Parametric Study on Mechanical Properties of Basalt Fiber-Reinforced Pea Gravel Concrete
Abstract
1. Introduction
2. Materials and Methods
2.1. Materials
2.2. Mix Proportions
2.3. Specimen Preparation
2.4. Experimental Program
2.4.1. Compressive Strength Test
2.4.2. Splitting Tensile Strength Test
2.4.3. Scanning Electron Microscope Observation
3. Results and Discussion
3.1. Compressive Strength Test
3.1.1. Failure Modes
3.1.2. Compressive Strength
3.1.3. Strain Capacity
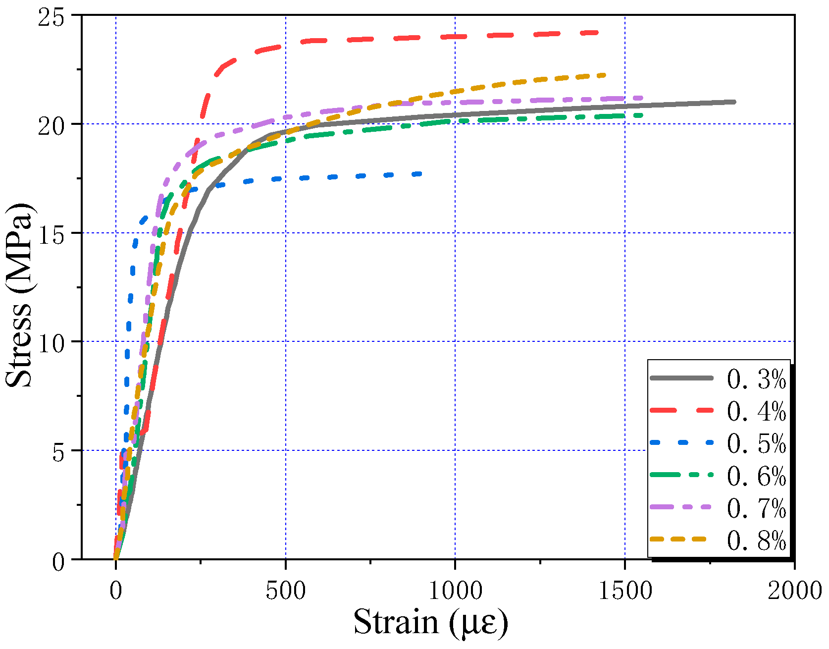
3.2. Splitting Tensile Strength Test
3.2.1. Failure Modes
3.2.2. Splitting Tensile Strength
3.2.3. Strain Capacity
3.3. Results of Scanning Electron Microscopy
3.4. Uniaxial Compressive Stress–Strain Model
4. Conclusions
- Fiber length is the most important parameter for the BFRPGC material. A significant bridging effect restraining the microcrack development in concrete was achieved by the 12-millimeter-length fibers, whereas no obvious role was observed in the 6-millimeter-length scenario.
- The mechanical properties of the BFRPGC material oscillated substantially with the fiber volume fraction. The phenomenon was the combined result of the bridging effect of basalt fibers on concrete microcracks and the negative effect of fiber agglomeration on the compactness of concrete.
- In both the compressive strength tests and splitting tensile tests, intensive but relatively short cracks appeared with the failure of the BFRPGC blocks. This specific failure mode demonstrates that the more uniform stress profile and microcrack distribution were formed in the BFRPGC material, in comparison with the reference concrete case.
- The parameter combination of a fiber length of 12 mm and a fiber volume fraction of 0.4% was found to be optimal. The average compressive and splitting tensile strengths in this case were 44.5% and 27.9% higher than those of the reference pea gravel concrete, respectively, and their respective dispersions were well controlled.
- The direct relationship between the fiber volume fraction and the strain corresponding to the maximum compressive stress was disclosed. The values of the strain reached a range from 3000 με to 5000 με, while the fiber volume fraction was increased from 0.3% to 0.5%. This clearly indicated a delay in the compression failure.
- By scanning electron microscopy observation, not only was the failure mechanism of the tensile fracture disclosed for the basalt fibers in pea gravel concrete but a significant deterioration in the compactness of concrete was proved in the relatively high fiber–volume fraction scenario.
- The uniaxial compressive stress–strain model of the BFRPGC material was established on the basis of the test data. Four stages of mechanical behavior are clearly indicated by the model, namely, the elastic, crack development, unstable crack expansion, and residual behavior stages.
Author Contributions
Funding
Data Availability Statement
Conflicts of Interest
References
- Choi, Y.; Yuan, R.L. Experimental relationship between splitting tensile strength and compressive strength of GFRC and PFRC. Cem. Concr. Res. 2005, 35, 1587–1591. [Google Scholar] [CrossRef]
- Nogueira, C.L. Anti-plane shear strength of plain concrete. Mater. Today Commun. 2020, 24, 101051. [Google Scholar] [CrossRef]
- Ranaivomanana, H.; Leklou, N. Investigation of microstructural and mechanical properties of partially hydrated Asbestos-Free fiber cement waste (AFFC) based concretes: Experimental study and predictive modeling. Constr. Build. Mater. 2021, 277, 121943. [Google Scholar] [CrossRef]
- Pirmohammad, S.; Shokorlou, Y.M.; Amani, B. Laboratory investigations on fracture toughness of asphalt concretes reinforced with carbon and kenaf fibers. Eng. Fract. Mech. 2020, 226, 106875. [Google Scholar] [CrossRef]
- Wang, B.; Wu, X.H.; Liu, Q.; Wu, Y.Y.; Huang, F.; Xu, L.F.; Wu, X.; Deng, Y.X. Effectiveness and efficiency of externally bonded CFRP sheets for shear strengthening of RC beam-column joints. Polymers 2022, 14, 1347. [Google Scholar] [CrossRef]
- Wang, B.; Wu, X.H.; Sun, Z.Y.; Liang, J.Q.; Mao, X.P.; Bi, T.C.; Song, Y.; Yang, W. Experimental investigation on low-velocity impact behavior of CFRP wraps in presence of concrete substrate. Constr. Build. Mater. 2021, 301, 124103. [Google Scholar] [CrossRef]
- Wang, B.; Zhu, H.R.; Wu, X.H.; Zhang, N.Y.; Yan, B.Q. Numerical investigation on low-velocity impact response of CFRP wraps in presence of concrete substrate. Compos. Struct. 2020, 231, 111541. [Google Scholar] [CrossRef]
- Camille, C.; Hewage, D.K.; Mirza, O.; Mashiri, F.; Kirkland, B.; Clarke, T. Performance behaviour of macro-synthetic fibre reinforced concrete subjected to static and dynamic loadings for sleeper applications. Constr. Build. Mater. 2021, 270, 121469. [Google Scholar] [CrossRef]
- Aziz, M.A.; Zubair, M.; Saleem, M. Development and testing of cellulose nanocrystal-based concrete. Case Stud. Constr. Mater. 2021, 15, e00761. [Google Scholar] [CrossRef]
- Iqbal, S.; Ali, I.; Room, S.; Khan, S.A.; Ali, A. Enhanced mechanical properties of fiber reinforced concrete using closed steel fibers. Mater. Struct. 2019, 52, 56. [Google Scholar] [CrossRef]
- Liu, J.L.; Jia, Y.M.; Wang, J. Experimental Study on Mechanical and Durability Properties of Glass and Polypropylene Fiber Reinforced Concrete. Fibers Polym. 2019, 20, 1900–1908. [Google Scholar] [CrossRef]
- Li, D.S.; Hai, C.; Ou, J.P. Fracture behavior and damage evaluation of polyvinyl alcohol fiber concrete using acoustic emission technique. Mater. Des. 2012, 40, 205–211. [Google Scholar] [CrossRef]
- Wang, Y.; Hu, S.; He, Z. Mechanical and fracture properties of geopolymer concrete with basalt fiber using digital image correlation. Theor. Appl. Fract. Mech. 2021, 112, 102909. [Google Scholar] [CrossRef]
- Moron, A.; Ferrandez, D.; Saiz, P.; Moron, C. Experimental Study with Cement Mortars Made with Recycled Concrete Aggregate and Reinforced with Aramid Fibers. Appl. Sci. 2021, 11, 7791. [Google Scholar] [CrossRef]
- Simsek, B.; Uygunoglu, T. Multi-response optimization of polymer blended concrete: A TOPSIS based Taguchi application. Constr. Build. Mater. 2016, 117, 251–262. [Google Scholar] [CrossRef]
- Wang, W.C.; Wang, H.Y.; Chang, K.H.; Wang, S.Y. Effect of high temperature on the strength and thermal conductivity of glass fiber concrete. Constr. Build. Mater. 2020, 245, 118387. [Google Scholar] [CrossRef]
- Altun, F.; Haktanir, T.; Ari, K.; Karahan, O. A comparative experimental investigation of concrete, reinforced-concrete and steel-fibre concrete pipes under three-edge-bearing test. Constr. Build. Mater. 2007, 21, 1702–1708. [Google Scholar] [CrossRef]
- Zhang, X.H.; Zhang, W.; Cao, C.D.; Xu, F.; Yang, C.Q. Positive effects of aligned steel fiber on bond behavior between steel rebar and concrete. Cem. Concr. Compos. 2020, 114, 103828. [Google Scholar] [CrossRef]
- Chen, F.; Xu, B.; Jiao, H.; Chen, X.; Shi, Y.; Wang, J.; Li, Z. Triaxial mechanical properties and microstructure visualization of BFRC. Constr. Build. Mater. 2021, 278, 122275. [Google Scholar] [CrossRef]
- Kizilkanat, A.B.; Kabay, N.; Akyuncu, V.; Chowdhury, S.; Akca, A.R. Mechanical properties and fracture behavior of basalt and glass fiber reinforced concrete: An experimental study. Constr. Build. Mater. 2015, 100, 218–224. [Google Scholar] [CrossRef]
- Guo, Q.; Chen, Z.; Liu, P.; Li, Y.; Hu, J.; Gao, Y.; Li, X. Influence of basalt fiber on mode I and II fracture properties of asphalt mixture at medium and low temperatures. Theor. Appl. Fract. Mech. 2021, 112, 102884. [Google Scholar] [CrossRef]
- Xu, M.F.; Song, S.; Feng, L.; Zhou, J.; Li, H.; Li, V.C. Development of basalt fiber engineered cementitious composites and its mechanical properties. Constr. Build. Mater. 2021, 266, 121173. [Google Scholar] [CrossRef]
- Dias, D.P.; Thaumaturgo, C. Fracture toughness of geopolymeric concretes reinforced with basalt fibers. Cem. Concr. Compos. 2005, 27, 49–54. [Google Scholar] [CrossRef]
- Sigruner, M.; Muscat, D.; Strubbe, N. Investigation on pull-out behavior and interface critical parameters of polymer fibers embedded in concrete and their correlation with particular fiber properties. J. Appl. Polym. Sci. 2021, 138, 50745. [Google Scholar] [CrossRef]
- Jirawattanasomkul, T.; Minakawa, H.; Likitlersuang, S.; Ueda, T.; Dai, J.G.; Wuttiwannasak, N.; Kongwang, N. Use of water hyacinth waste to produce fibre-reinforced polymer composites for concrete confinement: Mechanical performance and environmental assessment. J. Clean. Prod. 2021, 292, 126041. [Google Scholar] [CrossRef]
- Khan, M.; Cao, M.L.; Xie, C.P.; Ali, M. Effectiveness of hybrid steel-basalt fiber reinforced concrete under compression. Case Stud. Constr. Mater. 2022, 16, e00941. [Google Scholar] [CrossRef]
- Fu, Q.; Bu, M.X.; Xu, W.R.; Chen, L.; Li, D.; He, J.Q.; Kou, H.L.; Li, H. Comparative analysis of dynamic constitutive response of hybrid fibre-reinforced concrete with different matrix strengths. Int. J. Impact Eng. 2021, 148, 103763. [Google Scholar] [CrossRef]
- Dvorkin, L.; Bordiuzhenko, O.; Tekle, B.H.; Ribakov, Y. A Method for the Design of Concrete with Combined Steel and Basalt Fiber. Appl. Sci. 2021, 11, 8850. [Google Scholar] [CrossRef]
- Zheng, Y.X.; Zhang, P.; Cai, Y.C.; Jin, Z.Q.; Moshtagh, E. Cracking resistance and mechanical properties of basalt fibers reinforced cement-stabilized macadam. Compos. Part B Eng. 2019, 165, 312–334. [Google Scholar] [CrossRef]
- Branston, J.; Das, S.; Kenno, S.Y.; Taylor, C. Mechanical behaviour of basalt fibre reinforced concrete. Constr. Build. Mater. 2016, 124, 878–886. [Google Scholar] [CrossRef]
- Khan, M.; Cao, M.L. Effect of hybrid basalt fibre length and content on properties of cementitious composites. Mag. Concr. Res. 2021, 73, 487–498. [Google Scholar] [CrossRef]
- Khan, M.R.; Cao, M.L.; Xie, C.P.; Ali, M. Efficiency of basalt fiber length and content on mechanical and microstructural properties of hybrid fiber concrete. Fatigue Fract. Eng. Mater. Struct. 2021, 44, 2135–2152. [Google Scholar] [CrossRef]
- Pul, S.; Arslan, M.E. Cyclic behaviors of different type of hollow brick infill walls: A hinged rigid frame approach. Constr. Build. Mater. 2019, 211, 899–908. [Google Scholar] [CrossRef]
- Carrillo, J.; Pincheira, J.A.; Flores, L.E. Quasi-static cyclic tests of confined masonry walls retrofitted with mortar overlays reinforced with either welded-wire mesh or steel fibers. J. Build. Eng. 2020, 27, 100975. [Google Scholar] [CrossRef]
- Shakir, Q.M.; Alghazali, A.F. New model of eco-friendly hybrid deep beams with wastes of crushed concrete. J. Teknol. 2023, 85, 145–154. [Google Scholar] [CrossRef]
- Shakir, Q.M.; Alghazali, A.F. Effect of the arching action on the behavior of the RC precast concrete deep beams: Comparison between several hybrid models. J. Build. Pathol. Rehabil. 2024, 9, 23. [Google Scholar] [CrossRef]
- Gaedicke, C.; Marines, A.; Miankodila, F. Assessing the abrasion resistance of cores in virgin and recycled aggregate pervious concrete. Constr. Build. Mater. 2014, 68, 701–708. [Google Scholar] [CrossRef]
- JGJ55-2011; Specification for Mix Proportion Design of Ordinary Concrete. China Building Industry Press: Beijing, China, 2011. (In Chinese)
- GB/T50081-2019; Standard for Test Method of Physical and Mechanical Properties of Concrete. China Building Industry Press: Beijing, China, 2019. (In Chinese)
- GB50010-2010; Design Code for Concrete Structure. China Building Industry Press: Beijing, China, 2011. (In Chinese)
- Xu, B.; Toutanji, H.A.; Gilbert, J. Impact resistance of poly(vinyl alcohol) fiber reinforced high-performance organic aggregate cementitious material. Cem. Concr. Res. 2010, 40, 347–351. [Google Scholar] [CrossRef]
- He, J.; Shi, J.J.; Lu, Z.Y. Assessment of interfacial fracture energy between concrete and CFRP under water immersion conditions. Constr. Build. Mater. 2021, 285, 122942. [Google Scholar] [CrossRef]
- Wang, D.; Ju, Y.; Shen, H.; Xu, L. Mechanical properties of high performance concrete reinforced with basalt fiber and polypropylene fiber. Constr. Build. Mater. 2019, 197, 464–473. [Google Scholar] [CrossRef]
- Zhao, M.; Zhang, B.; Shang, P.; Fu, Y.; Zhang, X.; Zhao, S. Complete Stress-Strain Curves of Self-Compacting Steel Fiber Reinforced Expanded-Shale Lightweight Concrete under Uniaxial Compression. Materials 2019, 12, 2979. [Google Scholar] [CrossRef]
- Chen, A.; Han, X.; Chen, M.; Wang, X.; Wang, Z.; Guo, T. Mechanical and stress-strain behavior of basalt fiber reinforced rubberized recycled coarse aggregate concrete. Constr. Build. Mater. 2020, 260, 119888. [Google Scholar] [CrossRef]
- Ding, X.; Li, C.; Li, Y.; Lu, Y.; Song, C.; Zhao, S. Experimental and numerical study on stress-strain behavior of self-compacting SFRC under uniaxial compression. Constr. Build. Mater. 2018, 185, 30–38. [Google Scholar] [CrossRef]
- Ou, Y.-C.; Tsai, M.-S.; Liu, K.-Y.; Chang, K.-C. Compressive Behavior of Steel-Fiber-Reinforced Concrete with a High Reinforcing Index. J. Mater. Civ. Eng. 2012, 24, 207–215. [Google Scholar] [CrossRef]
- Abbass, W.; Khan, M.I.; Mourad, S. Evaluation of mechanical properties of steel fiber reinforced concrete with different strengths of concrete. Constr. Build. Mater. 2018, 168, 556–569. [Google Scholar] [CrossRef]
- Guo, Z.; Zhang, X.; Zhang, D. Experimental Investigation of the Complete Stress-Strain Curve of Concrete. J. Build. Struct. 1982, 122, 81–89. [Google Scholar] [CrossRef]














| Length (mm) | Diameter (μm) | Density (g·cm−3) | Elastic Modulus (GPa) | Tensile Strength (MPa) | Breaking Elongation (%) |
|---|---|---|---|---|---|
| 6 | 16 | 2.65 | 81 | 4300 | 3.1 |
| 12 | 16 | 2.65 | 81 | 4300 | 3.1 |
| Cement (kg·m−3) | Water (kg·m−3) | Sand (kg·m−3) | Pebble (kg·m−3) |
|---|---|---|---|
| 485 | 204 | 785 | 771 |
| Series | Group | Fiber Volume Fraction (%) | Average Compressive Strength (MPa) | Increase in Average Compressive Strength (%) | Coefficient of Variation (%) | Ratio for Coefficient of Variation Ratio (%) |
|---|---|---|---|---|---|---|
| R | / | 0.00 | 31.9 | / | 7.03 | / |
| B6 | G63 | 0.30 | 30.5 | −4.39 | 7.23 | 102.8 |
| G64 | 0.40 | 26.4 | −17.2 | 5.44 | 77.38 | |
| G65 | 0.50 | 28.4 | −11.0 | 5.85 | 83.21 | |
| G66 | 0.60 | 28.4 | −11.0 | 5.96 | 84.78 | |
| G67 | 0.70 | 30.5 | −4.39 | 12.9 | 183.5 | |
| G68 | 0.80 | 29.8 | −6.58 | 5.93 | 84.35 | |
| B12 | GX3 | 0.30 | 50.0 | 56.7 | 6.22 | 88.48 |
| GX4 | 0.40 | 46.1 | 44.5 | 6.24 | 88.76 | |
| GX5 | 0.50 | 49.4 | 54.9 | 4.91 | 69.84 | |
| GX6 | 0.60 | 37.4 | 17.2 | 5.37 | 76.39 | |
| GX7 | 0.70 | 31.8 | −0.31 | 6.70 | 95.31 | |
| GX8 | 0.80 | 33.6 | 5.33 | 15.1 | 214.8 |
| Series | Group | Fiber Volume Fraction (%) | Average Splitting Tensile Strength (MPa) | Increase in Average Splitting Tensile Strength (%) | Coefficient of Variation (%) | Ratio for Coefficient of Variation Ratio (%) |
|---|---|---|---|---|---|---|
| R | / | 0.00 | 10.4 | / | 13.0 | / |
| B6 | G63 | 0.30 | 10.7 | 2.88 | 18.0 | 138.5 |
| G64 | 0.40 | 9.80 | −5.77 | 13.7 | 105.4 | |
| G65 | 0.50 | 10.1 | −2.88 | 7.06 | 54.31 | |
| G66 | 0.60 | 11.2 | 7.69 | 8.43 | 64.85 | |
| G67 | 0.70 | 12.3 | 18.3 | 7.15 | 55.00 | |
| G68 | 0.80 | 11.4 | 9.62 | 12.7 | 97.69 | |
| B12 | GX3 | 0.30 | 10.6 | 1.92 | 7.95 | 61.15 |
| GX4 | 0.40 | 13.3 | 27.9 | 14.1 | 108.5 | |
| GX5 | 0.50 | 10.2 | −1.92 | 11.0 | 84.62 | |
| GX6 | 0.60 | 11.5 | 10.6 | 16.1 | 123.9 | |
| GX7 | 0.70 | 12.5 | 20.2 | 11.4 | 87.69 | |
| GX8 | 0.80 | 12.5 | 20.2 | 14.4 | 110.8 |
| Researchers | Analytical Models |
|---|---|
| Wang et al. [43] | ; α1 = 1.417 + 0.697 VBF − 6.699 VPPF; here, α = 5.638 + 24.01 VBF − 468.34 VPPF; VBF and VPPF are the volume fractions of basalt fibers and polypropylene fibers, respectively. |
| Zhao et al. [44] | ; n = ECεc.r/(ECεc.r + fc.r); α = 0.00022 fc.r 2.75 + 0.746; here, fc.r and ECεc.r are the peak stress and modulus of elasticity of steel fiber-reinforced expanded-shale lightweight concrete, respectively. |
| Chen et al. [45] | ; n = Ec/(Ec + fcr); α = 0.157 fcr0.785 − 0.905; here, fcr and Ec are the peak stress and modulus of elasticity of basalt fiber-reinforced rubberized recycled coarse aggregate concrete, respectively. |
| Ding et al. [46] | ; xlim = (0.05Ec/Ec1 + 0.9) + [(0.05Ec/Ec1 + 0.9)2 − 0.9]0.5; here, Ec and Ec1 are the tangent modulus and the secant modulus from the origin to the compressive strength, respectively; ξ and xlim are the parameters related to the elastic modulus and the limited strain at a stress of 0.9fc, respectively. |
| Ou et al. [47] | ; β = 0.71(RI)2 − 2(RI) + 3.05; fcr = fcr.p + 2.35RI; εcr = εcr.p + 0.0007RI; RI = Vf Lf/Df; here, Vf, Lf, Df and fcr.p are the volume fraction, length, and diameter of the steel fibers and the compressive strength of plain concrete, respectively. |
| Abbass et al. [48] | ; β = 1.401(RI)2 − 1.56(RI) + 2.42; fcr = fcr.p +5.59RI; εcr = εcr.p + 0.000261RI; RI = Vf Lf/Df. |
Disclaimer/Publisher’s Note: The statements, opinions and data contained in all publications are solely those of the individual author(s) and contributor(s) and not of MDPI and/or the editor(s). MDPI and/or the editor(s) disclaim responsibility for any injury to people or property resulting from any ideas, methods, instructions or products referred to in the content. |
© 2024 by the authors. Licensee MDPI, Basel, Switzerland. This article is an open access article distributed under the terms and conditions of the Creative Commons Attribution (CC BY) license (https://creativecommons.org/licenses/by/4.0/).
Share and Cite
Li, J.; Wang, B.; Zhang, P.; Wang, Z.; Wang, M. Parametric Study on Mechanical Properties of Basalt Fiber-Reinforced Pea Gravel Concrete. Buildings 2024, 14, 380. https://doi.org/10.3390/buildings14020380
Li J, Wang B, Zhang P, Wang Z, Wang M. Parametric Study on Mechanical Properties of Basalt Fiber-Reinforced Pea Gravel Concrete. Buildings. 2024; 14(2):380. https://doi.org/10.3390/buildings14020380
Chicago/Turabian StyleLi, Jiming, Bu Wang, Peng Zhang, Zhenyu Wang, and Meng Wang. 2024. "Parametric Study on Mechanical Properties of Basalt Fiber-Reinforced Pea Gravel Concrete" Buildings 14, no. 2: 380. https://doi.org/10.3390/buildings14020380
APA StyleLi, J., Wang, B., Zhang, P., Wang, Z., & Wang, M. (2024). Parametric Study on Mechanical Properties of Basalt Fiber-Reinforced Pea Gravel Concrete. Buildings, 14(2), 380. https://doi.org/10.3390/buildings14020380

