Research on the Non-Planar Deformation Behavior of Reinforced Concrete Components Based on Size Effect
Abstract
1. Introduction
2. Establishment of Section Deformation Distribution Function
3. Influence Mechanism of Non-Planar Distribution of Section Deformation
3.1. Analysis Model
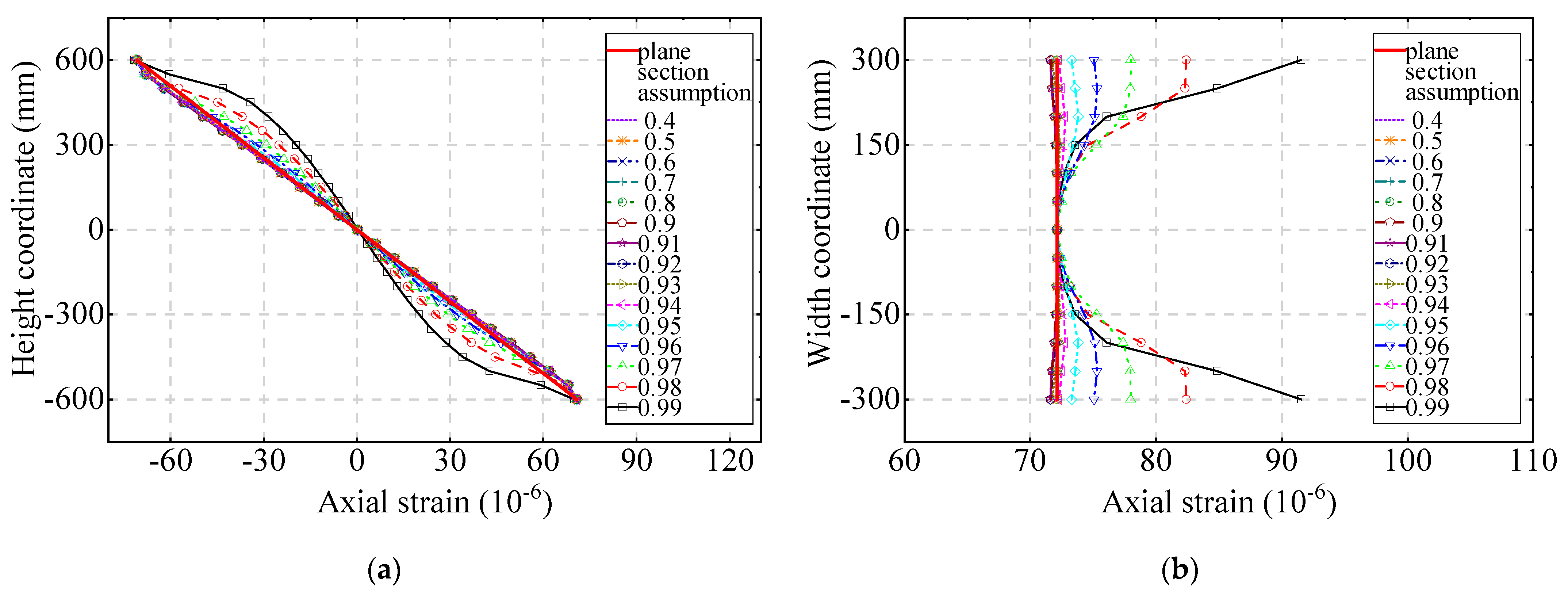
3.2. Influence of Section Size
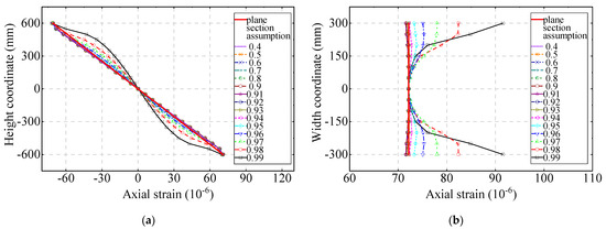
3.3. Influence of Section Location
3.4. Influence of Load Amplitude
3.5. Influence of Shear–Span Ratio
4. Quantification and Application of Non-Planar Distribution of Section Deformation
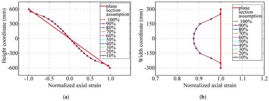
4.1. Quantification of Distribution Shape Function
4.2. Verification of Distribution Shape Function
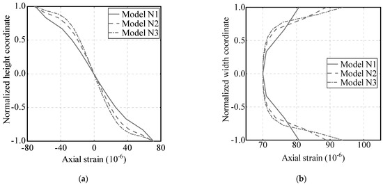
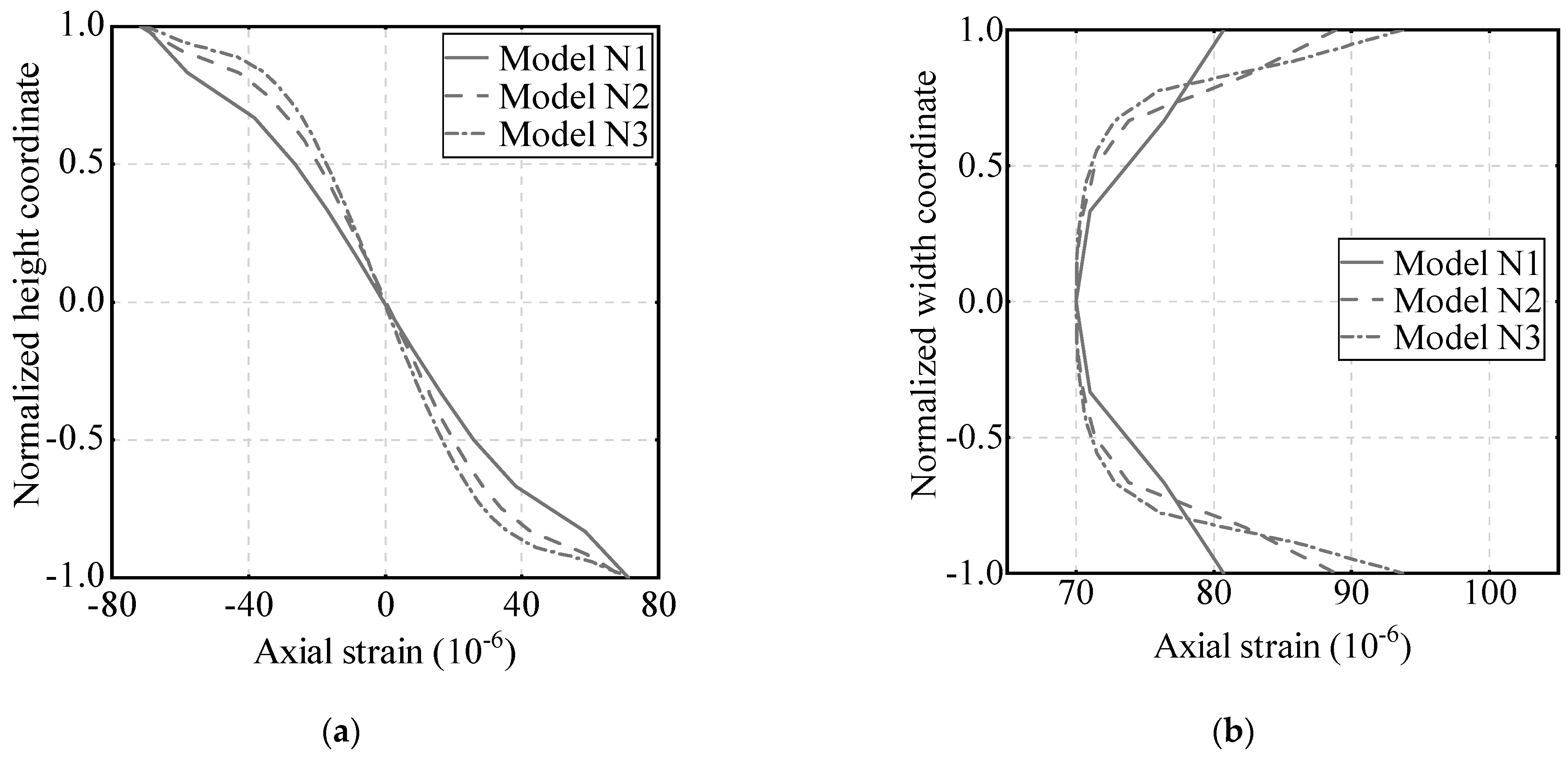
4.2.1. Comparison and Verification of Finite Element Models
4.2.2. Comparison and Verification of Test
4.3. Influence Analysis of Mechanical Properties of Components
4.4. Structural Multi-Scale Interface Connection
5. Conclusions
- With the increase in the load amplitude of the component, the amplitude of the section deformation distribution curve increases proportionally, and the shape of the distribution curve remains unchanged. With the decrease in the shear–span ratio, the curve shape of the axial deformation distribution along the section height changes nonlinearly, while the curve shape along the section width remains unchanged.
- As the section position moves away from the joint area, the degree of nonlinearity of the section deformation distribution decreases. The section with a p value of 0.95 represents the position where the transition from a strong nonlinear to weak nonlinear distribution of section deformation occurs. The coupling effect of shear–span ratio and the size effect on the bending capacity of the section become gradually obvious.
- For reinforced concrete beams considering the non-planar deformation distribution behavior, the non-planar bending capacity ratio is always less than 1, and the minimum value is approximately 0.83. Under the influence of the size effect, the non-planar bending capacity ratio decreases with an increase in the section height, and it tends to stabilize when the section height reaches 5000 mm.
- The non-planar section distribution function of the axial strain of reinforced concrete components in elastic stages is established. The accuracy and applicability of the proposed method are verified by comparing it with finite element simulation and test results. The method allows for direct analysis of mechanical properties such as the bending capacity of the components and facilitates the multi-scale simulation of structures, thereby improving the calculation accuracy of the interface connection.
Author Contributions
Funding
Data Availability Statement
Conflicts of Interest
Appendix A
| Calculation Coefficients | Coefficient Value | Calculation Coefficients | Coefficient Value | Calculation Coefficients | Coefficient Value |
|---|---|---|---|---|---|
| Che11 | 0.780 | Dhe31 | 2.632 | Ehe52 | 6.329 |
| Che12 | −1.097 | Dhe32 | −0.253 | Ehe50 | −7.979 |
| Che13 | 0.501 | Dhe30 | 1.721 | Che71 | −5.344 |
| Che10 | −0.195 | Ehe31 | 23.075 | Che72 | 7.051 |
| Dhe11 | 10.246 | Ehe32 | −3.293 | Che73 | −2.969 |
| Dhe12 | −0.913 | Ehe30 | −9.836 | Che70 | 1.279 |
| Dhe10 | −114.731 | Che51 | −15.122 | Dhe71 | 11.832 |
| Ehe11 | −0.120 | Che52 | 19.327 | Dhe72 | −4.482 |
| Ehe12 | 0.013 | Che53 | −7.811 | Dhe70 | 377.825 |
| Ehe10 | 1.472 | Che50 | 3.695 | Ehe71 | −8.588 |
| Che31 | 5.784 | Dhe51 | −2.049 | Ehe72 | 1.496 |
| Che32 | −7.268 | Dhe52 | 0.251 | Ehe70 | −5.428 |
| Che33 | 2.880 | Dhe50 | −6.822 | ||
| Che30 | −1.425 | Ehe51 | −40.509 |
| Calculation Coefficients | Coefficient Value | Calculation Coefficients | Coefficient Value | Calculation Coefficients | Coefficient Value |
|---|---|---|---|---|---|
| Cbe10 | 1.013 | Dbe21 | 5.039 | Ebe32 | 1.882 |
| Cbe11 | −4.337 | Dbe22 | −0.754 | Ebe30 | 17.319 |
| Cbe12 | 6.026 | Dbe20 | 0.184 | Cbe40 | 3.001 |
| Cbe13 | −2.712 | Ebe21 | −1.551 | Cbe41 | −7.462 |
| Dbe11 | −3.379 | Ebe22 | 0.097 | Cbe42 | 4.159 |
| Dbe12 | 0.588 | Ebe20 | −1.132 | Cbe43 | 0.339 |
| Dbe10 | 2.360 | Cbe30 | −11.415 | Dbe41 | −6.066 |
| Ebe11 | −6.511 | Cbe31 | 41.425 | Dbe42 | 2.203 |
| Ebe12 | 0.820 | Cbe32 | −49.022 | Dbe40 | −2.845 |
| Ebe10 | 7.998 | Cbe33 | 19.015 | Ebe41 | 2.733 |
| Cbe20 | 0.705 | Dbe31 | −25.422 | Ebe42 | −0.335 |
| Cbe21 | −3.080 | Dbe32 | 3.957 | Ebe40 | −6.347 |
| Cbe22 | 4.406 | Dbe30 | 42.256 | ||
| Cbe23 | −2.068 | Ebe31 | −12.206 |



References
- Liu, P.; Ge, L.; Li, Z.; Teng, J. Mechanical properties and stiffness calculation method of primary-secondary structure for high-rise building. J. Build. Struct. 2021, 42, 28–38. [Google Scholar] [CrossRef]
- Bažant, Z.P.; Kwon, Y.W. Failure of slender and stocky reinforced concrete columns: Tests of size effect. Mater. Struct. 1994, 27, 79–90. [Google Scholar] [CrossRef]
- Li, D.; Jin, L.; Du, X.; Fu, J.; Lu, A. Size effect tests of normal-strength and high-strength RC columns subjected to axial compressive loading. Eng. Struct. 2016, 109, 43–60. [Google Scholar] [CrossRef]
- Yuan, B.; Chen, W.; Zhao, J.; Li, L.; Liu, F.; Guo, Y.; Zhang, B. Addition of alkaline solutions and fibers for the reinforcement of kaolinite-containing granite residual soil. Appl. Clay Sci. 2022, 228, 106644. [Google Scholar] [CrossRef]
- Yuan, B.; Chen, W.; Li, Z.; Zhao, J.; Luo, Q.; Chen, W.; Chen, T. Sustainability of the polymer SH reinforced recycled granite residual soil: Properties, physicochemical mechanism, and applications. J. Soil Sediment 2023, 23, 246–262. [Google Scholar] [CrossRef]
- Weibull, W. A Statistical Distribution Function of Wide Applicability. J. Appl. Mech. 1951, 18, 293–297. [Google Scholar] [CrossRef]
- Baant, Z.P. Size Effect in Blunt Fracture: Concrete, Rock, Metal. J. Eng. Mech. 1984, 110, 518–535. [Google Scholar] [CrossRef]
- Carpinteri, A.; Ferro, G. Size effects on tensile fracture properties: A unified explanation based on disorder and fractality of concrete microstructure. Mater. Struct. 1994, 27, 563–571. [Google Scholar] [CrossRef]
- Hoover, C.G.; Ba Ant, Z.P. Universal Size-shape Effect Law Based on Comprehensive Concrete Fracture Tests. J. Eng. Mech. 2014, 140, 473–479. [Google Scholar] [CrossRef]
- Syroka-Korol, E.; Tejchman, J. Experimental investigations of size effect in reinforced concrete beams failing by shear. Eng. Struct. 2014, 58, 63–78. [Google Scholar] [CrossRef]
- Sener, S.; Barr, B.I.G.; Abusiaf, H.F. Size-effect tests in unreinforced concrete columns. Mag. Concr. Res. 1999, 51, 3–11. [Google Scholar] [CrossRef]
- Barbhuiya, S.; Choudhury, A.M. A study on the size effect of RC beam–column connections under cyclic loading. Eng. Struct. 2015, 95, 1–7. [Google Scholar] [CrossRef]
- Sun, Y.; Du, X.; Zhang, J.; Lu, A. Experimental study on size effect of common reinforced concrete column under large eccentric loading. China Civ. Eng. J. 2012, 45, 297–301. [Google Scholar]
- Du, X.; Lu, A.; Zhao, J. Experiment on size effect of small eccentric reinforced concrete columns under compressive loads. J. Archit. Civ. Eng. 2015, 32, 1–7. [Google Scholar]
- GB50011-2010; Code for Seismic Design of Buildings. Building Industry Press of China: Beijing, China, 2016.
- GB50010-2010; Code for Design of Concrete Structures. Building Industry Press of China: Beijing, China, 2015.
- Li, Z.; Peng, Z.; Qi, Y.; Teng, J.; Ou, J. Full-scale experimental study on seismic behaviors of plasticity controllable steel joint of prefabricated RC beam column. J. Build. Struct. 2019, 40, 43–50. [Google Scholar] [CrossRef]
- Li, Y.; Yang, D.; Huang, D. Experimental study on mechanical behavior of reinforced concrete beams before cracking at ultra-low temperature. J. Build. Struct. 2021, 42, 110–116. [Google Scholar]
















| Model Number | Length, Width, and Height of Beam (mm) | Length, Width, and Height of Column (mm) |
|---|---|---|
| N1 | 2620 × 300 × 600 | 600 × 600 × 3740 |
| N2 | 5240 × 600 × 1200 | 1200 × 1200 × 7520 |
| N3 | 7860 × 900 × 1800 | 1800 × 1800 × 11,280 |
| Model Number | Category of Bending Component | Shear Span Ratio λ |
|---|---|---|
| N2 | General beam | 4.4 |
| N2A | Short beam | 2.0 |
| N2B | Deep beam | 1.0 |
| Load Case | Solid Element Model | Proposed Model | Plane Section Assumption Model | ||
|---|---|---|---|---|---|
| Stress | Error | Stress | Error | ||
| Axial force | 119.9 | 117 | −2.42% | 150.2 | 25.27% |
| Bending moment | 72.8 | 73.2 | 0.55% | 79.8 | 9.62% |
| Shear force | 89.2 | 89.2 | 0.00% | 92.5 | 3.70% |
| Torque | 78.5 | 76.2 | −2.93% | 69.5 | −11.46% |
Disclaimer/Publisher’s Note: The statements, opinions and data contained in all publications are solely those of the individual author(s) and contributor(s) and not of MDPI and/or the editor(s). MDPI and/or the editor(s) disclaim responsibility for any injury to people or property resulting from any ideas, methods, instructions or products referred to in the content. |
© 2023 by the authors. Licensee MDPI, Basel, Switzerland. This article is an open access article distributed under the terms and conditions of the Creative Commons Attribution (CC BY) license (https://creativecommons.org/licenses/by/4.0/).
Share and Cite
Peng, Z.; Xie, B.; Feng, Y.; Teng, J.; Li, Z. Research on the Non-Planar Deformation Behavior of Reinforced Concrete Components Based on Size Effect. Buildings 2023, 13, 1716. https://doi.org/10.3390/buildings13071716
Peng Z, Xie B, Feng Y, Teng J, Li Z. Research on the Non-Planar Deformation Behavior of Reinforced Concrete Components Based on Size Effect. Buildings. 2023; 13(7):1716. https://doi.org/10.3390/buildings13071716
Chicago/Turabian StylePeng, Zhihan, Binglei Xie, Yongqian Feng, Jun Teng, and Zuohua Li. 2023. "Research on the Non-Planar Deformation Behavior of Reinforced Concrete Components Based on Size Effect" Buildings 13, no. 7: 1716. https://doi.org/10.3390/buildings13071716
APA StylePeng, Z., Xie, B., Feng, Y., Teng, J., & Li, Z. (2023). Research on the Non-Planar Deformation Behavior of Reinforced Concrete Components Based on Size Effect. Buildings, 13(7), 1716. https://doi.org/10.3390/buildings13071716

