Experimental Study on Mechanical Properties and Compressive Constitutive Model of Recycled Concrete under Sulfate Attack Considering the Effects of Multiple Factors
Abstract
1. Introduction
2. Experimental Program
2.1. Raw Materials
2.2. Preparation of Recycled Coarse Aggregate
2.3. Preparation of Specimens
2.4. Sulfate Attack Test
2.5. Compressive Strength, Compressive Stress–Strain Curve, and Scanning Electron Microscopy (SEM) Tests
3. Results and Discussion
3.1. Analysis of Failure Patterns
3.2. Analysis of Cubic Compressive Strengths
3.3. Analysis of Axial Compressive Strength
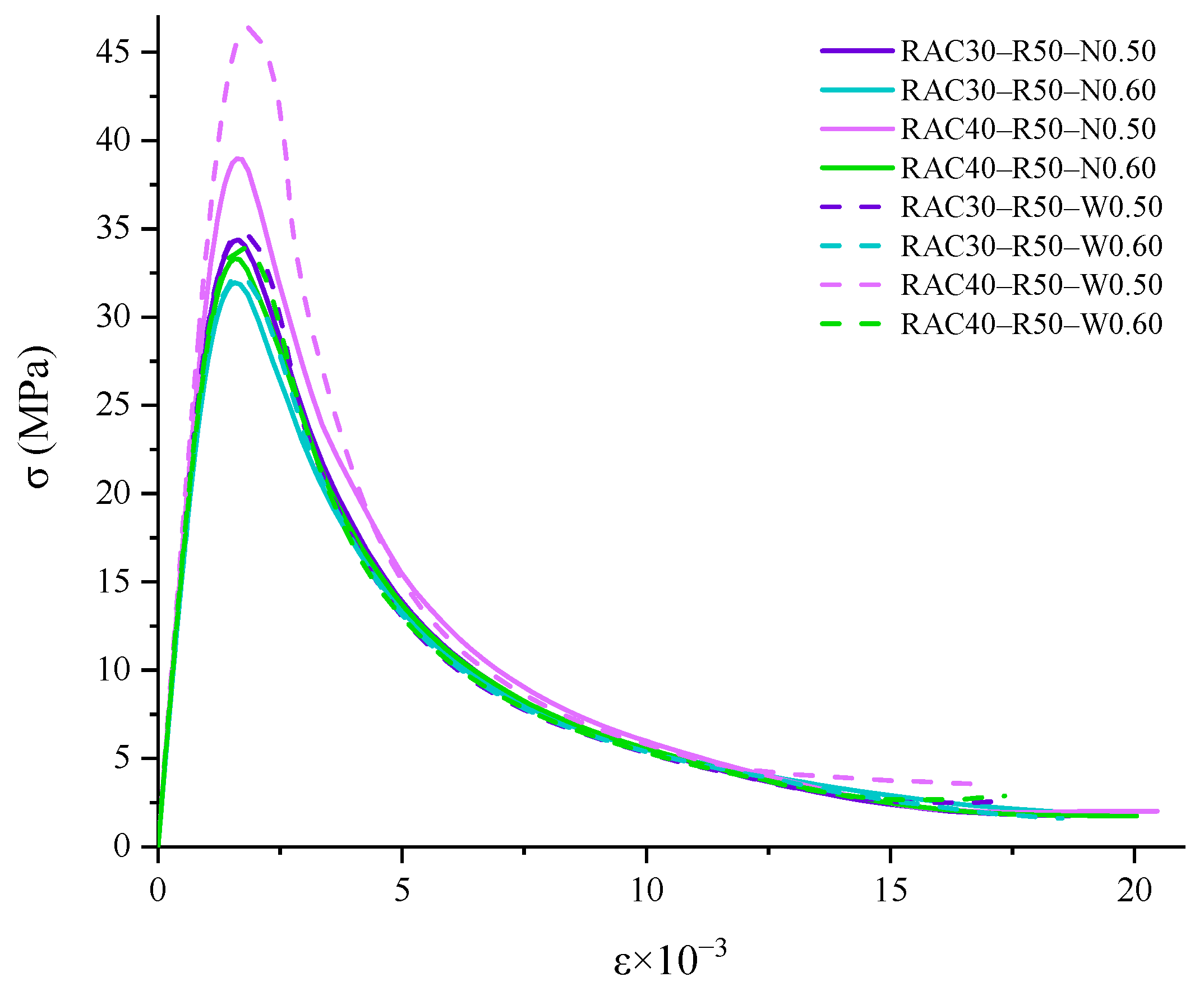
3.4. Compressive Stress–Strain Curve and Compressive Constitutive Model
3.5. Analysis of Microscopic Morphology
4. Conclusions
- (1)
- The higher the replacement ratio of recycled coarse aggregates and water–cement ratio and the lower the waste concrete strength, the more obvious the reductions in the cubic compressive strength, with a maximum reduction of 38.48%. Compared with the recycled concrete under the non-corrosive environment, the cubic compressive strength of recycled concrete under dry–wet cycles of water with water–cement ratio of 0.50, waste concrete strength of C40, and recycled coarse aggregate replacement ratio of 50% increases by 20.96%.
- (2)
- The corrosion resistance coefficient of recycled concrete decreases linearly with the increase in the replacement ratio of recycled coarse aggregates. With the increase in water–cement ratio and decrease in waste concrete strength, the corrosion resistance coefficient decreases, with a maximum decrease of 21.00%. Considering the effects of the replacement ratio of recycled coarse aggregates, waste concrete strength, and water–cement ratio, a prediction model for the corrosion resistance coefficient and a prediction model for the cubic compressive strength of recycled concrete under sulfate attack are proposed.
- (3)
- The higher the replacement ratio of recycled coarse aggregates and water–cement ratio and the lower waste concrete strength, the more significant the reductions in the axial compressive strength, with a maximum reduction of 37.82%. Compared with recycled concrete under the non-corrosive environment, the axial compressive strength of recycled concrete with water–cement ratio of 0.50, waste concrete strength of C40, and recycled coarse aggregate replacement ratio of 50% under dry–wet cycles of water increases by 17.05%. A prediction model for the axial compressive strength and a compressive constitutive model of recycled concrete under sulfate attack considering the effects of the replacement ratio of recycled coarse aggregates, waste concrete strength, and water–cement ratio are established.
- (4)
- The pore structure of recycled concrete is significantly destroyed by the expansion stress generated by Na2SO4 crystals on the pore walls, the concrete matrix becomes loose, and the bonding ability between the recycled aggregates and the mortar decreases.
- (5)
- In this study, the exploration of the mechanical properties of recycled concrete under sulfate attack is conducted on a material level, and the research results can provide theoretical basis, data support, and design methods for durability in engineering applications using recycled concrete under sulfate attack. Further research can be conducted on the mechanical properties of recycled concrete components or structures under sulfate attack, taking into account the effects of more factors.
Author Contributions
Funding
Data Availability Statement
Conflicts of Interest
References
- Silva, R.V.; De Brito, J.; Dhir, R.K. Properties and composition of recycled aggregates from construction and demolition waste suitable for concrete production. Constr. Build. Mater. 2014, 65, 201–217. [Google Scholar] [CrossRef]
- Sharholy, M.; Ahmad, K.; Mahmood, G.; Trivedi, R.C. Municipal solid waste management in Indian cities—A review. Waste Manag. 2008, 28, 459–467. [Google Scholar] [CrossRef]
- Kim, J. Construction and demolition waste management in Korea: Recycled aggregate and its application. Clean Technol. Environ. 2021, 23, 2223–2234. [Google Scholar] [CrossRef]
- Wang, J.; Su, H.; Du, J. Corrosion characteristics of steel bars embedded in recycled concrete beams under static loads. J. Mater. Civ. Eng. 2020, 32, 04020263. [Google Scholar] [CrossRef]
- Wang, J.; Xu, Q. The combined effect of load and corrosion on the flexural performance of recycled aggregate concrete beams. Struct. Concr. 2023, 24, 359–373. [Google Scholar] [CrossRef]
- Yeheyis, M.; Hewage, K.; Alam, M.S.; Eskicioglu, C.; Sadiq, R. An overview of construction and demolition waste management in Canada: A lifecycle analysis approach to sustainability. Clean Technol. Environ. 2013, 15, 81–91. [Google Scholar] [CrossRef]
- Kofoworola, O.F.; Gheewala, S.H. Estimation of construction waste generation and management in Thailand. Waste Manag. 2009, 29, 731–738. [Google Scholar] [CrossRef]
- Lv, H.; Li, Y.; Yan, H.B.; Wu, D.; Shi, G.; Xu, Q. Examining construction waste management policies in mainland China for potential performance improvements. Clean Technol. Environ. 2020, 23, 445–462. [Google Scholar] [CrossRef]
- Hoang, N.H.; Ishigaki, T.; Kubota, R.; Tong, T.K.; Nguyen, T.T.; Nguyen, H.G.; Yamada, M.; Kawamoto, K. Waste generation, composition, and handling in building–related construction and demolition in Hanoi, Vietnam. Waste Manag. 2020, 117, 32–41. [Google Scholar] [CrossRef]
- Luo, S.; Ye, S.; Xiao, J.; Zheng, J.; Zhu, Y. Carbonated recycled coarse aggregate and uniaxial compressive stress-strain relation of recycled aggregate concrete. Constr. Build. Mater. 2018, 188, 956–965. [Google Scholar] [CrossRef]
- Lu, B.; Shi, C.; Cao, Z.; Guo, M.; Zheng, J. Effect of carbonated coarse recycled concrete aggregate on the properties and microstructure of recycled concrete. J. Clean. Prod. 2019, 233, 421–428. [Google Scholar] [CrossRef]
- Zhang, M.Y.; Liu, X.L.; Kong, L.J. Evaluation of carbon and economic benefits of producing recycled aggregates from construction and demolition waste. J. Clean. Prod. 2023, 425, 138946. [Google Scholar] [CrossRef]
- Coelho, A.; Brito, J. Economic viability analysis of a construction and demolition waste plant in Portugal—Part II: Economic sensitivity analysis. J. Clean. Prod. 2013, 39, 329–337. [Google Scholar] [CrossRef]
- Coelho, A.; Brito, J. Economic viability analysis of a construction and demolition waste plant in Portugal—Part I: Location, materials, technology and economic analysis. J. Clean. Prod. 2013, 39, 338–352. [Google Scholar] [CrossRef]
- Wang, J.; Su, H.; Du, J.S.; Yu, J. Corrosion–induced cracking of recycled aggregate concrete beams under static load. Proc. Inst. Civ. Eng.-Struct. Build. 2023, 176, 800–814. [Google Scholar] [CrossRef]
- Wang, J.; Ng, P.L.; Qin, H.T.; Yuan, Y.Y. Recycled concrete beams subjected to combined reinforcement corrosion and static pre–loading. Mag. Concr. Res. 2023, 75, 703–722. [Google Scholar] [CrossRef]
- Butler, L.; West, J.S.; Tighe, S.L. The effect of recycled concrete aggregate properties on the bond strength between RCA concrete and steel reinforcement. Cem. Concr. Res. 2011, 41, 1037–1049. [Google Scholar] [CrossRef]
- Oikonomou, N.D. Recycled concrete aggregates. Cem. Concr. Compos. 2005, 27, 315–318. [Google Scholar] [CrossRef]
- Wang, J.; Qin, H.T.; Xu, Q. Flexural stiffness of recycled aggregate concrete beams under combined effect of load and steel corrosion. Struct. Concr. 2023, 24, 5909–5927. [Google Scholar] [CrossRef]
- Etxeberria, M.; Vazquez, E.; Mari, A. Microstructure analysis of hardened recycled aggregate concrete. Mag. Concr. Res. 2006, 58, 683–690. [Google Scholar] [CrossRef]
- Zhao, Z.; Remond, S.; Damidot, D.; Xu, W.Y. Influence of fine recycled concrete aggregates on the properties of mortars. Constr. Build. Mater. 2015, 81, 179–186. [Google Scholar] [CrossRef]
- Zhao, Z.F.; Courard, L.; Groslambert, S.; Jehin, T.; Leonard, A.; Xiao, J.Z. Use of recycled concrete aggregates from precast block for the production of new building blocks: An industrial scale study. Resour. Conserv. Recycl. 2020, 157, 104786. [Google Scholar] [CrossRef]
- Guo, Z.H. Test and Constitution Relationship of Strength and Deformation of Concrete: Experimental Foundation and Constitutive Relations; Tsinghua University Press: Beijing, China, 1997. [Google Scholar]
- Xu, H. Research on Damage Behavior of Concrete under Sulfate Corrosion. Ph.D. Thesis, China University of Mining and Technology, Xuzhou, China, 2012. [Google Scholar]
- Yang, M. Experimental Study on Concrete Attacked by Sulfate Corrosion under Different Dry–Wet Cycles. Master’s Thesis, Zhengzhou University, Zhengzhou, China, 2019. [Google Scholar]
- Zhu, M. Influence of Dry–Wet and Freeze–Thaw Cycles on Mechanical Properties of Reactive Powder Concrete in Marine Environment. Master’s Thesis, Beijing Jiaotong University, Beijing, China, 2014. [Google Scholar]
- Fei, Q.N. Microscopic Test Research of Sulfate Attack Concrete in a Complex Environment. Master’s Thesis, Xi’an University of Architecture and Technology, Xi’an, China, 2013. [Google Scholar]
- Wang, Z.X.; Li, Q.Y.; Cao, Y.B.; Liu, H.B. Effect of sulfate erosion on multiple interface microstructure of recycled concrete. Bull. Chin. Ceram. Soc. 2017, 36, 443–448. [Google Scholar]
- Qiao, H.X.; Zhu, X.C.; Chen, K.F.; Peng, K. Analysis of sulfate corrosion resistance and reliability of recycled concrete. Wuhan Univ. J. Nat. Sci. 2020, 25, 208–216. [Google Scholar]
- Jia, W.L.; Zhang, Q.; Li, H. Effect of sulfate dry–wet cycles on the performance of recycled aggregate concrete. Bull. Chin. Ceram. Soc. 2016, 35, 3981–3986. [Google Scholar]
- Du, K.W.; Wei, W.; Cai, C.H.; Sun, X.; Qiao, H.X. Mechanism and reliability analysis of sulfate resistance of recycled concrete. Bull. Chin. Ceram. Soc. 2021, 40, 4070–4076. [Google Scholar]
- Tian, W.Y. Study on Performance Degradation of Recycled Concrete with Different Water–Cement Ratios under Coupling of Freeze–Thaw and Sulfate. Master’s Thesis, Xi’an University of Science and Technology, Xi’an, China, 2020. [Google Scholar]
- Fu, T.H.; Wang, R.J.; He, X.Y.; Tao, J.; Ma, L.P. Study on durability of recycled concrete under sulfate attack. J. Water Res. Water Eng. 2018, 29, 194–199. [Google Scholar]
- Yan, H.S. Experimental study on recycled aggregate concrete sulfate attack. Concrete 2013, 5, 13–15. [Google Scholar]
- Liu, D.Q.; Chen, L.L.; Wang, S.Y.; Hao, G.C. Durability and life prediction of recycled concrete under sulfate attack and wet-dry cycle. J. Yangtze River Sci. Res. Inst. 2018, 35, 137–142. [Google Scholar]
- GB/T 25177–2010; Recycled Coarse Aggregate for Concrete. General Administration of Quality Supervision, Inspection and Quarantine of China (AQSIQC): Beijing, China, 2010.
- Xiao, Q.; Cao, Z.; Guan, X.; Qiu, J. Degradation law of recycled concrete under the coupling of freeze-thaw and sulfate erosion. Bull. Chin. Ceram. Soc. 2020, 39, 352–358. [Google Scholar]
- Qi, X.; Xiao, Q.; Qiu, J.; Liu, S. Microstructure of recycled aggregate concrete under combined action of freeze-thaw cycles and sulfate attack. Bull. Chin. Ceram. Soc. 2023, 42, 1194–1204. [Google Scholar]
- GB/T 50081–2019; Standard for Test Methods of Concrete Physical and Mechanical Properties. China Architecture and Building Press: Beijing, China, 2019.
- Huang, Y. Experiment Study on Sulfate Resistance of Recycled Concrete under Dry-Wet and Freeze-Thaw Environment. Master’s Thesis, Inner Mongolia University of Science & Technology, Baotou, China, 2023. [Google Scholar]
- Xie, B.Y. Study on Resistance to Sulfate Attack of Recycled Aggregate Concrete. Master’s Thesis, Huazhong University of Science and Technology, Wuhan, China, 2016. [Google Scholar]
- Jiang, L.; Niu, D.T. Study on constitutive relation of concrete under sulfate attack and drying–wetting cycles. J. China Univ. Min. Technol. 2017, 46, 66–73. [Google Scholar]
- Santillán, L.R.; Zaccardi, Y.A.V.; Zega, C.J.; Méndez, E.M. Macroscopic behavior and microstructural analysis of recycled aggregate mortar bars exposed to external sulfate attack. Cem. Concr. Compos. 2023, 143, 105277. [Google Scholar] [CrossRef]





















| SiO2 | Al2O3 | Fe2O3 | CaO | MgO | SO3 | Loss |
|---|---|---|---|---|---|---|
| 22.25 | 4.98 | 3.47 | 64.84 | 0.81 | 0.81 | 2.84 |
| Apparent Density (kg/m3) | Mud Block Content (%) | Mud Powder Content (%) | Needle and Flake Particle Content (%) | Crushing Index (%) |
|---|---|---|---|---|
| 2650 | 0.2 | 0.6 | 7 | 14 |
| Recycled Coarse Aggregate | Apparent Density (kg/m3) | Crushing Index (%) | Water Absorption (%) | Porosity (%) |
|---|---|---|---|---|
| C30 | 2495 | 14 | 6.4 | 13.8 |
| C40 | 2467 | 10 | 4.5 | 9.9 |
| Specimen Number | Waste Concrete Strength | Water–Cement Ratio | Replacement Ratio of Recycled Coarse Aggregates (%) | Corrosive Environment |
|---|---|---|---|---|
| NAC–N0.50 | — | 0.50 | 0 | None |
| NAC–S0.50 | Sulfate solution | |||
| NAC–N0.60 | 0.60 | 0 | None | |
| NAC–S0.60 | Sulfate solution | |||
| RAC30–R30–N0.50 | C30 | 0.50 | 30 | None |
| RAC30–R30–S0.50 | Sulfate solution | |||
| RAC30–R50–N0.50 | 50 | None | ||
| RAC30–R50–W0.50 | Tap water | |||
| RAC30–R50–S0.50 | Sulfate solution | |||
| RAC30–R100–N0.50 | 100 | None | ||
| RAC30–R100–S0.50 | Sulfate solution | |||
| RAC30–R30–N0.60 | 0.60 | 30 | None | |
| RAC30–R30–S0.60 | Sulfate solution | |||
| RAC30–R50–N0.60 | 50 | None | ||
| RAC30–R50–W0.60 | Tap water | |||
| RAC30–R50–S0.60 | Sulfate solution | |||
| RAC30–R100–N0.60 | 100 | None | ||
| RAC30–R100–S0.60 | Sulfate solution | |||
| RAC40–R30–N0.50 | C40 | 0.50 | 30 | None |
| RAC40–R30–S0.50 | Sulfate solution | |||
| RAC40–R50–N0.50 | 50 | None | ||
| RAC40–R50–W0.50 | Tap water | |||
| RAC40–R50–S0.50 | Sulfate solution | |||
| RAC40–R100–N0.50 | 100 | None | ||
| RAC40–R100–S0.50 | Sulfate solution | |||
| RAC40–R30–N0.60 | 0.60 | 30 | None | |
| RAC40–R30–S0.60 | Sulfate solution | |||
| RAC40–R50–N0.60 | 50 | None | ||
| RAC40–R50–W0.60 | Tap water | |||
| RAC40–R50–S0.60 | Sulfate solution | |||
| RAC40–R100–N0.60 | 100 | None | ||
| RAC40–R100–S0.60 | Sulfate solution |
| Water–Cement Ratio | Cement (kg/m3) | Water (kg/m3) | Sand (kg/m3) | Coarse Aggregates (kg/m3) |
|---|---|---|---|---|
| 0.50 | 390 | 195 | 635.25 | 1179.75 |
| 0.60 | 325 | 195 | 658 | 1222 |
| Specimen Number | a | b |
|---|---|---|
| NAC–S0.50 | 1.5391 | 3.1324 |
| NAC–S0.60 | 2.1523 | 1.7400 |
| RAC30–R30–S0.50 | 1.7950 | 2.3455 |
| RAC30–R50–S0.50 | 2.2512 | 1.9512 |
| RAC30–R100–S0.50 | 3.1005 | 2.1476 |
| RAC30–R30–S0.60 | 2.3873 | 1.4549 |
| RAC30–R50–S0.60 | 3.0773 | 1.4337 |
| RAC30–R100–S0.60 | 4.9639 | 1.2775 |
| RAC40–R30–S0.50 | 1.7581 | 2.3700 |
| RAC40–R50–S0.50 | 1.9416 | 2.7759 |
| RAC40–R100–S0.50 | 2.4141 | 2.8049 |
| RAC40–R30–S0.60 | 2.3580 | 1.5698 |
| RAC40–R50–S0.60 | 2.4668 | 1.5476 |
| RAC40–R100–S0.60 | 3.4459 | 2.1859 |
Disclaimer/Publisher’s Note: The statements, opinions and data contained in all publications are solely those of the individual author(s) and contributor(s) and not of MDPI and/or the editor(s). MDPI and/or the editor(s) disclaim responsibility for any injury to people or property resulting from any ideas, methods, instructions or products referred to in the content. |
© 2024 by the authors. Licensee MDPI, Basel, Switzerland. This article is an open access article distributed under the terms and conditions of the Creative Commons Attribution (CC BY) license (https://creativecommons.org/licenses/by/4.0/).
Share and Cite
Gu, R.; Wang, J.; Li, B.; Qi, D.; Gao, X.; Yang, Z. Experimental Study on Mechanical Properties and Compressive Constitutive Model of Recycled Concrete under Sulfate Attack Considering the Effects of Multiple Factors. Buildings 2024, 14, 2761. https://doi.org/10.3390/buildings14092761
Gu R, Wang J, Li B, Qi D, Gao X, Yang Z. Experimental Study on Mechanical Properties and Compressive Constitutive Model of Recycled Concrete under Sulfate Attack Considering the Effects of Multiple Factors. Buildings. 2024; 14(9):2761. https://doi.org/10.3390/buildings14092761
Chicago/Turabian StyleGu, Rui, Jian Wang, Benpeng Li, Di Qi, Xiaohu Gao, and Zhiyong Yang. 2024. "Experimental Study on Mechanical Properties and Compressive Constitutive Model of Recycled Concrete under Sulfate Attack Considering the Effects of Multiple Factors" Buildings 14, no. 9: 2761. https://doi.org/10.3390/buildings14092761
APA StyleGu, R., Wang, J., Li, B., Qi, D., Gao, X., & Yang, Z. (2024). Experimental Study on Mechanical Properties and Compressive Constitutive Model of Recycled Concrete under Sulfate Attack Considering the Effects of Multiple Factors. Buildings, 14(9), 2761. https://doi.org/10.3390/buildings14092761

