About the Use of Concrete Damage Plasticity for Modeling Masonry Post-Elastic Behavior
Abstract
1. Introduction
2. Concrete Damage Plasticity Model
2.1. Damage Parameters
2.2. Yield Function and Its Parameters
- is the effective hydrostatic pressure.
- is the Von Mises equivalent of effective stress.
- is the function of the ratio between the initial equi-biaxial and uniaxial compressive yield stresses and
- is a function of the effective cohesion stresses, and (for the respective levels of plastic deformations ), and of
- is the maximum eigenvalue of the effective stress tensor, and the Macauley brackets return zero if the argument is negative and return the argument if it is positive.
- is a direct function of the parameters defined as the ratio between the Von Mises equivalent effective stress on the tensile meridian and on the compressive meridian ; the closer it is to 1, the closer the yield surface is to a circle on the deviatoric plane.
2.3. Dilation Angle
2.4. Viscosity Parameter
3. Case Study
4. Numerical Models
5. Micro-Model Study
5.1. Sensitivity Analysis
- Dilation angle of the mortar.
- Viscosity of blocks and mortar.
- Mesh density.
- Ratio of mortar yield stress σb0/σc0.
5.1.1. Dilation Angle of the Mortar
5.1.2. Viscosity Parameter
5.1.3. Mesh Size
5.1.4. Ratio between Yielding Compressive Stresses
5.1.5. Remarks about the Sensitivity Analysis
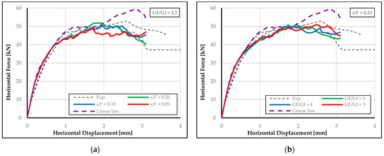
5.2. Tensile Behavior
5.3. Influence of the Boundary Conditions
5.3.1. Prestressing Load
5.3.2. Influence of the Boundary Conditions at the Top
6. Sensitivity Analysis for the Macro-Model Parameters
- Dilatancy.
- Ratio of compressive yielding stresses.
- Mesh size.
- Tensile yield strength.
6.1. Dilation Angle
6.2. Ratio between Compressive Yielding Stresses
6.3. Sensitivity to the Mesh Size
6.4. Tensile Yield Strength
6.5. Discussion of Results of the Sensitivity Analysis for the Macro-Model
7. Conclusions
Author Contributions
Funding
Conflicts of Interest
References
- Uva, G.; Greco, R.; Cundari, A.; Porco, F. La progettazione degli edifici in muratura: Criteri e regole generali. In Fondamenti di Tecnica delle Costruzioni—Seconda Edizione; Edizioni, C.S., Ed.; CittàStudi: Novara, Italy, 2021; pp. 687–726. [Google Scholar]
- Endo, Y.; Miyoshi, K. Meso-scale numerical simulation of the mechanical behaviour of brick masonry in earth mortar. J. Build. Eng. 2023, 74, 106890. [Google Scholar] [CrossRef]
- Gooch, L.J.; Masia, M.J.; Stewart, M.G.; Lam, C.Y. Statistical assessment of tensile and shear properties of unreinforced clay brick masonry. Constr. Build. Mater. 2023, 386, 131578. [Google Scholar] [CrossRef]
- Lourenço, P.B. Computational Strategies for Masonry Structures. Ph.D. Thesis, Delft University of Technology, Delft, The Netherlands, 1996. [Google Scholar]
- Lagomarsino, S.; Penna, A.; Galasco, A.; Cattari, S. TREMURI program: An equivalent frame model for the nonlinear seismic analysis of masonry buildings. Eng. Struct. 2013, 56, 1787–1799. [Google Scholar] [CrossRef]
- Schiavoni, M.; Giordano, E.; Roscini, F.; Clementi, F. Advanced numerical insights for an effective seismic assessment of historical masonry aggregates. Eng. Struct. 2023, 285, 115997. [Google Scholar] [CrossRef]
- Schiavoni, M.; Giordano, E.; Roscini, F.; Clementi, F. Numerical modeling of a majestic masonry structure: A comparison of advanced techniques. Eng. Fail. Anal. 2023, 149, 107293. [Google Scholar] [CrossRef]
- Scacco, J.; Grillanda, N.; Milani, G.; Lourenço, P.B. Novel non-linear static numerical model for curved masonry structures based on a combined adaptive limit analysis and discrete FE computations. Int. J. Solids Struct. 2021, 236–237, 111265. [Google Scholar] [CrossRef]
- Tateo, V.; Casolo, S. Explicit Dynamic Analysis by a Rigid Body-Spring Model of Impact Loads of Artillery on Middle Age Fortifications. Buildings 2021, 11, 607. [Google Scholar] [CrossRef]
- D’altri, A.M.; Sarhosis, V.; Milani, G.; Rots, J.; Cattari, S.; Lagomarsino, S.; Sacco, E.; Tralli, A.; Castellazzi, G.; de Miranda, S. Modeling Strategies for the Computational Analysis of Unreinforced Masonry Structures: Review and Classification. Arch. Comput. Methods Eng. 2019, 27, 1153–1185. [Google Scholar] [CrossRef]
- Murano, A.; Mehrotra, A.; Ortega, J.; Rodrigues, H.; Vasconcelos, G. Comparison of different numerical modelling approaches for the assessment of the out-of-plane behaviour of two-leaf stone masonry walls. Eng. Struct. 2023, 291, 116466. [Google Scholar] [CrossRef]
- Roca, P.; Cervera, M.; Gariup, G.; Pelà, L. Structural Analysis of Masonry Historical Constructions. Classical and Advanced Approaches. Arch. Comput. Methods Eng. 2010, 17, 299–325. [Google Scholar] [CrossRef]
- Lagomarsino, S.; Cattari, S. PERPETUATE guidelines for seismic performance-based assessment of cultural heritage masonry structures. Bull. Earthq. Eng. 2014, 13, 13–47. [Google Scholar] [CrossRef]
- Page, A.W. Finite Element Model for Masonry. J. Struct. Div. 1978, 104, 1267–1285. [Google Scholar] [CrossRef]
- Dolatshahi, K.M.; Yekrangnia, M. Out-of-plane strength reduction of unreinforced masonry walls because of in-plane damages. Earthq. Eng. Struct. Dyn. 2015, 44, 2157–2176. [Google Scholar] [CrossRef]
- Minga, E.; Macorini, L.; Izzuddin, B.A. A 3D mesoscale damage-plasticity approach for masonry structures under cyclic loading. Meccanica 2017, 53, 1591–1611. [Google Scholar] [CrossRef]
- D'Altri, A.M.; Messali, F.; Rots, J.; Castellazzi, G.; de Miranda, S. A damaging block-based model for the analysis of the cyclic behaviour of full-scale masonry structures. Eng. Fract. Mech. 2019, 209, 423–448. [Google Scholar] [CrossRef]
- Nie, Y.; Sheikh, A.; Visintin, P.; Griffith, M. A robust computational strategy for failure prediction of masonry structures using an improved multi-surface damage-plastic based interface model. Int. J. Numer. Methods Eng. 2023, 124, 2498–2528. [Google Scholar] [CrossRef]
- Cuomo, M.; Ventura, G. A complementary energy formulation of no tension masonry-like solids. Comput. Methods Appl. Mech. Eng. 2000, 189, 313–339. [Google Scholar] [CrossRef]
- Bruggi, M.; Taliercio, A. Analysis of no-tension structures under monotonic loading through an energy-based method. Comput. Struct. 2015, 159, 14–25. [Google Scholar] [CrossRef]
- Berto, L.; Saetta, A.; Scotta, R.; Vitaliani, R. An orthotropic damage model for masonry structures. Int. J. Numer. Methods Eng. 2002, 55, 127–157. [Google Scholar] [CrossRef]
- Pelà, L.; Cervera, M.; Roca, P. An orthotropic damage model for the analysis of masonry structures. Constr. Build. Mater. 2013, 41, 957–967. [Google Scholar] [CrossRef]
- Degli Abbati, S.; D'Altri, A.M.; Ottonelli, D.; Castellazzi, G.; Cattari, S.; de Miranda, S.; Lagomarsino, S. Seismic assessment of interacting structural units in complex historic masonry constructions by nonlinear static analyses. Comput. Struct. 2019, 213, 51–71. [Google Scholar] [CrossRef]
- Lopez, J.; Oller, S.; Onate, E.; Lubliner, J. A homogeneous constitutive model for masonry. Int. J. Numer. Methods Eng. 1999, 46, 1651–1671. [Google Scholar] [CrossRef]
- Pantò, B.; Cannizzaro, F.; Caddemi, S.; Caliò, I. 3d microelement modelling approach for seismic assessment of historical masonry churches. Adv. Eng. Softw. 2016, 97, 40–59. [Google Scholar] [CrossRef]
- Zucchini, A.; Lourenço, P.B. A micro-mechanical homogenisation model for masonry: Application to shear walls. Int. J. Solids Struct. 2009, 46, 871–886. [Google Scholar] [CrossRef]
- Brasile, S.; Casciaro, R.; Formica, G. Multilevel approach for brick masonry walls—Part I: A numerical strategy for the nonlinear analysis. Comput. Methods Appl. Mech. Eng. 2007, 196, 4934–4951. [Google Scholar] [CrossRef]
- Milani, G.; Zuccarello, F.A.; Olivito, R.S.; Tralli, A. Heterogeneous upper-bound finite element limit analysis of masonry walls out-of-plane loaded. Comput. Mech. 2007, 40, 911–931. [Google Scholar] [CrossRef]
- Bertolesi, E.; Milani, G.; Casolo, S. Homogenization towards a mechanistic Rigid Body and Spring Model (HRBSM) for the non-linear dynamic analysis of 3D masonry structures. Meccanica 2018, 53, 1819–1855. [Google Scholar] [CrossRef]
- Marfia, S.; Sacco, E. Multiscale damage contact-friction model for periodic masonry walls. Comput. Methods Appl. Mech. Eng. 2012, 205–208, 189–203. [Google Scholar] [CrossRef]
- Massart, T.J.; Peerlings, R.H.J.; Geers, M.G.D. An enhanced multi-scale approach for masonry wall computations with localization of damage. Int. J. Numer. Methods Eng. 2007, 69, 1022–1059. [Google Scholar] [CrossRef]
- Leonetti, L.; Greco, F.; Trovalusci, P.; Luciano, R.; Masiani, R. A multiscale damage analysis of periodic composites using a couple-stress/Cauchy multidomain model: Application to masonry structures. Compos. Part B Eng. 2018, 141, 50–59. [Google Scholar] [CrossRef]
- Koocheki, K.; Pietruszczak, S. Numerical analysis of large masonry structures: Bridging meso and macro scales via artificial neural networks. Comput. Struct. 2023, 282, 107042. [Google Scholar] [CrossRef]
- Lourenço, P.B.; Rots, J.G.; Blaauwendraad, J. Continuum Model for Masonry: Parameter Estimation and Validation. J. Struct. Eng. 1998, 124, 642–652. [Google Scholar] [CrossRef]
- Lourenço, P.B.; De Borst, R.; Rots, J.G. A plane stress softening plasticity model for orthotropic materials. Int. J. Numer. Methods Eng. 1997, 40, 4033–4057. [Google Scholar] [CrossRef]
- Canditone, C.; Diana, L.; Formisano, A.; Rodrigues, H.; Vicente, R. Failure mechanisms and behaviour of adobe masonry buildings: A case study. Eng. Fail. Anal. 2023, 150, 107343. [Google Scholar] [CrossRef]
- Casolo, S. Macroscopic modelling of structured materials: Relationship between orthotropic Cosserat continuum and rigid elements. Int. J. Solids Struct. 2006, 43, 475–496. [Google Scholar] [CrossRef]
- De Bellis, M.L.; Addessi, D. A Cosserat Based Multi-Scale Model For Masonry Structures. Int. J. Multiscale Comput. Eng. 2011, 9, 543–563. [Google Scholar] [CrossRef]
- Lubliner, J.; Oliver, J.; Oller, S.; Oñate, E. A plastic-damage model for concrete. Int. J. Solids Struct. 1989, 25, 299–326. [Google Scholar] [CrossRef]
- Lee, J.; Fenves, G.L. Plastic-Damage Model for Cyclic Loading of Concrete Structures. J. Eng. Mech. 1998, 124, 892–900. [Google Scholar] [CrossRef]
- Temsah, Y.; Jahami, A.; Khatib, J.; Sonebi, M. Numerical Derivation of Iso-Damaged Curve for a Reinforced Concrete Beam Subjected to Blast Loading. MATEC Web Conf. 2018, 149, 02016. [Google Scholar] [CrossRef]
- Temsah, Y.; Jahami, A.; Khatib, J.; Sonebi, M. Numerical analysis of a reinforced concrete beam under blast loading. MATEC Web Conf. 2018, 149, 02063. [Google Scholar] [CrossRef]
- Casolo, S.; Biolzi, L.; Carvelli, V.; Barbieri, G. Testing masonry blockwork panels for orthotropic shear strength. Constr. Build. Mater. 2019, 214, 74–92. [Google Scholar] [CrossRef]
- Nie, Y.; Sheikh, A.; Visintin, P.; Griffith, M. An interfacial damage-plastic model for the simulation of masonry structures under monotonic and cyclic loadings. Eng. Fract. Mech. 2022, 271, 108645. [Google Scholar] [CrossRef]
- Rotunno, T.; Fagone, M.; Ranocchiai, G.; Grande, E. Micro-mechanical FE modelling and constitutive parameters calibration of masonry panels strengthened with CFRP sheets. Compos. Struct. 2022, 285, 115248. [Google Scholar] [CrossRef]
- Hernoune, H.; Benabed, B.; Abousnina, R.; Alajmi, A.; Alfadhili, A.M.G.; Shalwan, A. Experimental Research and Numerical Analysis of CFRP Retrofitted Masonry Triplets under Shear Loading. Polymers 2022, 14, 3707. [Google Scholar] [CrossRef]
- Huang, D.; Albareda, A.; Pons, O. Experimental and Numerical Study on Unreinforced Brick Masonry Walls Retrofitted with Sprayed Mortar under Uniaxial Compression. Buildings 2023, 13, 122. [Google Scholar] [CrossRef]
- Nastri, E.; Todisco, P. Macromechanical Failure Criteria: Elasticity, Plasticity and Numerical Applications for the Non-Linear Masonry Modelling. Buildings 2022, 12, 1245. [Google Scholar] [CrossRef]
- Bayraktar, A.; Hökelekli, E.; Yang, T.T. Seismic failure behavior of masonry domes under strong ground motions. Eng. Fail. Anal. 2022, 142, 106749. [Google Scholar] [CrossRef]
- Cardinali, V.; Pintucchi, B.; Tanganelli, M.; Trovatelli, F. Settlement of masonry barrel vaults: An experimental and numerical study. Procedia Struct. Integr. 2023, 44, 1252–1259. [Google Scholar] [CrossRef]
- Tariq, H.; Najafgholipour, M.A.; Sarhosis, V.; Milani, G. In-plane strength of masonry wall panels: A comparison between design codes and high-fidelity models. Structures 2023, 47, 1869–1899. [Google Scholar] [CrossRef]
- Scamardo, M.; Zucca, M.; Crespi, P.; Longarini, N.; Cattaneo, S. Seismic Vulnerability Evaluation of a Historical Masonry Tower: Comparison between Different Approaches. Appl. Sci. 2022, 12, 11254. [Google Scholar] [CrossRef]
- D'Altri, A.M.; Presti, N.L.; Grillanda, N.; Castellazzi, G.; de Miranda, S.; Milani, G. A two-step automated procedure based on adaptive limit and pushover analyses for the seismic assessment of masonry structures. Comput. Struct. 2021, 252, 106561. [Google Scholar] [CrossRef]
- Ferrante, A.; Giordano, E.; Clementi, F.; Milani, G.; Formisano, A. FE vs. DE Modeling for the Nonlinear Dynamics of a Historic Church in Central Italy. Geosciences 2021, 11, 189. [Google Scholar] [CrossRef]
- Papa, G.S.; Tateo, V.; Parisi, M.A.; Casolo, S. Seismic response of a masonry church in Central Italy: The role of interventions on the roof. Bull. Earthq. Eng. 2020, 19, 1151–1179. [Google Scholar] [CrossRef]
- Milani, G.; Valente, M.; Fagone, M.; Rotunno, T.; Alessandri, C. Advanced non-linear numerical modeling of masonry groin vaults of major historical importance: St John Hospital case study in Jerusalem. Eng. Struct. 2019, 194, 458–476. [Google Scholar] [CrossRef]
- Albu-Jasim, Q.; Papazafeiropoulos, G. A Neural Network Inverse Optimization Procedure for Constitutive Parameter Identification and Failure Mode Estimation of Laterally Loaded Unreinforced Masonry Walls. Civileng 2021, 2, 943–968. [Google Scholar] [CrossRef]
- Rakić, D.M.; Bodić, A.S.; Milivojević, N.J.; Dunić, V.L.; Živković, M.M. Concrete Damage Plasticity Material Model Parameters Identification. J. Serbian Soc. Comput. Mech. 2021, 15, 111–122. [Google Scholar] [CrossRef]
- Lu, W.; Lubbad, R.; Løset, S.; Høyland, K. Cohesive Zone Method Based Simulations of Ice Wedge Bending: A Comparative Study of Element Erosion, CEM, DEM and XFEM. In Proceedings of the 21st IAHR International Symposium on Ice “Ice Research for a Sustainable Environment”, Dalian, China, 11–15 June 2012; Dalian University of Technology Press: Dalian, China, 2021. ISBN 978-7-89437-020-4. [Google Scholar]
- Smith, M. ABAQUS/Standard User's Manual, Version 2022; Dassault Systèmes Simulia Corp.: Providende, RI, USA, 2022. [Google Scholar]
- Voyiadjis, G.Z.; Kattan, P.I.; Taqieddin, Z.N. Analysis of Damage in Composite Materials using Fabric Tensors and the Continuum Approach. In Proceedings of the McMat2005: Joint ASME/ASCE/SES Conference on Mechanics and Materials, Baton Rouge, LA, USA, 1–3 June 2005. [Google Scholar]
- Kachanov, L. Time of the Rupture Process under Creep Conditions; Izvestiia Akademii Nauk SSSR, Otdelenie Teckhnicheskikh Nauk: Moscow, Russia, 1958; Volume 8, pp. 26–31. [Google Scholar]
- Rabotnov, Y.N. Creep Problems in Structural Members; Series in Applied Mathematics and Mechanics; North-Holland publishing company: Amsterdam, Netherland, 1969. [Google Scholar]
- Hong, W.-K. Chapter 3—The investigation of the structural performance of the hybrid composite precast frames with mechanical joints based on nonlinear finite element analysis. In Hybrid Composite Precast Systems; Woodhead Publishing Series in Civil and Structural Engineering, Hybrid Composite Precast Systems; Woodhead Publishing: Sawston, UK, 2020; pp. 89–177. [Google Scholar] [CrossRef]
- Şerban, D.-A.; Furtos, G.; Marşavina, L.; Şoşdean, C.; Negru, R. Numerical modelling of the mechanical behaviour of wood fibre-reinforced geopolymers. Contin. Mech. Thermodyn. 2020, 35, 957–969. [Google Scholar] [CrossRef]
- Michał, S.; Andrzej, W. Calibration of the CDP model parameters in Abaqus. In Proceedings of the 2015 World Congress on Advances in Structural Engineering and Mechanics (ASEM15), Incheon, Republic of Korea, 25–29 August 2015. [Google Scholar]
- Demir, A.; Ozturk, H.; Edip, K.; Stojmanovska, M.; Bogdanović, A. Effect of viscosity parameter on the numerical simulation of reinforced concrete deep beam behavior. Online J. Sci. Technol. 2018, 8, 50–56. [Google Scholar]
- Raijmakers, T.M.J.; Vermeltfoort, A.T. Deformation Controlled Tests in Masonry Shear Walls; Report B-92-1156; TNO-Bouw: Delft, The Netherlands, 1992. (In Dutch) [Google Scholar]
- Vermeltfoort, A.T.; Raijmakers, T.M.J. Deformation Controlled Tests in Masonry Shear Walls; Part 2; Report TUE/BKO/93.08; Eindhoven University of Technology: Eindhoven, The Netherlands, 1993. (In Dutch) [Google Scholar]
- CUR. Structural Masonry: An Experimental/Numerical Basis for Practical Design Rules; Report 171; CUR: Gouda, The Netherlands, 1994. (In Dutch) [Google Scholar]
- Bažant, Z.P. Concrete fracture models: Testing and practice. Eng. Fract. Mech. 2002, 69, 165–205. [Google Scholar] [CrossRef]
- Van Der Pluijm, R. Shear Behaviour of bed joints. In Proceedings of the 6th North American masonry Conference, Philadelphia, PA, USA, 6–9 June 1993; pp. 125–136. [Google Scholar]
























| Mortar | |||||||||||||
| p [MPa] | E [GPa] | υ | [MPa] | [J/m2] | [MPa] | [J/m2] | [°] | ||||||
| 0.30 | 0.8 | 0.15 | 0.25 | 18 | 10.5 | 2800 | 36.9 | ||||||
| 1.21 | 1.0 | 0.16 | 12 | 11.5 | |||||||||
| 2.12 | 0.8 | 0.16 | 12 | 11.5 | |||||||||
| Blocks | |||||||||||||
| E [GPa] | υ | [MPa] | [J/m2] | [MPa] | [J/m2] | [°] | |||||||
| 16.7 | 0.15 | 2 | 80 | - | - | 10 | |||||||
| Concrete Damage Plasticity for Mortar | ||||||||
| Elasticity parameters | E [Pa] | υ | ||||||
| 80,0000,000 | 0.15 | |||||||
| Plasticity parameters | [°] | ∈ | σb0/σc0 | K | μ | |||
| variable | 0.1 | variable | 2/3 | variable | ||||
| Compressive response | Compressive strength [Pa] | Inelastic strain [%] | Damage parameter | Inelastic strain [%] | ||||
| 9,450,000 | 0 | 0 | 0 | |||||
| 10,500,000 | 0.005 | 0.1 | 0.005 | |||||
| 0 | 0.015 | 0.2 | 0.015 | |||||
| Tensile response | Tensile strength [Pa] | Cracking displacement [m] | Damage parameter | Cracking displacement [m] | ||||
| 250,000 | 0 | 0 | 0 | |||||
| 0 | 0.000144 | 0.1 | 0.000144 | |||||
| Concrete Damage Plasticity for Units | ||||||||
| Elasticity parameters | E [Pa] | υ | ||||||
| 3,128,000,000 | 0.15 | |||||||
| Plasticity parameters | [°] | ∈e | σb0/σc0 | K | μ | |||
| variable | 0.1 | variable | 2/3 | 0.0001 | ||||
| Compressive response | Compressive strength [Pa] | Inelastic strain [%] | Damage parameter | Inelastic strain [%] | ||||
| 13,000,000 | 0 | 0 | 0 | |||||
| 17,500,000 | 0.004 | 0.1 | 0.005 | |||||
| 0 | 0.01 | 0.2 | 0.015 | |||||
| Tensile response | Tensile strength [Pa] | Cracking displacement [m] | Damage parameter | Cracking displacement [m] | ||||
| variable | 0 | 0 | 0 | |||||
| 0 | variable | 0.1 | variable | |||||
| Fixed Parameters | ||
|---|---|---|
| σb0/σc0 | μ | Mesh size [cm] |
| 1.16 | 0.002 | 3.00 (MESH) |
| 5° | 10° | 15° | 20° | 30° | 36.9° |
| Fixed Parameters | ||
|---|---|---|
| [°] | μ | σb0/σc0 |
| 20° | 0.0001 | 1.16 |
| Ratio between Compressive Yielding Stresses σb0/σc0 | |||
|---|---|---|---|
| 1.05 | 1.16 | 1.25 | 1.35 |
| Fixed Parameters | ||
|---|---|---|
| [°] | μ | Mesh size [cm] |
| 20° | 0.0001 | 3.00 (MESH) |
| Fixed Parameters | |||
|---|---|---|---|
| [°] | μ | σb0/σc0 | Mesh size [cm] |
| 20° | 0.0001 | 1.16 | 3.00 (MESH) |
| Bilinear Laws for Blocks Assumed to Analyze the Influence of the s/f′ ratio | ||||
|---|---|---|---|---|
| Parameters | ||||
| f′ [Pa] | GF [J/m] | Gf [J/m] | GF/Gf | s/f′ |
| 2,000,000 | 80 | 32 | 2.50 | 0.20; 0.10; 0.05 |
| Implemented laws | ||||
| s/f′ | Data | Sub-options | ||
| Tensile strength [Pa] | Displacement [m] | Damage Parameter | Displacement [m] | |
| 0.20 | 2,000,000 | 0 | 0 | 0 |
| 400,000 | 0.0000256 | 0.1 | 0.000272 | |
| 0 | 0.0002720 | >> | >> | |
| 0.10 | 2,000,000 | 0 | 0 | 0 |
| 200,000 | 0.0000288 | 0.1 | 0.000512 | |
| 0 | 0.0005120 | >> | >> | |
| 0.05 | 2,000,000 | 0 | 0 | 0 |
| 100,000 | 0.0000304 | 0.1 | 0.000992 | |
| 0 | 0.0009920 | >> | >> | |
| Bilinear Laws for Mortar to Analyze the Influence of the s/f′ Ratio | ||||
|---|---|---|---|---|
| Parameters | ||||
| f′ [Pa] | GF [J/m] | Gf [J/m] | GF/Gf | s/f′ |
| 250,000 | 18 | 7.20 | 2.50 | 0.20; 0.10; 0.05 |
| Implemented laws | ||||
| s/f′ | Data | Sub-options | ||
| Tensile strength [Pa] | Displacement [m] | Damage Parameter | Displacement [m] | |
| 0.20 | 250,000 | 0 | 0 | 0 |
| 50,000 | 0.00004608 | 0.1 | 0.0004896 | |
| 0 | 0.00048960 | >> | >> | |
| 0.10 | 250,000 | 0 | 0 | 0 |
| 25,000 | 0.00005184 | 0.1 | 0.0009216 | |
| 0 | 0.00092160 | >> | >> | |
| 0.05 | 250,000 | 0 | 0 | 0 |
| 12,500 | 0.00005472 | 0.1 | 0.0017856 | |
| 0 | 0.00178560 | >> | >> | |
| Bilinear Laws for Blocks to Analyze the Influence of the GF/Gf Ratio | ||||
|---|---|---|---|---|
| Parameters | ||||
| f′ [Pa] | GF [J/m] | Gf [J/m] | GF/Gf | s/f′ |
| 2,000,000 | 80 | 26.67; 20.00; 16.00 | 3.00; 4.00; 5.00 | 0.33 |
| Implemented laws | ||||
| GF/Gf | Data | Suboptions | ||
| Tensile strength [Pa] | Displacement [m] | Damage Parameter | Displacement [m] | |
| 3.00 | 2,000,000 | 0 | 0 | 0 |
| 66,666.67 | 0.0000177778 | 0.1 | 0.000186667 | |
| 0 | 0.0001866667 | >> | >> | |
| 4.00 | 2,000,000 | 0 | 0 | 0 |
| 666,666.67 | 0.0000133333 | 0.1 | 0.0002 | |
| 0 | 0.0002000000 | >> | >> | |
| 5.00 | 2,000,000 | 0 | 0 | 0 |
| 666,666.67 | 0.0000106667 | 0.1 | 0.000208 | |
| 0 | 0.0002080000 | >> | >> | |
| Bilinear Laws for Mortar to Analyze the Influence of the GF/Gf Ratio | ||||
|---|---|---|---|---|
| Parameters | ||||
| f′ [Pa] | GF [J/m] | Gf [J/m] | GF/Gf | s/f′ |
| 250,000 | 18 | 6.00; 4.50; 3.60 | 3.00; 4.00; 5.00 | 0.33 |
| Implemented laws | ||||
| GF/Gf | Data | Suboptions | ||
| Tensile strength [Pa] | Displacement [m] | Damage Parameter | Displacement [m] | |
| 3.00 | 250,000 | 0 | 0 | 0 |
| 83,333.33 | 0.0000320 | 0.1 | 0.000336 | |
| 0 | 0.0003360 | >> | >> | |
| 4.00 | 250,000 | 0 | 0 | 0 |
| 83,333.33 | 0.0000240 | 0.1 | 0.00036 | |
| 0 | 0.0003600 | >> | >> | |
| 5.00 | 250,000 | 0 | 0 | 0 |
| 83,333.33 | 0.0000192 | 0.1 | 0.0003744 | |
| 0 | 0.0003744 | >> | >> | |
| Fixed Parameters | |||
|---|---|---|---|
| [°] | μ | σb0/σc0 | Mesh size [cm] |
| 20° | 0.0001 | 1.16 | 3.00 (MESH) |
| Fixed Parameters | |||
|---|---|---|---|
| [°] | μ | σb0/σc0 | Mesh size [cm] |
| 20° | 0.0001 | 1.16 | 3.00 (MESH) |
| Prestressing Load p | ||
|---|---|---|
| J4D & J5D | J6D | J7D |
| 0.30 MPa | 1.21 MPa | 2.12 MPa |
| Concrete Damage Plasticity for Mortar | ||||||||
|---|---|---|---|---|---|---|---|---|
| Elasticity parameters | E [Pa] | υ | ||||||
| 3,128,000,000 | 0.15 | |||||||
| Plasticity parameters | [°] | ∈e | σb0/σc0 | K | μ | |||
| variable | 0.1 | variable | 2/3 | 0.0001 | ||||
| Compressive response | Compressive strength [Pa] | Inelastic strain [%] | Damage parameter | Inelastic strain [%] | ||||
| 13,000,000 | 0 | 0 | 0 | |||||
| 17,500,000 | 0.004 | 0.1 | 0.005 | |||||
| 0 | 0.01 | 0.2 | 0.015 | |||||
| Tensile response | Tensile strength [Pa] | Cracking displacement [m] | Damage parameter | Cracking Displacement [m] | ||||
| variable | 0 | 0 | 0 | |||||
| 0 | variable | 0.1 | variable | |||||
| Dilation Angle | |||||
|---|---|---|---|---|---|
| 5° | 10° | 15° | 20° | 30° | 36.9° |
| Fixed Parameters | ||
|---|---|---|
| σb0/σc0 | Mesh size [cm] | Tensile yielding stress (displacement) |
| 1.16 | 3.00 (MESH) | 0.25 MPa (0.00015 m) |
| Fixed Parameters | ||
|---|---|---|
| [°] | Mesh size [cm] | Tensile yielding stress (displacement) |
| 20° | 3.00 (MESH) | 0.25 MPa (0.00015 m) |
| Ratio σb0/σc0 | |||
|---|---|---|---|
| 1.05 | 1.16 | 1.35 | 1.60 |
| Fixed Parameters | ||
|---|---|---|
| [°] | σb0/σc0 | Tensile yielding stress (displacement) |
| 36.9° | 1.16 | 0.25 MPa (0.00015 m) |
| Fixed Parameters | ||
|---|---|---|
| [°] | σb0/σc0 | Mesh size [cm] |
| 36.9° | 1.16 | 3.00 (MESH) |
| Tensile Strength σt0 | ||
|---|---|---|
| 0.15 MPa | 0.25 MPa | 0.35 MPa |
| (displacement = 0.00024 m) | (displacement = 0.00015 m) | (displacement = 0.0001028 m) |
| Concrete Damage Plasticity for the Panel | ||||||||
|---|---|---|---|---|---|---|---|---|
| Elasticity parameters | E [Pa] | υ | ||||||
| 3,128,000,000 | 0.15 | |||||||
| Plasticity parameters | [°] | ∈ | σb0/σc0 | K | μ | |||
| 36.9 | 0.1 | 1.16 | 2/3 | 0.0001 | ||||
| Compressive response | Compressive strength [Pa] | Inelastic strain [%] | Damage parameter | Inelastic strain [%] | ||||
| 13,000,000 | 0 | 0 | 0 | |||||
| 17,500,000 | 0.004 | 0.1 | 0.005 | |||||
| 0 | 0.01 | 0.2 | 0.015 | |||||
| Tensile response | Tensile strength [Pa] | Displacement [m] | Damage parameter | Displacement [m] | ||||
| 350,000 | 0 | 0 | 0.004 | |||||
| 0 | 0.0001028 | 0.1 | 0.01 | |||||
Disclaimer/Publisher’s Note: The statements, opinions and data contained in all publications are solely those of the individual author(s) and contributor(s) and not of MDPI and/or the editor(s). MDPI and/or the editor(s) disclaim responsibility for any injury to people or property resulting from any ideas, methods, instructions or products referred to in the content. |
© 2023 by the authors. Licensee MDPI, Basel, Switzerland. This article is an open access article distributed under the terms and conditions of the Creative Commons Attribution (CC BY) license (https://creativecommons.org/licenses/by/4.0/).
Share and Cite
Rainone, L.S.; Tateo, V.; Casolo, S.; Uva, G. About the Use of Concrete Damage Plasticity for Modeling Masonry Post-Elastic Behavior. Buildings 2023, 13, 1915. https://doi.org/10.3390/buildings13081915
Rainone LS, Tateo V, Casolo S, Uva G. About the Use of Concrete Damage Plasticity for Modeling Masonry Post-Elastic Behavior. Buildings. 2023; 13(8):1915. https://doi.org/10.3390/buildings13081915
Chicago/Turabian StyleRainone, Luigi Salvatore, Vito Tateo, Siro Casolo, and Giuseppina Uva. 2023. "About the Use of Concrete Damage Plasticity for Modeling Masonry Post-Elastic Behavior" Buildings 13, no. 8: 1915. https://doi.org/10.3390/buildings13081915
APA StyleRainone, L. S., Tateo, V., Casolo, S., & Uva, G. (2023). About the Use of Concrete Damage Plasticity for Modeling Masonry Post-Elastic Behavior. Buildings, 13(8), 1915. https://doi.org/10.3390/buildings13081915

