Review of the Short-Term Properties of Confined Seawater Sea Sand Concrete Columns under Compression
Abstract
1. Introduction
2. Properties of SWSSC Used in Confinement Studies
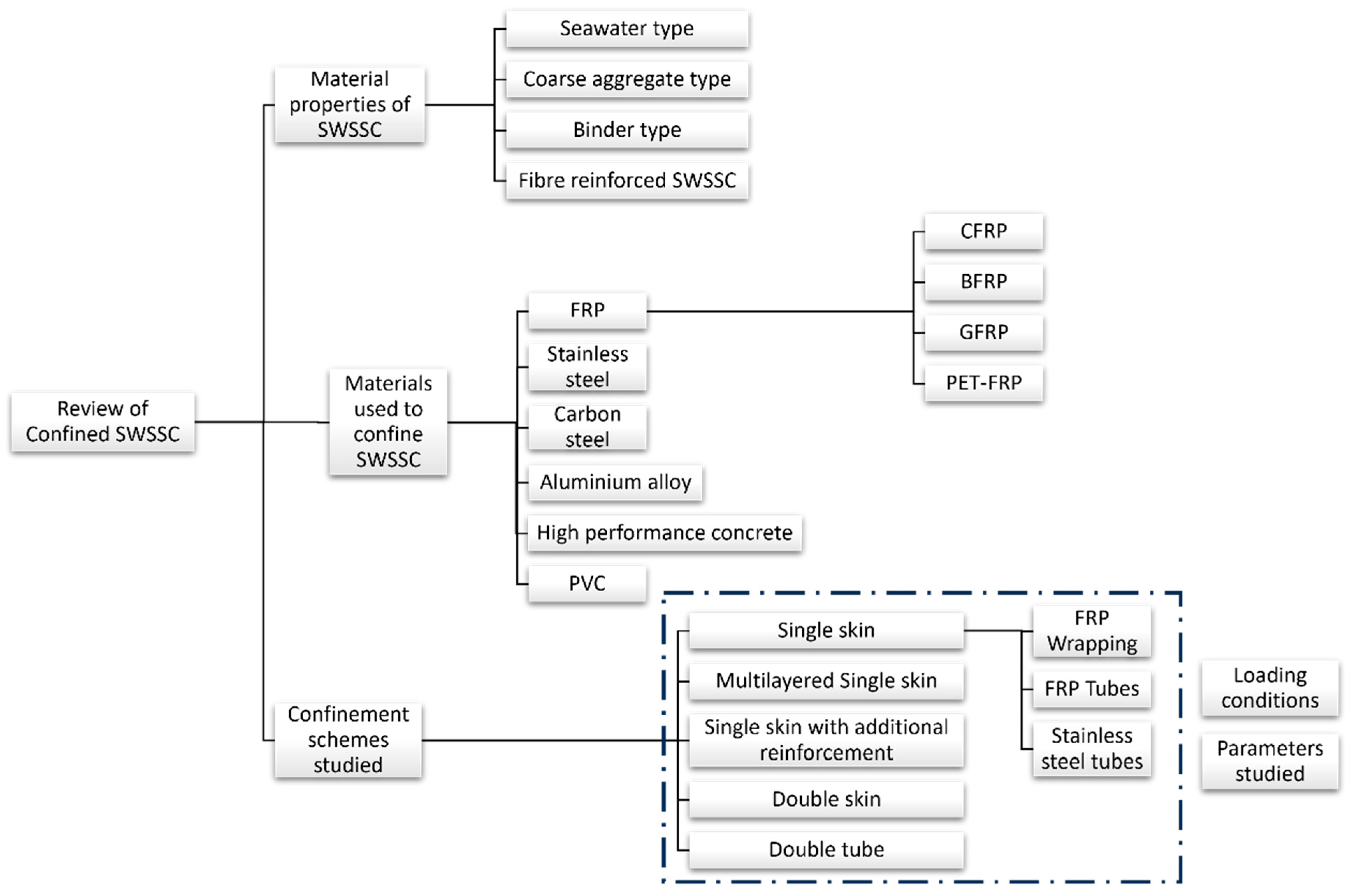
3. Materials Used to Confine SWSSC
3.1. Fibre Reinforced Polymer
3.2. Stainless Steel
3.3. Carbon Steel
3.4. PVC
3.5. Aluminium Alloy
3.6. High Performance Concrete Based Tubes
4. Confining Schemes
4.1. Single-Skin Confinement
4.1.1. SWSSC Confined by FRP Wrapping
4.1.2. SWSSC Confined by FRP Tubes
4.1.3. Single-Skin Confinement of SWSSC by Stainless Steel Tubes
4.2. Single-Skin Multilayered Confinement of SWSSC
4.3. Single-Skin Confinement of SWSSC with Longitudinal Reinforcement
4.4. Double-Skin Confinement of SWSSC
4.5. Double-Tube Confinement of SWSSC
5. Discussion and Recommendations for Future Research
5.1. Concluding Notes
- Due to the presence of corrosion-inducing chloride ions, materials with anti-corrosive properties have been the choice of researchers when it comes to the confinement of SWSSC. So far, FRP in the form of sheets and tubes has been the most used, followed by stainless steel tubes. Furthermore, CFRP is widely preferred over other types of FRP because of its exceptional stiffness.
- In addition to FRP and stainless steel, other materials such as aluminium alloy tubes, PVC tubes, and high-performance concrete tubes have also been used in a few studies. Despite the poor corrosion resistance offered by carbon steel tubes, they have also been innovatively used to confine SWSSC by avoiding their direct contact with SWSSC. This technique has the potential to bring down the cost involved in making confined SWSSC columns.
- Mechanical properties of SWSSC can be effectively enhanced by confining it through the above-mentioned materials, as the composite action from confinement generates superior structural performance. With the employed confinement materials, a total of five different confining schemes have been explored so far, and all of them have their own distinct behaviours under compressive loading.
- For any given confinement scheme, the efficiency of confinement predominantly depends on the material and geometrical properties of the confinement providing materials (such as type and thickness of FRP sheets, fibre orientation and the type of FRP tubes, diameter-to-thickness ratio and cross-sectional shape of the FRP tubes and/or stainless steel tubes, and type of additional reinforcement) and the material properties of SWSSC itself.
- In addition to fully wrapped confinement, partial wrapping and nonuniform wrapping of SWSSC columns have proven to be efficient when only mild strengthening is needed. This has the potential to make strengthening of existing SWSSC columns more economical.
- Distinct stress–strain behaviour is observed for different confinement schemes. For instance, single-skin confined SWSSC columns usually depict a linear elastic region and a hardening region, provided adequate confinement is present. Whereas single-skin multilayered confined SWSSC columns usually have a four-stage stress–strain curve.
- Apart from the conventional natural coarse aggregates, coral aggregates and recycled aggregates have also been used to make confined SWSSC. However, their inclusion deteriorates the mechanical properties of SWSSC, and they behave differently under confinement.
5.2. Future Recommendations
- Majority of the studies on confined SWSSC have used control compressive strength ranging from 30 to 50 MPa. More efforts could be put into studying the behaviour of high performance SWSSC under different confinement schemes with various confinement providing materials. This is needed as high strength concrete is brittle in nature and its ductility can be potentially increased through confinement.
- Most of the research conducted in this area has focused solely on axial concentric monotonic load. More studies are required on different loading conditions such as eccentric compression and cyclic compression to better understand the behaviour of confined SWSSC columns under real life conditions.
- Experimental results obtained could be extensively used to do more parametric studies through finite element modelling.
- To promote the usage of confined SWSSC where high deformation and energy absorption are needed, partial replacement of aggregates with recycled rubber aggregates can be studied. This will be beneficial for marine infrastructures with similar structural requirements. Inclusion of rubber in concrete is associated with enhanced ductility and energy absorption. However, it also results significant reduction in compressive strength due to the soft nature of rubber and its poor bond with cement matrix. Confinement can be a potential solution to restore the loss in mechanical properties.
- Waste materials such as recycled glass, recycled plastic, antimony tailings, and recycled ceramic as replacement for aggregates in SWSSC could be studied under confinement. However, it is known that the inclusion of such materials usually comes with decreased workability, reduced compressive strength and poor bond at ITZ. Confinement not only has the potential to diminish this inferior performance, but it will also support the ideology of reduction in the dependency on virgin materials and make SWSSC more sustainable.
Author Contributions
Funding
Data Availability Statement
Acknowledgments
Conflicts of Interest
References
- Global Cement Concrete and Association. The GCCA 2050 Cement and Concrete Industry Roadmap for Net Zero Concrete; Global Cement Concrete and Association: London, UK, 2021. [Google Scholar]
- UN Water. Summary Progress Update 2021: SDG 6—Water and Sanitation for All; UN Water: Geneva, Switzerland, 2021. [Google Scholar]
- Dhondy, T.; Remennikov, A.; Shiekh, M.N. Benefits of using sea sand and seawater in concrete: A comprehensive review. Aust. J. Struct. Eng. 2019, 20, 280–289. [Google Scholar] [CrossRef]
- Pan, D.; Yaseen, S.A.; Chen, K.; Niu, D.; Leung, C.K.Y.; Li, Z. Study of the influence of seawater and sea sand on the mechanical and microstructural properties of concrete. J. Build. Eng. 2021, 42, 103006. [Google Scholar] [CrossRef]
- Xiao, J.; Qiang, C.; Nanni, A.; Zhang, K. Use of sea-sand and seawater in concrete construction: Current status and future opportunities. Constr. Build. Mater. 2017, 155, 1101–1111. [Google Scholar] [CrossRef]
- Shanmugam, N.; Lakshmi, B. State of the art report on steel–concrete composite columns. J. Constr. Steel Res. 2001, 57, 1041–1080. [Google Scholar] [CrossRef]
- Roeder, C.W.; Cameron, B.; Brown, C.B. Composite action in concrete filled tubes. J. Struct. Eng. 1999, 125, 477–484. [Google Scholar] [CrossRef]
- Han, L.-H.; Li, W.; Bjorhovde, R. Developments and advanced applications of concrete-filled steel tubular (CFST) structures: Members. J. Constr. Steel Res. 2014, 100, 211–228. [Google Scholar] [CrossRef]
- Li, Y.L.; Zhao, X.L. Hybrid double tube sections utilising seawater and sea sand concrete, FRP and stainless steel. Thin-Walled Struct. 2020, 149, 106643. [Google Scholar] [CrossRef]
- Tafsirojjaman, T.; Fawzia, S.; Thambiratnam, D.; Zhao, X. Seismic strengthening of rigid steel frame with CFRP. Arch. Civ. Mech. Eng. 2019, 19, 334–347. [Google Scholar] [CrossRef]
- Ma, C.K.; Apandi, N.M.; Sofrie, C.S.Y.; Ng, J.H.; Lo, W.H.; Awang, A.Z.; Omar, W. Repair and rehabilitation of concrete structures using confinement: A review. Constr. Build. Mater. 2017, 133, 502–515. [Google Scholar] [CrossRef]
- Raza, S.; Khan, M.K.I.; Menegon, S.J.; Tsang, H.-H.; Wilson, J.L. Strengthening and Repair of Reinforced Concrete Columns by Jacketing: State-of-the-Art Review. Sustainability 2019, 11, 3208. [Google Scholar] [CrossRef]
- Kabir, M.; Fawzia, S.; Chan, T.; Badawi, M. Durability of CFRP strengthened steel circular hollow section member exposed to sea water. Constr. Build. Mater. 2016, 118, 216–225. [Google Scholar] [CrossRef]
- Fawzia, S.; Zhao, X.; Al-Mahaidi, R.; Rizkalla, S. Investigation into the bond between CFRP and steel tubes. In FRP Composites in Civil Engineering-CICE 2004: Proceedings of the 2nd International Conference on FRP Composites in Civil Engineering, Adelaide, Australia, 8–10 December 2004; Taylor and Francis: Abingdon, UK, 2004; pp. 733–739. [Google Scholar]
- Parvin, A.; Brighton, D. FRP Composites Strengthening of Concrete Columns under Various Loading Conditions. Polymers 2014, 6, 1040–1056. [Google Scholar] [CrossRef]
- Huang, Z.; Zheng, K.; Wei, Y.; Liu, L.; Tang, X.; Qin, X. Compressive performance of SWSSC-filled CFRP-stainless steel composite tube columns. Constr. Build. Mater. 2023, 385, 131471. [Google Scholar] [CrossRef]
- Younis, A.; Ebead, U.; Suraneni, P.; Nanni, A. Fresh and hardened properties of seawater-mixed concrete. Constr. Build. Mater. 2018, 190, 276–286. [Google Scholar] [CrossRef]
- Dhondy, T.; Remennikov, A.; Sheikh, M.N. Properties and Application of Sea Sand in Sea Sand–Seawater Concrete. J. Mater. Civ. Eng. 2020, 32, 04020392. [Google Scholar] [CrossRef]
- Olutoge, F.A.; Amusan, G.M. The effect of sea water on compressive strength of concrete. Int. J. Eng. Sci. Invent. 2014, 3, 23–31. [Google Scholar]
- Ming, C.U.I.; Ji-Ze, M.A.O.; Dao-Guang, J.I.A.; Ben, L.I. Experimental study on mechanical properties of marine sand and seawater concrete. In Proceedings of the 2014 International Conference on Mechanics and Civil Engineering (ICMCE-14), Wuhan, China, 13–14 December 2014; pp. 106–111. [Google Scholar]
- Nishida, T.; Otsuki, N.; Ohara, H.; Garba-Say, Z.M.; Nagata, T. Some Considerations for Applicability of Seawater as Mixing Water in Concrete. J. Mater. Civ. Eng. 2015, 27, B4014004. [Google Scholar] [CrossRef]
- Zhao, Y.; Hu, X.; Shi, C.; Zhang, Z.; Zhu, D. A review on seawater sea-sand concrete: Mixture proportion, hydration, microstructure and properties. Constr. Build. Mater. 2021, 295, 123602. [Google Scholar] [CrossRef]
- Katano, K.; Takeda, N.; Ishizeki, Y.; Iriya, K. Properties and application of concrete made with sea water and un-washed sea sand. In Proceedings of the Third International conference on Sustainable Construction Materials and Technologies, Kyoto, Japan, 18–21 August 2013. [Google Scholar]
- Li, Y.L.; Zhao, X.L.; Singh, R.R.; Al-Saadi, S. Tests on seawater and sea sand concrete-filled CFRP, BFRP and stainless steel tubular stub columns. Thin-Walled Struct. 2016, 108, 163–184. [Google Scholar] [CrossRef]
- Li, Y.L.; Zhao, X.L.; Singh, R.R.; Al-Saadi, S. Experimental study on seawater and sea sand concrete filled GFRP and stainless steel tubular stub columns. Thin-Walled Struct. 2016, 106, 390–406. [Google Scholar] [CrossRef]
- Li, Y.L.; Zhao, X.L.; Raman, R.S.; Yu, X. Axial compression tests on seawater and sea sand concrete-filled double-skin stainless steel circular tubes. Eng. Struct. 2018, 176, 426–438. [Google Scholar] [CrossRef]
- Li, Y.; Zhao, X.; Raman, R.S. Mechanical properties of seawater and sea sand concrete-filled FRP tubes in artificial seawater. Constr. Build. Mater. 2018, 191, 977–993. [Google Scholar] [CrossRef]
- Wang, G.; Wei, Y.; Miao, K.; Zheng, K.; Dong, F. Axial compressive behavior of seawater sea-sand coral aggregate concrete-filled circular FRP-steel composite tube columns. Constr. Build. Mater. 2022, 315, 125737. [Google Scholar] [CrossRef]
- Zeng, J.J.; Duan, Z.J.; Gao, W.Y.; Bai, Y.L.; Ouyang, L.J. Ouyang. Compressive behavior of FRP-wrapped seawater sea-sand concrete with a square cross-section. Constr. Build. Mater. 2020, 262, 120881. [Google Scholar] [CrossRef]
- Lu, F.; Sun, Y.; Dong, Z.; Zhu, H.; Yan, Z.; Zhang, B. Axial behavior of seawater sea-sand coral concrete-filled basalt fiber-reinforced polymer tubular columns containing pre-bonded basalt fiber-reinforced polymer bars. Adv. Struct. Eng. 2022, 25, 3137–3154. [Google Scholar] [CrossRef]
- Su, R.; Li, X.; Xu, S.-Y. Axial behavior of circular CFST encased seawater sea-sand concrete filled PVC/GFRP tube columns. Constr. Build. Mater. 2022, 353, 129159. [Google Scholar] [CrossRef]
- Dong, Z.; Sun, Y.; Zhu, H.; Wu, G.; Yan, Z.; Lu, F. Behavior and modeling of seawater sea-sand coral aggregate concrete-filled BFRP tubular columns under eccentric compression. Compos. Struct. 2022, 288, 115392. [Google Scholar] [CrossRef]
- Zeng, J.J.; Liao, J.; Liang, W.F.; Guo, Y.C.; Zhou, J.K.; Lin, J.X.; Yan, K. Cyclic axial compression behavior of FRP-confined seawater sea-sand concrete-filled stainless steel tube stub columns. Front. Mater. 2022, 9, 872055. [Google Scholar] [CrossRef]
- Zhang, Y.; Wei, Y.; Miao, K.; Li, B. A novel seawater and sea sand concrete-filled FRP-carbon steel composite tube column: Cyclic axial compression behaviour and modelling. Eng. Struct. 2022, 252, 113531. [Google Scholar] [CrossRef]
- Wei, Y.; Zhu, C.; Miao, K.; Zheng, K.; Tang, Y. Compressive performance of concrete-filled steel tube columns with in-built seawater and sea sand concrete-filled FRP tubes. Constr. Build. Mater. 2022, 317, 125933. [Google Scholar] [CrossRef]
- Wei, Y.; Xu, P.; Zhang, Y.; Wang, G.; Zheng, K. Compressive behaviour of FRP-steel wire mesh composite tubes filled with seawater and sea sand concrete. Constr. Build. Mater. 2022, 314, 125608. [Google Scholar] [CrossRef]
- Xie, J.; Wang, Z.; Yan, J.-B. Axial compression behaviours of seawater and sea sand concrete-filled GFRP stub tubes at arctic low temperatures. Thin-Walled Struct. 2022, 170, 108566. [Google Scholar] [CrossRef]
- Li, P.; Zhou, Y.; Yang, T.; Yang, Q.; Xing, F. Axial compressive behavior of seawater sea-sand recycled aggregate concrete-filled double-skin non-corrosive tubular columns with square cross-section. Thin-Walled Struct. 2021, 167, 108213. [Google Scholar] [CrossRef]
- Cai, Y.; Kwan, A.K. Behaviour and design of cold-formed austenitic stainless steel circular tubes infilled with seawater sea-sand concrete. Eng. Struct. 2021, 241, 112435. [Google Scholar] [CrossRef]
- Wei, Y.; Bai, J.; Zhang, Y.; Miao, K.; Zheng, K. Compressive performance of high-strength seawater and sea sand concrete-filled circular FRP-steel composite tube columns. Eng. Struct. 2021, 240, 112357. [Google Scholar] [CrossRef]
- Shan, B.; Xu, C.; Lai, D.D.; Xiao, Y.; Li, T.Y. Experimental research on compressive behavior of seawater and sea sand concrete-filled RPC tubes. Eng. Struct. 2020, 222, 111117. [Google Scholar] [CrossRef]
- Zhang, Y.; Wei, Y.; Bai, J.; Wu, G.; Dong, Z. A novel seawater and sea sand concrete filled FRP-carbon steel composite tube column: Concept and behaviour. Compos. Struct. 2020, 246, 112421. [Google Scholar] [CrossRef]
- Zeng, J.J.; Gao, W.Y.; Duan, Z.J.; Bai, Y.L.; Guo, Y.C.; Ouyang, L.J. Axial compressive behavior of polyethylene terephthalate/carbon FRP-confined seawater sea-sand concrete in circular columns. Constr. Build. Mater. 2020, 234, 117383. [Google Scholar] [CrossRef]
- Wang, J.; Feng, P.; Hao, T.; Yue, Q. Axial compressive behavior of seawater coral aggregate concrete-filled FRP tubes. Constr. Build. Mater. 2017, 147, 272–285. [Google Scholar] [CrossRef]
- Dong, Z.; Wu, G.; Zhao, X.L.; Zhu, H.; Wei, Y.; Yan, Z. Mechanical properties of discrete BFRP needles reinforced seawater sea-sand concrete-filled GFRP tubular stub columns. Constr. Build. Mater. 2020, 244, 118330. [Google Scholar] [CrossRef]
- Li, Y.-L.; Zhao, X.-L.; Raman, R.S. Behaviour of seawater and sea sand concrete filled FRP square hollow sections. Thin-Walled Struct. 2020, 148, 106596. [Google Scholar] [CrossRef]
- Chen, G.; Liu, P.; Jiang, T.; He, Z.; Wang, X.; Lam, L.; Chen, J.F. Effects of natural seawater and sea sand on the compressive behaviour of unconfined and carbon fibre-reinforced polymer-confined concrete. Adv. Struct. Eng. 2020, 23, 3102–3116. [Google Scholar] [CrossRef]
- Yang, J.; Wang, J.; Wang, Z. Axial compressive behavior of partially CFRP confined seawater sea-sand concrete in circular columns—Part I: Experimental study. Compos. Struct. 2020, 246, 112373. [Google Scholar] [CrossRef]
- Yang, J.; Lu, S.; Wang, J.; Wang, Z. Behavior of CFRP partially wrapped square seawater sea-sand concrete columns under axial compression. Eng. Struct. 2020, 222, 111119. [Google Scholar] [CrossRef]
- Yang, J.; Wang, J.; Wang, Z. Behavior and modeling of CFRP nonuniformly wrapped circular seawater sea-sand concrete (SSC) columns under axial compression. Constr. Build. Mater. 2021, 299, 123887. [Google Scholar] [CrossRef]
- Junlong, Y.; Jizhong, W.; Shiwei, L.; Zhang, L.; Ziru, W. Axial compressive behavior of FRP nonuniformly wrapped seawater sea-sand concrete in square columns. Acta Mater. Compos. Sin. 2022, 39, 2801–2809. [Google Scholar]
- Yang, J.; Wang, Z.; Wang, J. Compressive Performance of Partially CFRP-Confined Square Seawater–Sea Sand Concrete Columns with Internal Epoxy-Coated Reinforcement. J. Compos. Constr. 2022, 26, 04021073. [Google Scholar] [CrossRef]
- Liao, J.; Zeng, J.J.; Quach, W.M.; Zhou, J.K. Axial compressive behavior and model assessment of FRP-confined seawater sea-sand concrete-filled stainless steel tubular stub columns. Compos. Struct. 2023, 311, 116782. [Google Scholar] [CrossRef]
- Huang, Z.; Zheng, K.; Wei, Y.; Wang, G.; Zhang, Y. Axial compressive behaviour of SWSSC-filled stainless steel tube columns with in-built CFRP or stainless steel tubes. J. Build. Eng. 2023, 72, 106543. [Google Scholar] [CrossRef]
- Sun, J.; Wei, Y.; Wang, Z.; Li, X. A new composite column of FRP-steel-FRP clad tube filled with seawater sea-sand coral aggregate concrete: Concept and compressive behavior. Constr. Build. Mater. 2021, 301, 124096. [Google Scholar] [CrossRef]
- Gaofei, W.; Yang, W.; Kunting, M.; Fenghui, D.; Kaiqi, Z. Experimental study on axial compression performance of CFRP-steel composite tube filled circular seawater sea-sand coral concrete columns. Acta Mater. Compos. Sin. 2022, 39, 3982–3993. [Google Scholar]
- Chen, Z.; Qin, W.; Liang, Y.; Zhou, J. Axial compressive performance of seawater sea sand concrete-filled CFRP-stainless steel tube short columns. Constr. Build. Mater. 2023, 369, 130501. [Google Scholar] [CrossRef]
- Chen, Z.; Xu, W.; Zhou, J. Mechanical performance of marine concrete filled CFRP-aluminum alloy tube columns under axial compression: Experiment and finite element analysis. Eng. Struct. 2022, 272, 114993. [Google Scholar] [CrossRef]
- Chen, Z.; Li, J.; Zhou, J. Axial compressive behavior of built-in carbon-steel marine concrete-filled stainless steel tubular columns. J. Constr. Steel Res. 2023, 202, 107796. [Google Scholar] [CrossRef]
- Zhang, Q.; Xiao, J.; Zhang, P.; Zhang, K. Mechanical behaviour of seawater sea-sand recycled coarse aggregate concrete columns under axial compressive loading. Constr. Build. Mater. 2019, 229, 117050. [Google Scholar] [CrossRef]
- Sun, J.; Ding, Z.; Wei, Y.; Li, X.; Wang, Z. Compressive behavior of GFRP tube filled with structural polypropylene fiber reinforced seawater coral aggregates concrete. Constr. Build. Mater. 2021, 312, 125372. [Google Scholar] [CrossRef]
- Ying, J.; Huang, Y.; Qin, L.; Gao, X.; Wang, Z. Axial compressive behavior of GFRP tube confined seawater coral aggregate concrete reinforced with epoxy-coated bars. Compos. Struct. 2021, 266, 113807. [Google Scholar] [CrossRef]
- Yuan, F.; Song, J.; Wu, Y. Effect of compression casting method on the axial compressive behavior of FRP-confined seawater sea-sand concrete columns. Eng. Struct. 2023, 290, 116311. [Google Scholar] [CrossRef]
- Li, P.; Yang, T.; Zeng, Q.; Xing, F.; Zhou, Y. Axial stress–strain behavior of carbon FRP-confined seawater sea-sand recycled aggregate concrete square columns with different corner radii. Compos. Struct. 2021, 262, 113589. [Google Scholar] [CrossRef]
- Gao, X.; Zhang, Z.; Xu, J.; Su, S. Mechanical behavior of CFRP confined seawater sea-sand recycled concrete-filled circular aluminum-alloy tube columns under axial compression. Constr. Build. Mater. 2023, 397, 132355. [Google Scholar] [CrossRef]
- Zhou, W.; Feng, P.; Yang, J.-Q. Advances in coral aggregate concrete and its combination with FRP: A state-of-the-art review. Adv. Struct. Eng. 2021, 24, 1161–1181. [Google Scholar] [CrossRef]
- Cao, Y.; Bao, J.; Zhang, P.; Sun, Y.; Cui, Y. A state-of-the-art review on the durability of seawater coral aggregate concrete exposed to marine environment. J. Build. Eng. 2022, 60, 105199. [Google Scholar] [CrossRef]
- He, S.; Jiao, C.; Niu, Y.; Li, S. Utilizing of coral/sea sand as aggregates in environment-friendly marine mortar: Physical properties, carbonation resistance and microstructure. Case Stud. Constr. Mater. 2022, 16, e00981. [Google Scholar] [CrossRef]
- Wang, B.; Yan, L.; Fu, Q.; Kasal, B. A comprehensive review on recycled aggregate and recycled aggregate concrete. Resour. Conserv. Recycl. 2021, 171, 105565. [Google Scholar] [CrossRef]
- Guo, H.; Shi, C.; Guan, X.; Zhu, J.; Ding, Y.; Ling, T.C.; Zhang, H.; Wang, Y. Durability of recycled aggregate concrete—A review. Cem. Concr. Compos. 2018, 89, 251–259. [Google Scholar] [CrossRef]
- ASTM D1141–98; Standard Practice for the Preparation of Substitute Ocean Water. ASTM International: West Conshohocken, PA, USA, 2013; p. 2013.
- Huang, H.; Yuan, Y.; Zhang, W.; Zhu, L. Property Assessment of High-Performance Concrete Containing Three Types of Fibers. Int. J. Concr. Struct. Mater. 2021, 15, 1–17. [Google Scholar] [CrossRef]
- Mohammed, T.U.; Hamada, H.; Yamaji, T. Performance of seawater-mixed concrete in the tidal environment. Cem. Concr. Res. 2004, 34, 593–601. [Google Scholar] [CrossRef]
- Sonnenschein, R.; Gajdosova, K.; Holly, I. FRP Composites and their Using in the Construction of Bridges. Procedia Eng. 2016, 161, 477–482. [Google Scholar] [CrossRef]
- Zaman, A.; Gutub, S.A.; Wafa, M.A. A review on FRP composites applications and durability concerns in the construction sector. J. Reinf. Plast. Compos. 2013, 32, 1966–1988. [Google Scholar] [CrossRef]
- Abbood, I.S.; aldeen Odaa, S.; Hasan, K.F.; Jasim, M.A. Properties evaluation of fiber reinforced polymers and their constituent materials used in structures—A review. Mater. Today Proc. 2021, 43, 1003–1008. [Google Scholar]
- Fahmy, M.F.; Wu, Z. Evaluating and proposing models of circular concrete columns confined with different FRP composites. Compos. Part B Eng. 2010, 41, 199–213. [Google Scholar] [CrossRef]
- Asyraf, M.R.M.; Ishak, M.R.; Syamsir, A.; Amir, A.L.; Nurazzi, N.M.; Norrrahim, M.N.F.; Asrofi, M.; Rafidah, M.; Ilyas, R.A.; Rashid, M.Z.A.; et al. Filament-wound glass-fibre reinforced polymer composites: Potential applications for cross arm structure in transmission towers. Polym. Bull. 2023, 80, 1059–1084. [Google Scholar] [CrossRef]
- Dong, Z.; Han, T.; Zhang, B.; Zhu, H.; Wu, G.; Wei, Y.; Zhang, P. A review of the research and application progress of new types of concrete-filled FRP tubular members. Constr. Build. Mater. 2021, 312, 125353. [Google Scholar] [CrossRef]
- Attari, N.; Amziane, S.; Chemrouk, M. Flexural strengthening of concrete beams using CFRP, GFRP and hybrid FRP sheets. Constr. Build. Mater. 2012, 37, 746–757. [Google Scholar] [CrossRef]
- Han, L.-H.; Xu, C.-Y.; Tao, Z. Performance of concrete filled stainless steel tubular (CFSST) columns and joints: Summary of recent research. J. Constr. Steel Res. 2019, 152, 117–131. [Google Scholar] [CrossRef]
- Lam, D.; Gardner, L. Structural design of stainless steel concrete filled columns. J. Constr. Steel Res. 2008, 64, 1275–1282. [Google Scholar] [CrossRef]
- Gardner, L. The use of stainless steel in structures. Prog. Struct. Eng. Mater. 2005, 7, 45–55. [Google Scholar] [CrossRef]
- Fakharifar, M.; Chen, G. FRP-confined concrete filled PVC tubes: A new design concept for ductile column construction in seismic regions. Constr. Build. Mater. 2017, 130, 1–10. [Google Scholar] [CrossRef]
- Feng, C.; Yu, F.; Fang, Y. Mechanical behavior of PVC tube confined concrete and PVC-FRP confined concrete: A review. Structures 2021, 31, 613–635. [Google Scholar] [CrossRef]
- Abdulla, N.A. Concrete filled PVC tube: A review. Constr. Build. Mater. 2017, 156, 321–329. [Google Scholar] [CrossRef]
- Zhou, F.; Young, B. Tests of concrete-filled aluminum stub columns. Thin-Walled Struct. 2008, 46, 573–583. [Google Scholar] [CrossRef]
- Gkantou, M.; Georgantzia, E.; Kadhim, A.; Kamaris, G.S.; Sadique, M. Geopolymer concrete-filled aluminium alloy tubular cross-sections. Structures 2023, 51, 528–543. [Google Scholar] [CrossRef]
- Georgantzia, E.; Gkantou, M.; Kamaris, G.S. Aluminium alloys as structural material: A review of research. Eng. Struct. 2021, 227, 111372. [Google Scholar] [CrossRef]
- Gardner, L.; Ashraf, M. Structural design for non-linear metallic materials. Eng. Struct. 2006, 28, 926–934. [Google Scholar] [CrossRef]
- Chybiński, M.; Polus, Ł.; Szumigała, M. Aluminium members in composite structures—A review. Arch. Civ. Eng. 2022, 68, 253–274. [Google Scholar] [CrossRef]
- Dugat, J.; Roux, N.; Bernier, G. Mechanical properties of reactive powder concretes. Mater. Struct. 1996, 29, 233–240. [Google Scholar] [CrossRef]
- Sanjuán, M.; Andrade, C. Reactive Powder Concrete: Durability and Applications. Appl. Sci. 2021, 11, 5629. [Google Scholar] [CrossRef]
- Liu, S.G.; Xiang, Z.; Huang, R.H.; Wang, D.H.; Ju, Y.Z. The durability of reactive powder concrete: A review. In IOP Conference Series: Materials Science and Engineering, Proceedings of the 7th Global Conference on Materials Science and Engineering, Xi’an, China, 1–4 November 2018; IOP Publishing: Bristol, UK, 2019; p. 012047. [Google Scholar]
- Li, G. Experimental study of FRP confined concrete cylinders. Eng. Struct. 2006, 28, 1001–1008. [Google Scholar] [CrossRef]
- Al-Saadi, A.U.; Aravinthan, T.; Lokuge, W. Effects of fibre orientation and layup on the mechanical properties of the pultruded glass fibre reinforced polymer tubes. Eng. Struct. 2019, 198, 109448. [Google Scholar] [CrossRef]
- Mateen, M.; Shankar, D.R.; Hussain, M.M. A Review on Cruciform Shaped FRP Composites Laminates under Biaxial Testing. Mater. Today Proc. 2018, 5, 20837–20841. [Google Scholar] [CrossRef]
- Zhang, W.; Liu, X.; Huang, Y.; Tong, M.-N. Reliability-based analysis of the flexural strength of concrete beams reinforced with hybrid BFRP and steel rebars. Arch. Civ. Mech. Eng. 2022, 22, 171. [Google Scholar] [CrossRef]
- Zhao, X.L.; Han, L.H. Double skin composite construction. Prog. Struct. Eng. Mater. 2006, 8, 93–102. [Google Scholar] [CrossRef]









| Reference | Binder | Seawater Type | Aggregates | Water to Binder Ratio | Compressive Strength (MPa) | Confinement Scheme Studied |
|---|---|---|---|---|---|---|
| [24] | AAS | Natural SW | Ordinary aggregates | 0.53 | 32.8 * to 39.4 * | SS and DS |
| [25] | AAS | Natural SW | Ordinary aggregates | 0.53 | 31.4 * | SS and DS |
| [26] | AAS | Natural SW | Ordinary aggregates | 0.53 | 42 * | SS and DS |
| [27] | AAS | Natural SW | Ordinary aggregates | 0.53 | 29.8 * to 39.4 * | SS and DS |
| [9] | AAS | Natural SW | Ordinary aggregates | 0.53 | 28.7 * and 29.9 * | SS and DT |
| [28] | OPC | Natural SW | Coral aggregates | 0.49 | 42.1 * | SS and SSM |
| [29] | OPC | Natural SW | Ordinary aggregates | 0.43 | 40.5 # | SS |
| Artificial SW | 39.1 # | |||||
| [30] | OPC | Artificial SW | Coral aggregates | 0.55 | 18.6 * | SS and SSwAR |
| [31] | OPC | Artificial SW | Ordinary aggregates | 0.54 and 0.4 | 34.16 # and 46.86 # | DT |
| [32] | OPC | Artificial SW | Coral aggregates | 0.55 | 18.6 * | SS and SSwAR |
| [33] | OPC | Artificial SW | Ordinary aggregates | 0.54 | 52 * | SS and SSM |
| [34] | OPC | Natural SW | Ordinary aggregates | 0.51 | 36.4 † | SS and SSM |
| [35] | OPC | Natural SW | Ordinary aggregates | 0.49 | 51.0 † and 31.3 * | DT |
| [36] | OPC | Natural SW | Ordinary aggregates | 0.49 | 45.1 * | SS and SSM |
| [37] | OPC | Natural SW | Ordinary aggregates | 0.50 | 66.8 † to 35.8 † (at −60° to 20°) | SS |
| [38] | OPC | Natural SW | Recycled aggregates | 0.50 | 36.5 | DS |
| [39] | OPC | Natural SW | Ordinary aggregates | 0.56 and 0.32 | 31.25 * and 75 * | SS |
| [40] | OPC | Natural SW | Ordinary aggregates | 0.31 | 64 * | SS and SSM |
| [41] | OPC | Artificial SW | Ordinary aggregates | 0.38 | 40.3 * | SSwAR |
| [42] | OPC | Natural SW | Ordinary aggregates | 0.49 | 43.8 * | SS and SSM |
| [43] | OPC | Natural SW | Ordinary aggregates | 0.43 | 39.14 * | SS |
| [44] | OPC | Artificial SW | Coral aggregates | 0.78 | 59.02 † | SS |
| [45] | OPC | Natural SW | Ordinary aggregates | 0.35 | 55.1 * | SS |
| Coral aggregates | 0.55 | 41.7 * | ||||
| Coral aggregates with BFRP needles | 0.55 | 38.7 * | ||||
| [46] | AAS | Natural SW | Ordinary aggregates | 0.53 | 46.2 * | SS |
| [47] | OPC | Natural SW | Ordinary aggregates | 0.48 | 44.6 * | SS |
| [48] | OPC | Natural SW | Ordinary aggregates | 0.58 | 32.81 * | SS |
| [49] | OPC | Natural SW | Ordinary aggregates | 0.58 | 36.25 # | SS |
| [50] | OPC | Natural SW | Ordinary aggregates | 0.58 | 32.8 * | SS |
| [51] | OPC | Natural SW | Ordinary aggregates | 0.58 | 36.3 # | SS |
| [52] | OPC | Natural SW | Ordinary aggregates | 0.58 | 34.8 * | SS and SSwAR |
| [16] | OPC | Artificial SW | Ordinary aggregates | 0.49 | 34.1 * | SS and SSM |
| [53] | OPC | Artificial SW | Ordinary aggregates | 0.55 and 0.26 | 52 * and 89.7 * | SS and SSM |
| [54] | OPC | Artificial SW | Ordinary aggregates | 0.49 | 34.9 * | SS and DT |
| [55] | OPC | Natural SW | Coral aggregates | 0.50 | 37.25 † and 27.09 # | SS and SSM |
| [56] | OPC | Natural SW | Coral aggregates | 0.49 | 42.1 * | SS and SSM |
| [57] | OPC | Natural SW | Ordinary aggregates | 0.41 | 44.2 † and 34.9 * | SS and SSM |
| [58] | OPC | Natural SW | Ordinary aggregates | 0.41 | 49.5 † | SS and SSM |
| [59] | OPC | Natural SW | Sea stone | 0.43 | 51.08 † | SS, DT and SSwAR |
| [60] | OPC | Artificial SW | Ordinary aggregates | 0.47 | 35.8 † | SSwAR |
| Recycled aggregates | 0.47 | 37.7 † | ||||
| [61] | OPC | Natural SW | Coral aggregates | 0.50 | ≈45 † | SS |
| OPC | Natural SW | Coral aggregates and SPF | 0.50 | ≈55 † to 63 † | ||
| [62] | OPC | Natural SW | Coral aggregates | 0.48 | 31.5 † and 27.8 # | SS and SSwAR |
| [63] | OPC | Artificial SW | Ordinary aggregates | 0.46 | 37.7 * (Normal casting) | SS |
| 0.46 | 52.2 * (Compression casting) | |||||
| [64] | OPC | Natural SW | Recycled aggregates | 0.50 | - | SS |
| [65] | OPC | Artificial SW | Recycled aggregates | 0.37 and 0.51 | 32.82 and 47.98 | SS and SSM |
| Reference | Bulk Density (kg/m3) | Water Absorption (%) |
|---|---|---|
| [28] | 920 | - |
| [44] | 978 | 11.2 |
| [55] | 1009 | 11.86 |
| [61] | 1009 | 11.86 |
| [62] | 971 | 13.2 |
| Reference | Shape | Tube Type | Manufacturing Process | Fibre Volume Fraction | Orientation of Fibres | Diameter or Side (mm) | Diameter-to-Thickness or Side Ratio | Confinement Scheme Studied |
|---|---|---|---|---|---|---|---|---|
| [24] | Circular | CFRP | Filament winding | 60% | 20%, 40%, and 40% fibres at angles of 15°, ±40°, and ±75° | 50.5 to 158.1 | 17.97 to 56.67 | Single-skin and double-skin (as inner and outer tube) |
| BFRP | 50 to 157.7 | 18.45 to 58.19 | ||||||
| [25] | Circular | GFRP | Filament winding | - | 20%, 40%, and 40% fibres at angles of 15°, ±40°, and ±75° | 51.1 to 158.3 | 16 to 54.11 | |
| [27] | Circular | GFRP | Filament winding | - | 20%, 40%, and 40% fibres at angles of ±15°, ±40°, and ±75° | 51.1 to 158 | 16.64 to 50.32 | Single-skin and double-skin (as inner and outer tube) |
| CFRP | 50.5 to 158 | 17.97 to 56.63 | ||||||
| BFRP | 50 to 158 | 18.45 to 58.3 | ||||||
| [9] | Circular | BFRP | Filament winding | - | 20%, 40%, and 40% fibres at angles of 15°, ±40°, and ±75° | 50 to 158 | 18.45 to 58.3 | Single-skin and double-tube (as inner and outer tube) |
| CFRP | 99.9 | 35.55 | Double-tube (as inner tube) | |||||
| [30] | Circular | BFRP | In situ | - | ±67.5° | 150 | 31.91 and 65.22 | Single-skin and single-skin with additional reinforcement |
| [32] | Circular | BFRP | In situ | - | ±67.5° | 150 | 42.86 and 65.22 | |
| [31] | Circular | GFRP | - | - | - | 106 to 158 | 34.19 to 51.49 | Double-tube (as inner tube) |
| [37] | Circular | GFRP | Filament winding | 68% | 40% and 60% at angles of ±80° and ±60° | 100 to 200 | 20 to 50 | Single-skin |
| [44] | Circular | GFRP | Filament winding | 48% | 40% and 60% at angles of ±80° and ±60° | 300 | 42.42 to 78.61 | Single-skin |
| [45] | Circular | GFRP | Filament winding | 65% | ±63° | 150 | 37.5 and 50 | Single-skin |
| [61] | Circular | GFRP | Filament winding | - | ±70° | 130 | 32.5 to 65 | Single-skin |
| [62] | Circular | GFRP | Filament winding | 55% | ±80° | 200 | 33.33 to 50 | Single-skin with additional reinforcement |
| [55] | Circular | GFRP | Filament winding | - | ±70° | 127 to 133 | 31.75 to 66.5 | Single skin multilayered |
| [46] | Square | GFRP | Filament winding | - | 20%, 40%, and 40% fibres at angles of ±15°, ±40°, and ±75° | 53.1 and 55.6 | 19.86 and 32.58 | Single-skin |
| CFRP | 53.4 and 56 | 18.54 and 33.58 | ||||||
| BFRP | 53.4 and 56.3 | 17.76 and 31.05 |
| References | FRP Type | Nominal Thickness of FRP Sheet (mm) | Tensile Strength (MPa) | Tensile Rupture Strain (%) | Average Elastic Modulus (GPa) | Confinement Scheme Studied |
|---|---|---|---|---|---|---|
| [28] | CFRP | 0.167 | 3475.9 | 1.42 | 243.5 | Single-skin multilayered |
| BFRP | 0.167 | 1673.6 | 2.36 | 71.1 | ||
| [29] | PET-FRP | 0.841 | 770 | 9.39 | 19 and 7.3 | Single-skin (full wrapping) |
| CFRP | 0.167 | 4308.6 | 1.81 | 238.3 | ||
| [31] | CFRP | 0.167 | 3543 | 1.74 | 243 | Double-tube |
| [33] | CFRP | 0.167 | 4324.20 | 1.85 | 233.4 | Single-skin multilayered |
| [34] | CFRP | 0.167 | 3475.9 | 1.29 | 269.4 | Single-skin multilayered |
| BFRP | 0.167 | 1673.6 | 2.36 | 71 | ||
| [36] | CFRP | 0.167 | 3331.7 | 1.39 | 239.8 | Single-skin (full wrapping) and single-skin multilayered |
| BFRP | 0.167 | 1641.8 | 2.22 | 74.3 | ||
| [38] | CFRP | 0.167 | 3930 | 1.61 | 244 | Double-skin |
| [40] | BFRP | 0.167 | 1642.8 | 2.22 | 74.8 | Single-skin multilayered |
| CFRP | 0.167 | 3331.7 | 1.39 | 239.8 | ||
| [42] | BFRP | 0.167 | 1642.8 | 2.22 | 74.8 | Single-skin multilayered |
| CFRP | 0.167 | 3331.7 | 1.39 | 239.8 | ||
| [43] | CFRP | 0.167 | 4308.6 | 1.91 | 238.3 | Single-skin (full wrapping) |
| PET-FRP | 0.841 | 770 | 9.39 | 18.9 and 7.3 | ||
| [47] | CFRP | 0.167 | 4918 | 1.99 | 247 | Single-skin (full wrapping) |
| [48,49,50,51] | CFRP | 0.167 | 3717 | 1.61 | 235 | Single-skin (full, partial, and non-uniform wrapping) |
| [52] | CFRP | 0.167 | 4351 | 1.85 | 239 | Single-skin and single-skin with additional reinforcement |
| [16] | CFRP | 0.167 | 3475.9 | 1.29 | 270.2 | Single-skin multilayered |
| [53] | CFRP | 0.167 | 4324.2 | 1.85 | 233.4 | Single-skin multilayered |
| [56] | CFRP | - | 3475.9 | 1.42 | 243.5 | Single-skin multilayered |
| [57] | CFRP | 0.167 | 3667.5 | 1.8 | 240 | Single-skin (full wrapping) and single-skin multilayered |
| [58] | CFRP | 0.167 | 3667.5 | - | 240 | Single-skin multilayered |
| [63] | CFRP | 0.167 | 4525 | 1.71 | 265 | Single-skin (full wrapping and partial wrapping) |
| [64] | CFRP | 0.167 | 3927 | 1.62 | 242 | Single-skin (full wrapping) |
| [65] | CFRP | 0.167 | 3530 | 1.60 | 230 | Single-skin multilayered |
| References | Shape | Diameter or Side (mm) | Diameter-to-Thickness (or Side) Ratio | f0.2 Range (MPa) | fu Range (MPa) | Confinement Scheme |
|---|---|---|---|---|---|---|
| [24] | Circular | 50.9 to 168.4 | 16.58 to 52.3 | 225.7 to 281.1 | 562.1 to 656.4 | Single-skin and double-skin (as inner and/or outer tube) |
| [25] | Circular | 47.9 to 168.4 | 16.99 to 53.4 | 270.3 to 324.4 | 575.3 to 647.2 | Single-skin and double-skin (as inner and/or outer tube) |
| [26] | Circular | 49.6 to 202.7 | 16.58 to 101.86 | 226 to 398.9 | 562.1 to 732.4 | Single-skin and double-skin (as inner and outer tube) |
| [27] | Circular | 47.9 to 102 | 16.99 to 35.05 | 225.7 to 324.4 | - | Double-skin (as inner tube) |
| [9] | Circular | 49.6 to 168.4 | 16.58 to 52.3 | 226 to 398.9 | 562.1 to 732.4 | Double-skin (as inner and/or outer tube) |
| Square | 50.4 and 50.8 | 17.82 and 32.73 | 400.4 and 500.4 | 686.1 and 688.7 | Double-skin (as inner tube) | |
| [33,53] | Circular | 219 | 54.75 and 109.5 | 294.9 and 304.9 | 626.3 and 679.6 | Single-skin and single-skin multilayered |
| [38] | Circular | 38 to 114 | 19 to 57 | 264 to 320.3 | 676.2 to 752.9 | Double-skin (as inner tube) |
| [39] | Circular | 60.5 to 165.2 | 21.61 to 55.07 | 288 to 333 | 686.7 to 742.5 | Single-skin |
| [54] | Circular | 76 to 159 | 15.2 to 53 | 257.2 to 316.3 | 657.2 to 793.6 | Single-skin and double-tube (inner and outer tube) |
| [57] | Circular | 159 | 64.9 | 337.1 | 665.8 | Single-skin and single-skin multilayered |
| [59] | Circular | 219 | 73 | 361 | 674 | Single-skin, single-skin with additional reinforcement, and double-tube (as outer tube) |
| References | Shape | Diameter or Side (mm) | Diameter-to-Thickness (or Side) Ratio | fy (MPa) | Es (GPa) | Confinement Scheme |
|---|---|---|---|---|---|---|
| [59] | Circular | 89 | 44.50 | 315 | 174 | Double-tube |
| Square | 80 | 40.00 | 312 | 176 | ||
| [56] | Circular | 133 | 29.56 | - | - | Single-skin multilayered |
| Circular | 159 | 35.33 | - | - | ||
| [55] | Circular | 133 | 33.25 | 445 ± 15 | 205 ± 5 | Single-skin multilayered |
| Circular | 133 | 26.60 | 445 ±15 | 205 ± 5 | ||
| Circular | 133 | 22.17 | 445 ± 15 | 205 ± 5 | ||
| [40,42] | Circular | 133 | 29.56 | 328.5 | - | Single-skin multilayered |
| Circular | 133 | 22.17 | 306.4 | - | ||
| Circular | 133 | 19.00 | 311.9 | - | ||
| [35] | Circular | 159 | 35.33 | 317.6 | - | Double-tube |
| Circular | 159 | 26.50 | 325.4 | - | ||
| [31] | Circular | 133 | 29.56 | 478.3 | 205 | Single-skin multilayered |
| [31] | Circular | 219 | 34.76 | 412.2 | - | Double-tube |
| Circular | 273 | 34.51 | 381.8 | - | ||
| [28] | Circular | 133 | 29.56 | 317.6 | - | Single-skin multilayered |
| Circular | 159 | 35.33 | 317.6 | - | ||
| Circular | 159 | 26.50 | 325.4 | - | ||
| Circular | 108 | 27.00 | 337.4 | 206.7 | ||
| Circular | 133 | 26.60 | 264.4 | 203.6 | ||
| Circular | 200 | 33.33 | 302.6 | 201.1 |
| PVC Tube Type | Diameter (mm) | D/t | Hoop Tensile Strength (MPa) |
|---|---|---|---|
| PVC double-wall corrugated tube | 110 to 200 | 22.58 to 29.62 | 11.1 to 20.04 |
| PVC tube | 110 and 160 | 31.33 and 44.32 | 19.27 and 33.61 |
| Reference | Diameter (mm) | Thickness (mm) | Height (mm) | D/t | Average Yield Strength (MPa) | Average Ultimate Strength (MPa) | Elastic Modulus (GPa) | Confinement Scheme Studied |
|---|---|---|---|---|---|---|---|---|
| [38] | 76 | 2 | 300 | 38 | 199.8 | - | 69.2 | Double-skin (as inner tube) |
| [58] | 150 | 3 | 600 | 50 | 190 | 217.3 | 69.8 | Single-skin multilayered |
| [65] | 130 | 5 and 10 | 390 | 26 and 13 | 269 | 295.8 | 69.8 | Single-skin multilayered |
| Reference | Wrapping Material | No of Layers | Cross Section of Specimen | Diameter or Side (mm) | Height (mm) | Increase in 28th Day Compressive Strength after Confinement |
|---|---|---|---|---|---|---|
| [29] | CFRP | 1 | Square | 150 | 300 | 19% |
| CFRP | 2 | 70% | ||||
| CFRP | 3 | 116% | ||||
| PET-FRP | 1 | −10% | ||||
| PET-FRP | 2 | 35% | ||||
| PET-FRP | 3 | 78% | ||||
| [36] | BFRP | 2 | Circular | 150 | 300 | 8% |
| BFRP | 3 | 11% | ||||
| CFRP | 2 | 4% | ||||
| CFRP | 3 | 7% | ||||
| [43] | PET-FRP | 1 | Circular | 150 | 300 | 27% |
| PET-FRP | 2 | 91% | ||||
| PET-FRP | 3 | 141% | ||||
| CFRP | 1 | 86% | ||||
| CFRP | 2 | 112% | ||||
| CFRP | 3 | 173% | ||||
| [47] | CFRP | 1 | Circular | 150 | 300 | 46% |
| CFRP | 2 | 117% | ||||
| [48] | CFRP | 1 | Circular | 150 | 300 | 75% |
| CFRP | 2 | 175% | ||||
| [49] | CFRP | 1 | Square | 150 | 300 | 27% |
| CFRP | 2 | 43% | ||||
| [52] | CFRP | 1 | Square | 200 | 800 | 15% |
| CFRP | 2 | 23% | ||||
| [57] | CFRP | 1 | Circular | 159 | 600 | 102% |
| [63] | CFRP | 1 | Circular | 150 | 300 | 90% |
| CFRP | 2 | 146% | ||||
| CFRP | 1 | 51% | ||||
| CFRP | 2 | 111% | ||||
| [64] | CFRP | 1 | Square | 150 | 300 | 51% |
| CFRP | 2 | 106% | ||||
| CFRP | 3 | 154% |
| Reference | Wrapping Material | Partial Wrapping Details | No of Layers | Cross Section of Specimen | Increase in Compressive Strength after Confinement |
|---|---|---|---|---|---|
| [48] | CFRP | 3 × 30 mm wide strips (spacing—105 mm) | 2 and 4 | Circular | 12% and 26% |
| CFRP | 3 × 40 mm wide strips (spacing—90 mm) | 2 and 4 | Circular | 22% and 40% | |
| CFRP | 3 × 50 mm wide strips (spacing—75 mm) | 2 and 4 | Circular | 33% and 63% | |
| CFRP | 3 × 60 mm wide strips (spacing—60 mm) | 2 and 4 | Circular | 52% and 99% | |
| CFRP | 2 × 45 mm strips at the ends and 3 × 30 mm strips in between (spacing—30 mm) | 2 and 4 | Circular | 70% and 133% | |
| [49] | CFRP | 3 × 30 mm wide strips (spacing—105 mm) | 2 and 4 | Square | 4% and 10% |
| CFRP | 3 × 40 mm wide strips (spacing—90 mm) | 2 and 4 | Square | 6% and 20% | |
| CFRP | 3 × 50 mm wide strips (spacing—75 mm) | 2 and 4 | Square | 16% and 23% | |
| CFRP | 3 × 60 mm wide strips (spacing—60 mm) | 2 and 4 | Square | 18% and 22% | |
| CFRP | 2 × 45 mm strips at the ends and 3 × 30 mm strips in between (spacing—30 mm) | 2 and 4 | Square | 24% and 31% | |
| [63] | CFRP | 2 × 45 mm strips at the ends and 3 × 30 mm strips in between (spacing—30 mm) | 2 and 4 | Circular | 69% and 150% |
| CFRP | 2 × 45 mm strips at the ends and 1 × 30 mm strips in between (spacing—90 mm) | 2 and 4 | Circular | 21% and 30% | |
| CFRP | 3 × 52.5 mm wide strips (spacing—75 mm) | 2 and 4 | Circular | 23% and 40% | |
| CFRP | 3 × 60 mm wide strips (spacing—60 mm) | 2 and 4 | Circular | 43% and 72% | |
| [63] | CFRP | 2 × 45 mm strips at the ends and 3 × 30 mm strips in between (spacing—30 mm) | 2 and 4 | Circular | 42% and 88% |
| CFRP | 2 × 45 mm strips at the ends and 1 × 30 mm strips in between (spacing—90 mm) | 2 and 4 | Circular | 23% and 32% | |
| CFRP | 3 × 52.5 mm wide strips (spacing—75 mm) | 2 and 4 | Circular | 20% and 35% | |
| CFRP | 3 × 60 mm wide strips (spacing—60 mm) | 2 and 4 | Circular | 19% and 36% | |
| [52] | CFRP | 2 × 100 mm wide strips at the ends and 4 × 45 mm wide strips in between (spacing—105 mm) | 2 | Square | 10% |
| CFRP | 2 × 100 mm wide strips at the ends and 4 × 60 mm wide strips in between (spacing—90 mm) | 2 | Square | 12% | |
| CFRP | 2 × 100 mm wide strips at the ends and 4 × 75 mm wide strips in between (spacing—75 mm) | 2 | Square | 17% | |
| CFRP | 2 × 100 mm wide strips at the ends and 4 × 90 mm wide strips in between (spacing—60 mm) | 2 | Square | 18% | |
| CFRP | 2 × 100 mm wide strips at the ends and 4 × 105 mm wide strips in between (spacing—45 mm) | 2 | Square | 14% |
| Reference | Wrapping Details (After One Layer of Full Wrapping) | Wrapping Material | No of Layers | Cross Section of Specimen | Increase in Compressive Strength after Confinement |
|---|---|---|---|---|---|
| [50] | 3 × 30 mm wide strips (spacing—105 mm) | CFRP | 2 to 4 | Circular | 201% to 226% |
| 3 × 40 mm wide strips (spacing—90 mm) | CFRP | 2 to 4 | Circular | 215% to 247% | |
| 3 × 50 mm wide strips (spacing—75 mm) | CFRP | 2 to 4 | Circular | 221% to 267% | |
| 3 × 60 mm wide strips (spacing—60 mm) | CFRP | 2 to 4 | Circular | 228% to 292% | |
| 2 × 45 mm strips at the ends and 3 × 30 mm strips in between (spacing 30 mm) | CFRP | 2 to 4 | Circular | 256% to 322% | |
| [51] | 3 × 30 mm wide strips (spacing—105 mm) | CFRP | 2 to 4 | Square | 133% to 137% |
| 3 × 40 mm wide strips (spacing—90 mm) | CFRP | 2 to 4 | Square | 141% to 145% | |
| 3 × 50 mm wide strips (spacing—75 mm) | CFRP | 2 to 4 | Square | 144% to 149% | |
| 3 × 60 mm wide strips (spacing—60 mm) | CFRP | 2 to 4 | Square | 144% to 159% | |
| 2 × 45 mm strips at the ends and 3 × 30 mm strips in between (spacing 30 mm) | CFRP | 2 to 4 | Square | 146% to 163% |
| Reference | Tube Type | Manufacturing Process | Cross Section | Length (mm) | Parameters Studied |
|---|---|---|---|---|---|
| [24] | GFRP and BFRP | FW | Circular | 150 and 400 | FRP type, diameter-to-thickness ratio |
| [25] | GFRP | FW | Circular | 400 | Diameter-to-thickness ratio |
| [27] | CFRP, BFRP and GFRP | FW | Circular | 150 and 400 | FRP type, diameter-to-thickness ratio and exposure to salt water |
| [9] | BFRP | FW | Circular | 300 and 400 | Diameter-to-thickness ratio |
| [30] | BFRP | In situ spirally wrapped | Circular | 300 | Thickness of tube |
| [32] | BFRP | In situ spirally wrapped | Circular | 450 | Thickness of tube and load eccentricity |
| [37] | GFRP | FW | Circular | 300, 450 and 600 | Diameter-to-thickness ratio, axial loading (monotonic and cyclic) and temperature |
| [44] | GFRP | FW | Circular | 800 | Diameter-to-thickness ratio, concrete type (OAC and SWSSCAC) |
| [45] | GFRP | FW | Circular | 300 and 600 | Thickness of tube, type of aggregates and inclusion of BFRP needles |
| [46] | CFRP, BFRP and GFRP | FW | Square | 150 | FRP type, side length and thickness of FRP sections |
| [61] | GFRP | FW | Circular | 400 | Tube thickness and amount of structural polypropylene fibre |
| [62] | GFRP | FW | Circular | 400 | Tube thickness and presence of epoxy coated longitudinal bars |
| Reference | Cross Section | Length (mm) | Diameter-to-Thickness Ratio | Parameters Studied |
|---|---|---|---|---|
| [24] | Circular | 150 and 400 | 16.6 to 52.3 | Diameter-to-thickness ratio |
| [25] | Circular | 400 | 17.2 to 52.1 | Diameter-to-thickness ratio |
| [26] | Circular | 150 to 600 | 32.4 to 101.9 | Diameter-to-thickness ratio and slenderness ratio |
| [33] | Circular | 500 | 54.75 and 109.5 | Loading scheme (cyclic and monotonic) |
| [39] | Circular | 151 to 412 | 21.6 to 55.1 | Concrete strength and diameter-to-thickness ratio |
| [53] | Circular | 500 | 54.75 and 109.5 | Thickness of tube and strength of concrete |
| [59] | Circular | 600 | 73 | - |
| Reference | Confinement Through | Concrete | Tests Performed | Parameters Studied |
|---|---|---|---|---|
| [28] | FRP sheet wrapping on inner and outer surface of carbon steel tube | Seawater sea sand coral aggregate concrete | Axial compression | Diameter-to-thickness ratio of steel tube, type of FRP, and number of layers of FRP on the outer surface of steel tube |
| [33] | FRP sheet wrapping on outer surface of stainless steel tube | Seawater sea sand concrete | Monotonic and cyclic axial compression | Three cyclic loading patterns, thickness of stainless steel tube, and number of layers of CFRP jacket |
| [34] | FRP sheet wrapping on inner and outer surface of carbon steel tube | Seawater sea sand concrete | Cyclic axial compression | Number of layers and type of FRP |
| [36] | Stainless steel wire mesh sandwiched between two separate FRP sheet layers | Seawater sea sand concrete | Axial compression | Number of layers of steel wire mesh, FRP type, and number of layers of FRP sheets |
| [40] | FRP sheet wrapping on inner and outer surface of carbon steel tube | High strength seawater sea sand concrete | Axial compression | Diameter-to-thickness ratio of steel tube, type of FRP, and number of layers of FRP on the outer surface of steel tube |
| [42] | FRP sheet wrapping on inner and outer surface of carbon steel tube | Seawater sea sand concrete | Axial compression | Diameter-to-thickness ratio of steel tube, type of FRP, and number of layers of FRP on the outer surface of steel tube |
| [16] | FRP sheet wrapping on outer surface of stainless steel tube | Seawater sea sand concrete | Axial compression | Diameter of stainless steel tubes, thickness of stainless steel tubes, and number of layers of CFRP sheets |
| [53] | FRP sheet wrapping on outer surface of stainless steel tube | High and normal strength seawater sea sand concrete | Axial compression | Strength of SWSSC, thickness of stainless steel tube, and number of layers of CFRP sheets |
| [58] | FRP sheet wrapping on inner and outer surface of aluminium alloy tube | Seawater sea sand concrete | Axial compression | CFRP sheets pasting position (inner and outer surface of tube) and number of layers of CFRP |
| [55] | Carbon steel tube sandwiched between two filament-wound GFRP tubes | Seawater sea sand coral aggregate concrete | Axial compression | Thickness of steel tube and thickness of inner and outer GFRP tube |
| [56] | FRP sheet wrapping on inner and outer surface of carbon steel tube | Seawater sea sand coral aggregate concrete | Axial compression | Diameter-to-thickness ratio of steel tube and number of layers of CFRP on the outer surface of steel tube |
| [57] | FRP sheet wrapping on inner and/or outer surface of stainless steel tube | Seawater sea sand concrete | Axial compression | Location and number of layers of FRP sheets |
| [65] | FRP sheet wrapping on the external surface of aluminium alloy tube | Seawater sea sand recycled aggregates concrete | Axial compression | Number of layers of FRP sheets, thickness of the aluminium tube, and the strength of the concrete |
| Reference | Concrete | Outer Confinement | Reinforcement Details | Loading | Parameters Studied |
|---|---|---|---|---|---|
| [30] | SWSSCAC | BFRP tube (in situ) | 8 mm diameter longitudinal BFRP bars | Axial compression | Thickness of BFRP tube and presence of BFRP bars |
| [32] | SWSSCAC | BFRP tube (in situ) | 8 mm diameter longitudinal BFRP bars | Eccentric compression | Thickness of BFRP tube, presence of BFRP bars and eccentricity |
| [52] | SWSSC | Fully wrapped with CFRP sheets | 12 mm and 8 mm diameter epoxy coated steel bars as longitudinal and transverse reinforcement, respectively | Axial compression | Thickness of CFRP wrapping, internal reinforcement ratios, spacing between CFRP strips |
| Uniform partial wrapping with CFRP sheets | |||||
| [59] | SWSSC | Stainless steel tube | Carbon steel I section in the middle of cross section | Axial compression | - |
| Stainless steel tube | 12, 16, or 20 mm diameter longitudinal bars and 8 mm diameter spiral stirrups made with carbon steel | Spacing of the spiral reinforcement and diameter of the longitudinal reinforcement | |||
| [62] | SWSSCAC | Filament wound GFRP tube | 12 or 16 mm diameter longitudinal bars and 10 mm diameter circumferential stirrups made with epoxy coated steel | Axial compression | Thickness of GFRP tube and reinforcement ratios |
| Reference | Outer Confinement | Inner Confinement | Parameters Studied |
|---|---|---|---|
| [24] | Stainless steel (Circular) | Stainless steel (Circular) | Outer and inner tube type, outer and inner tube diameter-to-thickness ratio |
| Stainless steel (Circular) | CFRP (Circular) | ||
| CFRP (Circular) | Stainless steel (Circular) | ||
| CFRP (Circular) | CFRP (Circular) | ||
| Stainless steel (Circular) | BFRP (Circular) | ||
| BFRP (Circular) | Stainless steel (Circular) | ||
| BFRP (Circular) | BFRP (Circular) | ||
| [25] | Stainless steel (Circular) | Stainless steel (Circular) | Outer and inner tube type, outer and inner tube diameter-to-thickness ratio |
| Stainless steel (Circular) | GFRP (Circular) | ||
| GFRP (Circular) | Stainless steel (Circular) | ||
| GFRP (Circular) | GFRP (Circular) | ||
| [26] | Stainless steel (Circular) | Stainless steel (Circular) | Void ratio and tube slenderness ratio |
| [9] | Stainless steel (Circular) | BFRP (Circular) | |
| Stainless steel (Circular) | BFRP (Square) | ||
| [38] | FRP wrap (Square) | Stainless steel (Circular) | Tube type and void ratio |
| FRP wrap (Square) | Aluminium tube (Circular) |
| Reference | Specimen Cross Section | Preparation of Specimen | Parameters Studied |
|---|---|---|---|
| [31] | ![]() | Initially, SWSSC filled PVC or FRP tubes were fabricated. They were then placed inside the steel tubes and the remaining hollow space between the prefabricated SWSSC filled PVC or FRP tubes and steel tube was filled with normal concrete. | Types and thickness inner tube (PVC and GFRP), strength of concrete, wrapping area of CFRP strips |
| [35] | ![]() | FRP sheets impregnated with epoxy resin were circumferentially wrapped around an acrylic tube. After the curing of the adhesive, the acrylic tube was separated, and the FRP tube was fabricated. The fabricated FRP tube was then placed inside the steel tube using a wooden bottom template. Followed by this, SWSSC was poured inside the FRP tube and normal concrete was poured inside the hollow space between the fabricated FRP tube and the steel tube. | Diameter of the in situ fabricated FRP tube, number of layers of FRP and thickness of steel tube |
| [54] | ![]() | For double-tube specimens made with stainless steel tubes (inner and outer), after placing both the tubes concentrically, SWSSC was poured inside the hollow spaces. For double-tube specimens made with CFRP tube (inner) and stainless steel tubes (outer), CFRP core tubes were in situ fabricated using CFRP sheets. After placing the core FRP tube inside the outer stainless steel tube using a bottom plate, SWSSC was poured into the hollow spaces. | Outer stainless steel tube thickness, type of inner core tube (CFRP and stainless steel), diameter and thickness of inner core tubes |
| [9] | ![]() | Double-tube specimens had combinations of stainless steel, filament-wound CFRP, and BFRP tubes constructed by placing the inner tube inside the outer tube and filling the empty space with SWSSC. | Type of outer tube (BFRP and stainless steel), type of inner tube (BFRP, CFRP and stainless steel), shape of inner stainless steel tube (circular and square), diameter and thickness of inner and outer BFRP and stainless steel tubes |
| [59] | ![]() | The specimens were made by installing the square and circular carbon steel tubes inside the outer stainless steel circular sections. The hollow spaces were then filled with SWSSC. | Shape of inner carbon steel tube (square and circular) |
Disclaimer/Publisher’s Note: The statements, opinions and data contained in all publications are solely those of the individual author(s) and contributor(s) and not of MDPI and/or the editor(s). MDPI and/or the editor(s) disclaim responsibility for any injury to people or property resulting from any ideas, methods, instructions or products referred to in the content. |
© 2024 by the authors. Licensee MDPI, Basel, Switzerland. This article is an open access article distributed under the terms and conditions of the Creative Commons Attribution (CC BY) license (https://creativecommons.org/licenses/by/4.0/).
Share and Cite
Shrivastava, C.; Ramli Sulong, N.H.; Zahra, T.; Elchalakani, M.; Gamage, K.; Fawzia, S. Review of the Short-Term Properties of Confined Seawater Sea Sand Concrete Columns under Compression. Buildings 2024, 14, 544. https://doi.org/10.3390/buildings14020544
Shrivastava C, Ramli Sulong NH, Zahra T, Elchalakani M, Gamage K, Fawzia S. Review of the Short-Term Properties of Confined Seawater Sea Sand Concrete Columns under Compression. Buildings. 2024; 14(2):544. https://doi.org/10.3390/buildings14020544
Chicago/Turabian StyleShrivastava, Chitransh, Nor Hafizah Ramli Sulong, Tatheer Zahra, Mohamed Elchalakani, Kumari Gamage, and Sabrina Fawzia. 2024. "Review of the Short-Term Properties of Confined Seawater Sea Sand Concrete Columns under Compression" Buildings 14, no. 2: 544. https://doi.org/10.3390/buildings14020544
APA StyleShrivastava, C., Ramli Sulong, N. H., Zahra, T., Elchalakani, M., Gamage, K., & Fawzia, S. (2024). Review of the Short-Term Properties of Confined Seawater Sea Sand Concrete Columns under Compression. Buildings, 14(2), 544. https://doi.org/10.3390/buildings14020544






