Abstract
The management of plastic waste has become a fundamental issue in recent decades and several studies have focused on finding proper solutions to recycle and reuse these secondary raw materials in different sectors. Using plastic waste in the building sector allows for long-term application and reduces the number of times the recycling process is needed. This research focuses on experimenting with two building products, namely lightweight screed and concrete, with the addition of plastic waste in the form of irregular granules. The screed was produced by adding plastic granules of different sizes, while the concrete was produced by replacing different percentages of the coarse and fine aggregates with plastic granules and pulverized plastic. The screed has been tested under compressive and three-point bending tests, while the concrete has only been tested under compressive tests. The results have shown that the addition of plastic waste in both products led to the desired weight reduction. On one hand, plastic waste have provided a decrease in both tensile (−16%) and compressive (−25%) strengths of the screed with an increase of ultimate tensile strain (+60%). On the other hand, the only acceptable concrete mixture resulted to be the one with 25% of aggregates substitution, which exhibited a decrease in compressive strength (−40%) and an increase of ultimate strain (+38%), whereas samples with higher percentages of plastic aggregates have been not considered to be suitable as building materials.
1. Introduction
Since the 1950s, worldwide plastic production dramatically increased, reaching more than 300 million tons in 2015 and growing to about 10 million tons per year [1]. According to forecasts made by the European Commission, global plastic production will increase twice over to 800 million tons per year by 2050, rising to 1300 tons by the end of the century. The production and the exponential growth of plastic materials entail an equal amount of waste, for which the management and disposal are studied in many scientific investigations, especially in recent decades, due to the increasing awareness of environmental issues and global pollution [2]. Plastic needs a long degradation time and, if not properly disposed of or recycled, remains in the environment, causing the alteration of ecosystems [3]. It is estimated that there are about 150 tons of plastic in the marine environment, including microplastics, i.e., small particles resulting from the shattering of larger objects, which are ingested by animals and, consequently, by humans [4]. In this scenario, the European Parliament’s Directive 2018/851 states that waste should be improved and transformed into sustainable materials to protect the environment and to promote the efficient and rational use of natural resources, thereby encouraging the principles of circular economy [5]. In the context of circular economy and Life Cycle Assessment, several experiments were carried out to reuse and recycle plastic materials in the building sector. However, not all plastic waste can be used as a secondary raw material. Moreover, each time that plastic is recycled, the polymer chain grows less and its quality decreases, so the recycling process can be made only two or three times. Therefore, since plastic materials cannot be recycled infinitely, it is preferable to consider long-term applications, such as its employment in construction, in order to guarantee a longer life to the recycled components, rather than reusing them for the creation of new objects [6]. The recycling industry in Italy is growing and less waste is sent to landfill sites each year. The waste to be recycled is transported to treatment plants, where plastic is separated from other fractions or impurities and, after being sorted by polymer type and cleaned, it is processed to become a secondary raw material to produce new elements. Processing takes place using chemical or mechanical procedures [7], the former involving the breakage of polymers to obtain the starting monomer, while the latter consists of the reduction of the plastic into flakes or granules. In the literature, several studies were carried out to assess the possibility of using plastic wastes for building products, such as geopolymer mortars [8], concretes [9,10], and compressed earth bricks [11]. Using up to 25% of PVC waste to replace sand in an M20 mortar was considered the optimal mixture to maintain the compressive strength class with the best adhesion to the substrate, together with a small decrease in flexural strength [12]. Several studies focused on adding plastic waste into concrete mixtures [13,14] as aggregate replacements or as fibers in different percentages. It was generally observed that plastic aggregates reduce the mechanical properties of concrete due to the poor bonding between plastic and cement paste. As the percentage of aggregates increased, the density and the compressive strength decreased; meanwhile, in some cases, the flexural strength was amplified [15]. Thanks to the low conductivity of plastic, it was always noticed that there was an improvement in the thermal properties of the concretes.
Starting from the above premises, this research activity aims to investigate the use of recycled plastics waste derived from the production activity of the Plastimontella Srl company, having headquarters in Montella (in the district of Avellino, Italy), to fabricate cement mortars and concretes. The novelty of this study is that it will perform preliminary physical and mechanical tests on mortar and concrete manufactured with plastic waste of the above company as initial steps for the CE marking of these new cement-based materials. In particular, the first product under study is an underfloor screed made of a cement matrix made lighter with plastic granules. The second one is a concrete obtained by substituting different percentage weights of aggregates with recycled plastic waste. Plastic granules are used as replacements for coarse aggregates and pulverized plastic to substitute the fine aggregates. Different mix designs are selected to identify the percentages of plastic materials to be added to the mixture to obtain a reduction in the compound density (screed) and to assess the performances of the mixture when increasing the plastic percentages (concrete). Finally, several specimens with selected physical characteristics are manufactured to perform mechanical experiments, namely three-point bending tests (only for screed) and compression tests (for screed and concrete).
2. Materials and Methods
2.1. Experimental Setup
The setup of the experimental campaign is summarized in Figure 1 both for the underfloor screed and the concrete.
Figure 1.
Overview of the experimental campaign.
The investigation on the underfloor screed started from the selection of the plastic granules to be added to the mixture to obtain a lighter product. Two plastic screeds were proposed: the first one with 4.5% of the weight of the binder of plastic granules, named “big”, and the second one with 4.5% of the weight of the binder of the same waste, but with smaller sizes, having the acronym “small”. Each mixture was cast in nine prismatic and nine cubic specimens for the mechanical tests (Phase 1). After 6 days of curing, the specimens were removed from the molds and weighed to assess the specific weight of the screeds (Phase 2). Finally, the mechanical properties were evaluated by means of three-point bending and compression tests (Phase 3).
The investigation on plastic concrete consisted in replacing coarse and fine aggregates with plastic granules and pulverized plastic, respectively. Three plastic concretes with three different percentages of substitution in weight, namely 25%, 50%, and 100%, were proposed. Each mixture was cast into 13 specimens (eleven 40 × 40 × 40 mm and two 150 × 150 × 150 mm specimens) for the mechanical tests (Phase 1). After 7 days of curing the specimens were removed from the molds and weighed to assess the specific weight of the concrete (Phase 2). Finally, the mechanical properties were evaluated by means of compression tests (Phase 3).
2.2. Properties of Materials
2.2.1. Screed
The lightweight underfloor screed was made of pre-mixed cement mortar and plastic granules. The basic mortar was the Keracem Eco Pronto product, manufactured by the Kerakoll company, which is a certified, eco-friendly, mineral, and ready-mixed screed with normal setting times and rapid drying. Thanks to the high mechanical properties, this mortar can be used for screeds in heavy traffic conditions, but also as a support for different kinds of flooring. From the technical datasheet, it was derived that after 28 days of curing, the compressive and tensile strengths were higher than 30 N/mm2 and 6 N/mm2, respectively, according to the EN 13892-2 standard. As mentioned before, the lightweight screed consists of plastic granules, which are irregular fragments of plastic wastes resulting from the recycling process. In fact, once the urban plastic waste arrives at the recycling plant, it is sorted by type, cleaned, and crushed to obtain granules that can be reused for different purposes. The specific type of waste employed was supplied by the Plastimontella Srl company and was derived from the crushing of liquid containers that were mostly made of high-density polyethylene (HDPE). Plastic granules were divided according to their sizes into big and small fragments, denoted by the letter “B” and “S”, respectively. Big granules had an average thickness of about 0.5–1 mm, while small granules were less than 0.5 mm. The components of the screed are shown in Figure 2, while Table 1 summarizes the technical data of the pre-mixed mortar.
Figure 2.
Lightweight screed components: Keracem Eco Pronto produced by Kerakoll company (A), mixed plastic granules (B), and the sizes of big “B” and small “S” plastic granules (C) derived from the recycling process.
Table 1.
Properties of the pre-mixed mortar.
2.2.2. Concrete
The innovative concrete is composed of pozzolanic cement mixed with traditional and plastic aggregates. The employed cement was the type Tenacem 32.5 manufactured by the Cementi Costantinopoli company. It contains clinker (45–64%), natural pozzolanic (36–55%), and minor secondary constituents. The technical datasheet of the product provided a compression strength, of 37 N/mm2 after 28 days of curing, according to the UNI EN 196/1 standard. Fine and coarse aggregates were replaced by pulverized plastic and plastic granules, respectively. Plastic granules are the same irregular fragments used for the lightweight screed with no size distinction, while plastic pulverization represents a waste of the industrial process with an average diameter of about 1 mm. Figure 3 shows the three components used for the lightweight concrete, while Table 2 summarizes the properties of Tenacem pozzolanic cement.
Figure 3.
Lightweight concrete components: pozzolanic cement Tenacem 32.5 manufactured by the Cementi Costantinopoli company (A), plastic granules (B), and pulverized plastic (C).
Table 2.
Percentages of components and properties of pozzolanic cement.
2.3. Mix Design and Preparation of Samples
2.3.1. Screed Samples
Three mixtures were selected for the experimental campaign on the lightweight screed. The first mix design is a control screed for comparative purposes, manufactured only with the Keracem Eco Pronto binder and water. To assess the mechanical properties of the lightweight screed, two different mixtures were prepared: the first with 4.5% in weight of binder of big plastic granules (Eco_B_4.5%) and the second with 4.5% in weight of binder of small plastic granules (Eco_S_4.5%). The amount of water was suggested by the technical datasheet for the basic screed with a percentage of 6.8% of the weight of the binder. The properties of each mixture are illustrated in Table 3.
Table 3.
Mix designs for screed samples.
At the fresh state, both control and lightweight screeds showed a semi-dry consistency according to the UNI EN 13813 standard [16]. All samples were prepared according to the UNI EN 196-1 guidelines for cement characterization [17]. Six specimens for each mixture, for a total of 18 specimens (9 prismatic and 9 cubic), were prepared. The cubic specimens had dimensions of 40 × 40 × 40 mm and were used for compression tests, whereas the prismatic ones had dimensions of 40 × 40 × 160 mm and were used for bending tests. The mixtures were poured into standard molds that were previously coated with disarming oil to facilitate the removal of the specimens (Figure 4).
Figure 4.
Screed specimens manufacturing: specimens cast in 40 × 40 × 40 and 40 × 40 × 160 mm standard molds.
After 6 days of curing the specimens were removed from the formworks, measured, and weighed, as reported in Table 4 and Table 5 for the prismatic and cubic samples, respectively.
Table 4.
Dimensions and weights of the screed prismatic specimens after removal from the molds.
Table 5.
Dimensions and weights of the screed cubic specimens after removal from the formworks.
2.3.2. Concrete Samples
The purpose of the experimental campaign was to identify suitable mix designs for mechanical tests. Firstly, three replacement percentages (25%, 50%, and 100%) of the weights of the coarse and fine aggregates with the recycled plastic were defined. A total of 13 cubic specimens were prepared according to the UNI EN 12390-1 guidelines [18]. In detail, eleven 40 × 40 × 40 mm cubic specimens were manufactured: two control specimens without aggregates replacement, three with 25%, three with 50% and three with 100% of aggregates replacement. In addition, two 150 × 150 × 150 mm cubic specimens were cast: one control specimen and one with 25% of aggregate replacements. The mix designs of each analyzed mixture are summarized in Table 6.
Table 6.
Mix designs for concrete samples.
In the fresh state, the control specimens showed an average slump between 100 and 150 mm (consistency class S3). On the other hand, 25% and 50% plastic concretes exhibited a slump between 50 and 90 mm (consistency class S2), whereas 100% plastic concrete between 10 and 40 mm (consistency class S1) according to the UNI EN 206:2021 standard [19].
The molds were 40 × 40 × 40 mm standardized wooden formworks and 150 × 150 × 150 mm standardized polystyrene formworks. The molds were preliminary brushed with disarming oil to facilitate the removal of the specimens after curing. After 7 days of curing, the specimens were removed from the formworks, measured, and weighed, as reported in Table 7.
Table 7.
Dimensions and weight of the concrete cubic specimens after removal from the formworks.
2.4. Specific Weight
The evaluation of the specific weight is a fundamental step to assess the incidence of plastic materials on the lightness of the proposed products. To assess the influence of plastic materials, the specific weight of the plastic screeds and concretes was compared with that of the control mixtures.
The specific weight (Υ) was calculated as:
where P represents the weight and V the volume of the sample.
Υ = P/V
To achieve a better result, the variation of specific weight for the screed was evaluated by means of parallelepiped-shaped specimens, as they have larger dimensions of cubic ones, reducing the margin of error. For concretes, only cubic specimens were prepared; therefore, the specific weight was evaluated for all the samples including the 150 × 150 × 150 mm ones.
2.5. Testing Activities
2.5.1. Bending Tests
Three-point bending tests were performed only on the screed samples after 28 days of curing, since the determination of flexural properties of the concrete was not considered necessary in this early stage of the research. The tests were carried out with a LOSENHAUSENWERK UPH10 100 kN universal machine based on the EN 12390-5 standard [20]. All prismatic specimens (three Control_Eco, three Eco_B_4.5%, and three Eco_S_4.5%) were tested according to the following procedure. A concentrated force (loading speed v = 50 N/s) was applied at the center of the specimen, which was constrained at its ends by two cylindrical supports. The distance between the lower supports was 100 mm and the specimens were perfectly centered under the testing machine. In this way, the load was automatically placed in the specimen center.
The test provided the values of the load (F) and the related displacement (δ). The flexural strength was calculated by means of the following equation:
where F is the maximum applied load, L is the distance between the supports, d1 is the specimen length and d2 is the specimen depth.
2.5.2. Compression tests
The cubic specimens of both screed and concrete were subjected to compression tests according to the UNI EN 12390-3 standard [21]. Screed samples were tested using the same testing machine described in the previous section, while concrete samples were tested, after 28 days of curing, with a MATEST 2000 kN universal machine. The load was applied to the specimen with a metal jack, and it was increased at a speed of 2400 N/s until the sample collapsed. The test provided the values of the load (F) and the related displacement (δ). The compressive strength was calculated by means of the following equation:
where F is the maximum applied load and A is the specimen area.
3. Results and Discussion
3.1. Specific Weight
The evaluation of the specific weight allowed for an assessment of the variation of the specimens’ weights in comparison to the control mixtures after adding the plastic waste. Table 8 and Table 9 show the average specific weight of the screed and the concrete specimens, respectively, with the corresponding standard deviation (SD).
Table 8.
Specific weights of the screeds.
Table 9.
Specific weights of the concretes.
The results derived from the comparison of specific weights are summarized in the form of histograms in Figure 5 for both the screeds and concretes.
Figure 5.
Histograms of screeds (A) and concretes (B) average specific weight.
Adding 4.5% of plastic granules in the weight of pre-mixed screed determined an average reduction of weight of 6% compared to the traditional screed one (−2.2% for big granules and −9.5% for big granules).
The specific weight of the concrete decreased as the percentage of aggregate replacements of plastic granules increased, reaching a reduction of 68.9% for concrete with 100% of plastic aggregates. The 25% substitution led to a specific weight reduction of 14.6% and the 50% substitution to a reduction of 30.7% compared to the control concrete.
3.2. Testing Activities
3.2.1. Bending Tests on the Screed
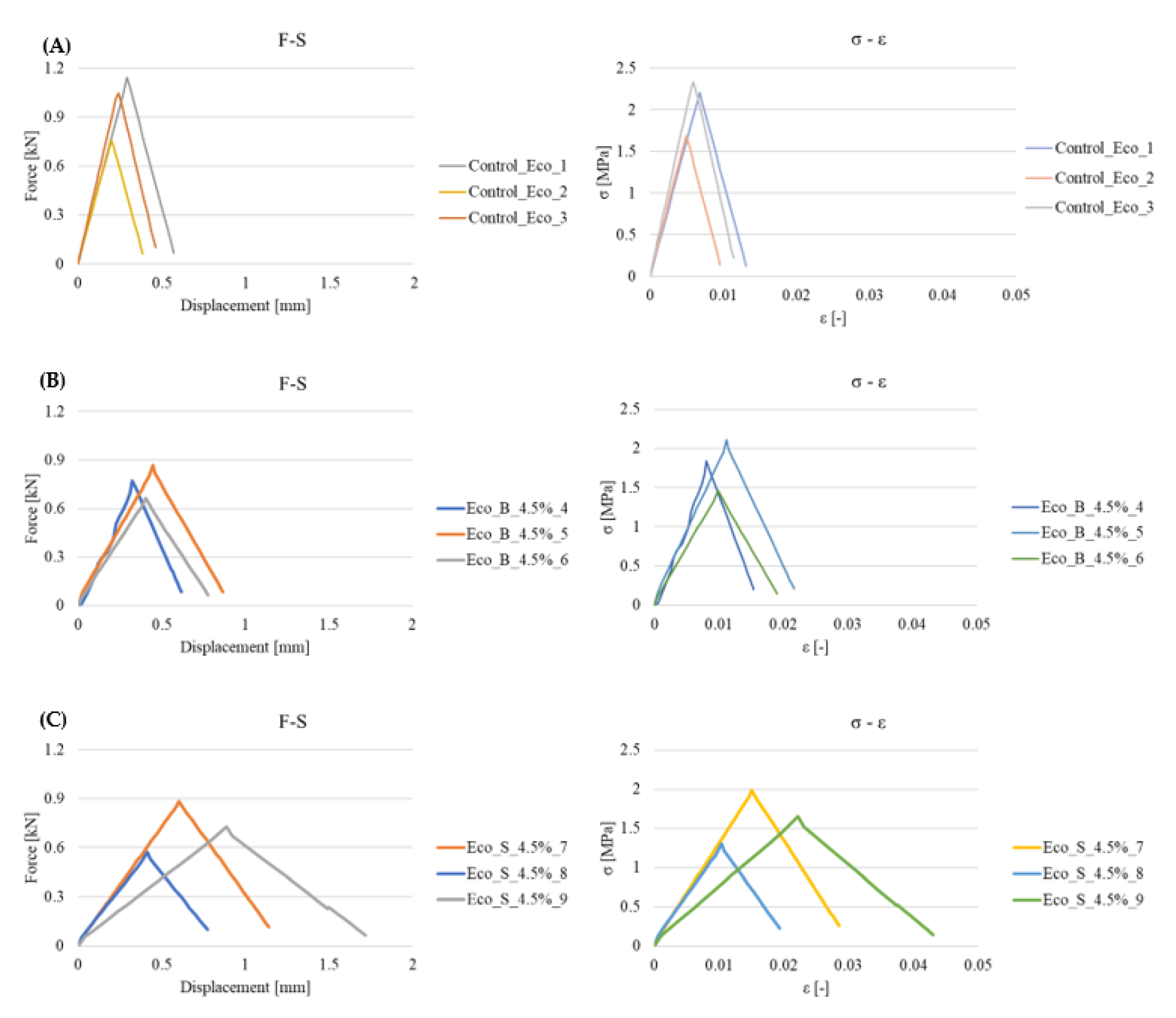
The three-point bending tests were performed only on the screed samples. The results, grouped according to the type of mixture, are shown in Figure 6 in terms of force-displacement (F-δ) and stress-strain (σ-ε) diagrams.
Figure 6.
Bending test diagrams of control screed samples (A), screed samples with 4.5% of big granules (B), and 4.5% of small granules (C).
The comparison of the bending test diagrams allowed for the definition of the decrease/increase of mechanical strength due to the addition of plastic granules to the Eco mixtures. Table 10 and Table 11 summarized the experimental flexural stress (σ) and the associated strain (ε), respectively, with the associated SD and compared them with the corresponding average values of the Control_Eco specimens, allowing for the identification of the variation gradient Δ.
Table 10.
Results of the bending tests for the screeds in terms of flexural stress (σ).
Table 11.
Results of the bending tests for the screeds in terms of flexural strain (ε).
The average results of tensile stress (σ) and strain (ε) are graphically summarized in Figure 7.
Figure 7.
Screed average values of flexural stress (A) and strain (B).
The control mixture (Control_Eco) achieved an average value of flexural strength of 2 MPa, while the plastic mixtures with big (Eco_B_4.5%) and small (Eco_S_4.5%) granules showed a decrease in flexural strength of 13% and 20%, respectively, compared to the reference mixture. However, even if the granules did not contribute to improve the flexural resistance of the screed, due to their limited strength compared to the mortar one, they allowed a significant increase of ultimate strain of 65% and 170% for big and small size granules, respectively.
3.2.2. Compression Tests on the Screed
Compression tests were performed on screed cubic specimens. The results, grouped for the different mixture types, are shown in Figure 8 in terms of force-displacement (F-δ) and stress-strain (σ-ε) diagrams.
Figure 8.
Compression test diagrams of control screed samples (A), screed samples with 4.5% of big granules (B), and 4.5% of small granules (C).
The comparison among the compression test diagrams allowed us to define the decrease/increase of mechanical strength due to the addition of plastic granules to the Eco mixtures. Table 12 and Table 13 summarized the experimental compressive strength (σ) and the associated strain (ε), respectively, with the associated SD and compared them with the corresponding average values of the Control_Eco specimens, allowing to identify the variation gradient Δ.
Table 12.
Results of the compression tests for the screeds in terms of compressive stress (σ).
Table 13.
Results of the compression tests for the screeds in terms of compressive strain (ε).
The average results of tensile stress (σ) and strain (ε) are graphically summarized in Figure 9.
Figure 9.
Screed average values of compressive stress (A) and strain (B).
The control mixture (Control_Eco) achieved an average value of compressive strength of 7.3 MPa, while the plastic mixtures with big (Eco_B_4.5%) and small (Eco_S_4.5%) granules showed a decrease in compressive strength of 26% and 24%, respectively, compared to the reference mixture. Therefore, the granules did not contribute to improving the mechanical behavior of the screed, but they were only effective in reducing the system weight.
3.2.3. Compression Tests on the Concrete
Compression tests were carried out on both 40 × 40 × 40 mm and 150 × 150 × 150 mm concrete samples. However, the concrete samples with 100% of aggregates replacement were discarded before the execution of the tests, since they were not considered acceptable for the testing activities due to lack of compactness (Figure 10). Compression tests were not performed also on the two samples with 50% of aggregates replacement (specimens 7 and 8) due to the irregularity of their surfaces.
Figure 10.
40 × 40 × 40 mm concrete sample during (A) and after (B) compression test, 40 × 40 × 40 mm concrete sample with 100% of plastic aggregates (Plastic_100%) after curing (C).
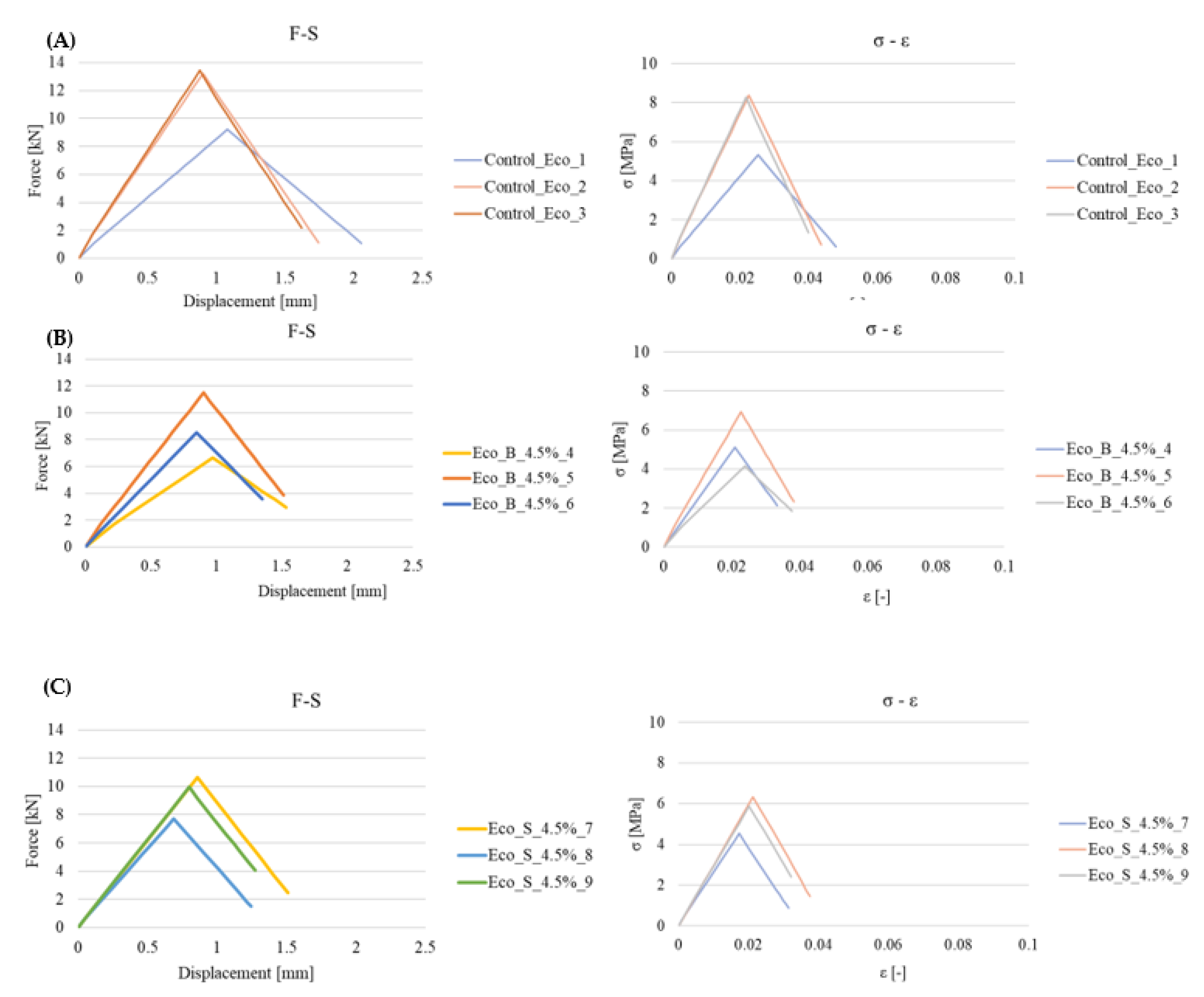
The results of the remaining 40 × 40 × 40 mm concrete samples, grouped on the basis of the mixture types, are shown in Figure 11 in terms of force-displacement (F-δ) and stress-strain (σ-ε) diagrams.
Figure 11.
Compression test diagrams of the 40 × 40 × 40 mm control concrete samples (A), concrete samples with 25% of plastic aggregates (B) and 50% of plastic aggregates (C).
The comparison among the compression test diagrams allowed us to define the decrease/increase of mechanical strength due to the aggregate replacement in the concrete mixtures. Table 14 and Table 15 summarized, respectively, the compression stress (σ) and ultimate strain (ε) with the associated SD of samples with plastic wastes, comparing them with the corresponding average values of the Control_cls specimens, allowing to identify the variation gradient Δ.
Table 14.
Results of the compression tests for the 40 × 40 × 40 mm concrete specimens in terms of compressive stress (σ).
Table 15.
Results of the compression tests for the 40 × 40 × 40 mm concrete specimens in terms of compressive strain (ε).
The results of the compression tests on 150 × 150 × 150 mm concrete samples are shown in Figure 12 using a Force-Time diagram.
Figure 12.
Compression test diagram of the 150 × 150 × 150 mm concrete samples.
The average results of tensile stress (σ) and strain (ε) of the 40 × 40 × 40 mm samples are graphically summarized in Figure 13, while Figure 14 shows the comparison in terms of the ultimate force for the 150 × 150 × 150 mm specimens.
Figure 13.
Concrete average values of compressive stress (A) and ultimate strain (B).
Figure 14.
Concrete ultimate force obtained from 150 × 150 × 150 mm specimens.
4. Conclusions
This research focused on the investigation of two building products reinforced with recycled plastic waste. The first product was a screed made lighter with 4.5% of plastic granules having big (B) and small (S) sizes. The second one was a concrete produced by replacing different percentages (25%, 50%, and 100%) of the coarse and fine aggregates of plastic granules and pulverized plastic, respectively. Both products were evaluated in terms of density and compressive strength, while bending test was performed only on the screed samples. The plastic mixtures were compared to a control mix without plastic material to assess the contribution of plastic granules on the mechanical properties of investigated products.
The results showed that adding plastic granules into the screed produces several advantages in terms of weight reduction, leading to an average decrease of 6% (−2.2% for big granules and −9.5% for big granules), without significantly penalizing the compressive strength compared to the traditional screed (Control_Eco) one. In fact, the reduction of compressive strength was 26% and 24% for the plastic mixture with big (Eco_B_4.5%) and small (Eco_S_4.5%) granules, respectively. Likewise, the flexural strength decreased for both lightweight mixtures, with an average reduction of 16.5% compared to the reference mixture one. Therefore, the granules did not contribute to improving the mechanical behavior of the screed, but they were only effective in reducing the product weight. On the other hand, in the bending tests, the addition of plastic granules allowed a significant increase in ultimate strain, equal to 65% and 170% for big and small granules, respectively.
Concerning the concrete with plastic aggregates, it was noticed a reduction in weight, but a significant decrease in compressive strength, as increasing the percentage of aggregates replacement. With a 100% substitution of the coarse and fine aggregates, it was not possible to perform the mechanical tests due to the lack of compactness of the samples. The 25% of aggregate replacements led to a specific weight reduction of 14.6%, while the 50% substitution to a reduction of 30.7%, compared to the control concrete. The results of the compressive strength showed a progressive decrease of resistance and an increase in ultimate strain as the percentage of aggregates replacement increased. Compressive strength decreased by 40% for the concrete with 25% of plastic aggregates, combined with an increase of ultimate strain of 38%. The average value of compressive strength of this mixture (6.73 MPa) allowed us to use this concrete to produce blocks. However, the specimen with 50% of aggregate substitution showed an excessive reduction of compressive strength (85%) compared to the control specimen one. Therefore, the only acceptable percentage investigated in this research that can be considered is the 25% of plastic granules and pulverized plastic as replacement aggregates of traditional ones. In a future development of this research, lightweight pozzolanic material coupled with plastic waste as calcined clay can be used as a composite material alternative to the examined one.
Author Contributions
Conceptualization, A.F.; methodology, A.F.; validation, A.F.; formal analysis, E.M. and A.D.; investigation, E.M. and A.D.; data curation, A.F., E.M. and A.D.; writing—original draft preparation, E.M. and A.D.; writing—review and editing, A.F.; visualization, A.F.; supervision, A.F.; project administration, A.F. All authors have read and agreed to the published version of the manuscript.
Funding
This research received no external funding.
Data Availability Statement
Data derived from the current study can be provided to the readers based upon their explicit request.
Acknowledgments
The Authors would like to acknowledge the Plastimontella Srl company, with registered office in Montella (district of Avellino, Italy), for having inspired and supported the current work through a research collaboration with the Department of Structures for Engineering and Architecture (Scientific Responsible: A. Formisano).
Conflicts of Interest
The authors declare no conflict of interest.
References
- Suaria, G.; Avio, C.; Mineo, A.; Lattin, G.L.; Magaldi, M.G.; Belmonte, G.; Moore, C.J.; Regoli, F.; Aliani, S. The Mediterranean Plastic Soup: Synthetic polymers in Mediterranean surface waters. Sci. Rep. 2016, 6, 37551. [Google Scholar] [CrossRef] [PubMed]
- Sharma, R.; Bansal, P.P. Use of different forms of waste plastic in concrete—A review. J. Clean. Prod. 2016, 112, 473–482. [Google Scholar] [CrossRef]
- Macleod, M.; Arp, H.P.H.; Tekman, M.B.; Jahnke, A. The global threat from plastic pollution. Science 2021, 373, 61–65. [Google Scholar] [CrossRef] [PubMed]
- Eriksen, M.; Lebreton, L.C.M.; Carson, H.S.; Thiel, M.; Moore, C.J.; Borrero, J.C.; Galgani, F.; Ryan, P.G.; Reisser, G. Plastic Pollution in the World’s Oceans: More than 5 trillion Plastic Pieces Weighing over 250000 Tons Afloat at Sea. PLoS ONE 2014, 9, e111913. [Google Scholar] [CrossRef] [PubMed]
- European Parliament and Council. Directive (EU) 2018/851 of the European Parliament and of the Council of 30 May 2018. Off. J. Eur. Union 2018, L150, 109–140. Available online: https://eur-lex.europa.eu/legal-content/EN/TXT/PDF/?uri=CELEX:32018L0851&from=EN (accessed on 2 January 2023).
- Kamaruddin, M.A.; Abdullah, M.M.A.; Zawawi, M.H.; A Zainol, M.R.R. Potential use of Plastic Waste as Construction Materials: Recent Progress and Future Prospect. IOP Conf. Ser. Mater. Sci. Eng. 2017, 267, 012011. [Google Scholar] [CrossRef]
- Ragaert, K.; Delva, L.; Van Geem, K. Mechanical and chemical recycling of solid plastic waste. Waste Manag. 2017, 69, 24–58. [Google Scholar] [CrossRef] [PubMed]
- Lazorenko, G.; Kasprzhitskii, A.; Fini, E.H. Polyethylene terephthalate (PET) waste plastic as natural aggregate replacement in geopolymer mortar production. J. Clean. Prod. 2022, 375, 134083. [Google Scholar] [CrossRef]
- Saikia, N.; de Brito, J. Use of plastic waste as aggregate in cement mortar and concrete preparation: A review. Constr. Build. Mater. 2012, 34, 385–401. [Google Scholar] [CrossRef]
- Khalid, F.S.; Irwan, J.M.; Wan Ibrahim, M.H.; Othman, N.; Shahidan, S. Performance of plastic wastes in fiber-reinforced concrete beams. Constr. Build. Mater. 2018, 183, 451–464. [Google Scholar] [CrossRef]
- Akinwumi, I.I.; Domo-Spiff, A.H.; Salami, A. Marine plastic pollution and affordable housing challenge: Shredded waste plastic stabilized soil for producing compressed earth bricks. Case Stud. Constr. Mater. 2019, 11, e00241. [Google Scholar] [CrossRef]
- Aciu, C.; Ilutiu-Varvara, D.A.; Manea, D.L.; Orban, Y.A.; Babota, F. Recycling of plastic waste materials in the composition of ecological mortars. In Proceedings of 11th International Conference Interdisciplinarity in Engineering INTER-ENG 2017, Tirgu-Mures, Romania, 5–6 October 2017. [Google Scholar] [CrossRef]
- Ferrotto, M.F.; Asteris, P.G.; Borg, R.P.; Cavaleri, L. Strategies for Waste Recycling: The Mechanical Performance of Concrete Based on Limestone and Plastic Waste. Sustainability 2022, 14, 1706. [Google Scholar] [CrossRef]
- Hameed, A.M.; Ahmed, B.A.F. Employment the plastic waste to produce the light weight concrete. Energy Procedia 2019, 157, 30–38. [Google Scholar] [CrossRef]
- Junaid, M.F.; Rehman, Z.U.; Kuruc, M.; Medved, I.; Bacinskas, D.; Curpek, J.; Cekon, M.; Ijaz, N.; Ansari, W.S. Lightweight concrete from a perspective of sustainable reuse of waste byproducts. Constr. Build. Mater. 2022, 319, 126061. [Google Scholar] [CrossRef]
- EN 13813:2003; Screed Material and Floor Screeds—Screed Materials—Properties and Requirements. European Committee for Standardization: Brussels, Belgium, 2016.
- EN 196-1:2016; Methods of Testing Cement—Part 1: Determination of Strength. European Committee for Standardization: Brussels, Belgium, 2016.
- UNI EN 12390-1:2021; Testing Hardened Concrete—Part 1: Shape, Dimensions and Other Requirements for Specimens and Moulds. European Committee for Standardization: Brussels, Belgium, 2021.
- UNI EN 206:2021; Concrete. Specification, Performance, Production and Conformity. European Committee for Standardization: Brussels, Belgium, 2021.
- UNI EN 12390-1:2019; Testing Hardened Concrete—Part 5: Flexural Strength of Test Specimens. European Committee for Standardization: Brussels, Belgium, 2019.
- UNI EN 12390-3:2019; Testing Hardened Concrete—Part 3: Compressive Strength of Test Specimens. European Committee for Standardization: Brussels, Belgium, 2019.
Disclaimer/Publisher’s Note: The statements, opinions and data contained in all publications are solely those of the individual author(s) and contributor(s) and not of MDPI and/or the editor(s). MDPI and/or the editor(s) disclaim responsibility for any injury to people or property resulting from any ideas, methods, instructions or products referred to in the content. |
© 2023 by the authors. Licensee MDPI, Basel, Switzerland. This article is an open access article distributed under the terms and conditions of the Creative Commons Attribution (CC BY) license (https://creativecommons.org/licenses/by/4.0/).













