Vibration in Floors Induced for Human Walking: Comparison of Two Design Guidelines
Abstract
1. Introduction
- Design of floors for vibration: A new approach of the Steel Construction Institute, 2009 [18];
- Post-tensioned Concrete Floors Design Handbook of the Concrete Society, 2005 [19];
- A Design Guide for Footfall Induced Vibration of Structure, of the Concrete Centre, 2006 [20];
- The American Institute of Steel Construction Design Guide 11, 2016 [21];
- European Guide, Human-induced vibration of steel structures, 2007 [22].
- (1)
- The Steel Design Guide 11: Vibrations of Steel-Framed Structural Systems Due to Human Activity, of the American Institute of Steel Construction (AISC) [21].
- (2)
- Design of floor structures for human-induced vibrations, prepared under the Joint Research Center (JRC)—European Convention for Constructional Steelworks (ECCS) cooperation agreement for the evolution of Eurocode 3 [22].
2. Methodology for Computing the Floor Response
2.1. Dynamic Characterization of the Floor
- (a)
- Fundamental frequency
- (b)
- Modal mass
- (c)
- Damping
2.2. Characterization of the Human Activity: Dynamic Forces Induced by Walking and Response of the Floor
- (a)
- JRC-ESSC Guide
- (b)
- AISC Guide
2.2.1. Low Frequency Floors
2.2.2. High Frequency Floors
2.3. Tolerance Limits or Comfort Assessment
- (a)
- JRC-ECCS Guide
- (b)
- AISC Guide
3. Results and Discussion
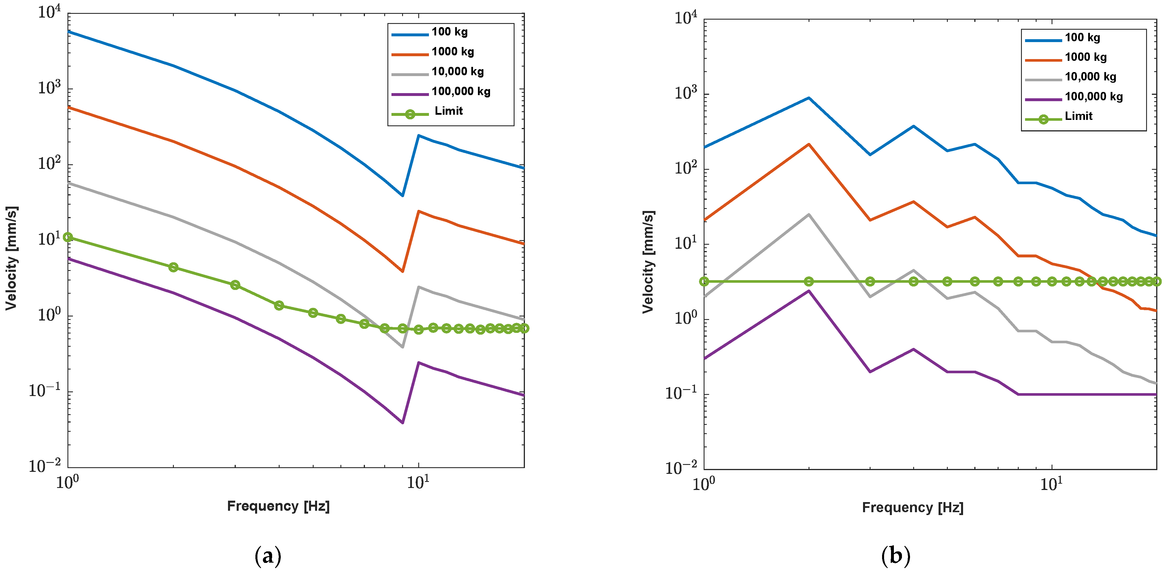
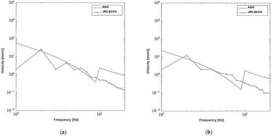
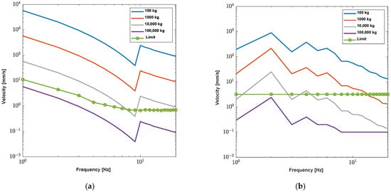
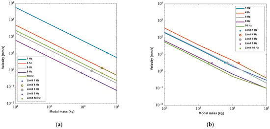
3.1. Computed Values of the Floor Velocity
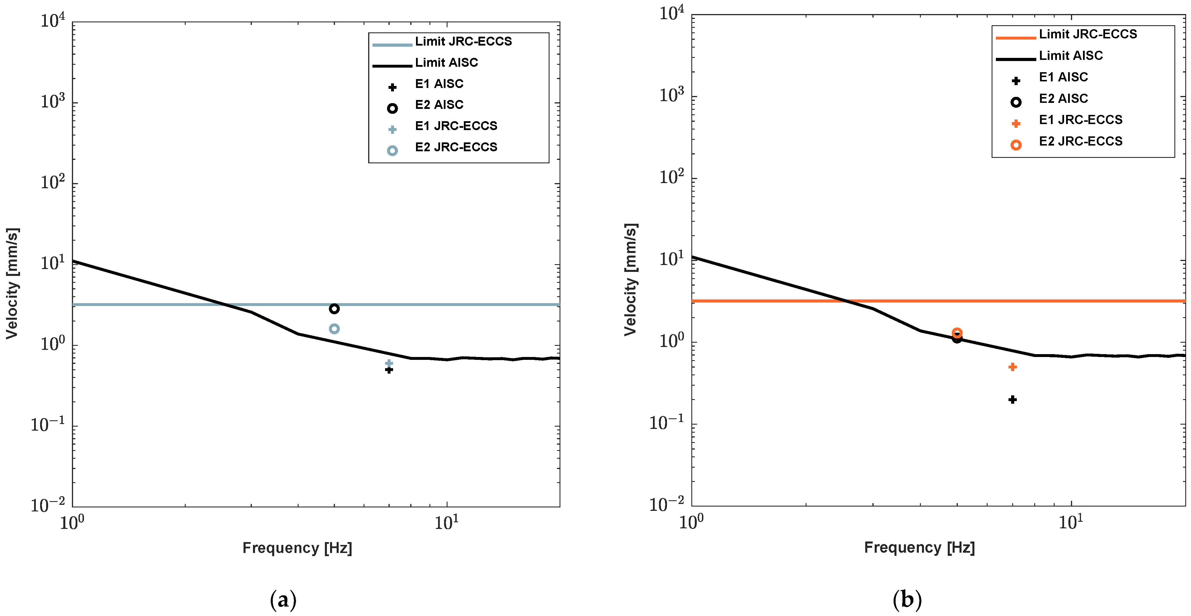
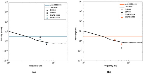
3.2. Tolerance Limits
4. Conclusions
- The shape of these charts presents some differences, especially because the AISC Guide distinguishes clearly the behavior of a low frequency and a high frequency floor.
- By comparing more closely the computed values of the floor velocity, we have observed that in an intermediate frequency range (between 4 and 9 Hz), the response of the floors, although different, is comparable.
- On the contrary, in the low and high frequency ranges, the values predicted by the AISC Guide are much higher than the ones obtained by the JRC-ECCS Guide.
- With respect to the tolerance limits, in general, the ones provided by the American Guide are more restrictive than those of the European Guide. This fact explains why, when applying the guidelines to two real floors selected from the technical literature, we find that one of them is admissible according to the JRC-ECCS Guide but not if the AISC Guide is followed.
Author Contributions
Funding
Data Availability Statement
Acknowledgments
Conflicts of Interest
References
- Ebrahimpour, A.; Sack, R.L. A review of vibration serviceability criteria for floor structures. Comput. Struct. 2005, 830, 2488–2494. [Google Scholar] [CrossRef]
- Middleton, C.J.; Brownjohn, J.M.W. Response of high frequency floors: A literature review. Eng. Struct. 2010, 320, 337–352. [Google Scholar] [CrossRef]
- Bayat, A.; Gordon, C.G. A discussion of vibration and noise issues in a cleanroom design: Past, present and future. In Proceedings of the ICCCS 14th International Symposium on Contamination Control, Phoenix, AZ, USA, 26 April–1 May 1998; Institute of Environmental Sciences and Technology: Schaumburg, IL, USA, 1998; pp. 139–143. [Google Scholar]
- Bachmann, H.; Ammann, W. Vibrations in structures induced by man and machines. Can. J. Civ. Eng. 1987, 15, 1086–1087. [Google Scholar]
- Dallard, P.; Fitzpatrick, T.; Flint, A.; Low, A.; Smith, R.R.; Willford, M.; Roche, M. London millennium bridge: Pedestrian-induced lateral vibration. J. Bridge Eng. 2001, 6, 412–417. [Google Scholar] [CrossRef]
- Allen, D.E.; Murray, T.M. Design criterion for vibrations due to walking. ASCE J. Struct. Eng. 1992, 4, 117–129. [Google Scholar] [CrossRef]
- Mohammed, A.S.; Pavic, A.; Racic, V. Improved model for human induced vibrations of high-frequency floors. Eng. Struct. 2018, 168, 950–966. [Google Scholar] [CrossRef]
- Živanović, S.; Pavic, A.L.; Reynolds, P. Vibration serviceability of footbridges under human-induced excitation: A literature review. J. Sound Vib. 2005, 279, 1–74. [Google Scholar] [CrossRef]
- Isaacs, M.R. Partitioning the Mechanical Cost of Human Walking: Unveiling Cost Asymmetries for Bionic Technologies. Ph.D. Thesis, University of Nevada, Las Vegas, NV, USA, 2020; pp. 1–125. [Google Scholar]
- Racic, V.; Brownjohn, J.M. Stochastic model of near-periodic vertical loads due to humans walking. Adv. Eng. Inform. 2011, 25, 259–275. [Google Scholar] [CrossRef]
- Bayat, E.; Tubino, F. Probabilistic assessment of the dynamic response of floors under multi-pedestrian walking loads. Mech. Syst. Signal Process. 2024, 213, 111363. [Google Scholar] [CrossRef]
- Cai, Y.; Gong, G.; Xia, J.; He, J.; Hao, J. Simulations of human-induced floor vibrations considering walking overlap. SN Appl. Sci. 2020, 2, 19. [Google Scholar] [CrossRef]
- Racic, V.; Pavic, A.; Brownjohn, J.M.W. Modern facilities for experimental measurement of dynamic loads induced by humans: A literature review. Shock Vib. 2013, 20, 53–67. [Google Scholar] [CrossRef]
- Martinelli, L.; Racic, V.; Dal Lago, B.A.; Foti, F. Testing Walking-Induced Vibration of Floors Using Smartphones Recordings. Robotics 2020, 9, 37. [Google Scholar] [CrossRef]
- ISO 2631-2; Evaluation of Human Exposure to Whole Body Vibration—Part 2: Human Exposure to Continuous and Shock-Induced Vibrations in Buildings (1 to 80 Hz). International Standard Organization: Geneva, Switzerland, 1989.
- Muhammad, Z.O.; Reynolds, P. Vibration serviceability of building floors: Performance evaluation of contemporary design guidelines. J. Perform. Constr. Facil. 2019, 33, 04019012. [Google Scholar] [CrossRef]
- Concha Renedo, C.M. Constrained Layer Damping Applied to Lightweight Composite Floors: Modelling, Testing and Structural Optimization. Doctoral Thesis, Polytechnic University of Madrid, Madrid, Spain, 2024. [Google Scholar]
- Smith, A.L.; Hicks, S.J.; Devine, P.J. SCI P354: Design of Floors for Vibration; Institute, Ed. SCI: Washington, DC, USA, 2009; pp. 1–113. [Google Scholar]
- Concrete Society. CS Technical Report 43: Post-Tensioned Concrete Floors Design Handbook—Appendix G; The Concrete Society: Berkshire, UK, 2005; pp. 99–107. [Google Scholar]
- Willford, M. A Design Guide for Footfall Induced Vibration of Structures; 569 Concrete Centre (CC): Surry, UK, 2006. [Google Scholar]
- Murray, T.M.; Allen, D.E.; Ungar, E.E.; Davis, D.B. The Steel Design Guide. Vibrations of Steel-Framed Structural Systems Due to Human Activity; American Institute of Steel Construction (AISC): Chicago, IL, USA, 2016. [Google Scholar]
- Sedlacek, G. Design of Floor Structures for Human Induced Vibrations, Prepared Under the Joint Research Center (JRC); European Convention for Constructional Steelworks (ECCS) cooperation agreement for the evolution of Eurocode 3; JRC: Brussels, Belgium, 2009. [Google Scholar]
- Xu, Z.D.; Chen, Z.H.; Huang, X.H.; Zhou, C.Y.; Hu, Z.W.; Yang, Q.H.; Gai, P.P. Recent Advances in Multi-Dimensional Vibration Mitigation Materials and Devices. Front. Mater. 2019, 6, 143. [Google Scholar] [CrossRef]
- Allen, D.E.; Pernica, G. Control of Floor Vibration; Construction Technology Update: Ottawa, ON, Canada, 1998; Volume 22. [Google Scholar]
- Willford, M.; Young, P.; Algaard, W.H. A constrained layer damping system for composite floors. Struct. Eng. 2006, 84, 31–38. [Google Scholar]
- Renedo, C.M.; Díaz, I.M.; García-Palacios, J.H.; Gallegos-Calderón, C. Structural Optimization of Lightweight Composite Floors with Integrated Constrained Layer Damping for Vibration Control. Actuators 2023, 12, 288. [Google Scholar] [CrossRef]
- Setareh, M.; Hanson, R.D. Tuned mass dampers to control floor vibration from humans. J. Struct. Eng. 1992, 118, 741–762. [Google Scholar] [CrossRef]
- An, Q.; Chen, Z.; Ren, Q.; Liu, H.; Yan, X. Control of human-induced vibration of an innovative CSBS–CSCFS. J. Constr. Steel Res. 2015, 115, 359–371. [Google Scholar] [CrossRef]
- Setareh, M. An Economical Multiple-Tuned Mass Damper to Control Floor Vibrations. In Experimental Vibration Analysis for Civil Engineering Structures; Lecture Notes in Civil Engineering; Springer: Cham, Switzerland, 2023; Volume 224. [Google Scholar]
- Hudson, M.J.; Reynolds, P. Implementation considerations for active vibration control in the design of floor structures. Eng. Struct. 2012, 44, 334–358. [Google Scholar] [CrossRef]
- Wang, X.; Pereira, E.; García-Palacios, J.H.; Díaz, I.M. A general vibration control methodology for human-induced vibrations. Struct. Control. Health Monit. 2019, 26, e2406. [Google Scholar] [CrossRef]
- Cao, L.; Li, X.; Huang, Y.; Li, C.; Pan, H. High robust eddy current tuned tandem mass dampers-inerters for structures under the ground acceleration. Soil Dyn. Earthq. Eng. 2025, 188, 109040. [Google Scholar] [CrossRef]
- Blevins, R.D. Formulas for Natural Frequency and Mode Shape; Van Nostrand Reinhold, Co.: London, UK, 1979. [Google Scholar]











| Examples | Damping Ratio | ||||
|---|---|---|---|---|---|
| AISC | JRC-ECCS | ||||
| E1 | 2% | 7 | 20,000 | 0.50 | 0.60 |
| 5% | 7 | 20,000 | 0.20 | 0.50 | |
| E2 | 2% | 5 | 10,000 | 2.83 | 1.90 |
| 5% | 5 | 10,000 | 1.13 | 1.30 | |
Disclaimer/Publisher’s Note: The statements, opinions and data contained in all publications are solely those of the individual author(s) and contributor(s) and not of MDPI and/or the editor(s). MDPI and/or the editor(s) disclaim responsibility for any injury to people or property resulting from any ideas, methods, instructions or products referred to in the content. |
© 2024 by the authors. Licensee MDPI, Basel, Switzerland. This article is an open access article distributed under the terms and conditions of the Creative Commons Attribution (CC BY) license (https://creativecommons.org/licenses/by/4.0/).
Share and Cite
López Cela, J.J.; Martínez Vicente, J.L. Vibration in Floors Induced for Human Walking: Comparison of Two Design Guidelines. Buildings 2024, 14, 3911. https://doi.org/10.3390/buildings14123911
López Cela JJ, Martínez Vicente JL. Vibration in Floors Induced for Human Walking: Comparison of Two Design Guidelines. Buildings. 2024; 14(12):3911. https://doi.org/10.3390/buildings14123911
Chicago/Turabian StyleLópez Cela, Juan José, and Juan Luis Martínez Vicente. 2024. "Vibration in Floors Induced for Human Walking: Comparison of Two Design Guidelines" Buildings 14, no. 12: 3911. https://doi.org/10.3390/buildings14123911
APA StyleLópez Cela, J. J., & Martínez Vicente, J. L. (2024). Vibration in Floors Induced for Human Walking: Comparison of Two Design Guidelines. Buildings, 14(12), 3911. https://doi.org/10.3390/buildings14123911

