Fatigue Life Prediction for Stud Shear Connectors Based on a Machine Learning Model
Abstract
1. Introduction
2. Dataset
2.1. Data Preprocessing
2.2. Feature Engineering
2.2.1. Mechanism of Shear Transfer by Dowel Action
2.2.2. Crack Initiation
2.2.3. Crack Propagation
2.2.4. Failure
2.2.5. Feature Definition
2.3. Feature Selection
2.3.1. Data Filtering
2.3.2. Pearson Correlation Coefficient Analysis
2.4. Dataset for Fatigue Life Prediction
3. Mahine Learning Models
3.1. Model Selection
3.1.1. AutoML Process
3.1.2. Metrics for Model Performance Evaluation
3.1.3. Model Selection
3.2. Fine-Tuning Models
3.2.1. Gradient-Boosting Regressor (GBR)
3.2.2. Gaussian Process Regression (GPR)
4. Results and Discussion
4.1. Prediction Accuracy of Machine Learning Models
4.2. Feature Importance Analysis
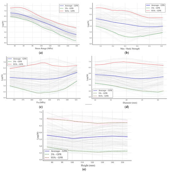
4.2.1. Individual Conditional Expectation (ICE)
4.2.2. SHapley Addictive exPlanations (SHAP) Value
5. Conclusions
- Through the feature engineering process, the overall fatigue behavior was categorized into four factors: shear transfer, crack initiation, crack propagation, and failure. Twelve features based on these four factors were selected. Based on their linearity with fatigue life, key features such as stress range, maximum stress-to-static strength ratio, ultimate strength, diameter, and height were identified. These key features were applied to a dataset of approximately 146 push-out tests.
- To select the most appropriate machine learning model for predicting fatigue life, 12 different models were compared using Pycaret and MATLAB AutoML Process. The GPR model was identified as the most appropriate model exhibiting the highest performance metrics. This model, along with its associated uncertainties, was compared to existing design codes using test data to, analyzing the prediction accuracy and the distribution of residual errors. The results demonstrated that the proposed GPR model provided reliable predictions with high accuracy and generalization performance while effectively accounting for uncertainty by incorporating features previously overlooked in existing design codes.
- Feature importance analysis based on the proposed GPR model revealed that the stress range most significantly influenced fatigue life prediction. The maximum stress-to-static strength ratio and ultimate strength also exhibited a significant influence. Although the diameter and height, related to stud geometry, exhibited relatively lower importance, they affected fatigue life prediction through certain nonlinear relationships. In addition, the prediction results of the proposed GPR model, along with the feature importance analysis, indicate that each feature exhibits high uncertainty when predicting outside the dataset range specified in Table 3. Therefore, it is recommended to make predictions within this range, and these restrictions can be mitigated with the acquisition of additional data in the future.
- For the further study, the proposed model, which can replace the empirical equations in existing design codes, can be used as follows: a pretrained model is developed using global data, which includes experimental results sourced from the literature. These data are preprocessed, and the machine learning model is trained to generalize across diverse conditions. Once the pretrained model is established, the second step involves fine-tuning the model using local data specific to the country of interest. Local experimental data, reflective of regional conditions such as materials and practices, are used to adjust the parameter of pretrained model, ensuring accurate representation of the local situation. The fine-tuned model is then integrated into local design codes, replacing empirical equations with a data-driven approach. Continuous validation and monitoring are essential to ensure reliability of the model in practical applications.
Author Contributions
Funding
Data Availability Statement
Conflicts of Interest
References
- Slutter, R.G.; Fisher, J.W. Fatigue Strength of Shear Connectors. Highw. Res. Rec. 1966, 147, 65–88. [Google Scholar]
- AASHTO American Association of State Highway and Transportation Officials. LRFD Bridge Design Specifications, 9th ed.; AASHTO American Association of State Highway and Transportation Officials: Washington, DC, USA, 2020. [Google Scholar]
- Oehlers, D.; Foley, L. The Fatigue Strength of Stud Shear Connections in Composite Beams. Proc. Inst. Civ. Eng. 1985, 79, 349–364. [Google Scholar] [CrossRef]
- Johnson, R.P. Resistance of Stud Shear Connectors to Fatigue. J. Constr. Steel Res. 2000, 56, 101–116. [Google Scholar] [CrossRef]
- 1994-2 Eurocode 4; Design of Composite Steel and Concrete Structures, General Rules and Rules for Bridges. European Commission: Brussels, Belgium, 2005.
- Hanswille, G.; Porsch, M.; Ustundag, C. Resistance of Headed Studs Subjected to Fatigue Loading. J. Constr. Steel Res. 2007, 63, 475–484. [Google Scholar] [CrossRef]
- Hanswille, G.; Porsch, M.; Ustundag, C. Resistance of Headed Studs Subjected to Fatigue Loading Part II: Analytical Study. J. Constr. Steel Res. 2007, 63, 485–493. [Google Scholar] [CrossRef]
- Badie, S.S.; Tadros, M.K.; Kakish, H.F.; Splittgerber, D.L.; Baishya, M.C. Large Shear Studs for Composite Action in Steel Bridge Girders. J. Bridge Eng. 2002, 7, 195–203. [Google Scholar] [CrossRef]
- Lee, P.-G.; Shim, C.-S.; Chang, S.-P. Static and Fatigue Behavior of Large Stud Shear Connectors for Steel–Concrete Composite Bridges. J. Constr. Steel Res. 2005, 61, 1270–1285. [Google Scholar] [CrossRef]
- Liu, Y.; Zhang, Q.; Bao, Y.; Bu, Y. Static and Fatigue Push-out Tests of Short Headed Shear Studs Embedded in Engineered Cementitious Composites (ECC). Eng. Struct. 2019, 182, 29–38. [Google Scholar] [CrossRef]
- Shim, C.-S.; Lee, P.-G.; Chang, S.-P. Design of Shear Connection in Composite Steel and Concrete Bridges with Precast Decks. J. Constr. Steel Res. 2001, 57, 203–219. [Google Scholar] [CrossRef]
- Shim, C.-S.; Lee, P.-G.; Kim, D.-W.; Chung, C.-H. Effects of Group Arrangement on the Ultimate Strength of Stud Shear Connection. In Composite Construction in Steel and Concrete VI; American Society of Civil Engineers: Tabernash, CO, USA, 2011; pp. 92–101. [Google Scholar]
- Okada, J.; Yoda, T.; Lebet, J.-P. A study of the grouped arrangements of stud connectors on shear strength behavior. Struct. Eng. Earthq. Eng. 2006, 23, 75s–89s. [Google Scholar] [CrossRef]
- Shim, C.-S.; Kim, D.-W. Structural Performance of Composite Joints Using Bent Studs. Int. J. Steel Struct. 2010, 10, 1–13. [Google Scholar] [CrossRef]
- Lee, K.-C.; Abbas, H.H.; Ramey, G.E. Review of Current AASHTO Fatigue Design Specifications for Stud Shear Connectors. In Structures Congress 2010; American Society of Civil Engineers: Orlando, FL, USA, 2010; pp. 310–321. [Google Scholar]
- Avci-Karatas, C. Application of Machine Learning in Prediction of Shear Capacity of Headed Steel Studs in Steel–Concrete Composite Structures. Int. J. Steel Struct. 2022, 22, 539–556. [Google Scholar] [CrossRef]
- Roh, G.-T.; Vu, N.; Jeon, C.-H.; Shim, C.-S. Augmented Data-Driven Machine Learning for Digital Twin of Stud Shear Connections. Buildings 2024, 14, 328. [Google Scholar] [CrossRef]
- Roshanfar, M.; Ghiami Azad, A.R.; Forouzanfar, M. Predicting Fatigue Life of Shear Connectors in Steel-concrete Composite Bridges Using Artificial Intelligence Techniques. Fatigue Fract. Eng. Mater. Struct. 2024, 47, 818–832. [Google Scholar] [CrossRef]
- Oehlers, D.J.; Bradford, M.A. Composite Steel and Concrete Structural Members: Fundamental Behaviour, 1st ed.; Pergamon: Oxford, UK; Tarrytown, NY, USA, 1995; ISBN 978-0-08-041919-0. [Google Scholar]
- Bro, M.; Westberg, M. Influence of Fatigue on Headed Stud Connectors in Composite Bridges. Master’s Thesis, Luleå Tekniska Universitet, Luleå, Sweden, 2004. [Google Scholar]
- Paris, P.; Erdogan, F. A Critical Analysis of Crack Propagation Laws. J. Basic Eng. 1963, 85, 528–533. [Google Scholar] [CrossRef]
- Mainstone, R.J.; Menzies, J.B. Shear connectors in steel-concrete composite beams for bridges. I. static and fatigue tests on push-out specimens. Concrete 1967, 1, 291. [Google Scholar]
- National Research Council (U.S.), Highway Research Board. Highway Research Record; National Research Council, Highway Research Board: Washington, DC, USA, 1968. [Google Scholar]
- Oehlers, D.J. Deterioration in Strength of Stud Connectors in Composite Bridge Beams. J. Struct. Eng. 1990, 116, 3417–3431. [Google Scholar] [CrossRef]
- Zandonini, R.; Bursi, O.S. Cyclic Behavior of Headed Stud Shear Connectors. In Composite Construction in Steel and Concrete IV; American Society of Civil Engineers: Banff, AB, Canada, 2002; pp. 470–482. [Google Scholar]
- Feldmann, M.; Hechler, O.; Hegger, J.; Rauscher, S. Fatigue Behavior of Shear Connectors in High Performance Concrete. In Composite Construction in Steel and Concrete VI; American Society of Civil Engineers: Tabernash, CO, USA, 2011; pp. 39–51. [Google Scholar]
- Mundie, D.L. Fatigue Testing and Design of Large Diameter Shear Studs Used in Highway Bridges. Master’s Thesis, Auburn University, Auburn, AL, USA, 2011. [Google Scholar]
- Xie, E.; Valente, M.I.B. Research Report Fatigue Strength of Shear Connectors; University of Minho: Guimarães, Portugal, 2011. [Google Scholar]
- Dogan, O.; Roberts, T.M. Fatigue Performance and Stiffness Variation of Stud Connectors in Steel–Concrete–Steel Sandwich Systems. J. Constr. Steel Res. 2012, 70, 86–92. [Google Scholar] [CrossRef]
- Ovuoba, B.; Prinz, G.S. Fatigue Capacity of Headed Shear Studs in Composite Bridge Girders. J. Bridge Eng. 2016, 21, 04016094. [Google Scholar] [CrossRef]
- Wang, W.; Chen, J.; Jin, W. Experimental Investigation of Corroded Stud Shear Connectors Subjected to Fatigue Loading. J. Mater. Civ. Eng. 2017, 29, 04016175. [Google Scholar] [CrossRef]
- Ali, M. PyCaret: An Open-Source, Low-Code Machine Learning Library in Python. Version 3.4. Available online: https://github.com/pycaret/pycaret (accessed on 8 October 2024).
- The MathWorks, Inc. Statistics and Machine Learning Toolbox Documentation. Available online: https://www.mathworks.com/help/stats/index.html (accessed on 19 August 2024).
- Chen, T.; Guestrin, C. XGBoost: A Scalable Tree Boosting System. In Proceedings of the 22nd ACM SIGKDD International Conference on Knowledge Discovery and Data Mining, San Francisco, CA, USA, 13–17 August 2016; pp. 785–794. [Google Scholar]
- Friedman, J.H. Greedy Function Approximation: A Gradient Boosting Machine. Ann. Statist. 2001, 29, 1189–1232. [Google Scholar] [CrossRef]
- Pedregosa, F.; Varoquaux, G.; Gramfort, A.; Michel, V.; Thirion, B.; Grisel, O.; Blondel, M.; Prettenhofer, P.; Weiss, R.; Dubourg, V.; et al. Scikit-Learn: Machine Learning in Python. J. Mach. Learn. Res. 2011, 12, 2825–2830. [Google Scholar]
- Zemel, R.S.; Pitassi, T. A Gradient-Based Boosting Algorithm for Regression Problems. In Proceedings of the 13th International Conference on Neural Information Processing Systems (NIPS 2000), Denver, CO, USA, 27 November–2 December 2000; MIT Press: Cambridge, MA, USA, 2000. [Google Scholar]
- Goldstein, A.; Kapelner, A.; Bleich, J.; Pitkin, E. Peeking Inside the Black Box: Visualizing Statistical Learning with Plots of Individual Conditional Expectation. J. Comput. Graph. Stat. 2015, 24, 44–65. [Google Scholar] [CrossRef]
- Lundberg, S.M.; Lee, S.-I. A Unified Approach to Interpreting Model Predictions. In Proceedings of the 31st International Conference on Neural Information Processing Systems, Long Beach, CA, USA, 4–9 December 2017; Curran Associates, Inc.: Red Hook, NY, USA, 2017. [Google Scholar]












| Reference | Objective | Data and Features | Methodology |
|---|---|---|---|
| Avci-Karatas [16] | Shear capacity of headed stud | Number of data: 215 | Minimax probability machine regression (MPMR) |
| Features: | Extreme Machine Learning (EML) | ||
| Roh et al. [17] | Shear capacity of headed stud | Number of data (Strength): 431 Number of data (Slip): 194 | Catboost Xgboost Random forest LightGBM ExtraTrees |
| Features: Dimension for stud (Dsc, hsc), Confinements (confinement ratio, diameter, fy) slab (b (mm), d (mm), t (mm)), Concrete material (Ecm, fcm) Steel material (Es, fu) | |||
| Roshanfar et al. [18] | Fatigue life of shear connector | Number of data: | Linear regression |
| Features: Shear stress range of shear connector Compressive strength, Shear strength of shear connector Diameter Type of test Type of shear connector | Decision tree | ||
| Support vector Regressor | |||
| Gaussian process regression (GPR) Bagged tree (BT) Artificial neural network |
| Name | Symbol | Definition | Unit |
|---|---|---|---|
| Stress range | Range of stress per stud under cyclic load | mm | |
| Stress max | Stress per stud under peak load | MPa | |
| Concrete static strength | Static Strength by local concrete pressure according to Eurocode 4 | MPa | |
| Maximum stress concrete ratio | Ratio of maximum stress to static strength by local concrete pressure | None | |
| Diameter | Nominal diameter of shear stud | MPa | |
| Height | Height of shear stud | MPa | |
| Height diameter ratio | Height to diameter ratio of shear stud | None | |
| Concrete compressive strength | Mean value of concrete cylinder compressive strength | MPa | |
| Ultimate strength | Ultimate strength of shear stud | MPa | |
| Maximum stress ultimate ratio | Ratio of maximum stress to ultimate strength of shear stud | None | |
| Concrete elastic modulus | Concrete elastic modulus from according to Eurocode 2 | MPa | |
| Elastic modulus ratio | Ratio of stud elastic modulus (assumed as 200,000 MPa) to Concrete Elastic Modulus | None | |
| Name | Symbol | Definition | Unit |
| LogN | Log scale cycles | Cycle |
| Input Feature | Mean | Min. | Max. | Std. | Unit |
|---|---|---|---|---|---|
| Stress range | 120.798390 | 30.000000 | 179.270000 | 35.338377 | MPa |
| Max stress/static strength | 0.323189 | 0.059405 | 0.610717 | 0.097370 | None |
| Ultimate strength | 441.546752 | 337.855000 | 527.881200 | 39.703144 | MPa |
| Diameter of stud | 21.710124 | 10.000000 | 31.750000 | 5.602554 | mm |
| Height of stud | 117.742759 | 74.900000 | 155.000000 | 23.579766 | mm |
| Output Feature | Mean | Min. | Max. | Std. | Unit |
| Log(N) | 5.628602 | 3.725912 | 7.496943 | 0.816981 | Cycle |
| Category | Model | MAE | MSE | RMSE | R-Squared |
|---|---|---|---|---|---|
| Tree-based model | Gradient boosting regressor | 0.2596 | 0.1338 | 0.3591 | 0.7859 |
| AdaBoost regressor | 0.3203 | 0.1722 | 0.4092 | 0.7278 | |
| Light gradient boosting | 0.3411 | 0.1870 | 0.4236 | 0.7115 | |
| Extreme gradient boosting | 0.3110 | 0.1848 | 0.4221 | 0.7039 | |
| Random forest regressor | 0.2992 | 0.1585 | 0.3919 | 0.7464 | |
| Ridge regressor | Ridge regression | 0.3740 | 0.1988 | 0.4439 | 0.6861 |
| Kernel ridge regression | 0.36947 | 0.21092 | 0.45926 | 0.73712 | |
| Support vector machine | Medium gaussian | 0.34547 | 0.2027 | 0.45023 | 0.74736 |
| Quadratic | 0.42196 | 0.27556 | 0.52494 | 0.65656 | |
| Gaussian process regression | Rational quadratic | 0.32 | 0.15677 | 0.39594 | 0.80461 |
| Matern 5/2 | 0.32515 | 0.16166 | 0.40207 | 0.79851 | |
| Squared exponential | 0.32667 | 0.16615 | 0.40761 | 0.79292 | |
| Exponential | 0.29939 | 0.14345 | 0.37875 | 0.82121 |
| Model | Parameter | Value |
|---|---|---|
| Gradient boosting regressor | Loss | squared_error |
| Learning rate | 0.4 | |
| N estimators | 200 | |
| Subsample | 0.9 | |
| Criterion | Friedman_mse | |
| Min. sample split | 9 | |
| Min. sample leafs | 3 | |
| Max. depth | 1 | |
| Min. impurity decrease | 0.05 | |
| Max. features | 1.0 | |
| Alpha | 0.9 | |
| Tol | 10−4 | |
| Ccp alpha | 0.0 | |
| Max. features | 1.0 |
| Model | Parameter | Value |
|---|---|---|
| Gaussian process regression | Kernel | Constant × Rational Quadratic + White Kernel |
| Alpha | 10−10 | |
| Optimizer | fmin_l_bfgs_b | |
| N restart optimizer | 50 | |
| Normalize y | True | |
| Constant value | 1.0 | |
| Constant value bounds | 0.001, 1000 | |
| Kernel length scale | 1.0 | |
| Kernel length scale bounds | 0.001, 1000 | |
| Kernel alpha | 0.1 | |
| Kernel alpha bounds | 10−10, 1000.0 | |
| Noise level | 1.0 |
Disclaimer/Publisher’s Note: The statements, opinions and data contained in all publications are solely those of the individual author(s) and contributor(s) and not of MDPI and/or the editor(s). MDPI and/or the editor(s) disclaim responsibility for any injury to people or property resulting from any ideas, methods, instructions or products referred to in the content. |
© 2024 by the authors. Licensee MDPI, Basel, Switzerland. This article is an open access article distributed under the terms and conditions of the Creative Commons Attribution (CC BY) license (https://creativecommons.org/licenses/by/4.0/).
Share and Cite
Kang, D.-H.; Roh, G.-T.; Shim, C.-S.; Lee, K.-C. Fatigue Life Prediction for Stud Shear Connectors Based on a Machine Learning Model. Buildings 2024, 14, 3278. https://doi.org/10.3390/buildings14103278
Kang D-H, Roh G-T, Shim C-S, Lee K-C. Fatigue Life Prediction for Stud Shear Connectors Based on a Machine Learning Model. Buildings. 2024; 14(10):3278. https://doi.org/10.3390/buildings14103278
Chicago/Turabian StyleKang, Dong-Hyun, Gi-Tae Roh, Chang-Su Shim, and Kyoung-Chan Lee. 2024. "Fatigue Life Prediction for Stud Shear Connectors Based on a Machine Learning Model" Buildings 14, no. 10: 3278. https://doi.org/10.3390/buildings14103278
APA StyleKang, D.-H., Roh, G.-T., Shim, C.-S., & Lee, K.-C. (2024). Fatigue Life Prediction for Stud Shear Connectors Based on a Machine Learning Model. Buildings, 14(10), 3278. https://doi.org/10.3390/buildings14103278

