Effect of Thermal Cycles and Curing Age on Bonding Strength of Cement Mortar Using Manufactured Sand
Abstract
1. Introduction
2. Materials and Methods
2.1. Particle Size Analysis of MS and RS
2.2. Mix Proportion of Concrete Substrates and Mortar
2.3. Thermal Cycling Experiment
2.4. Compressive Strength Test
2.5. Pull-Out Test
3. Results and Discussion
3.1. Compressive Strength of MSM and RSM
3.2. Bonding Strength of MSM and RSM
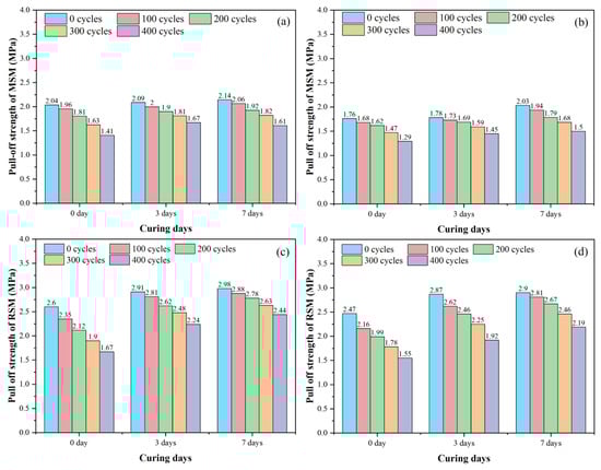
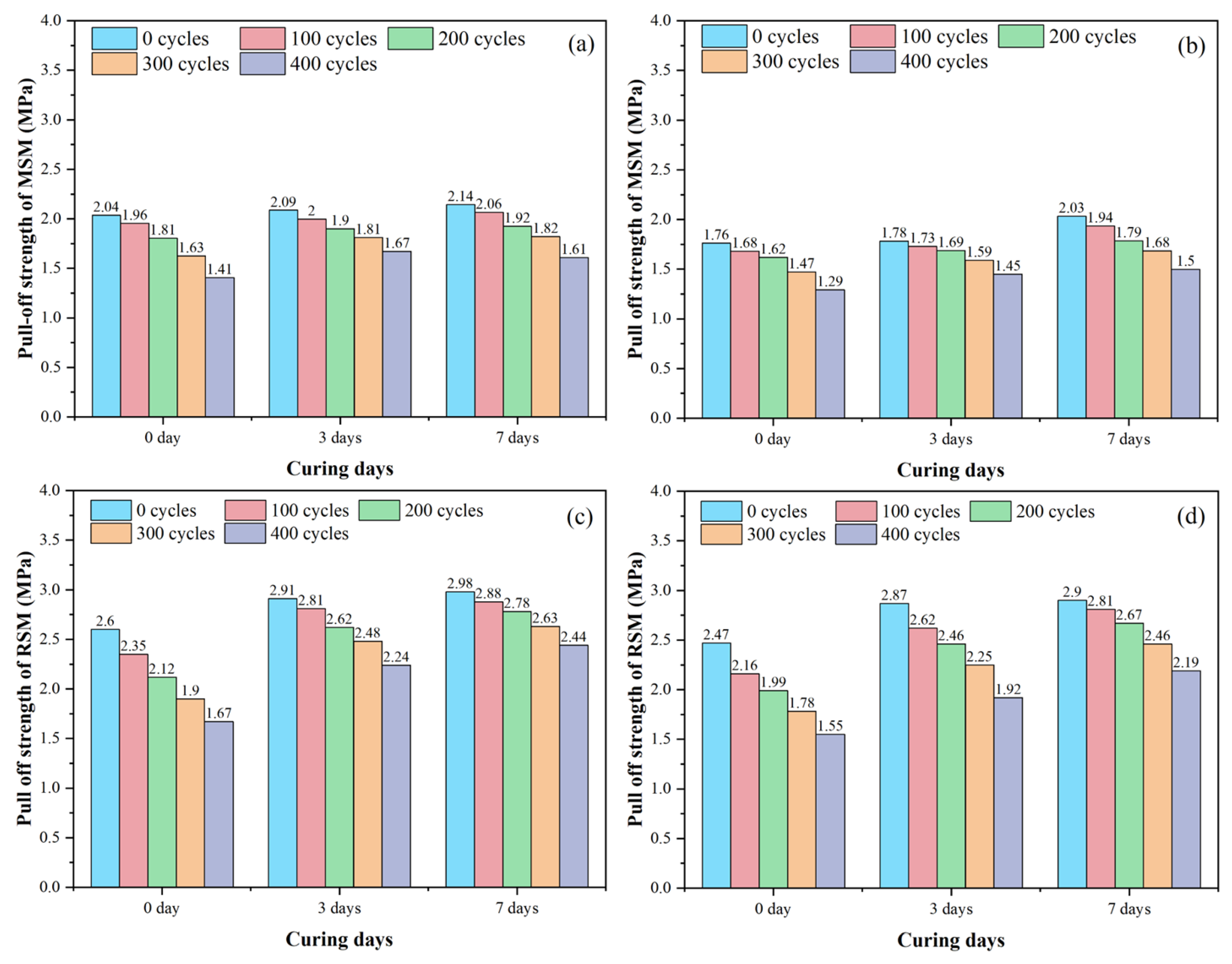
3.2.1. Influence of Curing Age and Water-Cement Ratio on the Bonding Strength of MSM and RSM
3.2.2. Influence of Thermal Cycles on the Bonding Strength of MSM and RSM
4. Conclusions
Author Contributions
Funding
Data Availability Statement
Conflicts of Interest
References
- Mahaboonpachai, T.; Kuromiya, Y.; Matsumoto, T. Experimental investigation of adhesion failure of the interface between concrete and polymer-cement mortar in an external wall tile structure under a thermal load. Constr. Build. Mater. 2008, 22, 2001–2006. [Google Scholar] [CrossRef]
- Wetzel, A.; Zurbriggen, R.; Herwegh, M.; Greminger, A.; Kaufmann, J. Long-term study on failure mechanisms of exterior applied tilings. Constr. Build. Mater. 2012, 37, 335–348. [Google Scholar] [CrossRef]
- Zhang, Y.; Wu, K.; Zhang, S.; Kong, X.; Zhang, H.; Zhang, X. Numerical simulation on damage behaviors of tile-mortar interface induced by mortar shrinkage and temperature cycles. Eng. Fail. Anal. 2023, 148, 107169. [Google Scholar] [CrossRef]
- Chew, M.Y.L. The study of adhesion failure of wall tiles. Build. Environ. 1992, 27, 493–499. [Google Scholar] [CrossRef]
- Chew, M.Y.L. Factors affecting ceramic tile adhesion for external cladding. Constr. Build. Mater. 1999, 13, 293–296. [Google Scholar] [CrossRef]
- Ozkahraman, H.T.; Işık, E.C. The effect of chemical and mineralogical composition of aggregates on tensile adhesion strength of tiles. Constr. Build. Mater. 2005, 19, 251–255. [Google Scholar] [CrossRef]
- Mahaboonpachai, T.; Matsumoto, T.; Inaba, Y. Investigation of interfacial fracture toughness between concrete and adhesive mortar in an external wall tile structure. Int. J. Adhes. Adhes. 2010, 30, 1–9. [Google Scholar] [CrossRef]
- Andiç, Ö.; Ramyar, K.; Korkut, Ö. Effect of fly ash addition on the mechanical properties of tile adhesive. Constr. Build. Mater. 2005, 19, 564–569. [Google Scholar] [CrossRef]
- Jenni, A.; Holzer, L.; Zurbriggen, R.; Herwegh, M. Influence of polymers on microstructure and adhesive strength of cementitious tile adhesive mortars. Cem. Concr. Res. 2005, 35, 35–50. [Google Scholar] [CrossRef]
- Mahaboonpachai, T.M.T. Investigation of interfacial resistance between concrete and polymer-cement mortar and development of constitutive material model for the interface. J. Appl. Mech. 2005, 8, 977–985. [Google Scholar] [CrossRef]
- Rumbayan, T.M.R.; Matsumoto, T. Thermographic measurement and thermal stress analysis at the interface of external wall tile structure. J. Appl. Mech. 2006, 9, 1069–1076. [Google Scholar] [CrossRef]
- Nilimaa, J.; Hösthagen, A.; Emborg, M. Thermal Crack Risk of Concrete Structures: Evaluation of Theoretical Models for Tunnels and Bridges. Nord. Concr. Res. 2017, 56, 55–69. [Google Scholar]
- Bochen, J. Weathering effects on physical-chemical properties of external plaster mortars exposed to different environments. Constr. Build. Mater. 2015, 79, 192–206. [Google Scholar] [CrossRef]
- Shen, W.; Liu, Y.; Cao, L.; Huo, X.; Yang, Z.; Zhou, C.; He, P.; Lu, Z. Mixing design and microstructure of ultra high strength concrete with manufactured sand. Constr. Build. Mater. 2017, 143, 312–321. [Google Scholar] [CrossRef]
- Ke, G.; Zhou, M. Influence of manufactured sand characteristics on strength and abrasion resistance of pavement cement concrete. Constr. Build. Mater. 2011, 25, 3849–3853. [Google Scholar]
- Wang, J.; Zhou, M. Effect of limestone fines content in manufactured sand on durability of low- and high-strength concretes. Constr. Build. Mater. 2009, 23, 2846–2850. [Google Scholar]
- Ji, T.; Chen, C.-Y.; Zhuang, Y.-Z.; Chen, J.-F. A mix proportion design method of manufactured sand concrete based on minimum paste theory. Constr. Build. Mater. 2013, 44, 422–426. [Google Scholar] [CrossRef]
- Shen, W.; Yang, Z.; Cao, L.; Cao, L.; Liu, Y.; Yang, H.; Lu, Z.; Bai, J. Characterization of manufactured sand: Particle shape, surface texture and behavior in concrete. Constr. Build. Mater. 2016, 114, 595–601. [Google Scholar] [CrossRef]
- Zhang, M.T.X. Discussion of "Particle Shape Effects on Packing Density, Stiffness, and Strength Natural and Crushed Sands" by Gye-Chun Cho, Jake Dodds, and J. Carlos Santamarina 2007, 132, 553–561. [Google Scholar]
- Gonçalves, J.P.; Tavares, L.M.; Filho, R.D.T.; Fairbairn, E.M.R.; Cunha, E.R. Comparison of natural and manufactured fine aggregates in cement mortars. Cem. Concr. Res. 2007, 37, 924–932. [Google Scholar] [CrossRef]
- Cepuritis, R.; Wigum, B.J.; Garboczi, E.J.; Mørtsell, E.; Jacobsen, S. Filler from crushed aggregate for concrete: Pore structure, specific surface, particle shape and size distribution. Cem. Concr. Compos. 2014, 54, 2–16. [Google Scholar] [CrossRef]
- Imamoto, K.; Arai, M. Specific surface area of aggregate and its relation to concrete drying shrinkage. Mater. Struct. 2007, 41, 323–333. [Google Scholar] [CrossRef]
- Nanthagopalan, P.; Santhanam, M. Fresh and hardened properties of self-compacting concrete produced with manufactured sand. Cem. Concr. Compos. 2011, 33, 353–358. [Google Scholar] [CrossRef]
- Jamkar, S.S.; Rao, C.B.K. Index of Aggregate Particle Shape and Texture of coarse aggregate as a parameter for concrete mix proportioning. Cem. Concr. Res. 2004, 34, 2021–2027. [Google Scholar] [CrossRef]
- Westerholm, M. Rheology of the mortar phase of concrete with crushed aggregate. Ph.D. Dissertation, Luleå Tekniska Universitet, Luleå, Sweden, 2006. [Google Scholar]
- Shen, W.; Liu, Y.; Wang, Z.; Cao, L.; Wu, D.; Wang, Y.; Ji, X. Influence of manufactured sand’s characteristics on its concrete performance. Constr. Build. Mater. 2018, 172, 574–583. [Google Scholar] [CrossRef]
- Ji, T.; Chen, B.C.; Zhuang, Y.Z.; Li, F.; Huang, Z.B.; Liang, Y.N. Effects of Sand Particle Size and Gradation on Strength of Reactive Powder Concrete. Adv. Mater. Res. 2011, 261–263, 208–211. [Google Scholar] [CrossRef]
- Donza, H.; Irassar, E.F. High-strength concrete with different fine aggregate. Cem. Concr. Res. 2002, 32, 1755–1761. [Google Scholar] [CrossRef]
- Lim, S.K.; Tan, C.S.; Chen, K.P.; Lee, M.L.; Lee, W.P. Effect of different sand grading on strength properties of cement grout. Constr. Build. Mater. 2013, 38, 348–355. [Google Scholar] [CrossRef]
- HK Construction Standard CS3_2013_updated with amendments; The Government of the Hong Kong Special Administrative Region: Hong Kong, 2013; pp. 51–56.
- Yoo, D.Y.; Kim, S.; Kim, J.J.; Chun, B. An experimental study on pullout and tensile behavior of ultra-high-performance concrete reinforced with various steel fibers. Constr. Build. Mater. 2019, 206, 46–61. [Google Scholar] [CrossRef]
- Sadowski, Ł.; Hoła, J.; Czarnecki, S.; Wang, D. Pull-off adhesion prediction of variable thick overlay to the substrate. Autom. Constr. 2018, 85, 10–23. [Google Scholar] [CrossRef]
- Szemerey-Kiss, B.; Török, Á. Failure mechanisms of repair mortar stone interface assessed by pull-off strength tests. Bull. Eng. Geol. Environ. 2016, 76, 159–167. [Google Scholar] [CrossRef]
- Singh, S.B.; Munjal, P.; Thammishetti, N. Role of water/cement ratio on strength development of cement mortar. J. Build. Eng. 2015, 4, 94–100. [Google Scholar] [CrossRef]
- Bonavetti, V.; Donza, H.; Menéndez, G.; Cabrera, O.; Irassar, E.F. Limestone filler cement in low w/c concrete: A rational use of energy. Cem. Concr. Res. 2003, 33, 865–871. [Google Scholar] [CrossRef]
- Joudi-Bahri, I.; Lecomte, A.; Ouezdou, M.B.; Achour, T. Use of limestone sands and fillers in concrete without superplasticizer. Cem. Concr. Compos. 2012, 34, 771–780. [Google Scholar] [CrossRef]
- Neville, A.M. Properties of Concrete. Fourth and Final Edition Standards; Prentice Hall Pearson: Hoboken, NJ, USA, 1996. [Google Scholar]
- Geng, Z.; Tang, S.; Wang, Y.; He, Z.; Wu, K. The stress relaxation properties of calcium silicate hydrate: A molecular dynamics study. J. Zhejiang Univ. A 2024, 25, 97–115. [Google Scholar] [CrossRef]
- Zain, M.F.b.H.M. The Study on the Physical Properties of Surface Layer Concrete under the Influence of Medium Temperature Environments. Ph.D. Thesis, Kyushu University, Fukuoka, Japan, 1996. [Google Scholar]
- Dias, C.M.R.; Cincotto, M.A.; Savastano, H.; John, V.M. Long-term aging of fiber-cement corrugated sheets—The effect of carbonation, leaching and acid rain. Cem. Concr. Compos. 2008, 30, 255–265. [Google Scholar] [CrossRef]
- Ślusarek, J.; Nowoświat, A.; Olechowska, M. Logistic model of phase transformation of hardening concrete. Materials 2022, 15, 4403. [Google Scholar] [CrossRef] [PubMed]
- Nilimaa, J.; Zhaka, V. An Overview of Smart Materials and Technologies for Concrete Construction in Cold Weather. Eng 2023, 4, 1550–1580. [Google Scholar] [CrossRef]
- Liao, Y.; Wang, S.; Wang, K.; Qunaynah, S.A.; Wan, S.; Yuan, Z.; Xu, P.; Tang, S. A study on the hydration of calcium aluminate cement pastes containing silica fume using non-contact electrical resistivity measurement. J. Mater. Res. Technol. 2023, 24, 8135–8149. [Google Scholar] [CrossRef]
- Liao, Y.; Yao, J.; Deng, F.; Li, H.; Wang, K.; Tang, S. Hydration behavior and strength development of supersulfated cement prepared by calcined phosphogypsum and slaked lime. J. Build. Eng. 2023, 80, 108075. [Google Scholar] [CrossRef]
- Tang, S.; Cai, R.; He, Z.; Cai, X.; Shao, H.; Li, Z.; Yang, H.; Chen, E. Continuous microstructural correlation of slag/superplasticizer cement pastes by heat and impedance methods via fractal analysis. Fractals 2017, 25, 1740003. [Google Scholar] [CrossRef]







| Cement (kg) | 10 mm Aggregate (kg) | 20 mm Aggregate (kg) | Water (kg) |
|---|---|---|---|
| 40 | 103 | 73 | 22 |
| Mix | Cement (kg) | MS or RS (kg) | Water (kg) | w/c |
|---|---|---|---|---|
| Mix 1 | 1.5 | 4.5 | 0.63 | 0.42 |
| Mix 2 | 1.5 | 4.5 | 0.75 | 0.50 |
| Kinds of Mortar | Curing Time (Days) | w/c Ratio | Coefficient a | Coefficient b | R2 (%) |
|---|---|---|---|---|---|
| MSM | 0 | 0.42 | 2.083 | −0.0016 | 96.43 |
| 0.50 | 1.795 | −0.0012 | 93.67 | ||
| 3 | 0.42 | 2.097 | −0.0010 | 98.77 | |
| 0.50 | 1.809 | −0.0008 | 92.02 | ||
| 7 | 0.42 | 2.175 | −0.0013 | 96.50 | |
| 0.50 | 2.051 | −0.0013 | 98.43 | ||
| RSM | 0 | 0.42 | 2.590 | −0.0023 | 99.93 |
| 0.50 | 2.434 | −0.0022 | 98.88 | ||
| 3 | 0.42 | 2.946 | −0.0016 | 97.65 | |
| 0.50 | 2.878 | −0.0022 | 98.05 | ||
| 7 | 0.42 | 3.008 | −0.0013 | 97.06 | |
| 0.50 | 2.960 | −0.0017 | 94.60 |
Disclaimer/Publisher’s Note: The statements, opinions and data contained in all publications are solely those of the individual author(s) and contributor(s) and not of MDPI and/or the editor(s). MDPI and/or the editor(s) disclaim responsibility for any injury to people or property resulting from any ideas, methods, instructions or products referred to in the content. |
© 2024 by the authors. Licensee MDPI, Basel, Switzerland. This article is an open access article distributed under the terms and conditions of the Creative Commons Attribution (CC BY) license (https://creativecommons.org/licenses/by/4.0/).
Share and Cite
Cui, H.; Peng, H.; Yang, W.; Yang, H.; Zhang, C.; Zheng, D. Effect of Thermal Cycles and Curing Age on Bonding Strength of Cement Mortar Using Manufactured Sand. Buildings 2024, 14, 783. https://doi.org/10.3390/buildings14030783
Cui H, Peng H, Yang W, Yang H, Zhang C, Zheng D. Effect of Thermal Cycles and Curing Age on Bonding Strength of Cement Mortar Using Manufactured Sand. Buildings. 2024; 14(3):783. https://doi.org/10.3390/buildings14030783
Chicago/Turabian StyleCui, Hongzhi, Houquan Peng, Weiwei Yang, Haibin Yang, Chaohui Zhang, and Dapeng Zheng. 2024. "Effect of Thermal Cycles and Curing Age on Bonding Strength of Cement Mortar Using Manufactured Sand" Buildings 14, no. 3: 783. https://doi.org/10.3390/buildings14030783
APA StyleCui, H., Peng, H., Yang, W., Yang, H., Zhang, C., & Zheng, D. (2024). Effect of Thermal Cycles and Curing Age on Bonding Strength of Cement Mortar Using Manufactured Sand. Buildings, 14(3), 783. https://doi.org/10.3390/buildings14030783

