Buckling Behaviour of Q355 Angles with Simulated Local Damages at Bolted Connections
Abstract
1. Introduction
2. Experimental Programme
2.1. Test Specimens
2.2. Test Setup and Loading Procedures
2.3. Mechanical Properties of Angles
3. Experimental Tests and Discussions
3.1. Load-in-Plane-Deflection Curves
3.2. Load–out-of-Plane-Deflection Curves
3.3. Failure Modes of Angles
3.4. Load–Strain Curves
3.5. Discussions on Test Results
4. Numerical Modelling of Angles
4.1. Establishment of Numerical Models
4.2. Material Properties and Initial Imperfections
4.3. Model Validation
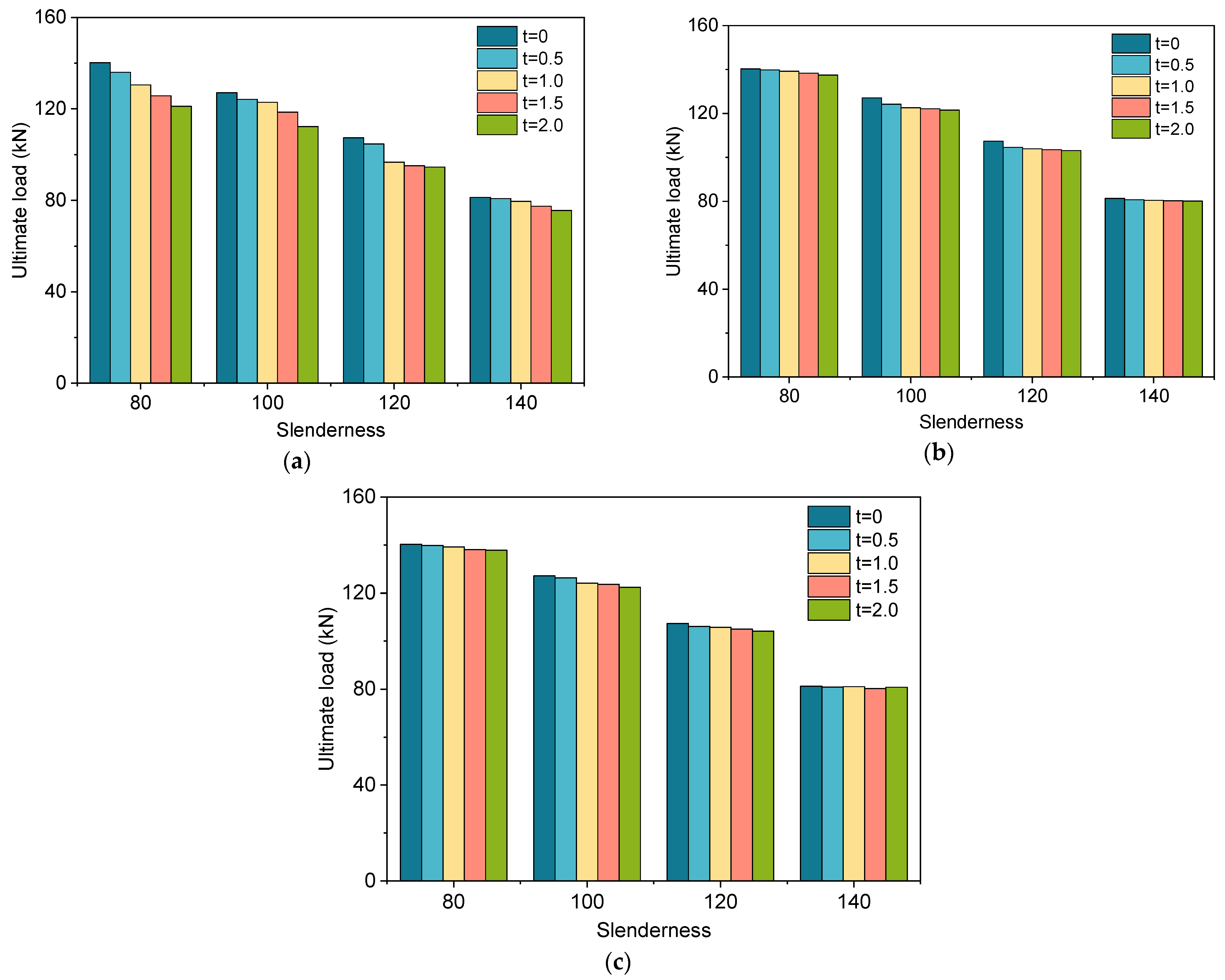
5. Parametric Study
6. Design Equations for Angles
6.1. Existing Design Method
6.2. Reduction Factors
6.3. Validation of Modified Method
7. Conclusions
- (1)
- The load capacity of angles decreased with an increase in the thickness of local damage at the loaded leg, particularly if the slenderness of angles was 80, and the load capacity decreased by up to 6.7%. However, when the local damage of the angle was at the non-loaded leg, its influence on the load capacity was insignificant, and the reduction in the load capacity was within 2%.
- (2)
- All angles developed combined flexural and torsional buckling during loading at one leg. When the local damage thickness reached 2 mm, the local buckling of the angles near the connection was also observed due to the reduced thickness of the angle.
- (3)
- A parametric study suggests that the reduction in load capacity induced by local damage at the loaded end needs to be considered in design. When the slenderness of the angle is 100 and the local damage increases from 0 mm to 2 mm, the load-bearing capacity of the angle steel decreases from 127.1 kN to 112.3 kN, representing a reduction of 11.6%. But the influence of local damage at the non-loaded leg can be neglected as a result of the marginal effect on load capacity, and the reduction is only 4.4%.
- (4)
- Design equations are proposed based on numerical results, in which the influences of the damage thickness and slenderness of angles are considered. Comparisons with Eurocode 3 and DL/T5486-2020 show that Eurocode 3 can be unsafe when the slenderness of the angle is small but the local damage thickness is large, whereas DL/T5486-2020 can be unconservative when the slenderness of the angle is large.
Author Contributions
Funding
Data Availability Statement
Acknowledgments
Conflicts of Interest
References
- Cinitha, A.; Umesha, P.K.; Iyer, N.R. An overview of corrosion and experimental studies on corroded mild steel compression members. KSCE J. Civ. Eng. 2014, 18, 1735–1744. [Google Scholar] [CrossRef]
- Chen, S.F. Elastic and inelastic stability capacity of single angle under axial compression. J. Build. Struct. 2012, 33, 134–141. [Google Scholar]
- Adluri, S.M.R.; Madugula, M.K.S. Flexural buckling of steel angles: Experimental investigation. J. Struct. Eng.-Asce 1996, 122, 309–317. [Google Scholar] [CrossRef]
- Bathon, L.; Mueller, W.H.; Kempner, L. Ultimate Load Capacity of Single Steel Angles. J. Struct. Eng. 1993, 119, 279–300. [Google Scholar] [CrossRef]
- Bashar, I.; Amanat, K.M. Comparison of Codes for Axial Compression Capacity of Eccentrically Loaded Single Angles. J. Constr. Steel Res. 2021, 185, 106829. [Google Scholar] [CrossRef]
- Elgaaly, M.; Dagher, H.; Davids, W. Behavior of Single-Angle-Compression Members. J. Struct. Eng. 1991, 117, 3720–3741. [Google Scholar] [CrossRef]
- Liu, Y.; Hui, L. Experimental study of beam–column behaviour of steel single angles. J. Constr. Steel Res. 2008, 64, 505–514. [Google Scholar] [CrossRef]
- Zhou, F.; Lim, J.B.P.; Young, B. Ultimate Compressive Strength of Cold-Formed Steel Angle Struts Loaded through a Single Bolt. Adv. Struct. Eng. 2016, 15, 1583–1595. [Google Scholar] [CrossRef]
- Kettler, M.; Taras, A.; Unterweger, H. Member capacity of bolted steel angles in compression—Influence of realistic end supports. J. Constr. Steel Res. 2017, 130, 22–35. [Google Scholar] [CrossRef]
- Shi, G.; Liu, Z.; Zhang, Y.; Shi, Y.J.; Wang, Y.Q. Study on the Local Buckling Behavior of Steel Equal Angle Members under Axial Compression with the Steel Strength Variation. Adv. Mater. Res. 2011, 374–377, 2430–2436. [Google Scholar] [CrossRef]
- Fasoulakis, Z.C.; Lignos, X.A.; Avraam, T.P.; Katsatsidis, S.P. Investigation on single-bolted cold-formed steel angles with geometric imperfections under compression. J. Constr. Steel Res. 2019, 162, 105733. [Google Scholar] [CrossRef]
- Qu, S.; Guo, Y.; Sun, Q. Resistances of high-strength steel equal-leg-angle section columns eccentrically connected by one leg. J. Constr. Steel Res. 2022, 191, 107143. [Google Scholar] [CrossRef]
- Qu, S.; Wang, J.; Guo, Y.; Hao, J.; Yang, X. Experiment and code-based study on high-strength steel pin-ended angles under axial compression. Thin-Walled Struct. 2020, 149, 106541. [Google Scholar] [CrossRef]
- Wang, F.; Liang, Y.; Zhao, O.; Young, B. Pin-ended press-braked S960 ultra-high strength steel angle section columns: Testing, numerical modelling and design. Eng. Struct. 2021, 228, 111418. [Google Scholar] [CrossRef]
- Zhang, L.; Liang, Y.; Zhao, O. Flexural-torsional buckling behaviour and resistances of fixed-ended press-braked S690 high strength steel angle section columns. Eng. Struct. 2020, 223, 111180. [Google Scholar] [CrossRef]
- Beaulieu, L.V.; Legeron, F.; Langlois, S. Compression strength of corroded steel angle members. J. Constr. Steel Res. 2010, 66, 1366–1373. [Google Scholar] [CrossRef]
- Shu, Q.; Wang, K.; Yuan, G.; Zhang, Y.; Lu, L.; Liu, Z. Assessing capacity of corroded angle members in steel structures based on experiment and simulation. Constr. Build. Mater. 2020, 244, 118210. [Google Scholar] [CrossRef]
- Gao, C.; Liu, J.; Zheng, Y.; Wu, B.; Chu, Z. Effect of Corrosion on Mechanical Properties of Transmission Tower Angle Steel. Corros. Prot. 2020, 41, 32–38. [Google Scholar]
- Zhang, C.T.; Fan, W.L.; Li, Z.L. Quasi-Static Test of Q345 Equal-Angles in Corrosion Environment. Eng. Mech. 2014, 31, 53–62. [Google Scholar]
- Ye, J.H.; Shen, H.Q.; Xue, S.D. Simplified analytical method of mechanical property degradation for steel members with pitting corrosion. J. Harbin Inst. Technol. 2016, 48, 70–75. [Google Scholar]
- Wang, X. Study on the Bearing Performance of Q420 Equal Angle Steel Subjected to Local Corrosion. Master’s Thesis, Wuhan University, Wuhan, China, 2021. [Google Scholar]
- Mateus, A.; Witz, J.A. On the Post-buckling of Corroded Steel Plates used in Marine Structures. 1999. Available online: https://www.semanticscholar.org/paper/On-the-Post-buckling-of-Corroded-Steel-Plates-used-Mateus-Witz/62f21427eb2c5e79b27ae9ce7f09e9b373b0bbc8 (accessed on 24 September 2024).
- Oszvald, K.; Tomka, P.; Dunai, L. The remaining load-bearing capacity of corroded steel angle compression members. J. Constr. Steel Res. 2016, 120, 188–198. [Google Scholar] [CrossRef]
- Luo, Z.; Li, Q.; Xu, C.; Hu, H.; Zhang, D.; Han, X. Experimental and theoretical investigations on axial bearing capacity of steel angle members with local corrosion on their limb peaks. Constr. Build. Mater. 2023, 363, 129862. [Google Scholar] [CrossRef]
- Sarveswaran, V.; Smith, J.W.; Blockley, D.I. Reliability of corrosion-damaged steel structures using interval probability theory. Struct. Saf. 1998, 20, 237–255. [Google Scholar] [CrossRef]
- Hisazumi, K.; Kanno, R. Column Buckling of Corroded Steel Angles and Channels: Experiments and Failure Mode Analyses. J. Struct. Eng. 2021, 147, 04021106. [Google Scholar] [CrossRef]
- Huang, Y.; Su, Z.G.; Zhu, B.R.; Chen, Y.X.; Wan, T.; Tuo, Z.X. The influence of corrosion on the bearing capacity characteristics of overhead transmission line tower. Nonferrous Met. Sci. Eng. 2023, 1–11. [Google Scholar]
- DL/T5486-2020; Management Committee for National Standards, Technical Specification for the Design of Steel Supporting Structures of Overhead Transmission Line. China Planning Publishing House Distribution Department: Beijing, China, 2020.
- GB/T 228.1-2010; Management Committee for National Standards, Metallic materials-Tensile Testing Part 1: Method of Test at Room Temperature. General Administration of Quality Supervision, Inspection and Quarantine of the People’s Republic of China: Beijing, China, 2010.
- Huang, X.; He, S.-Y.; Liu, X.-Y.; Han, D.-G.; Pu, F.; Yan, H.-Q.; Kang, S.-B. Compression behaviour of Q355 steel equal-leg angles with simulated local defects at the mid-height. J. Constr. Steel Res. 2024, 217, 108673. [Google Scholar] [CrossRef]
- Dassault Systèmes. ABAQUS, version 2020; Dassault Systèmes Simulia Corp.: Providence, RI, USA, 2019. [Google Scholar]
- Wang, G.Z. The Influence of Residual Stress on the Bearing Capacity of Steel Tie Rods: Overview and Theoretical Analysis (1). Metall. Constr. 1981, 8, 15–19. [Google Scholar]
- Wang, G.Z. The Influence of Residual Stress on the Bearing Capacity of Steel Tie Rods: Overview and Theoretical Analysis (2). Metall. Constr. 1981, 9, 31–36. [Google Scholar]
- EN 1993-1-1; European Committee for Standardization. Eurocode 3: Design of steel structures—Part 1-1: General rules and rules for buildings. CEN: Brussels, Belgium, 2005.

















| Specimens | Cross-Section (mm) | Slenderness | Length (mm) | Thickness of Damage (mm) | Location of Damage | Type of Damage |
|---|---|---|---|---|---|---|
| SC-E1 | L75 × 6 | 80 | 1092 | 1 | Loaded leg | Inner surface |
| LC-E1 | 140 | 1986 | 1 | |||
| SC-E2 | 80 | 1092 | 2 | |||
| LC-E2 | 140 | 1986 | 2 | |||
| SC-EU1 | 80 | 1092 | 1 | Non-loaded leg | Inner surface | |
| LC-EU1 | 140 | 1986 | 1 | |||
| SC-EO2 | 80 | 1092 | 2 | Outer surface | ||
| LC-EO2 | 140 | 1986 | 2 |
| Angles | Ultimate Load (kN) | Average Ultimate Load (kN) | Deflection at Ultimate Load (mm) | Average Deflection (mm) | ||
|---|---|---|---|---|---|---|
| In Plane | Out of Plane | In Plane | Out of Plane | |||
| SC-E1 | 139.4 | 141.6 | 11.5 | -- | 10.8 | - |
| 140.8 | 10.6 | -- | ||||
| 144.5 | 10.2 | -- | ||||
| LC-E1 | 82.8 | 86.4 | 28.0 | -- | 29.2 | - |
| 87.1 | 27.2 | -- | ||||
| 89.4 | 32.5 | -- | ||||
| SC-E2 | 131.9 | 136.0 | 9.6 | 2.8 | 10.4 | 5.9 |
| 141.4 | 11.1 | 9.2 | ||||
| 134.7 | 10.4 | 5.7 | ||||
| LC-E2 | 87.4 | 85.9 | 24.7 | 1.1 | 25.8 | 1.0 |
| 85.0 | 26.3 | 0.4 | ||||
| 85.2 | 26.5 | 1.5 | ||||
| SC-EU1 | 157.1 | 159.8 | 6.6 | 2.2 | 8.9 | 1.5 |
| 158.8 | 11.5 | 0.1 | ||||
| 163.5 | 8.7 | 2.1 | ||||
| LC-EU1 | 93.6 | 90.0 | 20.7 | 2.8 | 21.7 | 2.7 |
| 90.3 | 21.2 | 4.4 | ||||
| 86.2 | 23.2 | 1 | ||||
| SC-EO2 | 149.5 | 150.0 | 8.7 | 2.5 | 8.1 | 3.3 |
| 154.5 | 8.8 | 3.7 | ||||
| 146.1 | 6.8 | 3.8 | ||||
| LC-EO2 | 89.8 | 89.4 | 26.3 | 0.7 | 26.0 | 0.8 |
| 89.5 | 27.2 | 0.6 | ||||
| 88.9 | 24.5 | 1 | ||||
Disclaimer/Publisher’s Note: The statements, opinions and data contained in all publications are solely those of the individual author(s) and contributor(s) and not of MDPI and/or the editor(s). MDPI and/or the editor(s) disclaim responsibility for any injury to people or property resulting from any ideas, methods, instructions or products referred to in the content. |
© 2024 by the authors. Licensee MDPI, Basel, Switzerland. This article is an open access article distributed under the terms and conditions of the Creative Commons Attribution (CC BY) license (https://creativecommons.org/licenses/by/4.0/).
Share and Cite
Xu, C.; Yan, H.-Q.; Kang, S.-B. Buckling Behaviour of Q355 Angles with Simulated Local Damages at Bolted Connections. Buildings 2024, 14, 3411. https://doi.org/10.3390/buildings14113411
Xu C, Yan H-Q, Kang S-B. Buckling Behaviour of Q355 Angles with Simulated Local Damages at Bolted Connections. Buildings. 2024; 14(11):3411. https://doi.org/10.3390/buildings14113411
Chicago/Turabian StyleXu, Cheng, Hui-Qiang Yan, and Shao-Bo Kang. 2024. "Buckling Behaviour of Q355 Angles with Simulated Local Damages at Bolted Connections" Buildings 14, no. 11: 3411. https://doi.org/10.3390/buildings14113411
APA StyleXu, C., Yan, H.-Q., & Kang, S.-B. (2024). Buckling Behaviour of Q355 Angles with Simulated Local Damages at Bolted Connections. Buildings, 14(11), 3411. https://doi.org/10.3390/buildings14113411

