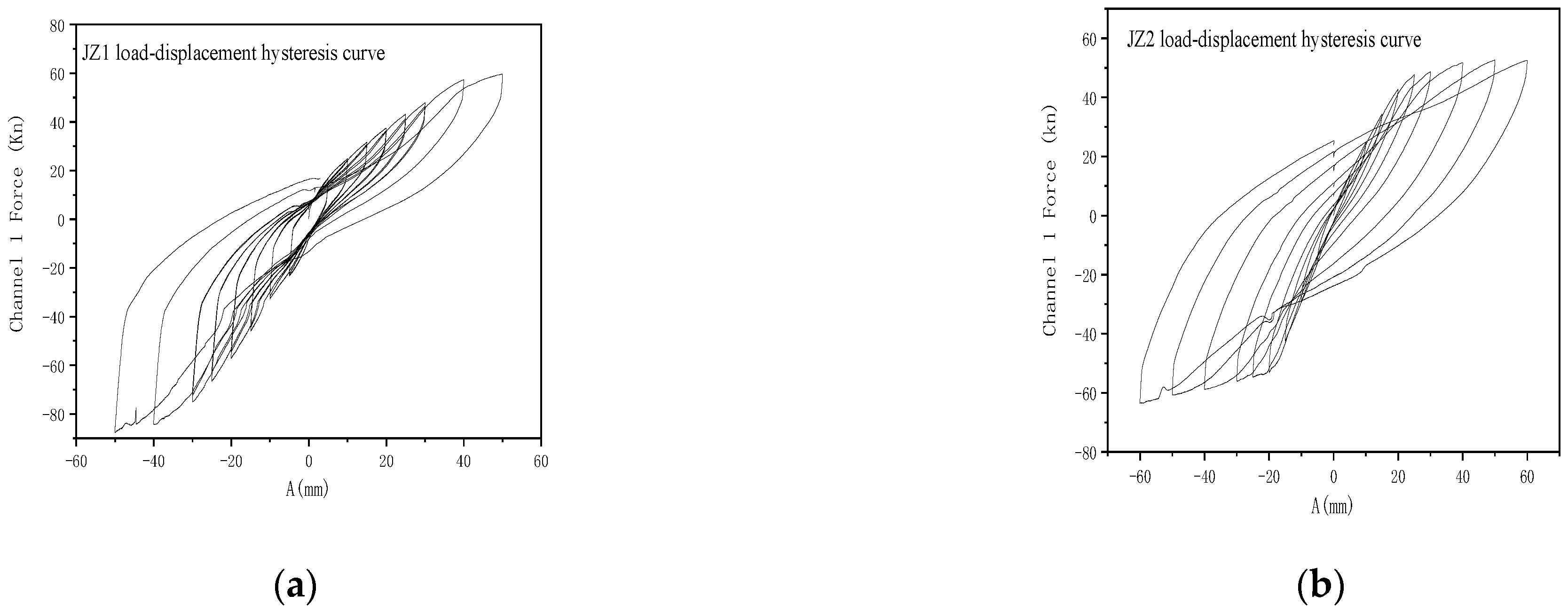
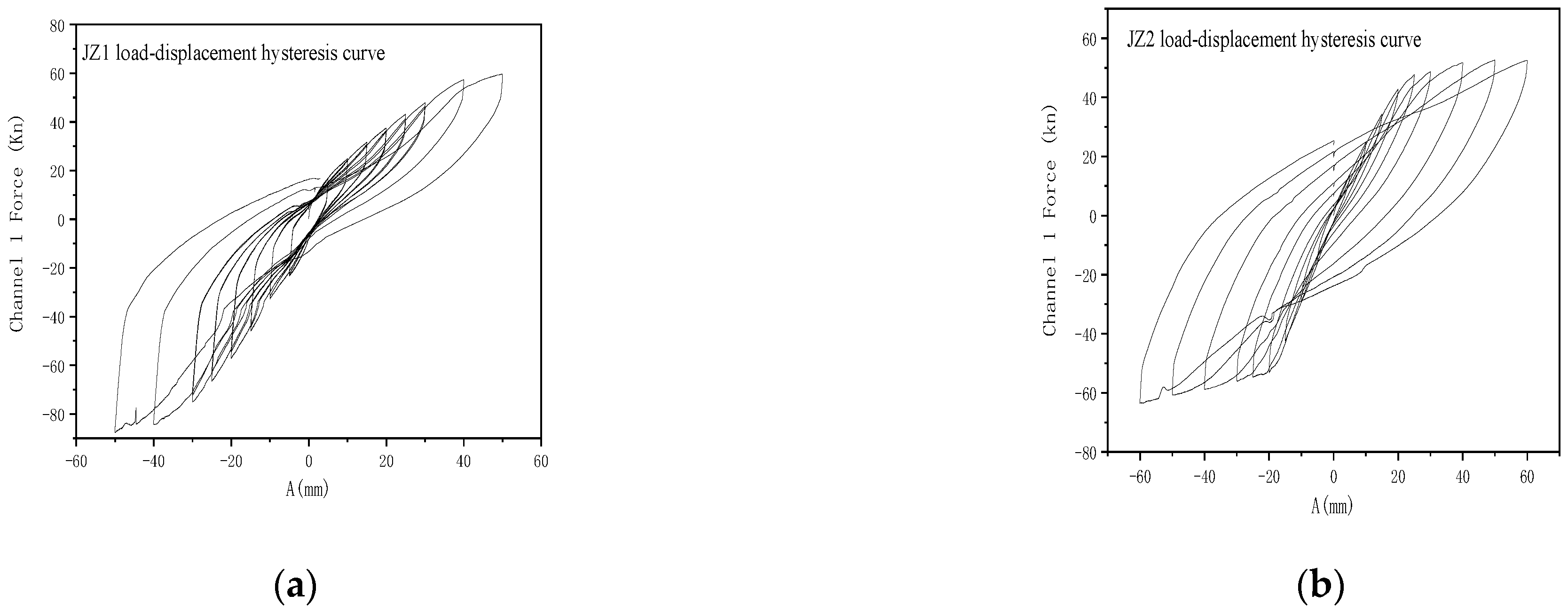
- When the displacement loading reaches ±20 mm, the stress–strain curve of JZ2 is basically linear. Thereafter, with the increase in displacement load, the increase in lateral force decreases rapidly until the displacement is loaded to ±50 mm, the lateral force basically stops increasing, showing good ductility.
4.2. Analysis of Ductility Performance of Damaged Reinforced Concrete Components after Strengthening and Repairing
- Δu, Δy—The ultimate displacement and yield displacement of a structural member can generally be determined by the lateral displacement corresponding to the point on the load-displacement curve where the horizontal load drops to the nominal limit load. In this article, the nominal limit load is taken to be the load value at which the horizontal load drops to 85% of the limit load.
- Δu+, Δu−—positive and negative limit displacement of the component.
- Δy+, Δy−—positive and negative yield displacement of the component.
- 1
- Comparison of JL1, JL2, JL3, and JL4 shows that the ductility coefficients of carbon-fiber-reinforcing bars are 9.1% and 8.1% higher than that of steel-plate-reinforcing bars, respectively.
- 2
- Comparison of JZ1, JZ2, JZ3, and JZ4 shows that the ductility coefficients of carbon-fiber-reinforcing bars are 8.7% and 8% higher than that of steel-plate-reinforcing bars, respectively.
- 3
- This shows that carbon fiber reinforcement is more capable of withstanding plastic deformation of the structure than steel plate reinforcement.
4.3. Analysis of Energy Dissipation Performance of Damaged Reinforced Concrete Components after Strengthening and Repairing
- Analysis of the data in Table 7 shows an average increase of 58.5% in seismic energy dissipation capacity for the carbon-fiber-reinforced beam end specimens compared to the unreinforced comparison analysis, and an average increase of 30.5% in seismic energy dissipation capacity for the steel-reinforced specimens compared to the unreinforced comparison members analysis.
- Analysis of the data in Table 8 shows that the average increase in seismic energy dissipation capacity of carbon-fiber-reinforced columns over unreinforced comparison columns is 45%, and the average increase in energy dissipation capacity of steel-plate-reinforced columns over unreinforced comparison columns is 22%.
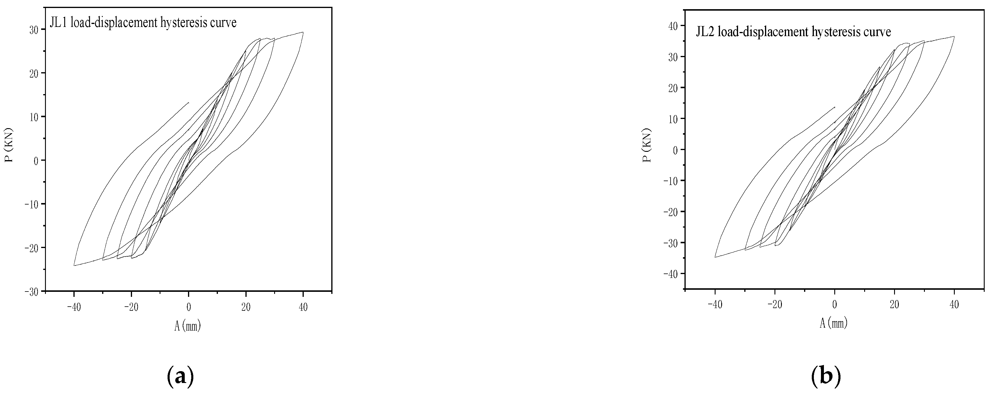
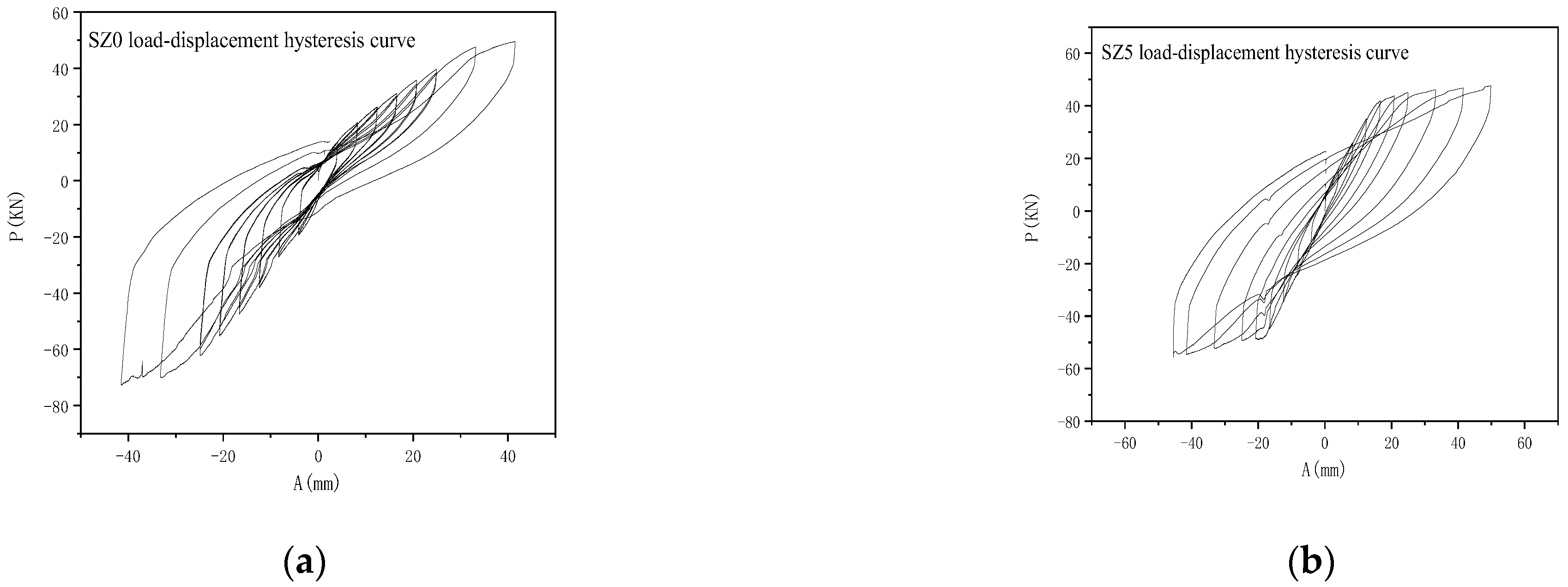
4.4. Analysis of Hysteresis Performance of Damaged Reinforced Concrete Components after Strengthening and Repairing
- For specimens with different reinforcement ratios, the load-displacement hysteresis curves measured in the test can be compared. It can be seen that increasing the longitudinal reinforcement ratio significantly improves the hysteresis characteristics and the ductility of the components. The area enclosed by the hysteresis loop for each cyclic load increases, the pinch effect is alleviated, energy dissipation capacity increases, and stiffness increases, which is beneficial to seismic resistance.
- By observing the hysteresis curve, the steel plate-strengthened beam exhibits a certain pinch effect at the lower level of loads, and its hysteresis fullness is slightly worse than that of the carbon-fiber-strengthened beam.
- During the displacement-controlled cyclic loading process, the maximum load and the area enclosed by the hysteresis loop in the second cycle are significantly smaller than those in the first cycle, indicating that the specimens experienced the significant damage during the first positive and negative loading processes. Both carbon fiber-strengthened beams and steel plate-strengthened beams show this same characteristic.
- Comparison of the load-displacement hysteresis curves measured at different axial compression ratios shows that there is a significant difference between high and low axial compression ratios for hysteresis characteristics and ductility of the members. The area enclosed by the repeated load hysteresis loops of the columns with higher axial compression ratios increases, the pinching phenomenon is alleviated, the energy dissipation capacity increases, and the stiffness increases, which is beneficial for seismic resistance.
- Steel-plate-strengthened columns exhibit a certain pinch effect at the lower loads, and their hysteresis fullness is slightly worse than that of carbon-fiber-strengthened columns.
- During the displacement-controlled cyclic loading process, the maximum load and the area enclosed by the hysteresis loop in the second cycle are significantly smaller than those in the first cycle, indicating that the specimens experienced significant damage during the first positive and negative loading processes. This characteristic is present in both carbon-fiber-strengthened columns and steel-plate-strengthened columns.
4.5. Comparison of Hysteresis Performance between Control Specimens and Reinforced Specimens after Repair
under different actions, and Figure 13 compares the hysteretic performance of columns with different reinforcement methods under an axial compression ratio of 0.2.- In terms of carrying capacity, deformation, hysteretic energy dissipation characteristics, and ductility, the hysteretic characteristics and ductility of the reinforced components are significantly improved. The area surrounded by hysteresis loops in each repetitive loading increases, skew collapse is reduced, and energy dissipation capacity increases.
- Compared with the control components in terms of carrying capacity, deformation, hysteretic energy dissipation characteristics, and ductility, the hysteretic characteristics and ductility of the reinforced components are greatly improved. The area enclosed by the hysteresis loop of each reinforced column in each repeated load is increased, the phenomenon of skew collapse is alleviated, and energy dissipation capacity is improved in favor of seismic performance.
- By comparing carbon-fiber-reinforcing steel with steel-plate-reinforcing steel, it can be found that carbon-fiber-reinforcing steel has a strong energy dissipation capacity.
5. Conclusions
- The comparison of the experimental data in this study can verify the basic specification of structural design, i.e., increasing the longitudinal reinforcement ratio of beams can significantly improve the hysteresis characteristics and ductility of members, increase the area surrounded by hysteresis lines during each repetitive loading, reduce the clamping effect, and improve the energy dissipation capacity, so as to improve the seismic performance of the building.
- The different axial compression ratios result in the significant difference in the hysteresis characteristics and ductility of reinforced concrete columns. Columns with a larger axial compression ratio have an increased area enclosed by the hysteresis loop during each repeated load, alleviated pinching effect, and increased energy dissipation capacity, which are beneficial to earthquake resistance.
- Compared with the control beam, the carbon-fiber-reinforced beam has a bearing capacity increased by 1.29 times, ductility increased by 1.31 times, and capacity of earthquake energy dissipation increased by 1.59 times. Compared with the control beam, the steel-plate-reinforced beam has a bearing capacity increased by 1.14 times, ductility increased by 1.1 times, and capacity of earthquake energy dissipation capacity increased by 1.31 times. The seismic performance of carbon-fiber-reinforced beams is superior to that of steel-plate-reinforced beams.
- Compared with the control column, the carbon-fiber-reinforced column has a bearing capacity increased by 1.15 times, ductility increased by 1.12 times, and capacity of earthquake energy dissipation increased by 1.45 times. Compared with the control column, the steel-plate-reinforced column has a bearing capacity increased by 1.1 times, ductility increased by 1.07 times, and capacity of earthquake energy dissipation capacity increased by 1.02 times. The seismic performance of carbon-fiber-reinforced columns is superior to that of steel-plate-reinforced columns.
- The plastic hinge region of the components is mainly concentrated in the lower part of the beams and columns, within approximately the width of one component. Therefore, reinforcement only needs to be carried out in this area according to the calculated reinforcement amount. The reinforcement range only needs to be taken along the lower part of the beams and columns, covering one-third of the component length, which can effectively prevent the generation of shear failure. There is no need for reinforcement in other areas, which can effectively reduce the reinforcement amount.
- Reasonable reinforcement methods can effectively improve the seismic performance of structures. From the above research, it can be seen that carbon fiber reinforcement has better effects than steel plate reinforcement, and can achieve better reinforcement effects.
Author Contributions
Funding
Data Availability Statement
Conflicts of Interest
References
- Quan, S.H. Study on Seismic Performance of Reinforced Concrete Beams and Columns with Carbon Fiber. Ph.D. Thesis, Tianjin University, Tianjin, China, 2017. (In Chinese). [Google Scholar]
- GB 50608—2020; Standard for Technical Specifications of Fiber-Reinforced Composite Materials. China Planning Press: Beijing, China, 2020. (In Chinese)
- Liu, M.; Yin, X.G. Finite element dynamic analysis of reinforced concrete beams strengthened with viscoelastic dampers. J. Chongqing Univ. (Nat. Sci. Ed.) 2005, 28, 140–146. (In Chinese) [Google Scholar]
- Sheng, G.Y. Study on Seismic Performance of Reinforced Concrete Shear Walls Strengthened with Viscoelastic Dampers. Master’s Thesis, Tongji University, Shanghai, China, 2010. (In Chinese). [Google Scholar]
- Xie, Z.Y.; Deng, W.S. Finite element analysis of concrete beams strengthened with viscoelastic dampers. Henan Build. Mater. 2008, 6, 21–23. (In Chinese) [Google Scholar]
- Guo, M.; Liu, P. Calculation of flexural bearing capacity and section stiffness of double-sided steel plate-strengthened concrete slabs. J. Shandong Jianzhu Univ. 2008, 23, 47–56. (In Chinese) [Google Scholar]
- Yu, J.; Kuang, Y.H. Finite element analysis of concrete frame nodes strengthened with viscoelastic dampers. Archit. Technol. 2010, 11, 1051–1053. (In Chinese) [Google Scholar]
- Liu, Z.X. Experimental Study on the Mechanical Behavior of H-Shaped Steel Columns Strengthened with Carbon Fiber. Master’s Thesis, Hunan University, Changsha, China, 2020. (In Chinese). [Google Scholar]
- Zhang, N.W. Simplified calculation method for flexural bearing capacity of prestressed concrete beams strengthened with steel plates. Struct. Eng. 2021, 37, 60–64. [Google Scholar]
- Shahawy, M.; Chaallal, O.; Beitelman, T.E.; El-Saad, A. Flexural strengthening with carbon fiber-reinforced polymer composites of preloaded full-scale girders. ACI Struct. J. 2001, 98, 735–742. [Google Scholar]
- Lu, Z.D.; Hong, T. Seismic testing of low reinforcement concrete beam-slab-column nodes reinforced with carbon fiber-reinforced polymer. J. Tongji Univ. 2003, 31, 18–21. (In Chinese) [Google Scholar]
- Wang, W.W. Study on Flexural Performance of Fiber Composite Reinforced Concrete Beams. Ph.D. Thesis, Dalian University of Technology, Dalian, China, 2003. (In Chinese). [Google Scholar]
- Liu, L.G. Study on Flexural Mechanical Properties of Carbon Fiber Reinforced Concrete Beams. Master’s Thesis, Shandong University, Jinan, China, 2004. (In Chinese). [Google Scholar]
- Pan, Z.H.; Li, A.Q. Static elastic-plastic analysis of external steel reinforced concrete columns strengthened with fiber model. J. Southeast Univ. (Nat. Sci. Ed.) 2009, 39, 552–556. (In Chinese) [Google Scholar]
- Wang, S.Y.; Liu, F. Experimental study on fiber cloth reinforced concrete pipes damaged by earthquake. J. Shenyang Jianzhu Univ. 2010, 26, 216–222. (In Chinese) [Google Scholar]
- Xu, C.X.; Lu, M.X. Experimental study on seismic performance of carbon fiber cloth reinforced steel reinforced concrete columns damaged by earthquake. China Civ. Eng. J. 2016, 49, 51–56. (In Chinese) [Google Scholar]
- Xu, C.X.; Wang, C.F. Experimental study on seismic performance of carbon fiber cloth reinforced steel reinforced concrete frame node damaged by earthquake. Earthq. Resist. Eng. Retrofit. Methodol. 2018, 40, 110–116+130. (In Chinese) [Google Scholar]
- Zyeh, J. Engthening of concrete structures with carbon fiber-reinforced polymer and results from nondestructive evaluation: Repair, Rehabilitation, and maintenance of concrete structures, and innovations in design and construction. In Proceedings of the 4th Intemational Conference, Seoul, Republic of Korea, 26–29 September 2000; pp. 999–1026. [Google Scholar]
- Kou, J.L.; Zheng, D.D. Experimental study on the bending performance of damaged concrete beams without web reinforcement reinforced with high ductile concrete under repeated loading. Vib. Shock. 2021, 40, 279–289. (In Chinese) [Google Scholar]
- Deng, M.K.; Li, Q.Q. Experimental study on shear performance of RC beams reinforced with high ductile concrete. Eng. Mech. 2020, 37, 55–63. (In Chinese) [Google Scholar]
- Huang, Z.Y. Analysis of reinforcement methods for reinforced concrete structures. Eng. Constr. 2023, 55, 43–47. (In Chinese) [Google Scholar]
- Pan, X.L.; Liu, X.Q. Study on the seismic performance level of reinforced concrete frames with fibre cloth reinforced infill walls. Sci. Technol. Eng. 2023, 23, 10459–10468. (In Chinese) [Google Scholar]
- Wang, H.T.; Zhu, C.Y. Effects of anchorage method and prestressing level on flexural performance of reinforced concrete beams reinforced with CFRP plates. J. Hohai Univ. (Nat. Sci. Ed.) 2023, 51, 104–110. (In Chinese) [Google Scholar]
- American Concrete Institute. Building Code Requirements for Structural Concrete and Commentary; American Concrete Institute: Detroit, MI, USA, 2008. [Google Scholar]
- Yao, W.C. Overall stability analysis of I-shaped simply supported steel beams with shuttle deformation cross-section. Master’s Thesis, Hunan University, Changsha, China, 2010. (In Chinese). [Google Scholar]
- Zhou, C.Y.; Yu, Y.A. Experimental study on flexural performance of reinforced concrete narrow beams reinforced with side hung mixed-anchored carbon fiber fabric. J. Build. Struct. 2023, 44. (In Chinese) [Google Scholar] [CrossRef]













| Reinforcement Method | Reinforcement Principle | Applicable Components |
|---|---|---|
| Enlarging cross-section | Enlarging cross-section | Beams, slabs, columns |
| Bonding steel plates | Increasing reinforcement | Beams, slabs, columns |
| Bonding carbon fiber cloth | Increasing reinforcement | Beams, slabs, columns |
| Number | Longitudinal Ribs | Reinforcement Method | Number | Axial Compression Ratio | Longitudinal Ribs | Reinforcement Method |
|---|---|---|---|---|---|---|
| L0 | 4 14 | / | Z0 | 0.2 | 8 14 | / |
| L1 | 4 14 | / | Z1 | 0.2 | 8 14 | / |
| L2 | 4 14 | / | Z2 | 0.2 | 8 14 | / |
| L3 | 4 18 | / | Z3 | 0.4 | 8 14 | / |
| L4 | 4 18 | / | Z4 | 0.4 | 8 14 | / |
| L5 | 4 18 | / | Z5 | 0.4 | 8 14 | / |
| JL1 | 4 14 | Steel plate | JZ1 | 0.2 | 8 14 | Steel plate |
| JL2 | 4 14 | Carbon fiber cloth | JZ2 | 0.2 | 8 14 | Carbon fiber cloth |
| JL3 | 4 18 | Steel plate | JZ3 | 0.4 | 8 14 | Steel plate |
| JL4 | 4 18 | Carbon fiber cloth | JZ4 | 0.4 | 8 14 | Carbon fiber cloth |
| Rebar Type | Rebar Diameter (mm) | Yield Strength (Mpa) | Tensile Strength (Mpa) | Elastic Modulus (×105 Mpa) | Elongation (%) |
|---|---|---|---|---|---|
![]() | 8 | 235.6 | 406.7 | 2.1 | 32.2 |
![]() | 14 | 440.9 | 625.4 | 2 | 24.3 |
![]() | 18 | 455.7 | 649.8 | 2 | 23.5 |
| Position | Concrete Strength Grade | Cube Compressive Strength (Mpa) | Axial Compressive Strength (Mpa) | Elastic Modulus (×104 Mpa) |
|---|---|---|---|---|
| Precast beams and columns | C30 | 37.5 | 48.9 | 3 |
| Reinforcement Situation | Reinforcement Method | Yield Value (mm) | Limit Value (mm) | Damage Value (mm) | Ductility |
|---|---|---|---|---|---|
4 14 | Steel plate | 25 | 45 | 55 | 2.2 |
| Carbon fiber cloth | 25 | 50 | 60 | 2.4 | |
4 18 | Steel plate | 25 | 50 | 60 | 2.4 |
| Carbon fiber cloth | 25 | 50 | 65 | 2.6 |
| Axial Compression Ratio | Reinforcement Method | Yield Value (mm) | Limit Value (mm) | Damage Value (mm) | Ductility |
|---|---|---|---|---|---|
| 0.2 | Steel plate | 30 | 50 | 70 | 2.3 |
| Carbon fiber cloth | 30 | 55 | 75 | 2.5 | |
| 0.4 | Steel plate | 30 | 60 | 75 | 2.5 |
| Carbon fiber cloth | 30 | 65 | 80 | 2.7 |
| Reinforcement Situation | Reinforcement Method | Energy Consumption (kN·mm) |
|---|---|---|
4 14 | Steel plate | 1291 |
| Carbon fiber cloth | 1552 | |
4 18 | Steel plate | 1313 |
| Carbon fiber cloth | 1606 |
| Reinforcement Situation | Reinforcement Method | Energy Consumption (kN·mm) |
|---|---|---|
| 0.2 | Steel plate | 3220 |
| Carbon fiber cloth | 4632.7 | |
| 0.4 | Steel plate | 3358.5 |
| Carbon fiber cloth | 4757.5 |
Disclaimer/Publisher’s Note: The statements, opinions and data contained in all publications are solely those of the individual author(s) and contributor(s) and not of MDPI and/or the editor(s). MDPI and/or the editor(s) disclaim responsibility for any injury to people or property resulting from any ideas, methods, instructions or products referred to in the content. |
© 2024 by the authors. Licensee MDPI, Basel, Switzerland. This article is an open access article distributed under the terms and conditions of the Creative Commons Attribution (CC BY) license (https://creativecommons.org/licenses/by/4.0/).
Share and Cite
Ni, G.; Zhang, W.; Song, C.; Wang, Z.; Liu, B. Experimental Study on Repairing/Restoration and Reinforcement Methods of the Reinforced Concrete Structures Damaged by Earthquakes. Buildings 2024, 14, 1102. https://doi.org/10.3390/buildings14041102
Ni G, Zhang W, Song C, Wang Z, Liu B. Experimental Study on Repairing/Restoration and Reinforcement Methods of the Reinforced Concrete Structures Damaged by Earthquakes. Buildings. 2024; 14(4):1102. https://doi.org/10.3390/buildings14041102
Chicago/Turabian StyleNi, Guowei, Wanying Zhang, Congbo Song, Zirui Wang, and Bo Liu. 2024. "Experimental Study on Repairing/Restoration and Reinforcement Methods of the Reinforced Concrete Structures Damaged by Earthquakes" Buildings 14, no. 4: 1102. https://doi.org/10.3390/buildings14041102
APA StyleNi, G., Zhang, W., Song, C., Wang, Z., & Liu, B. (2024). Experimental Study on Repairing/Restoration and Reinforcement Methods of the Reinforced Concrete Structures Damaged by Earthquakes. Buildings, 14(4), 1102. https://doi.org/10.3390/buildings14041102




