Experiments and FE Modeling on the Seismic Behavior of Partially Precast Steel-Reinforced Concrete Squat Walls
Abstract
1. Introduction
2. Test Program
2.1. Specimen Information
2.2. Material Properties
2.3. Loading Equipment and Protocol
2.4. Gauge Arrangement
3. Results and Discussions
3.1. Failure Patterns
3.2. Hysteretic Loops
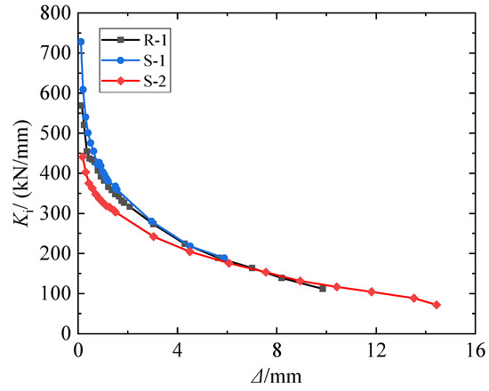
3.3. Stiffness Degradation
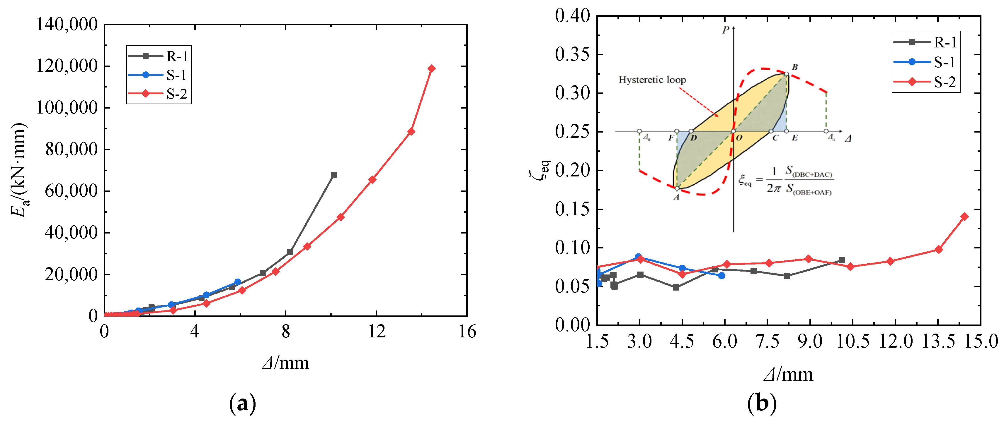
3.4. Energy Dissipation
3.5. Deformation
4. Finite Analysis Modeling
4.1. Model Configuration
4.2. Materials
4.3. Interface
4.4. Model Validation and Parametric Study
5. Conclusions
- (1)
- Due to the small aspect ratio, all the specimens exhibited typical shear failure. During the loading process, there was no significant slippage between the precast and fresh concrete sections of the PPSRC squat walls. The proposed throat connectors could effectively confine the fresh concrete and steel, producing sufficient composite action.
- (2)
- Compared with the conventional SRC squat wall, the peak load of the PPSRC squat wall increased by 9.24% in the positive direction and decreased by 9.44% in the negative direction, resulting in an average load-carrying capacity increase of 0.62%. This indicates that the construction technique cannot significantly affect the peak load of SRC shear walls. Additionally, as the steel reinforcement ratio increased, the load-carrying capacity of the specimens also improved.
- (3)
- PPSRC shear walls performed slightly better than conventional SRC shear walls in terms of deformability. The deformation capacity of PPSRC squat walls could be increased by increasing the steel reinforcement ratio in the boundary elements. The improvement in deformability could be attributed to the throat connectors in PPSRC shear walls, which provided lateral confinement to the inner fresh concrete and steel, thereby enhancing the deformation capacity of the concrete in the plastic hinge region and preventing local buckling of the steel profile.
- (4)
- The established FE model could accurately simulate the crack propagation, failure modes, and hysteretic behavior of PPSRC shear walls. The stress distribution showed that the fresh concrete of PPSRC specimens experienced higher hydrostatic pressure, and the throat connectors experienced considerable transverse stress. It indicated that the steel tubes effectively confined the fresh concrete within the connector, thereby enhancing the load-carrying and deformation capacity of the plastic hinge region in PPSRC shear walls.
- (5)
- Although this research explored the cyclic behavior of PPSRC squat walls using experimental and numerical means, the design method, including the strength prediction and construction configurations, was not included in this paper. In the future, the shear strength prediction, considering the composite action between the prefabricated wall panel, cast-in-place concrete core, and steel profile needs to be put forward, and necessary construction measures to warrant the seismic behavior need further investigation.
Author Contributions
Funding
Data Availability Statement
Conflicts of Interest
References
- Arafa, A. Review of Seismic Response and Strength Requirements of Reinforced Concrete Squat Walls. ACI Struct. J. 2021, 118, 17–30. [Google Scholar]
- Massone, L.M.; Sayre, B.L.; Wallace, J.W. Load-Deformation Responses of Slender Structural Steel Reinforced Concrete Walls. Eng. Struct. 2017, 140, 77–88. [Google Scholar] [CrossRef]
- Kim, H.J.; Park, H.G. Seismic Loading Test for Composite Walls with U-Shaped Steel Boundary Elements. J. Struct. Eng. 2022, 148, 04021241. [Google Scholar] [CrossRef]
- Ke, X.; Li, N.; Tang, Z. Seismic Behavior of Steel Plate Concrete Composite Shear Walls with PEC Columns and WRGs. Eng. Struct. 2023, 277, 115412. [Google Scholar] [CrossRef]
- Zhou, J.; Fang, X.; Jiang, Y. Seismic Behavior of Concrete-Encased High-Strength Concrete-Filled Steel Tube Composite Walls: An Experiment. Struct. Concr. 2021, 22, 691–708. [Google Scholar] [CrossRef]
- Liao, F.Y.; Han, L.H.; Tao, Z. Performance of Reinforced Concrete Shear Walls with Steel Reinforced Concrete Boundary Columns. Eng. Struct. 2012, 44, 186–209. [Google Scholar] [CrossRef]
- Xue, Y.; Chen, Y.; Shang, C.; Yang, Y.; Yu, Y. Maximum Shear Strength of Concrete-Encased Steel Composite Beams: A novel Strength Model and FE Verification. Eng. Struct. 2023, 291, 116490. [Google Scholar] [CrossRef]
- Meng, C.; Ke, X.; Su, Y. Performance and Strength Analysis of Concrete-Encased Steel Plate Walls under Tensile-Flexural-Shear Load. Structures 2023, 201, 107713. [Google Scholar] [CrossRef]
- Yang, Y.; Xue, Y.; Yu, Y.; Gao, F. Experimental Study on Seismic Performance of Partially Precast Steel Reinforced Concrete Columns. Eng. Struct. 2018, 175, 63–75. [Google Scholar] [CrossRef]
- Xue, Y.; Yang, Y.; Yu, Y. Seismic Behavior of Partially Precast Steel Reinforced Concrete Short Columns: Experiment and Theoretical Analysis. Eng. Struct. 2019, 199, 109658. [Google Scholar] [CrossRef]
- Kurama, Y.C.; Sritharan, S.; Fleischman, R.B.; Restrepo, J.; Henry, R.S.; Cleland, N.M.; Ghosh, S.K.; Bonelli, P. Seismic-resistant precast concrete structures: State of the art. J. Struct. Eng. 2018, 144, 03118001. [Google Scholar] [CrossRef]
- Fu, Y.; Fan, G.; Tao, L.; Yang, Y.; Wang, J. Seismic Behavior of precast Steel Reinforced Concrete Shear Walls with New Type Connection Mode. Structures 2022, 37, 483–503. [Google Scholar] [CrossRef]
- Wu, L.; Tian, Y.; Su, Y.; Chen, H. Seismic Performance of Precast Composite Shear Walls Reinforced by Concrete-Filled Steel Tubes. Eng. Struct. 2018, 162, 72–83. [Google Scholar] [CrossRef]
- Zhou, J.; Li, P.; Guo, N. Seismic Performance Assessment of A Precast Concrete-Encased CFST Composite Wall with Twin Steel Tube Connections. Eng. Struct. 2020, 207, 110240. [Google Scholar] [CrossRef]
- Guan, D.; Li, S.; Yang, S.; Liu, J.; Guo, Z.; Wang, Y. Seismic Performance Study on A Precast Double-Skin Composite Wall with Circular CFSTs. J. Constr. Steel. Res. 2023, 200, 107677. [Google Scholar] [CrossRef]
- ACI 318-19; Building Code Requirements for Structural Concrete. American Concrete Institute: Farmington Hills, MI, USA, 2019.
- ANSI/AISC 341-16; Seismic Provisions for Structural Steel Buildings. American Institute of Steel Construction: Chicago, IL, USA, 2016.
- GB 50011-2010; Code for Seismic Design of Buildings. China Architecture & Building Press: Beijing, China, 2010.
- JGJ 138-2016; Code for Design of Composite Structures. China Architecture & Building Press: Beijing, China, 2016.
- Yu, Y.; Xie, Q.; Liu, Y.; Xue, Y. Seismic Behavior of Partially precast Steel Shape Reinforced Concrete Composite Shear Walls: Experiments and FE analysis. Buildings 2024, 14, 2208. [Google Scholar] [CrossRef]
- JGJ/T 101-2015; Specification for Seismic Test of Buildings. China Architecture & Building Press: Beijing, China, 2015.
- Feng, P.; Qiang, H.; Ye, L. Discussion and Definition on Yield Points of Materials, Members and Structures. Eng. Mech. 2017, 34, 36–46. [Google Scholar]
- Faraone, G.; Hutchinson, T.C.; Piccinin, R.; Silva, J.F. Seismic Performance of Varying Aspect Ratio Full-Scale Concrete Walls. ACI Struct. J. 2022, 119, 19–34. [Google Scholar]
- Shi, Y.; Wang, M.; Wang, Y. Experimental and Constitutive Model Study of Structural Steel under seismic Loading. J. Constr. Steel. Res. 2011, 67, 1185–1197. [Google Scholar] [CrossRef]
- Lee, J.; Fenves, G.L. Plastic-Damage Model for seismic Loading of Concrete Structures. J. Eng. Mech. 1998, 124, 892–900. [Google Scholar] [CrossRef]
- Alfarah, B.; Lopez-Almansa, F.; Oller, S. New Methodology for Calculating Damage Variables Evolution in Plastic Damage Model for RC Structures. Eng. Struct. 2017, 132, 70–86. [Google Scholar] [CrossRef]
- Krätzig, W.B.; Pölling, R. An Elasto-Plastic Damage Model for Reinforced Concrete with Minimum Number of Material Parameters. Comp. Struct. 2004, 82, 1201–1215. [Google Scholar] [CrossRef]
- Cornelissen, H.; Hordijk, D.; Reinhardt, H. Experimental Determination of Crack Softening Characteristics of Normal Weight and Lightweight Concrete. Heron 1986, 31, 45–56. [Google Scholar]
- CEB-FIP. Model Code 2010 for Concrete Structures; International Federation for Structural Concrete (fib): Lausanne, Switzerland, 2010. [Google Scholar]
- Birtel, V.; Mark, P. Parameterised Finite Element Modelling of RC Beam Shear Failure. In Proceedings of the 2006 ABAQUS Users’ Conference, Boston, MA, USA, 23–25 May 2006. [Google Scholar]
- Tao, Z.; Wang, Z.B.; Yu, Q. Finite Element Modelling of Concrete-Filled Steel Stub Columns under Axial Compression. J. Constr. Steel. Res. 2013, 89, 121–131. [Google Scholar] [CrossRef]
- Yang, Y.; Guo, Z.; Xue, J.; Zhao, H.; Nie, J. Experiment Study on Bond Slip Behavior between Section Steel and Concrete in SRC Structures. J. Build. Struct. 2005, 26, 1–9. [Google Scholar]














| Specimen | n | Type | Steel Profile | Steel Ratio | Aspect Ratio |
|---|---|---|---|---|---|
| R-1 | 0.35 | cast-in-place | HN100 × 50 × 5 × 7 | 2.00% | 1.0 |
| S-1 | 0.35 | precast | HN100 × 50 × 5 × 7 | 2.00% | 1.0 |
| S-2 | 0.35 | precast | HN125 × 60 × 6 × 8 | 2.33% | 1.0 |
| Steel | d or t/mm | Grade | fy/MPa | Es/MPa | fu/MPa | δ |
|---|---|---|---|---|---|---|
| Steel profile | 5 | Q355B | 458.02 | 2.06 × 105 | 543.50 | 15.23% |
| 6 | Q355B | 467.04 | 2.00 × 105 | 519.20 | 15.38% | |
| 7 | Q355B | 433.40 | 2.05 × 105 | 574.45 | 15.10% | |
| 8 | Q355B | 446.02 | 2.10 × 105 | 566.46 | 14.67% | |
| Steel bar | 6 | HPB300 | 453.21 | 2.10 × 105 | 602.25 | 21.83% |
| 8 | HRB400 | 462.12 | 2.05 × 105 | 627.18 | 17.26% | |
| 10 | HRB400 | 476.62 | 2.10 × 105 | 642.47 | 18.62% | |
| 14 | HRB400 | 439.87 | 2.00 × 105 | 593.93 | 28.73% | |
| Throat connector | 4 | Q355B | 477.23 | 2.05 × 105 | 532.28 | 15.88% |
| ID | Loading Direction | Pcr /kN | Δcr /mm | θcr | Py /kN | Δy /mm | θy | Pp /kN | Δp /mm | θm | Pu /kN | Δu /mm | θu |
|---|---|---|---|---|---|---|---|---|---|---|---|---|---|
| R-1 | Push | 360.00 | 0.82 | 0.08% | 1008.13 | 4.39 | 0.44% | 1235.95 | 8.57 | 0.86% | 1033.94 | 10.28 | 1.03% |
| Pull | 360.00 | 1.03 | 0.10% | 856.00 | 4.35 | 0.44% | 1058.69 | 7.02 | 0.70% | 822.86 | 9.97 | 1.00% | |
| AVG | 360.00 | 0.93 | 0.09% | 932.06 | 4.37 | 0.44% | 1147.32 | 7.80 | 0.78% | 928.4 | 10.12 | 1.01% | |
| S-1 | Push | 380.00 | 0.81 | 0.08% | 1089.88 | 4.63 | 0.46% | 1350.1 | 6.64 | 0.66% | / | / | / |
| Pull | 380.00 | 0.80 | 0.08% | 802.99 | 3.76 | 0.38% | 958.76 | 5.87 | 0.59% | / | / | / | |
| AVG | 380.00 | 0.80 | 0.08% | 946.44 | 4.19 | 0.42% | 1154.43 | 6.25 | 0.63% | / | / | / | |
| S-2 | Push | 400.00 | 1.33 | 0.13% | 1135.32 | 7.31 | 0.73% | 1357.92 | 11.87 | 1.19% | 1130.42 | 13.62 | 1.36% |
| Pull | 360.00 | 1.12 | 0.11% | 979.27 | 5.00 | 0.50% | 1140.26 | 7.41 | 0.74% | 943.94 | 13.71 | 1.37% | |
| AVG | 380.00 | 1.22 | 0.12% | 1057.29 | 6.16 | 0.62% | 1249.09 | 9.64 | 0.96% | 1037.18 | 13.66 | 1.37% |
Disclaimer/Publisher’s Note: The statements, opinions and data contained in all publications are solely those of the individual author(s) and contributor(s) and not of MDPI and/or the editor(s). MDPI and/or the editor(s) disclaim responsibility for any injury to people or property resulting from any ideas, methods, instructions or products referred to in the content. |
© 2024 by the authors. Licensee MDPI, Basel, Switzerland. This article is an open access article distributed under the terms and conditions of the Creative Commons Attribution (CC BY) license (https://creativecommons.org/licenses/by/4.0/).
Share and Cite
Yu, Y.; Liu, Y.; Tan, B.; Liu, Y.; Xue, Y. Experiments and FE Modeling on the Seismic Behavior of Partially Precast Steel-Reinforced Concrete Squat Walls. Buildings 2024, 14, 3441. https://doi.org/10.3390/buildings14113441
Yu Y, Liu Y, Tan B, Liu Y, Xue Y. Experiments and FE Modeling on the Seismic Behavior of Partially Precast Steel-Reinforced Concrete Squat Walls. Buildings. 2024; 14(11):3441. https://doi.org/10.3390/buildings14113441
Chicago/Turabian StyleYu, Yunlong, Yuntao Liu, Bin Tan, Yaping Liu, and Yicong Xue. 2024. "Experiments and FE Modeling on the Seismic Behavior of Partially Precast Steel-Reinforced Concrete Squat Walls" Buildings 14, no. 11: 3441. https://doi.org/10.3390/buildings14113441
APA StyleYu, Y., Liu, Y., Tan, B., Liu, Y., & Xue, Y. (2024). Experiments and FE Modeling on the Seismic Behavior of Partially Precast Steel-Reinforced Concrete Squat Walls. Buildings, 14(11), 3441. https://doi.org/10.3390/buildings14113441

