A Systematic Mapping Study and a Review of the Optimization Methods of Structures in Architectural Design
Abstract
1. Introduction
- What topology optimization methods have been proposed in the last decade?
- Are there any changes in trends observed during the period?
2. Method
- (I1) Journal articles published between 2014–2023 written in English
- (I2) Description of structure in the title
- (I3) The description of optimization in the title, abstract or keywords
- (I4) The term “Optim*” appears to be associated with its structure in the title, abstract or keywords
- (E1) Not a design of new construction (ex. “diagnosis”, “inspection”, or “retrofit”)
- (E2) The term “Optim*” is used without referring to particular methods (ex. “optimal shape”, “optimal solution” with no supporting information on methods)
- (E3) Review articles
- (E4) Found not to be a structural optimization after reading the body text.
3. Results
3.1. Systematic Search
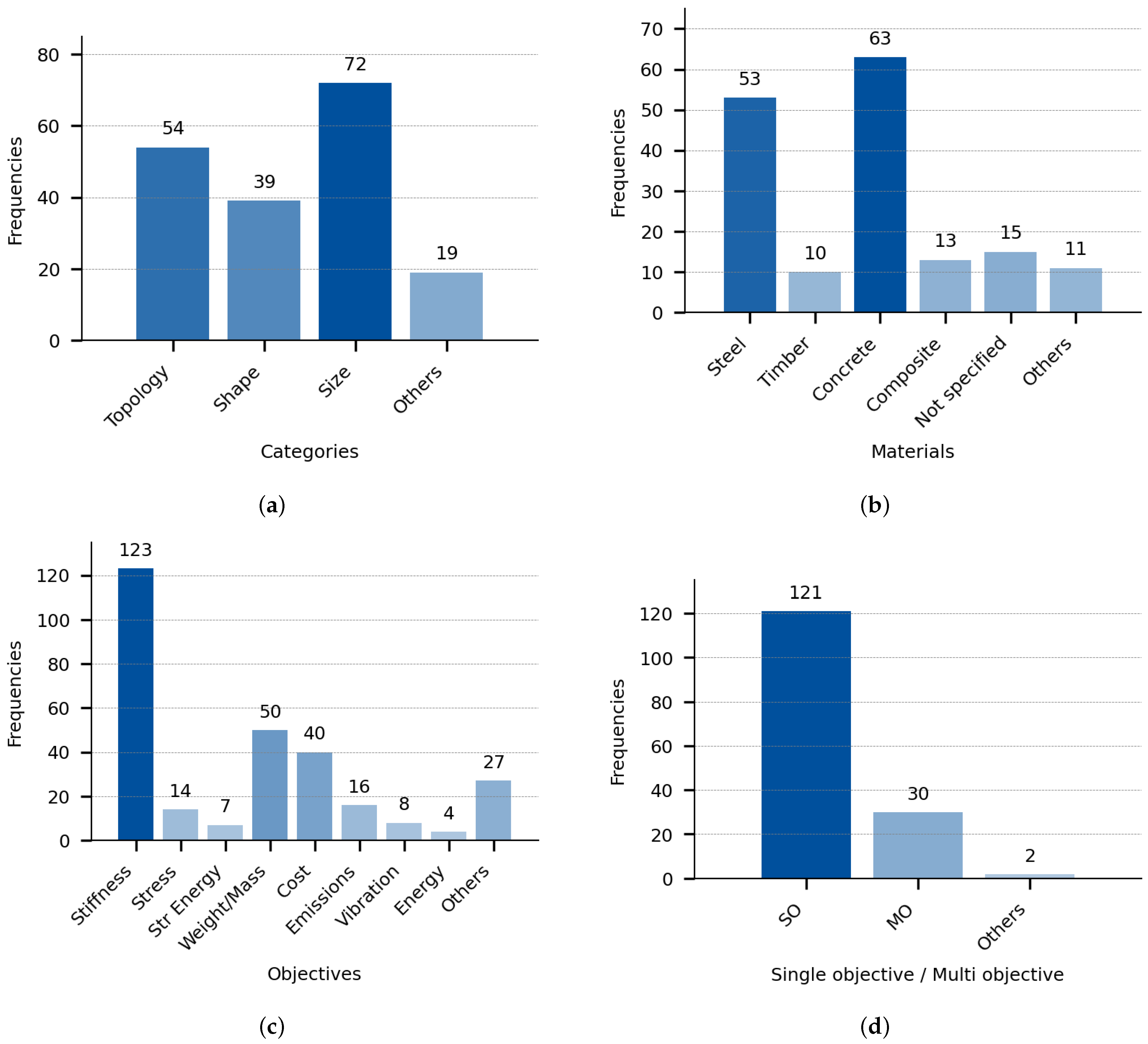
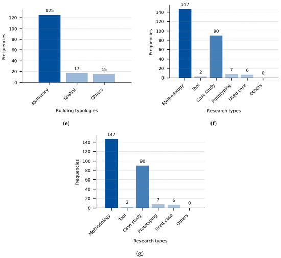
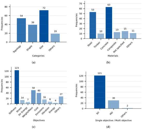
3.2. Result by Classifications
3.3. Result by Interactions of Classifications
4. Review—Topology Optimization
5. Discussion
6. Conclusions
Author Contributions
Funding
Institutional Review Board Statement
Informed Consent Statement
Data Availability Statement
Conflicts of Interest
References
- Schmit, L. Structural design by systematic synthesis. In Proceedings of the 2nd Conference on Electronic Computation, ASCE, New York, NY, USA, 8–9 September 1960. [Google Scholar]
- Vanderplaats, G. Thirty years of modern structural optimization. Adv. Eng. Softw. 1993, 16, 81–88. [Google Scholar] [CrossRef]
- Bendsøe, M.; Sigmund, O. Topology Optimisation; Springer: Berlin/Heidelberg, Germany, 2004. [Google Scholar]
- Structural Optimization; Continued as Structural and Multidisciplinary Optimization; Springer: Berlin/Heidelberg, Germany, 1989–1999; ISSN 0934-4373.
- Structural and Multidisciplinary Optimization; Formerly published as Structural Optimization; Springer: Berlin/Heidelberg, Germany, 2000–2024; ISSN 1615-1488. Available online: https://link.springer.com/journal/158 (accessed on 17 September 2024).
- Izumi, B.; Rønnquist, A.; Manum, B. Study on the influence of structural optimization techniques on architectural design, with a focus on topology optimization methods. In Proceedings of the IASS Annual Symposia, Melbourne, Australia, 10–14 July 2023; Melbourne IASS 2023 Symposium: Optimisation Methods and Applications. International Association for Shell and Spatial Structures (IASS): Madrid, Spain, 2023; pp. 1–9. [Google Scholar]
- Petersen, K.; Feldt, R.; Mujtaba, S.; Mattsson, M. Systematic Mapping Studies in Software Engineering. In Proceedings of the 12th International Conference on Evaluation and Assessment in Software Engineering, Bari, Italy, 26–27 June 2008. [Google Scholar]
- Denyer, D.; Tranfield, D.; van Aken, J.E. Developing Design Propositions through Research Synthesis. Organ. Stud. 2008, 29, 393–413. [Google Scholar] [CrossRef]
- Wang, Z.; Giaralis, A. A Novel Integrated Optimization-Driven Design Framework for Minimum-Weight Lateral-Load Resisting Systems in Wind-Sensitive Buildings Equipped with Dynamic Vibration Absorbers. Struct. Control Health Monit. 2023, 2023, 3754773. [Google Scholar] [CrossRef]
- Aydin, E.; Ozturk, B.; Dutkiewicz, M. Analysis of efficiency of passive dampers in multistorey buildings. J. Sound Vib. 2019, 439, 17–28. [Google Scholar] [CrossRef]
- Bui, V.B.; Mac, T.T.; Bui, H.L. Design optimization considering the stability constraint of the Hedge-algebras-based controller for building structures subjected to seismic excitations. Proc. Inst. Mech. Eng. Part I J. Syst. Control Eng. 2023, 237, 1822–1837. [Google Scholar] [CrossRef]
- Xu, Y.; Guo, T.; Yan, P. Design optimization of triple friction pendulums for base-isolated high-rise buildings. Adv. Struct. Eng. 2019, 22, 2727–2740. [Google Scholar] [CrossRef]
- Shin, H.; Singh, M. Minimum failure cost-based energy dissipation system designs for buildings in three seismic regions—Part I: Elements of failure cost analysis. Eng. Struct. 2014, 74, 266–274. [Google Scholar] [CrossRef]
- Shin, H.; Singh, M. Minimum life-cycle cost-based optimal design of yielding metallic devices for seismic loads. Eng. Struct. 2017, 144, 174–184. [Google Scholar] [CrossRef]
- Poh’sie, G.; Chisari, C.; Rinaldin, G.; Amadio, C.; Fragiacomo, M. Optimal design of tuned mass dampers for a multi-storey cross laminated timber building against seismic loads. Earthq. Eng. Struct. Dyn. 2016, 45, 1977–1995. [Google Scholar] [CrossRef]
- Petrini, F.; Giaralis, A.; Wang, Z. Optimal tuned mass-damper-inerter (TMDI) design in wind-excited tall buildings for occupants’ comfort serviceability performance and energy harvesting. Eng. Struct. 2020, 204, 109904. [Google Scholar] [CrossRef]
- Wu, J. Optimization design of building isolation structure based on sustainable benefit analysis. Int. J. Build. Pathol. Adapt. 2020, 39, 461–469. [Google Scholar] [CrossRef]
- Xiang, P.; Nishitani, A. Optimum design of tuned mass damper floor system integrated into bending-shear type building based on H∞, H2, and stability maximization criteria. Struct. Control Health Monit. 2015, 22, 919–938. [Google Scholar] [CrossRef]
- Lu, Z.; Li, K.; Ouyang, Y.; Shan, J. Performance-based optimal design of tuned impact damper for seismically excited nonlinear building. Eng. Struct. 2018, 160, 314–327. [Google Scholar] [CrossRef]
- Pourzeynali, S.; Salimi, S. Robust multi-objective optimization design of active tuned mass damper system to mitigate the vibrations of a high-rise building. Proc. Inst. Mech. Eng. Part C J. Mech. Eng. Sci. 2015, 229, 26–43. [Google Scholar] [CrossRef]
- Kim, H.S.; Kang, J.W. Simultaneous Multi-objective Optimization of Semi-active Intermediate Isolation System and Building Structure. Int. J. Steel Struct. 2021, 21, 604–612. [Google Scholar] [CrossRef]
- Nguyen, K.C.; Tran, P.; Nguyen, H.X. Multi-material topology optimization for additive manufacturing using polytree-based adaptive polygonal finite elements. Autom. Constr. 2019, 99, 79–90. [Google Scholar] [CrossRef]
- Reichert, S.; Schwinn, T.; La Magna, R.; Waimer, F.; Knippers, J.; Menges, A. Fibrous structures: An integrative approach to design computation, simulation and fabrication for lightweight, glass and carbon fibre composite structures in architecture based on biomimetic design principles. Comput. Aided Des. 2014, 52, 27–39. [Google Scholar] [CrossRef]
- Preisinger, C.; Heimrath, M. Karamba—A toolkit for parametric structural design. Struct. Eng. Int. J. Int. Assoc. Bridge Struct. Eng. (IABSE) 2014, 24, 217–221. [Google Scholar] [CrossRef]
- Lee, A.; Shepherd, P.; Evernden, M.; Metcalfe, D. Optimizing the Cross-sectional Shapes of Extruded Aluminium Structural Members for Unitized Curtain Wall Facades. Structures 2017, 10, 147–156. [Google Scholar] [CrossRef][Green Version]
- Lee, A.; Shepherd, P.; Evernden, M.; Metcalfe, D. Optimizing the architectural layouts and technical specifications of curtain walls to minimize use of aluminium. Structures 2018, 13, 8–25. [Google Scholar] [CrossRef]
- Mangal, M.; Cheng, J. Automated optimization of steel reinforcement in RC building frames using building information modeling and hybrid genetic algorithm. Autom. Constr. 2018, 90, 39–57. [Google Scholar] [CrossRef]
- Steiner, B.; Mousavian, E.; Saradj, F.; Wimmer, M.; Musialski, P. Integrated Structural—Architectural Design for Interactive Planning. Comput. Graph. Forum 2017, 36, 80–94. [Google Scholar] [CrossRef]
- Wonoto, N.; Blouin, V. Integrating grasshopper and matlab for shape optimization and structural form-finding of buildings. Comput.-Aided Des. Appl. 2018, 16, 1–12. [Google Scholar] [CrossRef]
- Gomaa, M.; Vaculik, J.; Soebarto, V.; Griffith, M.; Jabi, W. Feasibility of 3DP cob walls under compression loads in low-rise construction. Constr. Build. Mater. 2021, 301, 124079. [Google Scholar] [CrossRef]
- He, Y.; Cai, K.; Zhao, Z.L.; Xie, Y. Stochastic approaches to generating diverse and competitive structural designs in topology optimization. Finite Elem. Anal. Des. 2020, 173, 103399. [Google Scholar] [CrossRef]
- Suau, M.; Zegard, T. Topology optimization with optimal design subdomain selection. Struct. Multidiscip. Optim. 2023, 66, 246. [Google Scholar] [CrossRef]
- Frangedaki, E.; Sardone, L.; Lagaros, N.D. Design Optimization of Tree-Shaped Structural Systems and Sustainable Architecture Using Bamboo and Earthen Materials. J. Archit. Eng. 2021, 27. [Google Scholar] [CrossRef]
- Gao, Y.; Shao, Y.; Akbarzadeh, M. Application of Graphic Statics and Strut-and-Tie Models Optimization Algorithm in Innovative Timber Structure Design. Buildings 2023, 13, 2946. [Google Scholar] [CrossRef]
- Vantyghem, G.; Boel, V.; Steeman, M.; De Corte, W. Multi-material topology optimization involving simultaneous structural and thermal analyses. Struct. Multidiscip. Optim. 2019, 59, 731–743. [Google Scholar] [CrossRef]
- Zegard, T.; Hartz, C.; Mazurek, A.; Baker, W. Advancing building engineering through structural and topology optimization. Struct. Multidiscip. Optim. 2020, 62, 915–935. [Google Scholar] [CrossRef]
- Beghini, L.; Beghini, A.; Katz, N.; Baker, W.; Paulino, G. Connecting architecture and engineering through structural topology optimization. Eng. Struct. 2014, 59, 716–726. [Google Scholar] [CrossRef]
- Tsavdaridis, K. Applications of topology optimization in structural engineering: High-rise buildings and steel components. Jordan J. Civ. Eng. 2015, 9, 335–357. [Google Scholar] [CrossRef]
- Lu, H.; Gilbert, M.; Tyas, A. Layout optimization of building frames subject to gravity and lateral load cases. Struct. Multidiscip. Optim. 2019, 60, 1561–1570. [Google Scholar] [CrossRef]
- Zhang, Y.; Mueller, C. Shear wall layout optimization for conceptual design of tall buildings. Eng. Struct. 2017, 140, 225–240. [Google Scholar] [CrossRef]
- Li, Y.; Ding, J.; Zhang, Z.; Zhou, X.; Makvandi, M.; Yuan, P.; Xie, Y. Practical application of multi-material topology optimization to performance-based architectural design of an iconic building. Compos. Struct. 2023, 325, 117603. [Google Scholar] [CrossRef]
- Zhu, M.; Yang, Y.; Guest, J.; Shields, M. Topology optimization for linear stationary stochastic dynamics: Applications to frame structures. Struct. Saf. 2017, 67, 116–131. [Google Scholar] [CrossRef]
- Laccone, F.; Gaudioso, D.; Malomo, L.; Cignoni, P.; Froli, M. Vorogrid: A static-aware variable-density Voronoi mesh to design the tube structure tessellation of tall buildings. Comput.-Aided Civ. Infrastruct. Eng. 2023, 38, 683–701. [Google Scholar] [CrossRef]
- Lu, X.; Liao, W.; Zhang, Y.; Huang, Y. Intelligent structural design of shear wall residence using physics-enhanced generative adversarial networks. Earthq. Eng. Struct. Dyn. 2022, 51, 1657–1676. [Google Scholar] [CrossRef]
- Lou, H.; Gao, B.; Jin, F.; Wan, Y.; Wang, Y. Shear wall layout optimization strategy for high-rise buildings based on conceptual design and data-driven tabu search. Comput. Struct. 2021, 250, 106546. [Google Scholar] [CrossRef]
- Boonstra, S.; van der Blom, K.; Hofmeyer, H.; Emmerich, M. Conceptual structural system layouts via design response grammars and evolutionary algorithms. Autom. Constr. 2020, 116, 103009. [Google Scholar] [CrossRef]
- Boonstra, S.; van der Blom, K.; Hofmeyer, H.; Emmerich, M.; van Schijndel, J.; de Wilde, P. Toolbox for super-structured and super-structure free multi-disciplinary building spatial design optimisation. Adv. Eng. Inform. 2018, 36, 86–100. [Google Scholar] [CrossRef]
- Ljubinković, F.; Conde, J.; Gervásio, H.; Silva, L. A methodology to assess structural design efficiency. Structures 2023, 58, 105366. [Google Scholar] [CrossRef]
- Sun, K.; Zhou, T.; Chen, Z.; Liu, H.; Yang, Z. Intelligent Design Concept of Rural Light Steel Frame Structure Based on BIM Technology and Genetic Algorithm. Int. J. Steel Struct. 2023, 23, 1343–1356. [Google Scholar] [CrossRef]
- Costa, E.; Oval, R.; Shepherd, P.; Orr, J. Computational design exploration of a segmented concrete shell building floor system. Proc. Inst. Civ. Eng. Struct. Build. 2023, 176, 1010–1021. [Google Scholar] [CrossRef]
- Jin, F.; Yang, Y.; Hu, B.; Zhou, J.; Gao, B.; Wan, Y. Research on section dimension optimization of high-rise steel–concrete composite buildings based on improved dividing rectangle algorithm and combined response surface model. Structures 2023, 58, 105437. [Google Scholar] [CrossRef]
- Kanyilmaz, A.; Hoi Dang, V.; Kondratenko, A. How does conceptual design impact the cost and carbon footprint of structures? Structures 2023, 58, 105437. [Google Scholar] [CrossRef]
- Al-Masoodi, A.; Abbas, Y.; Alkhatib, F.; Khan, M.; Shafiq, N.; ElGawady, M. Aerodynamic optimization for corner modification of octagonal-shape tall buildings using computational approach. J. Build. Eng. 2023, 76, 107017. [Google Scholar] [CrossRef]
- Wang, Z.; Mulyanto, J.; Zheng, C.; Wu, Y. Research on a surrogate model updating-based efficient multi-objective optimization framework for supertall buildings. J. Build. Eng. 2023, 72, 106702. [Google Scholar] [CrossRef]
- Zhang, X.; Wang, F. Influence of parameter uncertainty on the low-carbon design optimization of reinforced concrete continuous beams. Struct. Concr. 2023, 24, 855–871. [Google Scholar] [CrossRef]
- Negrin, I.; Kripka, M.; Yepes, V. Multi-criteria optimization for sustainability-based design of reinforced concrete frame buildings. J. Clean. Prod. 2023, 425, 139115. [Google Scholar] [CrossRef]
- Yahiaoui, A.; Dorbani, S.; Yahiaoui, L. Machine learning techniques to predict the fundamental period of infilled reinforced concrete frame buildings. Structures 2023, 54, 918–927. [Google Scholar] [CrossRef]
- Pizarro, P.; Massone, L.; Rojas, F. Simplified shear wall building model for design optimization. J. Build. Eng. 2023, 76, 107368. [Google Scholar] [CrossRef]
- Baghbanan, A.; Alaghmandan, M.; Golabchi, M.; Barazandeh, F. Architectural Form Finding and Computational Design of Tall Building Applying Topology Optimization against Lateral Loads. J. Archit. Eng. 2023, 29. [Google Scholar] [CrossRef]
- Alqahtani, F.; Sherif, M.; Abotaleb, I.; Hosny, O.; Nassar, K.; Mohamed, A. Integrated design optimization framework for green lightweight concrete. J. Build. Eng. 2023, 73, 106838. [Google Scholar] [CrossRef]
- Wong, B.; Wu, Z.; Gan, V.; Chan, C.; Cheng, J. Parametric building information modelling and optimality criteria methods for automated multi-objective optimisation of structural and energy efficiency. J. Build. Eng. 2023, 75, 107068. [Google Scholar] [CrossRef]
- Rady, M.; Mahfouz, S.; Taher, S.D. Optimal Design of Reinforced Concrete Materials in Construction. Materials 2022, 15, 2625. [Google Scholar] [CrossRef]
- Lou, H.; Xiao, Z.; Wan, Y.; Quan, G.; Jin, F.; Gao, B.; Lu, H. Size optimization design of members for shear wall high-rise buildings. J. Build. Eng. 2022, 61, 105292. [Google Scholar] [CrossRef]
- Zhang, X.; Zhang, X. Low-carbon design optimization of reinforced concrete building structures using genetic algorithm. J. Asian Archit. Build. Eng. 2023, 6, 1888–1902. [Google Scholar] [CrossRef]
- Zhou, X.; Wang, L.; Liu, J.; Cheng, G.; Chen, D.; Yu, P. Automated structural design of shear wall structures based on modified genetic algorithm and prior knowledge. Autom. Constr. 2022, 139, 104318. [Google Scholar] [CrossRef]
- Sotiropoulos, S.; Lagaros, N. A two-stage structural optimization-based design procedure of structural systems. Struct. Des. Tall Spec. Build. 2022, 31, e1909. [Google Scholar] [CrossRef]
- van der Wielen, J.; Wilhelm, H.C. Synergetic Optimization of Timber Structures and Space. Technol. Archit. Des. 2023, 7, 120–132. [Google Scholar] [CrossRef]
- Alkhatib, F.; Kasim, N.; Qaidi, S.; Najm, H.; Sabri Sabri, M. Wind-resistant structural optimization of irregular tall building using CFD and improved genetic algorithm for sustainable and cost-effective design. Front. Energy Res. 2022, 10, 1017813. [Google Scholar] [CrossRef]
- Rady, M.; Mahfouz, S. Effects of Concrete Grades and Column Spacings on the Optimal Design of Reinforced Concrete Buildings. Materials 2022, 15, 4290. [Google Scholar] [CrossRef] [PubMed]
- Mergos, P. Surrogate-based optimum design of 3D reinforced concrete building frames to Eurocodes. Dev. Built Environ. 2022, 11, 100079. [Google Scholar] [CrossRef]
- Lou, H.; Xiao, Z.; Wan, Y.; Jin, F.; Gao, B.; Li, C. A practical discrete sizing optimization methodology for the design of high-rise concrete buildings. Eng. Comput. 2022, 39, 2256–2283. [Google Scholar] [CrossRef]
- Broyles, J.; Shepherd, M.; Brown, N. Design Optimization of Structural-Acoustic Spanning Concrete Elements in Buildings. J. Archit. Eng. 2022, 28, 04021044. [Google Scholar] [CrossRef]
- Wang, Z.; Tsavdaridis, K. Optimality criteria-based minimum-weight design method for modular building systems subjected to generalised stiffness constraints: A comparative study. Eng. Struct. 2022, 251, 113472. [Google Scholar] [CrossRef]
- Sherif, M.; Nassar, K.; Hosny, O.; Safar, S.; Abotaleb, I. Automated BIM-based structural design and cost optimization model for reinforced concrete buildings. Sci. Rep. 2022, 12, 21616. [Google Scholar] [CrossRef]
- Cousin, T.; Alkhayat, L.; Pearl, N.; Dewart, C.; Mueller, C. Wild Wood Gridshells: Mixed-Reality Construction of Nonstandard Wood. Technol. Archit. Des. 2023, 7, 216–231. [Google Scholar] [CrossRef]
- Kanyilmaz, A.; Tichell, P.; Loiacono, D. A genetic algorithm tool for conceptual structural design with cost and embodied carbon optimization. Eng. Appl. Artif. Intell. 2022, 112, 104711. [Google Scholar] [CrossRef]
- Choi, J.; Hong, D.; Lee, S.; Lee, H.; Hong, T.; Lee, D.E.; Park, H. Multi-objective green design model for prestressed concrete slabs in long-span buildings. Archit. Eng. Des. Manag. 2023, 19, 531–549. [Google Scholar] [CrossRef]
- Palacio-Betancur, A.; Gutierrez Soto, M. Structural Properties of Tall Diagrid Buildings Using a Neural Dynamic Model for Design Optimization. J. Struct. Eng. 2022, 148, 04021283. [Google Scholar] [CrossRef]
- Talatahari, S.; Veladi, H.; Azizi, M.; Moutabi-Alavi, A.; Rahnema, S. Optimum structural design of full-scale steel buildings using drift-tribe-charged system search. Earthq. Eng. Eng. Vib. 2022, 21, 825–842. [Google Scholar] [CrossRef]
- Kazemi, P.; Ghisi, A.; Mariani, S. Classification of the Structural Behavior of Tall Buildings with a Diagrid Structure: A Machine Learning-Based Approach. Algorithms 2022, 15, 349. [Google Scholar] [CrossRef]
- Habrah, A.; Batikha, M.; Vasdravellis, G. An analytical optimization study on the core-outrigger system for efficient design of tall buildings under static lateral loads. J. Build. Eng. 2022, 46, 103762. [Google Scholar] [CrossRef]
- Bao, D.; Yan, X.; Xie, Y. Encoding topological optimisation logical structure rules into multi-agent system for architectural design and robotic fabrication. Int. J. Archit. Comput. 2022, 20, 7–17. [Google Scholar] [CrossRef]
- Shishegaran, A.; Safari, S.; Karami, B. Sustainability evaluation for selecting the best optimized structural designs of a tall building. Sustain. Mater. Technol. 2022, 33, e00482. [Google Scholar] [CrossRef]
- Tomei, V.; Faiella, D.; Cascone, F.; Mele, E. Structural grammar for design optimization of grid shell structures and diagrid tall buildings. Autom. Constr. 2022, 143, 104588. [Google Scholar] [CrossRef]
- Angelucci, G.; Spence, S.; Mollaioli, F. An integrated topology optimization framework for three-dimensional domains using shell elements. Struct. Des. Tall Spec. Build. 2021, 30, e1817. [Google Scholar] [CrossRef]
- Yu, X.; Wang, K.; Wang, S. Implementation and Optimization of Reverse Suspension Structure Design Model Using Deep Learning. Comput. Intell. Neurosci. 2022, 2022, 7544113. [Google Scholar] [CrossRef]
- do Carmo, C.; Sotelino, E. A framework for architecture and structural engineering collaboration in BIM projects through structural optimization. J. Inf. Technol. Constr. 2022, 27, 223–239. [Google Scholar] [CrossRef]
- Leyva, H.; Bojórquez, J.; Bojórquez, E.; Reyes-Salazar, A.; Carrillo, J.; López-Almansa, F. Multi-objective seismic design of BRBs-reinforced concrete buildings using genetic algorithms. Struct. Multidiscip. Optim. 2021, 64, 2097–2112. [Google Scholar] [CrossRef]
- Javadinasab Hormozabad, S.; Gutierrez Soto, M. Performance-based control co-design of building structures with controlled rocking steel braced frames via neural dynamic model. Struct. Multidiscip. Optim. 2021, 64, 1111–1125. [Google Scholar] [CrossRef]
- Kleingesinds, S.; Lavan, O. Gradient-based multi-hazard optimization of MTMDs for tall buildings. Comput. Struct. 2021, 249, 106503. [Google Scholar] [CrossRef]
- Liu, J.; Cao, Y.; Xue, Y.; Li, D.; Feng, L.; Chen, Y. Automatic unit layout of masonry structure using memetic algorithm and building information modeling. Autom. Constr. 2021, 130, 103858. [Google Scholar] [CrossRef]
- Laccone, F.; Malomo, L.; Pietroni, N.; Cignoni, P.; Schork, T. Integrated computational framework for the design and fabrication of bending-active structures made from flat sheet material. Structures 2021, 34, 979–994. [Google Scholar] [CrossRef]
- Li, M.; Wong, B.; Liu, Y.; Chan, C.; Gan, V.; Cheng, J. DfMA-oriented design optimization for steel reinforcement using BIM and hybrid metaheuristic algorithms. J. Build. Eng. 2021, 44, 103310. [Google Scholar] [CrossRef]
- Mergos, P. Optimum design of 3D reinforced concrete building frames with the flower pollination algorithm. J. Build. Eng. 2021, 44, 102935. [Google Scholar] [CrossRef]
- Pizarro, P.; Massone, L.; Rojas, F.; Ruiz, R. Use of convolutional networks in the conceptual structural design of shear wall buildings layout. Eng. Struct. 2021, 239, 112311. [Google Scholar] [CrossRef]
- Rafiee, A. Substructuring-based dimension-reduction approach for efficient design optimization of high-rise buildings. Eng. Optim. 2022, 56, 360–377. [Google Scholar] [CrossRef]
- Kusanovic, D.; Seylabi, E.; Asimaki, D. Optimization of frequency domain impedances for time-domain response analyses of building structures with rigid shallow foundations. Earthq. Spectra 2021, 37, 1955–1979. [Google Scholar] [CrossRef]
- Mangal, M.; Li, M.; Gan, V.; Cheng, J. Automated clash-free optimization of steel reinforcement in RC frame structures using building information modeling and two-stage genetic algorithm. Autom. Constr. 2021, 126, 103676. [Google Scholar] [CrossRef]
- Huang, D.; Pei, S.; Busch, A. Optimizing displacement-based seismic design of mass timber rocking walls using genetic algorithm. Eng. Struct. 2021, 229, 111603. [Google Scholar] [CrossRef]
- Gudipati, V.; Cha, E. Surrogate modeling for structural response prediction of a building class. Struct. Saf. 2021, 89, 102041. [Google Scholar] [CrossRef]
- Shen, Y.; Liu, Y. Bioinspired building structural conceptual design by graphic static and layout optimization: A case study of human femur structure. J. Asian Archit. Build. Eng. 2022, 21, 1762–1778. [Google Scholar] [CrossRef]
- Xu, A.; Lin, H.; Fu, J.; Sun, W. Wind-resistant structural optimization of supertall buildings based on high-frequency force balance wind tunnel experiment. Eng. Struct. 2021, 248, 113247. [Google Scholar] [CrossRef]
- Hamidavi, T.; Abrishami, S.; Ponterosso, P.; Begg, D.; Nanos, N. OSD: A framework for the early stage parametric optimisation of the structural design in BIM-based platform. Constr. Innov. 2020, 20, 149–169. [Google Scholar] [CrossRef]
- Brown, N. Design performance and designer preference in an interactive, data-driven conceptual building design scenario. Des. Stud. 2020, 68, 1–33. [Google Scholar] [CrossRef]
- Xu, A.; Zhao, R. Wind-resistant structural optimization of a supertall building with complex structural system. Struct. Multidiscip. Optim. 2020, 62, 3493–3506. [Google Scholar] [CrossRef]
- Mavrokapnidis, D.; Mitropoulou, C.; Lagaros, N. Environmental assessment of cost optimized structural systems in tall buildings. J. Build. Eng. 2019, 24, 100730. [Google Scholar] [CrossRef]
- Hawkins, W.; Orr, J.; Ibell, T.; Shepherd, P. A design methodology to reduce the embodied carbon of concrete buildings using thin-shell floors. Eng. Struct. 2020, 207, 110195. [Google Scholar] [CrossRef]
- Papavasileiou, G.; Charmpis, D. Earthquake-resistant buildings with steel or composite columns: Comparative assessment using structural optimization. J. Build. Eng. 2020, 27, 100988. [Google Scholar] [CrossRef]
- Choi, J.; Lee, M.; Oh, H.; Bae, S.; An, J.; Yun, D.; Park, H. Multi-objective green design model to mitigate environmental impact of construction of mega columns for super-tall buildings. Sci. Total Environ. 2019, 674, 580–591. [Google Scholar] [CrossRef] [PubMed]
- Alavi, A.; Rahgozar, R. A Simple Mathematical Method for Optimal Preliminary Design of Tall Buildings with Peak Lateral Deflection Constraint. Int. J. Civ. Eng. 2019, 17, 999–1006. [Google Scholar] [CrossRef]
- Mizobuti, V.; Vieira Junior, L. Bioinspired architectural design based on structural topology optimization. Front. Archit. Res. 2020, 9, 264–276. [Google Scholar] [CrossRef]
- Felkner, J.; Schwartz, J.; Chatzi, E. Framework for Balancing Structural Efficiency and Operational Energy in Tall Buildings. J. Archit. Eng. 2019, 25, 04019018. [Google Scholar] [CrossRef]
- Hamidavi, T.; Abrishami, S.; Hosseini, M. Towards intelligent structural design of buildings: A BIM-based solution. J. Build. Eng. 2020, 32, 101685. [Google Scholar] [CrossRef]
- Tafraout, S.; Bourahla, N.; Bourahla, Y.; Mebarki, A. Automatic structural design of RC wall-slab buildings using a genetic algorithm with application in BIM environment. Autom. Constr. 2019, 106, 102901. [Google Scholar] [CrossRef]
- Rombouts, J.; Lombaert, G.; De Laet, L.; Schevenels, M. A novel shape optimization approach for strained gridshells: Design and construction of a simply supported gridshell. Eng. Struct. 2019, 192, 166–180. [Google Scholar] [CrossRef]
- Khansefid, A.; Bakhshi, A. Advanced two-step integrated optimization of actively controlled nonlinear structure under mainshock—Aftershock sequences. JVC/J. Vib. Control 2019, 25, 748–762. [Google Scholar] [CrossRef]
- D’Amico, B.; Pomponi, F. Accuracy and reliability: A computational tool to minimise steel mass and carbon emissions at early-stage structural design. Energy Build. 2018, 168, 236–250. [Google Scholar] [CrossRef]
- Kim, H.S. Optimum design of outriggers in a tall building by alternating nonlinear programming. Eng. Struct. 2017, 150, 91–97. [Google Scholar] [CrossRef]
- Mpidi Bita, H.; Tannert, T. Numerical optimisation of novel connection for cross-laminated timber buildings. Eng. Struct. 2018, 175, 273–283. [Google Scholar] [CrossRef]
- Park, H.; Hwang, J.; Oh, B. Integrated analysis model for assessing CO2 emissions, seismic performance, and costs of buildings through performance-based optimal seismic design with sustainability. Energy Build. 2018, 158, 761–775. [Google Scholar] [CrossRef]
- Ingkiriwang, Y.; Far, H. Numerical investigation of the design of single-span steel portal frames using the effective length and direct analysis methods. Steel Constr. 2018, 11, 184–191. [Google Scholar] [CrossRef]
- Eleftheriadis, S.; Duffour, P.; Stephenson, B.; Mumovic, D. Automated specification of steel reinforcement to support the optimisation of RC floors. Autom. Constr. 2018, 96, 366–377. [Google Scholar] [CrossRef]
- Hawkins, W.; Orr, J.; Shepherd, P.; Ibell, T. Design, Construction and Testing of a Low Carbon Thin-Shell Concrete Flooring System. Structures 2019, 18, 60–71. [Google Scholar] [CrossRef]
- Barg, S.; Flager, F.; Fischer, M. An analytical method to estimate the total installed cost of structural steel building frames during early design. J. Build. Eng. 2018, 15, 41–50. [Google Scholar] [CrossRef]
- Alavi, A.; Rahgozar, R.; Torkzadeh, P. Stiffness-based approach for preliminary design of framed tube structures. Int. J. Eng. Trans. B Appl. 2017, 30, 1664–1672. [Google Scholar] [CrossRef]
- Shen, T.; Nagai, Y.; Gao, C. Optimal building frame column design based on the genetic algorithm. Comput. Mater. Contin. 2019, 58, 641–651. [Google Scholar] [CrossRef]
- Fu, J.; Zheng, Q.; Huang, Y.; Wu, J.; Pi, Y.; Liu, Q. Design optimization on high-rise buildings considering occupant comfort reliability and joint distribution of wind speed and direction. Eng. Struct. 2018, 156, 460–471. [Google Scholar] [CrossRef]
- Eleftheriadis, S.; Duffour, P.; Mumovic, D. BIM-embedded life cycle carbon assessment of RC buildings using optimised structural design alternatives. Energy Build. 2018, 173, 587–600. [Google Scholar] [CrossRef]
- Eleftheriadis, S.; Duffour, P.; Greening, P.; James, J.; Stephenson, B.; Mumovic, D. Investigating relationships between cost and CO2 emissions in reinforced concrete structures using a BIM-based design optimisation approach. Energy Build. 2018, 166, 330–346. [Google Scholar] [CrossRef]
- Hou, S.; Li, H.; Rezgui, Y. Ontology-based approach for structural design considering low embodied energy and carbon. Energy Build. 2015, 102, 75–90. [Google Scholar] [CrossRef]
- Li, Y.; Li, Q.S. Wind-induced response based optimal design of irregular shaped tall buildings. J. Wind Eng. Ind. Aerodyn. 2016, 155, 197–207. [Google Scholar] [CrossRef]
- Ganjavi, B.; Hajirasouliha, I.; Bolourchi, A. Optimum lateral load distribution for seismic design of nonlinear shear-buildings considering soil-structure interaction. Soil Dyn. Earthq. Eng. 2016, 88, 356–368. [Google Scholar] [CrossRef]
- Park, H.; Lee, E.; Choi, S.; Oh, B.; Cho, T.; Kim, Y. Genetic-algorithm-based minimum weight design of an outrigger system for high-rise buildings. Eng. Struct. 2016, 117, 496–505. [Google Scholar] [CrossRef]
- Papavasileiou, G.; Charmpis, D. Seismic design optimization of multi-storey steel-concrete composite buildings. Comput. Struct. 2016, 170, 49–61. [Google Scholar] [CrossRef]
- Xu, A.; Sun, W.X.; Zhao, R.H.; Wu, J.R.; Ying, W.Q. Lateral drift constrained structural optimization of an actual supertall building acted by wind load. Struct. Des. Tall Spec. Build. 2017, 26, e1344. [Google Scholar] [CrossRef]
- Block, P.; Schlueter, A.; Veenendaal, D.; Bakker, J.; Begle, M.; Hischier, I.; Hofer, J.; Jayathissa, P.; Maxwell, I.; Echenagucia, T.; et al. NEST HiLo: Investigating lightweight construction and adaptive energy systems. J. Build. Eng. 2017, 12, 332–341. [Google Scholar] [CrossRef]
- Hasançebi, O. Cost efficiency analyses of steel frameworks for economical design of multi-storey buildings. J. Constr. Steel Res. 2017, 128, 380–396. [Google Scholar] [CrossRef]
- Huang, M.; Chan, C.M.; Lou, W.; Bao, S. Time-domain dynamic drift optimisation of tall buildings subject to stochastic wind excitation. Struct. Infrastruct. Eng. 2015, 11, 97–111. [Google Scholar] [CrossRef]
- Lee, S.; Tovar, A. Outrigger placement in tall buildings using topology optimization. Eng. Struct. 2014, 74, 122–129. [Google Scholar] [CrossRef]
- Costa-Neves, L.; Costa, C.; Lima, L.; Jordão, S. Optimum design of steel and concrete composite building structures. Proc. Inst. Civ. Eng. Struct. Build. 2014, 167, 678–690. [Google Scholar] [CrossRef]
- Choi, S.; Seo, J.; Lee, H.; Kim, Y.; Park, H. Wind-induced response control model for high-rise buildings based on resizing method. J. Civ. Eng. Manag. 2015, 21, 239–247. [Google Scholar] [CrossRef]
- Zekioglu, A.; Gogus, A.; Binzet, S.; Chok, K. Performance-Based Seismic Design Succeeds in Turkey. Civ. Eng. Mag. Arch. 2021, 91, 56–63. [Google Scholar] [CrossRef]
- Lee, D.; Shin, S.; Lee, J.; Lee, K. Layout evaluation of building outrigger truss by using material topology optimization. Steel Compos. Struct. 2015, 19, 263–275. [Google Scholar] [CrossRef]
- Wang, L.; Zhao, X.; Dong, Y. A practical fractional numerical optimization method for designing economically and environmentally friendly super-tall buildings. Appl. Math. Model. 2020, 79, 934–953. [Google Scholar] [CrossRef]
- Suksuwan, A.; Spence, S.M.J. Efficient approach to system-level reliability-based design optimization of large-scale uncertain and dynamic wind-excited systems. ASCE-ASME J. Risk Uncertain. Eng. Syst. Part A Civ. Eng. 2018, 4. [Google Scholar] [CrossRef]
- Dillen, W.; Lombaert, G.; Schevenels, M. A hybrid gradient-based/metaheuristic method for Eurocode-compliant size, shape and topology optimization of steel structures. Eng. Struct. 2021, 239, 112137. [Google Scholar] [CrossRef]
- Orhan, T.; Takin, K. Automated topology design of high-rise diagrid buildings by genetic algorithm optimization. Struct. Des. Tall Spec. Build. 2021, 30, e1853. [Google Scholar] [CrossRef]
- Phan, D.T.; Lim, J.B.; Tanyimboh, T.T.; Wrzesien, A.; Sha, W.; Lawson, R. Optimal design of cold-formed steel portal frames for stressed-skin action using genetic algorithm. Eng. Struct. 2015, 93, 36–49. [Google Scholar] [CrossRef]
- Li, G.; Hu, H. Risk design optimization using many-objective evolutionary algorithm with application to performance-based wind engineering of tall buildings. Struct. Saf. 2014, 48, 1–14. [Google Scholar] [CrossRef]
- Cid Montoya, M.; Nieto, F.; Hernandez, S. Multi-objective shape optimization of tall buildings considering profitability and multidirectional wind-induced accelerations using CFD, surrogates, and the reduced basis approach. Wind Struct. Int. J. 2021, 32, 355–369. [Google Scholar] [CrossRef]
- Brown, N.C.; Mueller, C.T. Design for structural and energy performance of long span buildings using geometric multi-objective optimization. Energy Build. 2016, 127, 748–761. [Google Scholar] [CrossRef]
- Trinh, H.T.M.K.; Chowdhury, S.; Doh, J.H.; Liu, T. Environmental considerations for structural design of flat plate buildings – Significance of and interrelation between different design variables. J. Clean. Prod. 2021, 315, 128123. [Google Scholar] [CrossRef]
- Fu, J.Y.; Wu, B.G.; Xu, A.; Wu, J.R.; Pi, Y.L. A new method for frequency constrained structural optimization of tall buildings under wind loads. Struct. Des. Tall Spec. Build. 2018, 27, e1549. [Google Scholar] [CrossRef]
- Huang, M.; Li, Q.; Chan, C.; Lou, W.; Kwok, K.; Li, G. Performance-based design optimization of tall concrete framed structures subject to wind excitations. J. Wind Eng. Ind. Aerodyn. 2015, 139, 70–81. [Google Scholar] [CrossRef]
- Suksuwan, A.; Spence, S.M. Performance-based bi-objective design optimization of wind-excited building systems. J. Wind Eng. Ind. Aerodyn. 2019, 190, 40–52. [Google Scholar] [CrossRef]
- Goli, A.; Alaghmandan, M.; Barazandeh, F. Parametric Structural Topology Optimization of High-Rise Buildings Considering Wind and Gravity Loads. J. Archit. Eng. 2021, 27. [Google Scholar] [CrossRef]
- Wrzesien, A.M.; Phan, D.T.; Lim, J.B.P.; Lau, H.H.; Hajirasouliha, I.; Tan, C.S. Effect of stressed-skin action on optimal design of cold-formed steel square and rectangular-shaped portal frame buildings. Int. J. Steel Struct. 2016, 16, 299–307. [Google Scholar] [CrossRef]
- Dmitrieva, T.; Ulambayar, K. Algorithm for building structures optimization based on Lagrangian functions. Mag. Civ. Eng. 2022, 109, 10910. [Google Scholar] [CrossRef]
- Rabiei, M.; Choobbasti, A.J. Piled Raft Design Strategies for High Rise Buildings. Geotech. Geol. Eng. 2016, 34, 75–85. [Google Scholar] [CrossRef]
- Lee, D.; Lee, J.; Kim, J.; Srarossek, U. Investigation on material layouts of structural Diagrid frames by using topology optimization. KSCE J. Civ. Eng. 2014, 18, 549–557. [Google Scholar] [CrossRef]
- Robert McNeel & Associates. Grasshopper—Generative Design for Rhino; Version 8.0; Robert McNeel & Associates: Seattle, WA, USA, 2023. [Google Scholar]
- Bendsøe, M.P.; Kikuchi, N. Generating optimal topologies in structural design using a homogenization method. Comput. Methods Appl. Mech. Eng. 1988, 71, 197–224. [Google Scholar] [CrossRef]
- The MathWorks, Inc. MATLAB—The Language of Technical Computing; Version R2024a; The MathWorks, Inc.: Natick, MA, USA, 2024. [Google Scholar]
- ANSYS, Inc. ANSYS—Engineering Simulation Software; Version 2024 R1; ANSYS, Inc.: Canonsburg, PA, USA, 2024. [Google Scholar]
- CSI. ETABS; Version 22.2.0; Computers and Structures, Inc.: Berkeley, CA, USA, 2024. [Google Scholar]
- Dlubal Software. RFEM; Version 6.07; Dlubal Software GmbH: Tiefenbach, Germany, 2024. [Google Scholar]
- XIE Engineering Technologies Co., Ltd. Ameba; Version 2024; Xieym: Changzhou, China, 2024. [Google Scholar]









| Context | Intervention | Mechanisms | Outcome | Exclusion |
|---|---|---|---|---|
| “structural design” | building | “optimi*” & “structure” | “architectural design” | infrastructur* |
| “structural engineering” | “machine learning”/“ML” | chemi* | ||
| “civil engineering” | “evolutionary algorithm” | medic* | ||
| “genetic algorithm” | food | |||
| “algorithm based” |
| (C1) Category of optimization | Topology, Shape, Size, Others |
| (C2) Material | Steel, Timber, Concrete, Composite, Not secified, Others |
| (C3) Objective | Stiffness, Stress, Strain energy, Weight/Mass, Cost, Carbon and GHG emissions, Vibration, Energy, Others |
| (C4) Num. of objectives | Single objective optimization (SOO), Multi-objective optimization (MOO) |
| (C5) Building typology | Multistory, Spatial, Others |
| (C6) Research type | Methodology, Tool, Case study, Prototyping, Used case, Others |
| (C7) Application area | Entire building, Part of building, Building component, Material, Others |
| C1 | C2 | C3 | C4 | C5 | C6 | C7 | |
|---|---|---|---|---|---|---|---|
| C1 | |||||||
| C2 | - | ||||||
| C3 | X | - | |||||
| C4 | X | - | - | ||||
| C5 | X | - | - | X | |||
| C6 | X | - | - | - | X | ||
| C7 | X | - | - | - | - | - |
Disclaimer/Publisher’s Note: The statements, opinions and data contained in all publications are solely those of the individual author(s) and contributor(s) and not of MDPI and/or the editor(s). MDPI and/or the editor(s) disclaim responsibility for any injury to people or property resulting from any ideas, methods, instructions or products referred to in the content. |
© 2024 by the authors. Licensee MDPI, Basel, Switzerland. This article is an open access article distributed under the terms and conditions of the Creative Commons Attribution (CC BY) license (https://creativecommons.org/licenses/by/4.0/).
Share and Cite
Izumi, B.; Luczkowski, M.; Labonnote, N.; Manum, B.; Rønnquist, A. A Systematic Mapping Study and a Review of the Optimization Methods of Structures in Architectural Design. Buildings 2024, 14, 3511. https://doi.org/10.3390/buildings14113511
Izumi B, Luczkowski M, Labonnote N, Manum B, Rønnquist A. A Systematic Mapping Study and a Review of the Optimization Methods of Structures in Architectural Design. Buildings. 2024; 14(11):3511. https://doi.org/10.3390/buildings14113511
Chicago/Turabian StyleIzumi, Bunji, Marcin Luczkowski, Nathalie Labonnote, Bendik Manum, and Anders Rønnquist. 2024. "A Systematic Mapping Study and a Review of the Optimization Methods of Structures in Architectural Design" Buildings 14, no. 11: 3511. https://doi.org/10.3390/buildings14113511
APA StyleIzumi, B., Luczkowski, M., Labonnote, N., Manum, B., & Rønnquist, A. (2024). A Systematic Mapping Study and a Review of the Optimization Methods of Structures in Architectural Design. Buildings, 14(11), 3511. https://doi.org/10.3390/buildings14113511

