Variations in the Properties of Engineered Mycelium-Bound Composites (MBCs) under Different Manufacturing Conditions
Abstract
1. Introduction
2. Mycelium-Bound Composite Manufacturing
2.1. Fungal Species and Substrate Types
2.2. Growth Temperature and Humidity
2.3. Moulding System
3. Physical and Mechanical Properties of MBCs
3.1. Density and Water Absorption
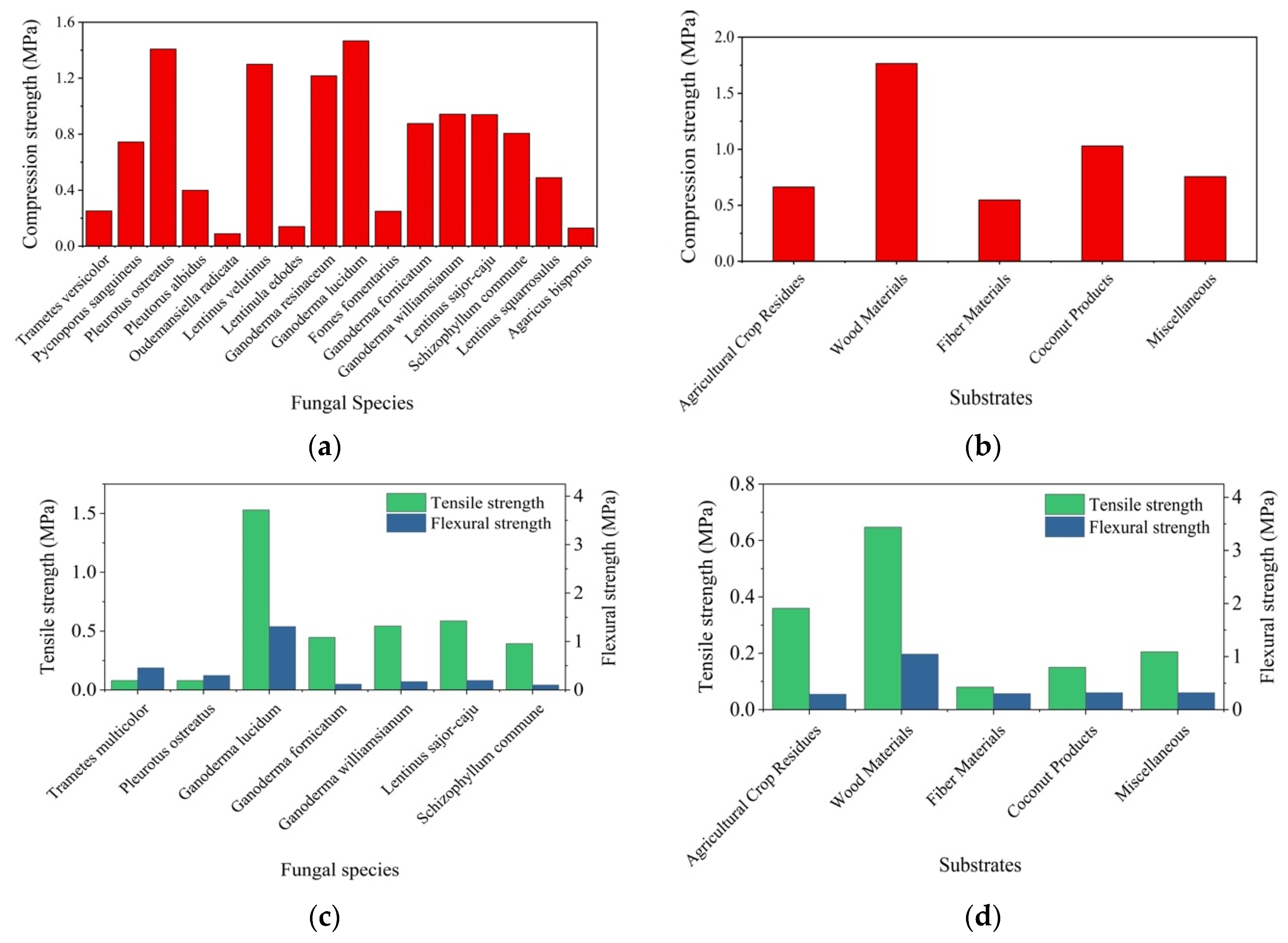
3.2. Compressive, Flexural and Tensile Strengths
3.3. Young’s Modulus
4. Considerations for Structural Applications
4.1. Specific Strength Ratio
4.2. Strength-to-Weight Ratio
4.3. Specific Modulus
5. A Fuzzy Comprehensive Evaluation for MBCs Ranking
5.1. Weight Vector Determination
5.2. Fuzzy Comprehensive Evaluation
6. Future Outlook
7. Conclusions
Author Contributions
Funding
Data Availability Statement
Acknowledgments
Conflicts of Interest
Appendix A
| Physical Properties | |||
|---|---|---|---|
| Fungal Species | Substrates | Values | Author |
| Density (kg/m3) | |||
| Trametes versicolor | Wheat straw | 122.1 | Elsacker et al. [35] |
| Spent mushroom | 195.2 | Schritt, Vidi and Pleissner [53] | |
| Rice hull | 193.0 | Teixeira et al. [116] | |
| Hemp shives | 134.0 | Jones et al. [87] | |
| Pine wood | 159.5 | Elsacker et al. [35] | |
| Hemp hurds | 98.4 | Elsacker et al. [35] | |
| Hardwood chips | 179.0 | Jones et al. [87] | |
| Flax | 137.5 | Elsacker et al. [35] | |
| Beech sawdust | 200.1 | Schritt, Vidi and Pleissner [53] | |
| Trametes multicolor | Rapeseed straw | 350.0 | Appels et al. [43] |
| Rapeseed straw | 100.0 | Appels et al. [43] | |
| Beech sawdust | 170.0 | Appels et al. [43] | |
| Trametes hirsuta | Pine wood shaving | 260.0 | Kuribayashi et al. [117] |
| Trametes species | Vine wood chip | 210.0 | Attias, Danai, Tarazi, et al. [56] |
| Apple wood chip | 200.0 | Attias, Danai, Tarazi, et al. [56] | |
| Pycnoporus sanguineus | Pine sawdust | 320.0 | Bruscato et al. [118] |
| Coconut powder | 240.0 | Santos et al. [119] | |
| Pleurotus ostreatus | Straw | 277.0 | Ghazvinian et al. [51] |
| Rice husk | 437.0 | Nashiruddin et al. [38] | |
| Rapeseed straw | 390.0 | Appels et al. [43] | |
| Rapeseed straw | 240.0 | Appels et al. [43] | |
| Rapeseed straw | 130.0 | Appels et al. [43] | |
| Rapeseed cake | 49.0 | Tacer-Caba et al. [97] | |
| Pine wood shaving | 290.0 | Kuribayashi et al. [117] | |
| Oat husk | 38.0 | Tacer-Caba et al. [97] | |
| Cotton stalk | 325.0 | Gou et al. [49] | |
| 100% sawdust | 55.0 | Ghazvinian et al. [51] | |
| 90% sawdust/10% wheat bran | 49.0 | Ghazvinian et al. [51] | |
| 100% straw | 28.0 | Ghazvinian et al. [51] | |
| 90% straw/10% wheat bran | 19.0 | Ghazvinian et al. [51] | |
| 50% sawdust/50% straw | 25.0 | Ghazvinian et al. [51] | |
| 45% sawdust/45% straw/10% wheat bran | 23.0 | Ghazvinian et al. [51] | |
| Beech sawdust | 26.0 | Vašatko et al. [78] | |
| Bleached cellulose pulp | 34.0 | Vašatko et al. [78] | |
| Beech sawdust/soy silk fibres | 24.0 | Vašatko et al. [78] | |
| Shredded cardboard | 42.0 | Vašatko et al. [78] | |
| Sand/beach sawdust | 37.0 | Vašatko et al. [78] | |
| Cotton fibres | 22.0 | Vašatko et al. [78] | |
| Rice straw | 27.0 | Peng et al. [57] | |
| Bagasse | 30.0 | Peng et al. [57] | |
| Coir-pith | 30.0 | Peng et al. [57] | |
| Sawdust | 34.0 | Peng et al. [57] | |
| Corn straw | 25.0 | Peng et al. [57] | |
| Cotton | 350.0 | Appels et al. [43] | |
| Cotton | 240.0 | Appels et al. [43] | |
| Cotton | 130.0 | Appels et al. [43] | |
| Pleutorus albidus | Pine sawdust | 300.0 | Bruscato et al. [118] |
| Pleurotus species | Wheat straw | 183.8 | López Nava et al. [120] |
| Oudemansiella radicata | Cotton stalk | 317.0 | Gou et al. [49] |
| Lentinus velutinus | Pine sawdust | 350.0 | Bruscato et al. [118] |
| Ganoderma resinaceum | Rose flowers | 462.0 | Angelova et al. [58] |
| Miscanthus fibre | 200.0 | Dias, Jayasinghe and Waldmann [44] | |
| Lavender straw | 347.0 | Angelova et al. [58] | |
| Beechwood sawdust | 143.0 | Elsacker, Søndergaard, et al. [55] | |
| Ganoderma lucidum | Spent mushroom | 183.2 | Schritt, Vidi and Pleissner [53] |
| Rapeseed cake | 41.0 | Tacer-Caba et al. [97] | |
| Oat husk | 25.0 | Tacer-Caba et al. [97] | |
| Chinese albizia sawdust | 954.0 | Chan et al. [42] | |
| Chinese albizia sawdust | 130.0 | Chan et al. [42] | |
| Beech sawdust | 205.3 | Schritt, Vidi and Pleissner [53] | |
| Beech sawdust | 25.0 | Vašatko et al. [78] | |
| Ganoderma species | Vine wood chip | 210.0 | Attias, Danai, Tarazi, et al. [56] |
| Apple wood chip | 220.0 | Attias, Danai, Tarazi, et al. [56] | |
| Coriolus species | Vine wood chip | 180.0 | Attias, Danai, Tarazi, et al. [56] |
| Apple wood chip | 210.0 | Attias, Danai, Tarazi, et al. [56] | |
| Ganoderma fornicatum | Sawdust | 337.2 | Aiduang et al. [50] |
| Corn husk | 232.1 | Aiduang et al. [50] | |
| Rice straw | 219.4 | Aiduang et al. [50] | |
| Ganoderma williamsianum | Sawdust | 331.4 | Aiduang et al. [50] |
| Corn husk | 239.5 | Aiduang et al. [50] | |
| Rice straw | 221.1 | Aiduang et al. [50] | |
| Lentinus sajor-caju | Sawdust | 340.3 | Aiduang et al. [50] |
| Corn husk | 241.0 | Aiduang et al. [50] | |
| Rice straw | 222.8 | Aiduang et al. [50] | |
| Schizophyllum commune | Sawdust | 318.6 | Aiduang et al. [50] |
| Corn husk | 220.7 | Aiduang et al. [50] | |
| Rice straw | 198.8 | Aiduang et al. [50] | |
| Agaricus bisporus | Rapeseed cake | 58.0 | Tacer-Caba et al. [97] |
| Oat husk | 36.0 | Tacer-Caba et al. [97] | |
| Water absorption (%) | |||
| Trametes versicolor | Wheat straw | 26.8 | Elsacker et al. [35] |
| Hemp hurds | 24.4 | Elsacker et al. [35] | |
| Flax | 30.3 | Elsacker et al. [35] | |
| Hardwood chips | 400 | Jones et al. [87] | |
| Hemp shives | 560 | Jones et al. [87] | |
| Trametes multicolor | Rapeseed straw | 246 | Appels et al. [43] |
| Rapeseed straw | 436 | Appels et al. [43] | |
| Beech sawdust | 43 | Appels et al. [43] | |
| Trametes hirsuta | Pine wood shaving | 200 | Kuribayashi et al. [117] |
| Trametes species | Vine wood chip | 190 | Attias, Danai, Tarazi, et al. [56] |
| Apple wood chip | 200 | Attias, Danai, Tarazi, et al. [56] | |
| Pleurotus ostreatus | Rice straw | 131 | Ghazvinian et al. [51] |
| Sawdust | 140 | Lee and Choi [54] | |
| Rapeseed straw | 239 | Appels et al. [43] | |
| Rapeseed straw | 262 | Appels et al. [43] | |
| Rapeseed straw | 279 | Appels et al. [43] | |
| Pine wood shaving | 200 | Kuribayashi et al. [117] | |
| Oak wood chip | 76 | Lee and Choi [54] | |
| Lacquer wood chip | 135 | Lee and Choi [54] | |
| Hemp | 159 | Lee and Choi [54] | |
| Cotton stalk | 168.1 | Gou et al. [49] | |
| Beech sawdust | 29 | Appels et al. [78] | |
| Cotton | 281 | Appels et al. [43] | |
| Cotton | 238 | Appels et al. [43] | |
| Cotton | 508 | Appels et al. [43] | |
| Pleurotus species | Wheat straw | 268.4 | López Nava et al. [120] |
| Oudemansiella radicata | Cotton stalk | 162.4 | Gou et al. [49] |
| Lentinula edodes | Peach palm sheath | 351 | de Lima et al. [59] |
| Ganoderma resinaceum | Rose flowers | 43.9 | Angelova et al. [58] |
| Lavender straw | 114.6 | Angelova et al. [58] | |
| Miscanthus fibre | 125 | Dias, Jayasinghe and Waldmann [44] | |
| Ganoderma lucidum | Beech sawdust | 6 | Vašatko et al. [78] |
| Ganoderma species | Vine wood chip | 180 | Attias, Danai, Tarazi, et al. [56] |
| Apple wood chip | 200 | Attias, Danai, Tarazi, et al. [56] | |
| Coriolus species | Vine wood chip | 290 | Attias, Danai, Tarazi, et al. [56] |
| Apple wood chip | 240 | Attias, Danai, Tarazi, et al. [56] | |
| Ganoderma fornicatum | Sawdust | 100 | Aiduang et al. [50] |
| Corn husk | 121 | Aiduang et al. [50] | |
| Rice straw | 149 | Aiduang et al. [50] | |
| Ganoderma williamsianum | Sawdust | 90 | Aiduang et al. [50] |
| Corn husk | 114 | Aiduang et al. [50] | |
| Rice straw | 90 | Aiduang et al. [50] | |
| Lentinus sajor-caju | Sawdust | 84 | Aiduang et al. [50] |
| Corn husk | 90 | Aiduang et al. [50] | |
| Rice straw | 156 | Aiduang et al. [50] | |
| Schizophyllum commune | Sawdust | 120 | Aiduang et al. [50] |
| Corn husk | 140 | Aiduang et al. [50] | |
| Rice straw | 188 | Aiduang et al. [50] | |
| Lentinus squarrosulus | Rice husk | 229.1 | Ly and Jitjak [60] |
| Rice straw | 229.1 | Ly and Jitjak [60] | |
| Coconut husk | 609 | Ly and Jitjak [60] | |
Appendix B
| Mechanical Properties | |||
|---|---|---|---|
| Fungal Species | Substrates | Values | Author |
| Compression strength (MPa) | |||
| Trametes versicolor | Rice hull | 0.05 | Teixeira et al. [116] |
| Pine wood | 0.14 | Elsacker et al. [35] | |
| Hemp hurds | 0.51 | Elsacker et al. [35] | |
| Flax | 0.31 | Elsacker et al. [35] | |
| Pycnoporus sanguineus | Pine sawdust | 1.30 | Bruscato et al. [118] |
| Coconut powder | 0.19 | Santos et al. [119] | |
| Pleurotus ostreatus | Straw | 0.07 | Ghazvinian et al. [51] |
| Sawdust | 1.00 | Ghazvinian et al. [51] | |
| Rice husk | 1.35 | Nashiruddin et al. [38] | |
| Rapeseed cake | 0.28 | Tacer-Caba et al. [97] | |
| Oat husk | 0.03 | Tacer-Caba et al. [97] | |
| Cotton stalk | 0.13 | Gou et al. [49] | |
| 100% sawdust | 0.15 | Ghazvinian et al. [51] | |
| 90% sawdust/10% wheat bran | 0.19 | Ghazvinian et al. [51] | |
| 100% straw | 0.02 | Ghazvinian et al. [51] | |
| 90% straw/10% wheat bran | 0.03 | Ghazvinian et al. [51] | |
| 50% sawdust/50% straw | 0.03 | Ghazvinian et al. [51] | |
| 45% sawdust/45% straw/10% wheat Bran | 0.31 | Ghazvinian et al. [51] | |
| Beech sawdust | 2.49 | Vašatko et al. [78] | |
| Bleached cellulose pulp | 0.51 | Vašatko et al. [78] | |
| Beech sawdust/soy silk fibres | 1.99 | Vašatko et al. [78] | |
| Shredded cardboard | 2.65 | Vašatko et al. [78] | |
| Sand/beach sawdust | 0.35 | Vašatko et al. [78] | |
| Cotton fibres | 0.80 | Vašatko et al. [78] | |
| Rice straw | 0.30 | Peng et al. [57] | |
| Bagasse | 0.34 | Peng et al. [57] | |
| Coir-pith | 0.34 | Peng et al. [57] | |
| Sawdust | 0.46 | Peng et al. [57] | |
| Corn straw | 0.27 | Peng et al. [57] | |
| Pleutorus albidus | Pine sawdust | 0.40 | Bruscato et al. [118] |
| Pleurotus species | Wheat straw | 0.04 | López Nava et al. [120] |
| Oudemansiella radicata | Cotton stalk | 0.09 | Gou et al. [49] |
| Lentinus velutinus | Pine sawdust | 1.30 | Bruscato et al. [118] |
| Lentinula edodes | Peach palm sheath | 0.22 | de Lima et al. [59] |
| Coconut powder | 0.06 | Angelova et al. [119] | |
| Ganoderma resinaceum | Rose flowers | 1.03 | Angelova et al. [58] |
| Lavender straw | 0.72 | Angelova et al. [58] | |
| Miscanthus fibre | 1.80 | Dias, Jayasinghe and Waldmann [44] | |
| Beechwood sawdust | 1.32 | Elsacker, Søndergaard, et al. [55] | |
| Ganoderma lucidum | Rapeseed cake | 0.28 | Tacer-Caba et al. [97] |
| Oat husk | 0.13 | Tacer-Caba et al. [97] | |
| Chinese albizia sawdust | 4.44 | Chan et al. [42] | |
| Chinese albizia sawdust | 3.36 | Chan et al. [42] | |
| Beech sawdust | 0.76 | Vašatko et al. [78] | |
| Fomes fomentarius | Rapeseed straw | 0.30 | Pohl et al. [121] |
| Hemp shives | 0.20 | Pohl et al. [121] | |
| Ganoderma fornicatum | Sawdust | 1.71 | Aiduang et al. [50] |
| Corn husk | 0.59 | Aiduang et al. [50] | |
| Rice straw | 0.33 | Aiduang et al. [50] | |
| Ganoderma williamsianum | Sawdust | 1.85 | Aiduang et al. [50] |
| Corn husk | 0.62 | Aiduang et al. [50] | |
| Rice straw | 0.36 | Aiduang et al. [50] | |
| Lentinus sajor-caju | Sawdust | 1.87 | Aiduang et al. [50] |
| Corn husk | 0.62 | Aiduang et al. [50] | |
| Rice straw | 0.33 | Aiduang et al. [50] | |
| Schizophyllum commune | Sawdust | 1.59 | Aiduang et al. [50] |
| Corn husk | 0.58 | Aiduang et al. [50] | |
| Rice straw | 0.25 | Aiduang et al. [50] | |
| Lentinus squarrosulus | Rice husk | 0.46 | Ly and Jitjak [60] |
| Rice straw | 0.54 | Ly and Jitjak [60] | |
| Coconut husk | 0.47 | Ly and Jitjak [60] | |
| Agaricus bisporus | Rapeseed cake | 0.20 | Tacer-Caba et al. [97] |
| Oat husk | 0.06 | Tacer-Caba et al. [97] | |
| Flexural strength (MPa) | |||
| Trametes multicolor | Rapeseed straw | 0.86 | Appels et al. [43] |
| Rapeseed straw | 0.22 | Appels et al. [43] | |
| Beech sawdust | 0.29 | Appels et al. [43] | |
| Pleurotus ostreatus | Rapeseed straw | 0.87 | Appels et al. [43] |
| Rapeseed straw | 0.21 | Appels et al. [43] | |
| Rapeseed straw | 0.06 | Appels et al. [43] | |
| Rubber sawdust | 3.91 | Shakir et al. [61] | |
| Pine wood shaving | 0.94 | Kuribayashi et al. [117] | |
| Beech sawdust | 0.11 | Vašatko et al. [78] | |
| Bleachedd cellulose pulp | 0.35 | Vašatko et al. [78] | |
| Shredded cardboard | 0.21 | Vašatko et al. [78] | |
| Sand/beach sawdust | 0.40 | Vašatko et al. [78] | |
| Rice straw | 0.16 | Peng et al. [57] | |
| Bagasse | 0.54 | Peng et al. [57] | |
| Coir-pith | 0.32 | Peng et al. [57] | |
| Sawdust | 0.30 | Peng et al. [57] | |
| Corn straw | 0.30 | Peng et al. [57] | |
| Cotton | 0.62 | Appels et al. [43] | |
| Cotton | 0.24 | Appels et al. [43] | |
| Cotton | 0.05 | Appels et al. [43] | |
| Ganoderma resinaceum | Beechwood sawdust | 2.54 | Elsacker, Søndergaard, et al. [55] |
| Ganoderma lucidum | Chinese albizia sawdust | 2.68 | Chan et al. [42] |
| Chinese albizia sawdust | 2.53 | Chan et al. [42] | |
| Beech sawdust | 0.09 | Vašatko et al. [78] | |
| Ganoderma fornicatum | Sawdust | 0.07 | Aiduang et al. [50] |
| Corn husk | 0.19 | Aiduang et al. [50] | |
| Rice straw | 0.10 | Aiduang et al. [50] | |
| Ganoderma williamsianum | Sawdust | 1.85 | Aiduang et al. [50] |
| Corn husk | 0.62 | Aiduang et al. [50] | |
| Rice straw | 0.36 | Aiduang et al. [50] | |
| Lentinus sajor-caju | Sawdust | 1.87 | Aiduang et al. [50] |
| Corn husk | 0.62 | Aiduang et al. [50] | |
| Rice straw | 0.33 | Aiduang et al. [50] | |
| Schizophyllum commune | Sawdust | 1.59 | Aiduang et al. [50] |
| Corn husk | 0.58 | Aiduang et al. [50] | |
| Rice straw | 0.25 | Aiduang et al. [50] | |
| Lentinus squarrosulus | Rice husk | 0.46 | Ly and Jitjak [60] |
| Rice straw | 0.54 | Ly and Jitjak [60] | |
| Coconut husk | 0.47 | Ly and Jitjak [60] | |
| Agaricus bisporus | Rapeseed cake | 0.20 | Tacer-Caba et al. [97] |
| Oat husk | 0.06 | Tacer-Caba et al. [97] | |
| Tensile strength (MPa) | |||
| Trametes multicolor | Rapeseed straw | 0.15 | Appels et al. [43] |
| Rapeseed straw | 0.04 | Appels et al. [43] | |
| Beech sawdust | 0.05 | Appels et al. [43] | |
| Pleurotus ostreatus | Rapeseed straw | 0.24 | Appels et al. [43] |
| Rapeseed straw | 0.03 | Appels et al. [43] | |
| Rapeseed straw | 0.01 | Appels et al. [43] | |
| Cotton | 0.13 | Appels et al. [43] | |
| Cotton | 0.03 | Appels et al. [43] | |
| Pleurotus species | Wheat straw | 0.05 | López Nava et al. [120] |
| Ganoderma lucidum | Chinese albizia sawdust | 1.55 | Chan et al. [42] |
| Chinese albizia sawdust | 1.53 | Chan et al. [42] | |
| Ganoderma fornicatum | Sawdust | 0.34 | Aiduang et al. [50] |
| Corn husk | 0.63 | Aiduang et al. [50] | |
| Rice straw | 0.37 | Aiduang et al. [50] | |
| Ganoderma williamsianum | Sawdust | 0.42 | Aiduang et al. [50] |
| Corn husk | 0.75 | Aiduang et al. [50] | |
| Rice straw | 0.46 | Aiduang et al. [50] | |
| Lentinus sajor-caju | Sawdust | 0.44 | Aiduang et al. [50] |
| Corn husk | 0.87 | Aiduang et al. [50] | |
| Rice straw | 0.45 | Aiduang et al. [50] | |
| Schizophyllum commune | Sawdust | 0.20 | Aiduang et al. [50] |
| Corn husk | 0.63 | Aiduang et al. [50] | |
| Rice straw | 0.35 | Aiduang et al. [50] | |
| Young’s modulus (MPa) | |||
| Trametes versicolor | Pine wood | 15 | Elsacker et al. [35] |
| Hemp hurds | 1.19 | Elsacker et al. [35] | |
| Flax | 1.32 | Elsacker et al. [35] | |
| Trametes multicolor | Rapeseed straw | 59 | Appels et al. [43] |
| Rapeseed straw | 4 | Appels et al. [43] | |
| Beech sawdust | 13 | Appels et al. [43] | |
| Trametes hirsuta | Pine wood shaving | 42.21 | Kuribayashi et al. [117] |
| Pleurotus ostreatus | Rapeseed straw | 97 | Appels et al. [43] |
| Rapeseed straw | 9 | Appels et al. [43] | |
| Rapeseed straw | 2 | Appels et al. [43] | |
| Pine wood shaving | 79.57 | Kuribayashi et al. [117] | |
| Cotton stalk | 60 | Gou et al. [49] | |
| Cotton | 35 | Appels et al. [43] | |
| Cotton | 6 | Appels et al. [43] | |
| Cotton | 1 | Appels et al. [43] | |
| Oudemansiella radicata | Cotton stalk | 40.10 | Gou et al. [49] |
| Lentinula edodes | Peach palm sheath | 15 | de Lima et al. [59] |
| Ganoderma lucidum | Oat husk | 76 | Tacer-Caba et al. [97] |
| Fomes fomentarius | Rapeseed straw | 54 | Pohl et al. [121] |
| Hemp shives | 43 | Pohl et al. [121] | |
Appendix C
| Level | Excellent | Very Good | Good | Fair | Poor |
|---|---|---|---|---|---|
| Density, D (kg/m3) | D < 100 | 100 ≤ D < 200 | 200 ≤ D < 300 | 300 ≤ D < 500 | D ≥ 500 |
| Water absorption, WA (%) | WA < 100 | 100 ≤ WA < 150 | 150 ≤ WA < 200 | 200 ≤ WA < 300 | WA ≥ 300 |
| Tensile strength, TS (MPa) | TS > 1 | 0.5 < TS ≤ 1 | 0.1 < TS ≤ 0.5 | 0.05 < TS ≤ 0.1 | TS ≤ 0.05 |
| Flexural strength, FS (MPa) | FS > 1 | 0.5 < FS ≤ 1 | 0.1 < FS ≤ 0.5 | 0.05 < FS ≤ 0.1 | FS ≤ 0.05 |
| Manufacturing period, MP (days) | MT < 15 | 15 ≤ MT < 20 | 20 ≤ MT < 25 | 25 ≤ MT < 30 | MT ≥ 30 |
Appendix D


References
- Feng, W.; Zhang, Q.; Ji, H.; Wang, R.; Zhou, N.; Ye, Q.; Hao, B.; Li, Y.; Luo, D.; Lau, S.S.Y. A Review of Net Zero Energy Buildings in Hot and Humid Climates: Experience Learned from 34 Case Study Buildings. Renew. Sustain. Energy Rev. 2019, 114, 109303. [Google Scholar] [CrossRef]
- Karlsson, I.; Rootzén, J.; Johnsson, F.; Erlandsson, M. Achieving Net-Zero Carbon Emissions in Construction Supply Chains—A Multidimensional Analysis of Residential Building Systems. Dev. Built Environ. 2021, 8, 100059. [Google Scholar] [CrossRef]
- Huang, B.; Xing, K.; Ness, D.; Liao, L.; Huang, K.; Xie, P.; Huang, J. Rethinking Carbon–Neutral Built Environment: Urban Dynamics and Scenario Analysis. Energy Build. 2022, 255, 111672. [Google Scholar] [CrossRef]
- Wei, Y.; Hadigheh, S.A. Cost Benefit and Life Cycle Analysis of CFRP and GFRP Waste Treatment Methods. Constr. Build. Mater. 2022, 348, 128654. [Google Scholar] [CrossRef]
- International Energy Agency. Transition to Sustainable Buildings: Strategies and Opportunities to 2050; OECD: Paris, France, 2013; ISBN 978-92-64-20241-2. [Google Scholar]
- Huang, B.; Xing, K.; Pullen, S. Carbon Assessment for Urban Precincts: Integrated Model and Case Studies. Energy Build. 2017, 153, 111–125. [Google Scholar] [CrossRef]
- UNFCCC. Human Settlements—Climate Action Pathway|UNFCCC. Available online: https://unfccc.int/climate-action/marrakech-partnership/reporting-tracking/pathways/human-settlements-climate-action-pathway (accessed on 6 June 2023).
- Dong, K.; Dong, X.; Jiang, Q. How Renewable Energy Consumption Lower Global CO2 Emissions? Evidence from Countries with Different Income Levels. World Econ. 2020, 43, 1665–1698. [Google Scholar] [CrossRef]
- Yang, L.; Park, D.; Qin, Z. Material Function of Mycelium-Based Bio-Composite: A Review. Front. Mater. 2021, 8, 737377. [Google Scholar] [CrossRef]
- Maraveas, C. Production of Sustainable Construction Materials Using Agro-Wastes. Materials 2020, 13, 262. [Google Scholar] [CrossRef]
- Madurwar, M.V.; Ralegaonkar, R.V.; Mandavgane, S.A. Application of Agro-Waste for Sustainable Construction Materials: A Review. Constr. Build. Mater. 2013, 38, 872–878. [Google Scholar] [CrossRef]
- Zhang, X.; Wang, F. Life-Cycle Assessment and Control Measures for Carbon Emissions of Typical Buildings in China. Build. Environ. 2015, 86, 89–97. [Google Scholar] [CrossRef]
- Pawelzik, P.; Carus, M.; Hotchkiss, J.; Narayan, R.; Selke, S.; Wellisch, M.; Weiss, M.; Wicke, B.; Patel, M.K. Critical Aspects in the Life Cycle Assessment (LCA) of Bio-Based Materials—Reviewing Methodologies and Deriving Recommendations. Resour. Conserv. Recycl. 2013, 73, 211–228. [Google Scholar] [CrossRef]
- Jones, M.; Huynh, T.; Dekiwadia, C.; Daver, F.; John, S. Mycelium Composites: A Review of Engineering Characteristics and Growth Kinetics. J. Bionanosci. 2017, 11, 241–257. [Google Scholar] [CrossRef]
- Hadigheh, S.A.; Maheri, M.R.; Mahini, S.S. Performance of Weak-Beam, Strong-Column RC Frames Strengthened at the Joints by FRP. Iran. J. Sci. Technol. Trans. Civ. Eng. 2013, 37, 33–51. [Google Scholar]
- Hadigheh, S.A.; Gravina, R.J. Generalization of the Interface Law for Different FRP Processing Techniques in FRP-to-Concrete Bonded Interfaces. Compos. Part B Eng. 2016, 91, 399–407. [Google Scholar] [CrossRef]
- Mohd Fairus, M.J.; Kamal Bahrin, E.; Natasha, E.; Arbaain, N.; Ramli, N. MYCELIUM-BASED COMPOSITE: A WAY FORWARD FOR RENEWABLE MATERIAL. JSSM 2022, 17, 271–280. [Google Scholar] [CrossRef]
- Jones, M.; Mautner, A.; Luenco, S.; Bismarck, A.; John, S. Engineered Mycelium Composite Construction Materials from Fungal Biorefineries: A Critical Review. Mater. Des. 2020, 187, 108397. [Google Scholar] [CrossRef]
- Attias, N.; Danai, O.; Abitbol, T.; Tarazi, E.; Ezov, N.; Pereman, I.; Grobman, J. Mycelium Bio-Composites in Industrial Design and Architecture: Comparative Review and Experimental Analysis. J. Clean. Prod. 2019, 246, 119037. [Google Scholar] [CrossRef]
- Homei, A.; Worboys, M. Fungal Disease in Britain and the United States 1850–2000: Mycoses and Modernity; Palgrave Macmillan: London, UK, 2013; ISBN 978-1-137-39263-3. [Google Scholar]
- Girometta, C.; Picco, A.M.; Baiguera, R.M.; Dondi, D.; Babbini, S.; Cartabia, M.; Pellegrini, M.; Savino, E. Physico-Mechanical and Thermodynamic Properties of Mycelium-Based Biocomposites: A Review. Sustainability 2019, 11, 281. [Google Scholar] [CrossRef]
- Ghazvinian, A. A Sustainable Alternative to Architectural Materials: Mycelium-Based Bio-Composites. 2021. Available online: https://www.researchgate.net/publication/349853912_A_SUSTAINABLE_ALTERNATIVE_TO_ARCHITECTURAL_MATERIALS_Mycelium-based_Bio-Composites (accessed on 13 November 2023).
- Block Research Group Block Research Group. Available online: https://block.arch.ethz.ch/brg/project/mycotree-seoul-architecture-biennale-2017 (accessed on 10 May 2023).
- Arup HyFi Reinvents the Brick HyFi Reinvents the Brick. Available online: https://www.arup.com/news-and-events/hyfi-reinvents-the-brick (accessed on 5 May 2023).
- The Growing Pavilion Home. Available online: https://thegrowingpavilion.com/ (accessed on 10 May 2023).
- Carloratti. The Circular Garden. Available online: https://carloratti.com/project/the-circular-garden/ (accessed on 10 May 2023).
- Wei, Y.; Hadigheh, S.A.; Huang, Z.; Globa, A.; Gough, P.; Withana, A. Systematically Ranking of Mycelium Composites Used for Facade Construction via a Fuzzy Comprehensive Evaluation. In Proceedings of the IASS Annual Symposium 2023, Melbourne, Australia, 10–14 July 2023. [Google Scholar]
- Goodell, B.; Nicholas, D.D.; Schultz, T.P. (Eds.) Wood Deterioration and Preservation: Advances in Our Changing World; ACS Symposium Series; American Chemical Society: Washington, DC, USA, 2003; Volume 845, ISBN 978-0-8412-3797-1. [Google Scholar]
- Langer, G.J.; Bußkamp, J.; Terhonen, E.; Blumenstein, K. Fungi Inhabiting Woody Tree Tissues. In Forest Microbiology; Elsevier: Amsterdam, The Netherlands, 2021; pp. 175–205. ISBN 978-0-12-822542-4. [Google Scholar]
- Sydor, M.; Cofta, G.; Doczekalska, B.; Bonenberg, A. Fungi in Mycelium-Based Composites: Usage and Recommendations. Materials 2022, 15, 6283. [Google Scholar] [CrossRef]
- Abe, M.M.; Branciforti, M.C.; Brienzo, M. Biodegradation of Hemicellulose-Cellulose-Starch-Based Bioplastics and Microbial Polyesters. Recycling 2021, 6, 22. [Google Scholar] [CrossRef]
- Taylor, E.C. Seasonal Distribution and Abundance of Fungi in Two Desert Grassland Communities. J. Arid Environ. 1979, 2, 295–312. [Google Scholar] [CrossRef]
- Rowan, N.J.; Johnstone, C.M.; McLean, R.C.; Anderson, J.G.; Clarke, J.A. Prediction of Toxigenic Fungal Growth in Buildings by Using a Novel Modelling System. Appl. Environ. Microbiol. 1999, 65, 4814–4821. [Google Scholar] [CrossRef] [PubMed]
- Jones, M.; Bhat, T.; Huynh, T.; Kandare, E.; Yuen, R.; Wang, C.H.; John, S. Waste-Derived Low-Cost Mycelium Composite Construction Materials with Improved Fire Safety. Fire Mater. 2018, 42, 816–825. [Google Scholar] [CrossRef]
- Elsacker, E.; Vandelook, S.; Brancart, J.; Peeters, E.; Laet, L.D. Mechanical, Physical and Chemical Characterisation of Mycelium-Based Composites with Different Types of Lignocellulosic Substrates. PLoS ONE 2019, 14, e0213954. [Google Scholar] [CrossRef] [PubMed]
- Hoa, H.T.; Wang, C.-L. The Effects of Temperature and Nutritional Conditions on Mycelium Growth of Two Oyster Mushrooms (Pleurotus ostreatus and Pleurotus cystidiosus). Mycobiology 2015, 43, 14–23. [Google Scholar] [CrossRef] [PubMed]
- Wannasawang, N.; Luangharn, T.; Thawthong, A.; Charoensup, R.; Jaidee, W.; Tongdeesoontorn, W.; Hyde, K.D.; Thongklang, N. Study of Optimal Conditions to Grow Thai Ganoderma, Fruiting Test, Proximate and Their Alpha Glucosidase Inhibitory Activity. Life 2023, 13, 1887. [Google Scholar] [CrossRef]
- Nashiruddin, N.I.; Chua, K.S.; Mansor, A.F.; Rahman, R.A.; Lai, J.C.; Wan Azelee, N.I.; El Enshasy, H. Effect of Growth Factors on the Production of Mycelium-Based Biofoam. Clean. Technol. Environ. Policy 2022, 24, 351–361. [Google Scholar] [CrossRef]
- Reyes, C.; Poulin, A.; Nyström, G.; Schwarze, F.; Ribera, J. Enzyme Activities of Five White-Rot Fungi in the Presence of Nanocellulose. JoF 2021, 7, 222. [Google Scholar] [CrossRef]
- Viitanen, H. Factors Affecting the Development of Biodeterioration in Wooden Constructions. Mater. Struct. 1994, 27, 483–493. [Google Scholar] [CrossRef]
- Zhan, Z.; Xu, M.; Li, Y.; Dong, M. The Relationship between Fungal Growth Rate and Temperature and Humidity. Int. J. Eng. Manag. Res. 2021, 11, 78–83. [Google Scholar] [CrossRef]
- Chan, X.Y.; Saeidi, N.; Javadian, A.; Hebel, D.E.; Gupta, M. Mechanical Properties of Dense Mycelium-Bound Composites under Accelerated Tropical Weathering Conditions. Sci. Rep. 2021, 11, 22112. [Google Scholar] [CrossRef] [PubMed]
- Appels, F.V.W.; Camere, S.; Montalti, M.; Karana, E.; Jansen, K.M.B.; Dijksterhuis, J.; Krijgsheld, P.; Wösten, H.A.B. Fabrication Factors Influencing Mechanical, Moisture- and Water-Related Properties of Mycelium-Based Composites. Mater. Des. 2019, 161, 64–71. [Google Scholar] [CrossRef]
- Dias, P.P.; Jayasinghe, L.B.; Waldmann, D. Investigation of Mycelium-Miscanthus Composites as Building Insulation Material. Results Mater. 2021, 10, 100189. [Google Scholar] [CrossRef]
- Zimele, Z.; Irbe, I.; Grinins, J.; Bikovens, O.; Verovkins, A.; Bajare, D. Novel Mycelium-Based Biocomposites (MBB) as Building Materials. J. Renew. Mater. 2020, 8, 1067–1076. [Google Scholar] [CrossRef]
- Sun, W.; Tajvidi, M.; Howell, C.; Hunt, C.G. Insight into Mycelium-Lignocellulosic Bio-Composites: Essential Factors and Properties. Compos. Part A Appl. Sci. Manuf. 2022, 161, 107125. [Google Scholar] [CrossRef]
- Houette, T.; Maurer, C.; Niewiarowski, R.; Gruber, P. Growth and Mechanical Characterization of Mycelium-Based Composites towards Future Bioremediation and Food Production in the Material Manufacturing Cycle. Biomimetics 2022, 7, 103. [Google Scholar] [CrossRef]
- Saez, D.; Grizmann, D.; Trautz, M.; Werner, A. Exploring the Binding Capacity of Mycelium and Wood-Based Composites for Use in Construction. Biomimetics 2022, 7, 78. [Google Scholar] [CrossRef]
- Gou, L.; Li, S.; Yin, J.; Li, T.; Liu, X. Morphological and Physico-Mechanical Properties of Mycelium Biocomposites with Natural Reinforcement Particles. Constr. Build. Mater. 2021, 304, 124656. [Google Scholar] [CrossRef]
- Aiduang, W.; Kumla, J.; Srinuanpan, S.; Thamjaree, W.; Lumyong, S.; Suwannarach, N. Mechanical, Physical, and Chemical Properties of Mycelium-Based Composites Produced from Various Lignocellulosic Residues and Fungal Species. J. Fungi 2022, 8, 1125. [Google Scholar] [CrossRef]
- Ghazvinian, A.; Farrokhsiar, P.; Rocha Vieira, F.; Pecchia, J.; Gursoy, B. Mycelium-Based Bio-Composites For Architecture: Assessing the Effects of Cultivation Factors on Compressive Strength. Mater. Res. Innov. 2019, 2, 505–514. [Google Scholar]
- Irbe, I.; Loris, G.D.; Filipova, I.; Andze, L.; Skute, M. Characterization of Self-Growing Biomaterials Made of Fungal Mycelium and Various Lignocellulose-Containing Ingredients. Materials 2022, 15, 7608. [Google Scholar] [CrossRef] [PubMed]
- Schritt, H.; Vidi, S.; Pleissner, D. Spent Mushroom Substrate and Sawdust to Produce Mycelium-Based Thermal Insulation Composites. J. Clean. Prod. 2021, 313, 127910. [Google Scholar] [CrossRef]
- Lee, T.; Choi, J. Mycelium-Composite Panels for Atmospheric Particulate Matter Adsorption. Results Mater. 2021, 11, 100208. [Google Scholar] [CrossRef]
- Elsacker, E.; Søndergaard, A.; Van Wylick, A.; Peeters, E.; De Laet, L. Growing Living and Multifunctional Mycelium Composites for Large-Scale Formwork Applications Using Robotic Abrasive Wire-Cutting. Constr. Build. Mater. 2021, 283, 122732. [Google Scholar] [CrossRef]
- Attias, N.; Danai, O.; Tarazi, E.; Pereman, I.; Grobman, Y.J. Implementing Bio-Design Tools to Develop Mycelium-Based Products. Des. J. 2019, 22, 1647–1657. [Google Scholar] [CrossRef]
- Peng, L.; Yi, J.; Yang, X.; Xie, J.; Chen, C. Development and Characterization of Mycelium Bio-Composites by Utilization of Different Agricultural Residual Byproducts. J. Bioresour. Bioprod. 2023, 8, 78–89. [Google Scholar] [CrossRef]
- Angelova, G.; Brazkova, M.; Stefanova, P.; Blazheva, D.; Vladev, V.; Petkova, N.; Slavov, A.; Denev, P.; Karashanova, D.; Zaharieva, R.; et al. Waste Rose Flower and Lavender Straw Biomass—An Innovative Lignocellulose Feedstock for Mycelium Bio-Materials Development Using Newly Isolated Ganoderma Resinaceum GA1M. J. Fungi 2021, 7, 866. [Google Scholar] [CrossRef] [PubMed]
- de Lima, G.G.; Schoenherr, Z.C.P.; Magalhães, W.L.E.; Tavares, L.B.B.; Helm, C.V. Enzymatic Activities and Analysis of a Mycelium-Based Composite Formation Using Peach Palm (Bactris Gasipaes) Residues on Lentinula Edodes. Bioresour. Bioprocess. 2020, 7, 58. [Google Scholar] [CrossRef]
- Ly, L.; Jitjak, W. Biocomposites from Agricultural Wastes and Mycelia of a Local Mushroom, Lentinus Squarrosulus (Mont.) Singer. Open Agric. 2022, 7, 634–643. [Google Scholar] [CrossRef]
- Shakir, M.A.; Azahari, B.; Yusup, Y.; Yhaya, M.F.; Salehabadi, A.; Ahmad, M.I. Preparation and Characterization of Mycelium as a Bio-Matrix in Fabrication of Bio-Composite. J. Adv. Res. Fluid Mech. Therm. Sci. 2020, 65, 253–263. [Google Scholar]
- Xing, Y.; Brewer, M.; El-Gharabawy, H.; Griffith, G.; Jones, P. Growing and Testing Mycelium Bricks as Building Insulation Materials. IOP Conf. Ser. Earth Environ. Sci. 2018, 121, 022032. [Google Scholar] [CrossRef]
- Jones, M.; Weiland, K.; Kujundzic, M.; Theiner, J.; Kählig, H.; Kontturi, E.; John, S.; Bismarck, A.; Mautner, A. Waste-Derived Low-Cost Mycelium Nanopapers with Tunable Mechanical and Surface Properties. Biomacromolecules 2019, 20, 3513–3523. [Google Scholar] [CrossRef] [PubMed]
- Vidholdova, Z.; KORMÚTHOVÁ, D.; ŽDINSKÝ, J.; Lagana, R. Compressive resistance of the mycelium composite. Ann. WULS For. Wood Technol. 2019, 107, 31–36. [Google Scholar] [CrossRef]
- Sun, W.; Tajvidi, M.; Hunt, C.G.; McIntyre, G.; Gardner, D.J. Fully Bio-Based Hybrid Composites Made of Wood, Fungal Mycelium and Cellulose Nanofibrils. Sci. Rep. 2019, 9, 3766. [Google Scholar] [CrossRef] [PubMed]
- Sun, W.; Tajvidi, M.; Howell, C.; Hunt, C.G. Functionality of Surface Mycelium Interfaces in Wood Bonding. ACS Appl. Mater. Interfaces 2020, 12, 57431–57440. [Google Scholar] [CrossRef] [PubMed]
- César, E.; Canche-Escamilla, G.; Montoya, L.; Ramos, A.; Duarte-Aranda, S.; Bandala, V.M. Characterization and Physical Properties of Mycelium Films Obtained from Wild Fungi: Natural Materials for Potential Biotechnological Applications. J. Polym. Environ. 2021, 29, 4098–4105. [Google Scholar] [CrossRef]
- Stelzer, L.; Hoberg, F.; Bach, V.; Schmidt, B.; Pfeiffer, S.; Meyer, V.; Finkbeiner, M. Life Cycle Assessment of Fungal-Based CompositeBricks. Sustainability 2021, 13, 11573. [Google Scholar] [CrossRef]
- Trabelsi, M.; Mamun, A.; Klöcker, M.; Brockhagen, B.; Kinzel, F.; Kapanadze, D.; Sabantina, L. Polyacrylonitrile (PAN) Nanofiber Mats for Mushroom Mycelium Growth Investigations and Formation of Mycelium-Reinforced Nanocomposites. J. Eng. Fibers Fabr. 2021, 16, 15589250211037982. [Google Scholar] [CrossRef]
- Udayanga, D.; Miriyagalla, S.D. Fungal Mycelium-Based Biocomposites: An Emerging Source of Renewable Materials. In Microbial Technology for Sustainable Environment; Bhatt, P., Gangola, S., Udayanga, D., Kumar, G., Eds.; Springer: Singapore, 2021; pp. 529–550. ISBN 9789811638404. [Google Scholar]
- Aquino, M.; Rugolo, M.; Robledo, G.; Kuhar, F. Evaluation of Mycelium Composite Materials Produced by Five Patagonian Fungal Species. Maderas Cienc. Tecnol. 2022, 24. [Google Scholar] [CrossRef]
- Elsacker, E.; De Laet, L.; Peeters, E. Functional Grading of Mycelium Materials with Inorganic Particles: The Effect of Nanoclay on the Biological, Chemical and Mechanical Properties. Biomimetics 2022, 7, 57. [Google Scholar] [CrossRef]
- Ghazvinian, A.; Gürsoy, B. Mycelium-Based Composite Graded Materials: Assessing the Effects of Time and Substrate Mixture on Mechanical Properties. Biomimetics 2022, 7, 48. [Google Scholar] [CrossRef] [PubMed]
- Nguyen, M.T.; Solueva, D.; Spyridonos, E.; Dahy, H. Mycomerge: Fabrication of Mycelium-Based Natural Fiber Reinforced Composites on a Rattan Framework. Biomimetics 2022, 7, 42. [Google Scholar] [CrossRef] [PubMed]
- Pittau, F.; Carcassi, O.G.; Servalli, M.; Pellegrini, S.; Claude, S. Hygrothermal Characterization of Bio-Based Thermal Insulation Made of Fibres from Invasive Alien Lake Plants Bounded with Mycelium. IOP Conf. Ser. Earth Environ. Sci. 2022, 1078, 012069. [Google Scholar] [CrossRef]
- Rigobello, A.; Ayres, P. Compressive Behaviour of Anisotropic Mycelium-Based Composites. Sci. Rep. 2022, 12, 6846. [Google Scholar] [CrossRef]
- Sayfutdinova, A.; Samofalova, I.; Barkov, A.; Cherednichenko, K.; Rimashevskiy, D.; Vinokurov, V. Structure and Properties of Cellulose/Mycelium Biocomposites. Polymers 2022, 14, 1519. [Google Scholar] [CrossRef]
- Vašatko, H.; Gosch, L.; Jauk, J.; Stavric, M. Basic Research of Material Properties of Mycelium-Based Composites. Biomimetics 2022, 7, 51. [Google Scholar] [CrossRef]
- Zhang, X.; Hu, J.; Fan, X.; Yu, X. Naturally Grown Mycelium-Composite as Sustainable Building Insulation Materials. J. Clean. Prod. 2022, 342, 130784. [Google Scholar] [CrossRef]
- Manan, S.; Ullah, M.W.; Ul-Islam, M.; Atta, O.M.; Yang, G. Synthesis and Applications of Fungal Mycelium-Based Advanced Functional Materials. J. Bioresour. Bioprod. 2021, 6, 1–10. [Google Scholar] [CrossRef]
- Suzuki, S.; Shintani, H.; Park, S.-Y.; Saito, K.; Laemsak, N.; Okuma, M.; Iiyama, K. Preparation of Binderless Boards from Steam Exploded Pulps of Oil Palm (Elaeis Guneensis Jaxq.) Fronds and Structural Characteristics of Lignin and Wall Polysaccharides in Steam Exploded Pulps to Be Discussed for Self-Bindings. Holzforschung 1998, 52, 417–426. [Google Scholar] [CrossRef]
- Danielson, B.; Simonson, R. Kraft Lignin in Phenol Formaldehyde Resin. Part 1. Partial Replacement of Phenol by Kraft Lignin in Phenol Formaldehyde Adhesives for Plywood. J. Adhes. Sci. Technol. 1998, 12, 923–939. [Google Scholar] [CrossRef]
- Wescott, J.M.; Frihart, C.R.; Traska, A.E. High-Soy-Containing Water-Durable Adhesives. J. Adhes. Sci. Technol. 2006, 20, 859–873. [Google Scholar] [CrossRef]
- Bouajila, J.; Limare, A.; Joly, C.; Dole, P. Lignin Plasticization to Improve Binderless Fiberboard Mechanical Properties. Polym. Eng. Sci. 2005, 45, 809–816. [Google Scholar] [CrossRef]
- Attias, N.; Danai, O.; Ezov, N.; Tarazi, E.; Grobman, J. Developing Novel Applications of Mycelium Based Bio-Composite Materials for Design and Architecture. Mater. Today Proc. 2021, 47, 5038–5044. [Google Scholar]
- Bitting, S.; Derme, T.; Lee, J.; Van Mele, T.; Dillenburger, B.; Block, P. Challenges and Opportunities in Scaling up Architectural Applications of Mycelium-Based Materials with Digital Fabrication. Biomimetics 2022, 7, 44. [Google Scholar] [CrossRef]
- Jones, M.P.; Bhat, T.; Wang, C.; Moinuddin, K.; John, S. Thermal Degradation and Fire Reaction Properties of Mycelium Composites. In Proceedings of the 21st International Conference on Composites Materials (ICCM-21), Xi’an, China, 20–25 August 2017. [Google Scholar]
- Jones, M.; Bhat, T.; Kandare, E.; Thomas, A.; Joseph, P.; Dekiwadia, C.; Yuen, R.; John, S.; Ma, J.; Wang, C.-H. Thermal Degradation and Fire Properties of Fungal Mycelium and Mycelium—Biomass Composite Materials. Sci. Rep. 2018, 8, 17583. [Google Scholar] [CrossRef] [PubMed]
- Gough, P.; Globa, A.; Hadigheh, A.; Withana, A. Making Sustainable, Tangible Objects with Myco-Materials. In Proceedings of the Companion Proceedings of the 2022 Conference on Interactive Surfaces and Spaces, Wellington, New Zealand, 20–23 November 2022; pp. 59–61. [Google Scholar]
- Yang, Z.; Zhang, F.; Still, B.; White, M.; Amstislavski, P. Physical and Mechanical Properties of Fungal Mycelium-Based Biofoam. J. Mater. Civ. Eng. 2017, 29, 04017030. [Google Scholar] [CrossRef]
- Sivaprasad, S.; Byju, S.K.; Prajith, C.; Shaju, J.; Rejeesh, C.R. Development of a Novel Mycelium Bio-Composite Material to Substitute for Polystyrene in Packaging Applications. Mater. Today Proc. 2021, 47, 5038–5044. [Google Scholar] [CrossRef]
- Jahangiri, P.; Korehei, R.; Zeinoddini, S.S.; Madani, A.; Sharma, Y.; Phillion, A.; Martinez, D.M.; Olson, J.A. On Filtration and Heat Insulation Properties of Foam Formed Cellulose Based Materials. Nord. Pulp Pap. Res. J. 2014, 29, 584–591. [Google Scholar] [CrossRef]
- Lelivelt, R.; Lindner, G.; Teuffel, P.; Lamers, H. The Production Process and Compressive Strength of Mycelium-Based Materials. In Proceedings of the First International Conference on Bio-based Building Materials, Clermont-Ferrand, France, 22–25 June 2015. [Google Scholar]
- Ahmadi, H. Cellulose-Mycelia Foam: Novel Bio-Composite Material. Master’s Thesis, University of British Columbia, Vancouver, BC, Canada, 2016. [Google Scholar] [CrossRef]
- Elsacker, E.; Vandelook, S.; Van Wylick, A.; Ruytinx, J.; De Laet, L.; Peeters, E. A Comprehensive Framework for the Production of Mycelium-Based Lignocellulosic Composites. Sci. Total Environ. 2020, 725, 138431. [Google Scholar] [CrossRef]
- Aiduang, W.; Chanthaluck, A.; Kumla, J.; Jatuwong, K.; Srinuanpan, S.; Waroonkun, T.; Oranratmanee, R.; Lumyong, S.; Suwannarach, N. Amazing Fungi for Eco-Friendly Composite Materials: A Comprehensive Review. JoF 2022, 8, 842. [Google Scholar] [CrossRef]
- Tacer-Caba, Z.; Varis, J.J.; Lankinen, P.; Mikkonen, K.S. Comparison of Novel Fungal Mycelia Strains and Sustainable Growth Substrates to Produce Humidity-Resistant Biocomposites. Mater. Des. 2020, 192, 108728. [Google Scholar] [CrossRef]
- Chen, C.-H. A Novel Multi-Criteria Decision-Making Model for Building Material Supplier Selection Based on Entropy-AHP Weighted TOPSIS. Entropy 2020, 22, 259. [Google Scholar] [CrossRef] [PubMed]
- Patnaik, P.K.; Swain, P.T.R.; Mishra, S.K.; Purohit, A.; Biswas, S. Composite Material Selection for Structural Applications Based on AHP-MOORA Approach. Mater. Today Proc. 2020, 33, 5659–5663. [Google Scholar] [CrossRef]
- Lee, D.; Lee, D.; Lee, M.; Kim, M.; Kim, T. Analytic Hierarchy Process-Based Construction Material Selection for Performance Improvement of Building Construction: The Case of a Concrete System Form. Materials 2020, 13, 1738. [Google Scholar] [CrossRef]
- Bhardwaj, A.; Rahman, A.M.; Wei, X.; Pei, Z.; Truong, D.; Lucht, M.; Zou, N. 3D Printing of Biomass–Fungi Composite Material: Effects of Mixture Composition on Print Quality. JMMP 2021, 5, 112. [Google Scholar] [CrossRef]
- Mohseni, A.; Vieira, F.R.; Pecchia, J.A.; Gürsoy, B. Three-Dimensional Printing of Living Mycelium-Based Composites: Material Compositions, Workflows, and Ways to Mitigate Contamination. Biomimetics 2023, 8, 257. [Google Scholar] [CrossRef]
- Karana, E.; Blauwhoff, D.; Hultink, E.-J.; Camere, S. When the Material Grows: A Case Study on Designing (with) Mycelium-Based Materials. Int. J. Des. 2018, 12, 119–136. [Google Scholar]
- Amy, F. Beetles 3.3 and Yassin Arredia Design Use Fungus for Pavilion in Kerala. Available online: https://www.dezeen.com/2017/08/26/shell-mycelium-fungus-pavilion-beetles-3-3-yassin-arredia-design-kerala-india/ (accessed on 10 May 2023).
- Chang, J.; Chan, P.L.; Xie, Y.; Ma, K.L.; Cheung, M.K.; Kwan, H.S. Modified Recipe to Inhibit Fruiting Body Formation for Living Fungal Biomaterial Manufacture. PLoS ONE 2019, 14, e0209812. [Google Scholar] [CrossRef]
- Bhardwaj, A.; Vasselli, J.; Lucht, M.; Pei, Z.; Shaw, B.; Grasley, Z.; Wei, X.; Zou, N. 3D Printing of Biomass-Fungi Composite Material: A Preliminary Study. Manuf. Lett. 2020, 24, 96–99. [Google Scholar] [CrossRef]
- Silverman, J.; Cao, H.; Cobb, K. Development of Mushroom Mycelium Composites for Footwear Products. Cloth. Text. Res. J. 2020, 38, 119–133. [Google Scholar] [CrossRef]
- Colmo, C.; Ayres, P. 3d Printed Bio-Hybrid Structures: Anthropologic—Architecture and Fabrication in the Cognitive Age. Anthropol.-Archit. Fabr. Cogn. Age 2020, 1, 573–582. [Google Scholar]
- Jauk, J.; Vasatko, H.; Gosch, L.; Christian, I.; Klaus, A.; Stavric, M. Digital Fabrication of Growth—Combining Digital Manufacturing of Clay with Natural Growth of Mycelium. In Proceedings of the 26th International Conference of the Association for Computer-Aided Architectural Design Research in Asia Online and Global, Hong Kong, 29 March–1 April 2021; pp. 753–762. [Google Scholar]
- Modanloo, B.; Ghazvinian, A.; Matini, M.; Andaroodi, E. Tilted Arch; Implementation of Additive Manufacturing and Bio-Welding of Mycelium-Based Composites. Biomimetics 2021, 6, 68. [Google Scholar] [CrossRef] [PubMed]
- Chen, H.; Abdullayev, A.; Bekheet, M.F.; Schmidt, B.; Regler, I.; Pohl, C.; Vakifahmetoglu, C.; Czasny, M.; Kamm, P.H.; Meyer, V.; et al. Extrusion-Based Additive Manufacturing of Fungal-Based Composite Materials Using the Tinder Fungus Fomes Fomentarius. Fungal Biol. Biotechnol. 2021, 8, 21. [Google Scholar] [CrossRef] [PubMed]
- Chu, H.; Yang, W.; Sun, L.; Cai, S.; Yang, R.; Liang, W.; Yu, H.; Liu, L. 4D Printing: A Review on Recent Progresses. Micromachines 2020, 11, 796. [Google Scholar] [CrossRef] [PubMed]
- Dahy, H. Natural Fibre-Reinforced Polymer Composites (NFRP) Fabricated from Lignocellulosic Fibres for Future Sustainable Architectural Applications, Case Studies: Segmented-Shell Construction, Acoustic Panels, and Furniture. Sensors 2019, 19, 738. [Google Scholar] [CrossRef] [PubMed]
- Cao, M.; Xiong, D.; Yang, L.; Li, S.; Xie, Y.; Guo, Q.; Li, Z.; Adams, H.; Gu, J.; Fan, T.; et al. Ultrahigh Electrical Conductivity of Graphene Embedded in Metals. Adv. Funct. Mater. 2019, 29, 1806792. [Google Scholar] [CrossRef]
- Nunes, C.V.; Danczuk, M.; Bortoti, A.A.; Guimarães, R.R.; Gonçalves, J.M.; Araki, K.; Banczek, E.D.P.; Anaissi, F.J. Enhanced Stability and Conductivity of α-Ni(OH)2/Smectite Clay Composites. J. Electrochem. Soc. 2016, 163, A2356–A2361. [Google Scholar] [CrossRef]
- Teixeira, J.L.; Matos, M.P.; Nascimento, B.L.; Griza, S.; Holanda, F.S.R.; Marino, R.H. Production and Mechanical Evaluation of Biodegradable Composites by White Rot Fungi. Ciênc. Agrotec. 2018, 42, 676–684. [Google Scholar] [CrossRef]
- Kuribayashi, T.; Lankinen, P.; Hietala, S.; Mikkonen, K.S. Dense and Continuous Networks of Aerial Hyphae Improve Flexibility and Shape Retention of Mycelium Composite in the Wet State. Compos. Part A Appl. Sci. Manuf. 2022, 152, 106688. [Google Scholar] [CrossRef]
- Bruscato, C.; Malvessi, E.; Brandalise, R.N.; Camassola, M. High Performance of Macrofungi in the Production of Mycelium-Based Biofoams Using Sawdust—Sustainable Technology for Waste Reduction. J. Clean. Prod. 2019, 234, 225–232. [Google Scholar] [CrossRef]
- Santos, I.S.; Nascimento, B.L.; Marino, R.H.; Sussuchi, E.M.; Matos, M.P.; Griza, S. Influence of Drying Heat Treatments on the Mechanical Behavior and Physico-Chemical Properties of Mycelial Biocomposite. Compos. Part B Eng. 2021, 217, 108870. [Google Scholar] [CrossRef]
- López Nava, J.A.; Méndez González, J.; Ruelas Chacón, X.; Nájera Luna, J.A. Assessment of Edible Fungi and Films Bio-Based Material Simulating Expanded Polystyrene. Mater. Manuf. Process. 2016, 31, 1085–1090. [Google Scholar] [CrossRef]
- Pohl, C.; Schmidt, B.; Nunez Guitar, T.; Klemm, S.; Gusovius, H.-J.; Platzk, S.; Kruggel-Emden, H.; Klunker, A.; Völlmecke, C.; Fleck, C.; et al. Establishment of the Basidiomycete Fomes Fomentarius for the Production of Composite Materials. Fungal Biol. Biotechnol. 2022, 9, 4. [Google Scholar] [CrossRef] [PubMed]









| Matrix Framework | Satisfaction with Product Quality | Service Level | ||||
|---|---|---|---|---|---|---|
| Density (D) | Water Absorption (WA) | Tensile Strength (TS) | Flexural Strength (FS) | Manufacturing Period (MP) | ||
| Satisfaction with product quality | Density (D) | 1 | D/WA | D/TS | D/FS | D/MP |
| Water absorption (WA) | WA/D | 1 | WA/TS | WA/FS | WA/MP | |
| Tensile strength (TS) | TS/D | TS/WA | 1 | TS/FS | TS/MP | |
| Flexural strength (FS) | FS/D | FS/WA | FS/TS | 1 | FS/MP | |
| Service level | Manufacturing period (MP) | MP/D | MP/WA | MP/TS | MP/FS | 1 |
Disclaimer/Publisher’s Note: The statements, opinions and data contained in all publications are solely those of the individual author(s) and contributor(s) and not of MDPI and/or the editor(s). MDPI and/or the editor(s) disclaim responsibility for any injury to people or property resulting from any ideas, methods, instructions or products referred to in the content. |
© 2024 by the authors. Licensee MDPI, Basel, Switzerland. This article is an open access article distributed under the terms and conditions of the Creative Commons Attribution (CC BY) license (https://creativecommons.org/licenses/by/4.0/).
Share and Cite
Huang, Z.; Wei, Y.; Hadigheh, S.A. Variations in the Properties of Engineered Mycelium-Bound Composites (MBCs) under Different Manufacturing Conditions. Buildings 2024, 14, 155. https://doi.org/10.3390/buildings14010155
Huang Z, Wei Y, Hadigheh SA. Variations in the Properties of Engineered Mycelium-Bound Composites (MBCs) under Different Manufacturing Conditions. Buildings. 2024; 14(1):155. https://doi.org/10.3390/buildings14010155
Chicago/Turabian StyleHuang, Zicheng, Yaning Wei, and S. Ali Hadigheh. 2024. "Variations in the Properties of Engineered Mycelium-Bound Composites (MBCs) under Different Manufacturing Conditions" Buildings 14, no. 1: 155. https://doi.org/10.3390/buildings14010155
APA StyleHuang, Z., Wei, Y., & Hadigheh, S. A. (2024). Variations in the Properties of Engineered Mycelium-Bound Composites (MBCs) under Different Manufacturing Conditions. Buildings, 14(1), 155. https://doi.org/10.3390/buildings14010155

