Study on Interlayer Interface Deterioration of Double-Block Ballastless Track in Humid and Hot Environments Based on Acoustic Emission Technique
Abstract
1. Introduction
2. Materials and Methods
2.1. Mixture Proportions and Specimen Preparation
2.2. Accelerated Deterioration Test Under Various Humid and Hot Conditions
2.3. Wave Velocity Measurement by Automatic Sensor Test (AST) Method
2.4. Interface Bonding Performance Tests
2.4.1. Splitting Tensile Test
2.4.2. Direct Shear Test
2.4.3. Test Devices
3. Results and Discussion
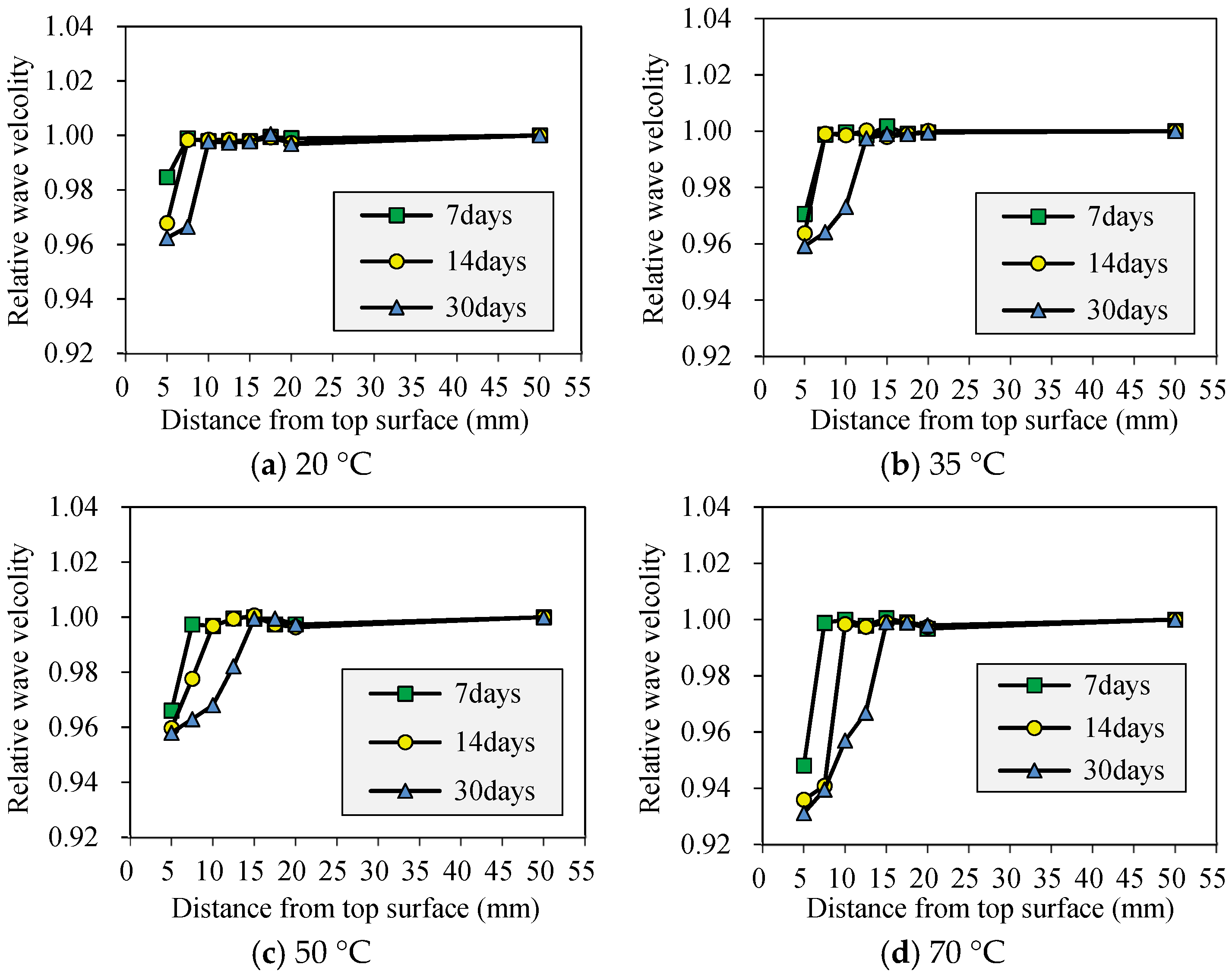
3.1. Measured Wave Velocity of Composite Specimen
3.2. Measured Load–Displacement Curves
3.2.1. Splitting Tensile Test
3.2.2. Direct Shear Test
3.3. Measured Acoustic Emission Energy Evolution
3.3.1. Splitting Tensile Test
3.3.2. Direct Shear Test
3.4. Damage Evolution of Composite Specimen by Cumulative AE Energy
3.4.1. Splitting Tensile Test
3.4.2. Direct Shear Test
4. Conclusions
Author Contributions
Funding
Data Availability Statement
Conflicts of Interest
References
- Guo, Y.; Markine, V.; Jing, G. Review of ballast track tamping: Mechanism, challenges and solutions. J. Constr. Build. Mater. 2021, 300, 123940. [Google Scholar] [CrossRef]
- Zhang, J.; Cai, C.; Zhu, S.; Wang, M.; He, Q.; Yang, S.; Zhai, W. Experimental investigation on dynamic performance evolution of double-block ballastless track under high-cycle train loads. J. Eng. Struct. 2022, 254, 113872. [Google Scholar] [CrossRef]
- Zhou, R.; Yin, H.; Li, Y.; Zhang, L. Mechanical performance analysis of double-block ballastless tracks in intercity railways under temperature and train loads. J. Eng. Struct. 2024, 315, 118509. [Google Scholar] [CrossRef]
- Feng, Y.; Xu, S.; Wu, B.; Zhou, W.; Liu, X.; Wu, L.; Rao, J.; Xiang, P.; Guo, Z. Transverse-direction post-seismic running safety of longitudinally connected ballastless track–continuous girder bridge systems considering earthquake damage state. Buildings 2024, 14, 3803. [Google Scholar] [CrossRef]
- Fu, Q.; Gu, M.; Yuan, J.; Lin, Y. Experimental study on vibration velocity of piled raft supported embankment and foundation for ballastless high speed railway. Buildings 2022, 12, 1982. [Google Scholar] [CrossRef]
- Yao, G.; Song, A.; Zhang, G.; Liu, W.; Qin, T.; Yu, X.; Ran, C.; Tang, Y. Experimental study on interface performance of CRTS II slab ballastless track under temperature loading. Structures 2024, 62, 106199. [Google Scholar] [CrossRef]
- Zhang, Y.; Zhou, L.; Mahunon, A.D.; Zhang, G.; Peng, X.; Zhao, L.; Yuan, Y. Mechanical performance of a ballastless track system for the railway bridges of high-speed lines: Experimental and numerical study under thermal loading. Materials 2021, 14, 2876. [Google Scholar] [CrossRef]
- Dong, H.; Li, H.; Shi, H.; Wen, J.; Wang, Z.; Huang, F.; Yang, Z.; Yi, Z. Evaluation index and improvement method for interlayer bonding property of ballastless track. Eng. Fail. Anal. 2023, 153, 107620. [Google Scholar] [CrossRef]
- Jiang, H.; Li, Y.; Wang, Y.; Yao, K.; Yao, Z.; Xue, Z.; Geng, X. Dynamic performance evaluation of ballastless track in high-speed railways under subgrade differential settlement. Transp. Geotech. 2022, 33, 100721. [Google Scholar] [CrossRef]
- Yan, D.; Xu, Y.; Zhu, W. Effects of debonding repairment on interfacial damage and thermal deformation of CRTS II slab ballastless track. Constr. Build. Mater. 2023, 389, 131793. [Google Scholar] [CrossRef]
- Xie, K.; Dai, W.; Wang, Q.; Zhao, Z.; Zhao, W. Study on the causes of interface damage of CRTS II slab ballastless track CA mortar based on grouting operation. Constr. Build. Mater. 2024, 438, 137198. [Google Scholar] [CrossRef]
- Sun, K.; Nong, X.; Feng, Q.; Chen, H.; Xiao, J. Numerical analysis of interface damage in ballastless track on simply supported bridge due to thermal and vehicle dynamic load. Constr. Build. Mater. 2023, 366, 130181. [Google Scholar] [CrossRef]
- Zhu, S.; Wang, M.; Zhai, W.; Cai, C.; Zhao, C.; Zeng, D.; Zhang, J. Mechanical property and damage evolution of concrete interface of ballastless track in high-speed railway: Experiment and simulation. J. Constr. Build. Mater. 2018, 187, 460–473. [Google Scholar] [CrossRef]
- Liu, Y.; Lin, J.; Sun, X.; Feng, C.; Xu, Y. Energy-based criteria for identification of impact-induced interfacial damage of longitudinally connected slab ballastless track structure. J. Constr. Build. Mater. 2024, 447, 138083. [Google Scholar] [CrossRef]
- Zhao, L.; Zhou, L.-Y.; Zhang, G.-C.; Wei, T.-Y.; Mahunon, A.D.; Jiang, L.-Q.; Zhang, Y.-Y. Experimental Study of the Temperature Distribution in CRTS-II Ballastless Tracks on a High-Speed Railway Bridge. Appl. Sci. 2020, 10, 1980. [Google Scholar] [CrossRef]
- Ren, J.; Deng, S.; Zhang, K.; Du, W.; Wu, Q. Design theories and maintenance technologies of slab tracks for high-speed railways in China: A review. Transp. Saf. Environ. J. 2021, 4, tdab024. [Google Scholar] [CrossRef]
- GB/T 50081-2019[S]; Ministry of Housing and Urban-Rural Development of the People’s Republic of China. Standard Test Methods for Concrete Physical and Mechanical Properties. Standards Press of China: Beijing, China, 2019; pp. 25–27. (In Chinese)
- Ren, J.; Du, W.; Ye, W.; Xu, X.; Deng, S. Experimental and numerical analysis on interface damage of slab track under freeze-thaw cycles. J. Cent. South Univ. 2024, 31, 3782–3806. [Google Scholar] [CrossRef]
- Du, W.; Ren, J.; Liu, W.; Zhang, K.; Deng, S.; Zhao, P. Adhesion performance tests and analysis of interface damage for CRTS III prefabricated slab tracks. Constr. Build. Mater. 2023, 408, 133685. [Google Scholar] [CrossRef]
- Slomka-Slupik, B.; Labus, K. Laboratory test and geochemical modeling of cement paste degradation, in contact with ammonium chloride solution. J. Mater. 2022, 15, 2930. [Google Scholar] [CrossRef]
- Wan, K.; Li, Y.; Sun, W. Experimental and modelling research of the accelerated calcium leaching of cement paste in ammonium nitrate solution. Constr. Build. Mater. 2013, 40, 832–846. [Google Scholar] [CrossRef]
- Yang, W.; Jiang, L.; Zhang, Y.; Pu, Q.; Xu, Y. Predicting the calcium leaching behavior of cement pastes in aggressive environments. Constr. Build. Mater. 2012, 29, 88–96. [Google Scholar] [CrossRef]
- Babu, S.; Ramaswamy, K.; Nazeer, M. A review on the deterioration of cement-based materials in ammonium salt solutions. IOP Conf. Ser. Earth Environ. Sci. 2020, 491, 012041. [Google Scholar] [CrossRef]
- Lou, P.; Sun, Z.; Su, X. Temperature effects of ballastless track and dynamic responses of vehicle-track coupling system on tunnel floor with high temperature. Structures 2023, 50, 1391–1402. [Google Scholar] [CrossRef]
- Barroso-Romero, M.; Gagar, D.; Pant, S.; Martinez, M. Wave mode identification of acoustic emission signals using phase analysis. Acoustics 2019, 1, 450–472. [Google Scholar] [CrossRef]
- Li, J.; Liu, H.; Wang, W.; Zhao, K.; Ye, Z.; Wang, L. Acoustic emission wave velocity measurement of asphalt mixture by arbitrary wave method. Appl. Sci. 2021, 11, 8505. [Google Scholar] [CrossRef]
- Shen, Q.; Chen, W.; Liu, C.; Zou, W.; Pan, L. The tensile strength and damage characteristic of two types of concrete and their interface. Materials 2020, 13, 16. [Google Scholar] [CrossRef]
- Ince, R.; Gör, M.; Eren, M.; Kürşat, E. The effect of size on the splitting strength of cubic concrete members. J. Strain. 2015, 51, 135–146. [Google Scholar] [CrossRef]
- Vizini, V.; Futai, M. Shear strength of rock-concrete interface via direct shear test—A data compile. In Proceedings of the ISRM Congress, Foz do Iguaçu, Brazil, 13 September 2019. [Google Scholar]
- Qin, L.; Wang, H.; Zhao, C.; Chu, X.; Shi, F.; Guo, C.; Wang, F. Study on the interface damage of CRTS II track slab under high- and low-temperature cycles based on acoustic emission. Constr. Build. Mater. 2023, 400, 132742. [Google Scholar] [CrossRef]
- Luo, Y.; Liu, Y.; Liang, S. Experimental studyon deterioration of interlayer interface of double-block ballastless track in hygrothermal environment. J. Munic. Technol. 2024, 42, 64–70. (In Chinese) [Google Scholar]
- Wu, B.; Li, Z.; Tang, K. Numerical modeling on micro-to-macro evolution of crack network for concrete materials. J. Theor. Appl. Fract. Mech. 2020, 107, 102525. [Google Scholar] [CrossRef]
- Raghu, P.; Vidya, S. Relationship between AE energy and fracture energy of plain concrete beams: Experimental study. J. Mater. Civ. Eng. 2008, 20, 212–220. [Google Scholar] [CrossRef]
- Benavent-Climent, A.; Gallego, A.; Vico, J. An acoustic emission energy index for damage evaluation of reinforced concrete slabs under seismic loads. J. Struct. Health Monit. 2012, 11, 69–81. [Google Scholar] [CrossRef]
- Burud, N.; Kishen, J. Response based damage assessment using acoustic emission energy for plain concrete. J. Constr. Build. Mater. 2021, 269, 121241. [Google Scholar] [CrossRef]




















| Mixture No. | Cement (kg/m³) | Gravel (kg/m³) | Sand (kg/m³) | Water (kg/m³) | Water Reducing Agent (kg/m³) |
|---|---|---|---|---|---|
| C60 | 728.8 | 874.5 | 583 | 218.6 | 8.7 |
| C40 | 645 | 795 | 530 | 295.3 | / |
Disclaimer/Publisher’s Note: The statements, opinions and data contained in all publications are solely those of the individual author(s) and contributor(s) and not of MDPI and/or the editor(s). MDPI and/or the editor(s) disclaim responsibility for any injury to people or property resulting from any ideas, methods, instructions or products referred to in the content. |
© 2024 by the authors. Licensee MDPI, Basel, Switzerland. This article is an open access article distributed under the terms and conditions of the Creative Commons Attribution (CC BY) license (https://creativecommons.org/licenses/by/4.0/).
Share and Cite
Luo, Y.; Liu, Y.; Liang, S. Study on Interlayer Interface Deterioration of Double-Block Ballastless Track in Humid and Hot Environments Based on Acoustic Emission Technique. Buildings 2024, 14, 3997. https://doi.org/10.3390/buildings14123997
Luo Y, Liu Y, Liang S. Study on Interlayer Interface Deterioration of Double-Block Ballastless Track in Humid and Hot Environments Based on Acoustic Emission Technique. Buildings. 2024; 14(12):3997. https://doi.org/10.3390/buildings14123997
Chicago/Turabian StyleLuo, Yuchen, Yuhang Liu, and Siming Liang. 2024. "Study on Interlayer Interface Deterioration of Double-Block Ballastless Track in Humid and Hot Environments Based on Acoustic Emission Technique" Buildings 14, no. 12: 3997. https://doi.org/10.3390/buildings14123997
APA StyleLuo, Y., Liu, Y., & Liang, S. (2024). Study on Interlayer Interface Deterioration of Double-Block Ballastless Track in Humid and Hot Environments Based on Acoustic Emission Technique. Buildings, 14(12), 3997. https://doi.org/10.3390/buildings14123997
