Degradation of Insulating Glass Units: Thermal Performance, Measurements and Energy Impacts
Abstract
1. Introduction
2. IGU Durability
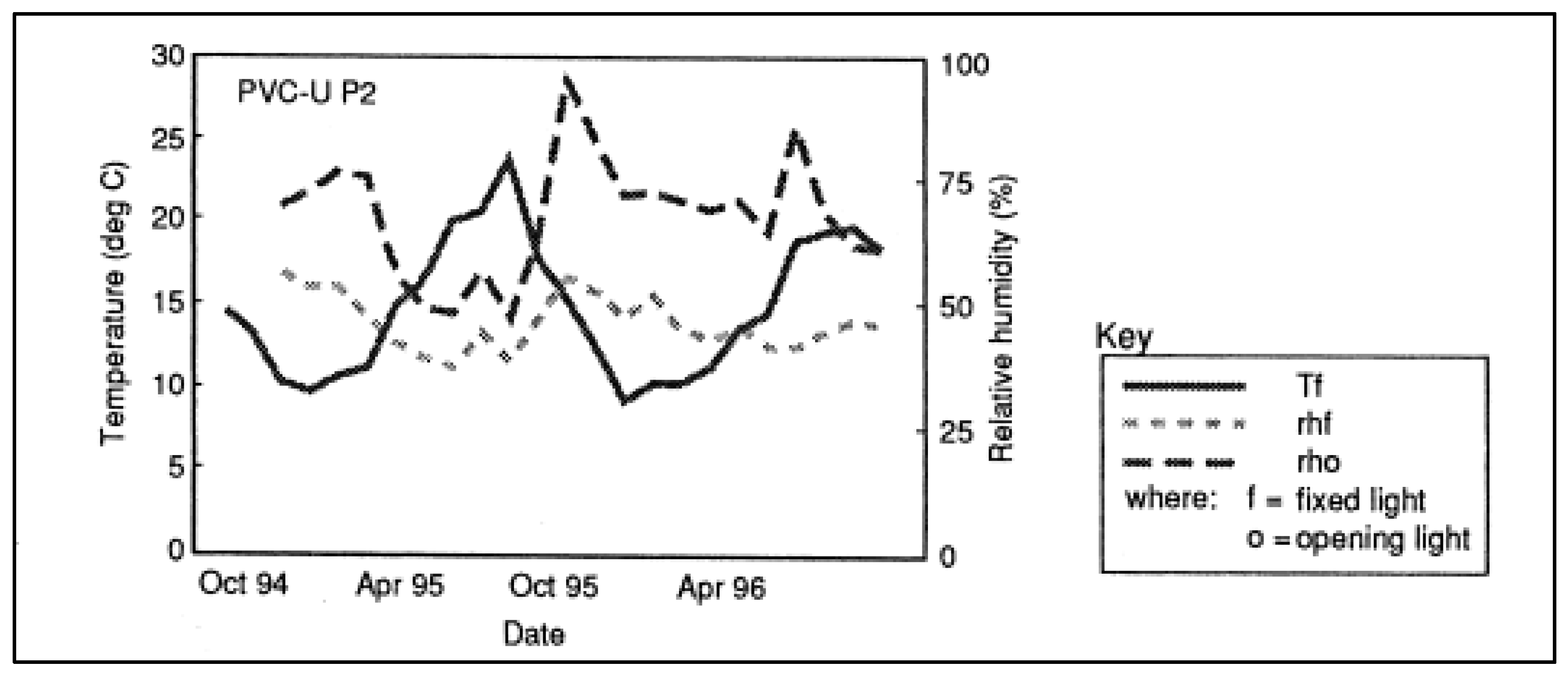
2.1. Seal Durability
2.2. Low-e Coating Durability
2.3. Durability Test Methods
3. Thermal Performance
3.1. Performance Rating Methods and Simulations
3.2. Thermal Performance Measurement In Situ
3.2.1. Heat Flux Meter Method
- Method 1: estimation based on data obtained by historical analysis of buildings;
- Method 2: estimation based on nominal design data;
- Method 3: estimation based on structure identification via endoscope method.
3.2.2. Infrared Method
3.2.3. SHGC Measurement Method
3.3. Thermal Performance Shortcomings
4. Energy Impacts
5. Conclusions
Author Contributions
Funding
Data Availability Statement
Acknowledgments
Conflicts of Interest
References
- Li, L.; Sun, W.; Hu, W.; Sun, Y. Impact of natural and social environmental factors on building energy consumption: Based on bibliometrics. J. Build. Eng. 2021, 37, 102136. [Google Scholar] [CrossRef]
- Friedman, A. Decarbonization—Influencing Consumer Demand Before Inflection/Decision Making Points is Key. Green Building Articles—Rate It Green. Available online: https://www.rateitgreen.com/green-building-articles/residential-decarbonization-influencing-consumer-demand-before-key-inflection-decision-making-points-is-key/155 (accessed on 15 October 2021).
- Aldykiewicz, A.J. Building-Envelope @ Betterbuildingssolutioncenter.Energy.Gov. Available online: https://betterbuildingssolutioncenter.energy.gov/alliance/technology-solution/building-envelope (accessed on 1 January 2022).
- Olsson-Jonsson, A. Energy-efficient windows—For how long? Gas concentration in sealed glazing units. In Proceedings of the 7th Symposium on Building Physics in the Nordic Countries, Reykjavick, Iceland, 13–15 June 2005; Volume 2, pp. 1–6. [Google Scholar]
- Asphaug, S.K.; Jelle, B.P.; Gullbrekken, L.; Uvsløkk, S. Accelerated ageing and durability of double-glazed sealed insulating window panes and impact on heating demand in buildings. Energy Build. 2016, 116, 395–402. [Google Scholar] [CrossRef]
- Harris, C.; LaFrance, M.; Sawyer, K. Windows Research and Development Opportunity Report. 2020. Available online: https://www.energy.gov/eere/buildings/articles/research-and-development-opportunities-report-windows (accessed on 4 January 2022).
- Eleftheriadis, G.; Hamdy, M. Impact of building envelope and mechanical component degradation on the whole building performance: A review paper. Energy Procedia 2017, 132, 321–326. [Google Scholar] [CrossRef]
- McQuiston, F.; Parker, J.; Spitler, J. Heating, Ventilating, and Air Conditioning Analysis and Design, 6th ed.; John Wiley & Sons: Hoboken, NJ, USA, 2005. [Google Scholar]
- Waddicor, D.A.; Fuentes, E.; Sisó, L.; Salom, J.; Favre, B.; Jiménez, C.; Azar, M. Climate change and building ageing impact on building energy performance and mitigation measures application: A case study in Turin, northern Italy. Build. Environ. 2016, 102, 13–25. [Google Scholar] [CrossRef]
- Headly, M. Does Glass Wear Out? 2012. p. 1. Available online: //industry.glass.com/USGlass/2012/September/DoesGlassWearOut_feature.htm (accessed on 5 May 2022).
- Mikulić, D.; Bakarić, I.R.; Slijepčević, S. The socioeconomic impact of energy saving renovation measures in urban buildings. Econ. Res. Istraz. 2015, 29, 1109–1125. [Google Scholar] [CrossRef]
- Guidance on Window Durability. Available online: https://www.efficientwindows.org/new-durable/ (accessed on 6 May 2022).
- Wolf, A.T. Studies into the life-expectancy of insulating glass units. Build. Environ. 1992, 27, 305–319. [Google Scholar] [CrossRef]
- Wolf, A.T.; Waters, L.J. Factors governing the life expectancy of dual-sealed insulating glass units. Constr. Build. Mater. 1993, 7, 101–107. [Google Scholar] [CrossRef]
- Garvin, S.L.; Wilson, J. Environmental conditions in window frames with double-glazing units. Constr. Build. Mater. 1998, 12, 289–302. [Google Scholar] [CrossRef]
- Booth, R.R.; Hoigard, K.R.; Johnson, D.K.; Klosowski, J.M. Impact of outdoor exposure on the performance of insulating glass unit primary sealant: A case history. ASTM Spec. Tech. Publ. 2018, 1604, 186–195. [Google Scholar] [CrossRef]
- Buddenberg, S.; Beyer, J.; Oechsner, M. DuraSeal-durability design of insulating glass units-a status report. In Challenging Glass 4 & COST Action TU0905 Final Conference; CRC Press: Boca Raton, FL, USA, 2014; p. 295. [Google Scholar] [CrossRef]
- Burgess, J.C. The history, scientific basis and application of international IGU durability tests. Build. Environ. 1998, 34, 363–368. [Google Scholar] [CrossRef]
- Lingnell, A.W.; Spetz, J.L. Field correlation of the performance of insulating glass units in buildings—A twenty-five year study. In Proceedings of the Thermal Performance of the Exterior Envelopes of Whole Buildings X International Conference, Clearwater, FL, USA, 4–8 December 2016. [Google Scholar]
- Gjelsvik, T. Test Methods for sealed glazing Units. Telecommun. J. 1969, 48, 666–673. [Google Scholar] [CrossRef]
- Pylkki, R.; Doll, M.L. Modeling of Insulated Glass Durability: Development of a Simulation Tool. Glas. Perform. Days 2009, 1, 676–679. [Google Scholar]
- Gubbels, F.; Santi, D.D.; Baily, V. Durability of vacuum insulation panels in the cavity of an insulating glass unit. J. Build. Phys. 2015, 387, 485–499. [Google Scholar] [CrossRef]
- Schwab, H.; Heinemann, U.; Beck, A.; Ebert, H.P.; Fricke, J. Dependence of thermal conductivity on water content in vacuum insulation panels with fumed silica kernels. J. Therm. Envel. Build. Sci. 2005, 28, 319–326. [Google Scholar] [CrossRef]
- Fantucci, S.; Lorenzati, A.; Capozzoli, A.; Perino, M. Analysis of the temperature dependence of the thermal conductivity in Vacuum Insulation Panels. Energy Build. 2019, 183, 64–74. [Google Scholar] [CrossRef]
- Mohelnikova, J. Green Energy and Technology. In Green Energy and Technology; Springer: Berlin/Heidelberg, Germany, 2012; pp. 913–928. [Google Scholar]
- Miyazaki, M.; Ando, E. Durability improvement of Ag-based low-emissivity coatings. J. Non. Cryst. Solids 1994, 178, 245–249. [Google Scholar] [CrossRef]
- Ross, R.C. Observations on humidity-induced degradation of Ag-based low-emissivity films. Sol. Energy Mater. 1990, 21, 25–42. [Google Scholar] [CrossRef]
- Wolf, A. New development in the field of insulating glass units. Constr. Build. Mater. 1988, 2, 134–144. [Google Scholar] [CrossRef]
- Wegger, E.; Jelle, B.P.; Sveipe, E.; Grynning, S.; Gustavsen, A.; Baetens, R.; Thue, J.V. Aging effects on thermal properties and service life of vacuum insulation panels. J. Build. Phys. 2011, 35, 128–167. [Google Scholar] [CrossRef]
- Soares, N.; Martins, C.; Gonçalves, M.; Santos, P.; da Silva, L.S.; Costa, J.J. Laboratory and in-situ non-destructive methods to evaluate the thermal transmittance and behavior of walls, windows, and construction elements with innovative materials: A review. Energy Build. 2019, 182, 88–110. [Google Scholar] [CrossRef]
- Durrer, L. U-Value verification measurement of a Minergie-certified building with green TEG’s gSKIN® U-Value Kit. 2014, 1–4. Available online: https://eoc-inc.com/wp-content/uploads/2018/10/greenTEG/application-note-building-uvalue-case-study-kit.pdf (accessed on 16 October 2021).
- Feng, Y.; Duan, Q.; Wang, J.; Baur, S. Approximation of building window properties using in situ measurements. Build. Environ. 2019, 169, 106590. [Google Scholar] [CrossRef]
- Ficco, G.; Iannetta, F.; Ianniello, E.; Alfano, F.R.D.; Dell’Isola, M. U-value in situ measurement for energy diagnosis of existing buildings. Energy Build. 2015, 104, 108–121. [Google Scholar] [CrossRef]
- Maroy, K.; Carbonez, K.; Steeman, M.; Van Den Bossche, N. Assessing the thermal performance of insulating glass units with infrared thermography: Potential and limitations. Energy Build. 2017, 138, 175–192. [Google Scholar] [CrossRef]
- Varshney, K.; Rosa, J.E.; Shapiro, I. Method to diagnose window failures and measure U-factors on site. Int. J. Green Energy 2012, 9, 280–296. [Google Scholar] [CrossRef]
- Park, S.; Kim, S.; Jeong, H.; Do, S.L.; Kim, J. In Situ Evaluation of the U-Value of a Window Using the Infrared Method. Energies 2021, 14, 1904. [Google Scholar] [CrossRef]
- Lu, X.; Memari, A. Application of infrared thermography for in-situ determination of building envelope thermal properties. J. Build. Eng. 2019, 26, 100885. [Google Scholar] [CrossRef]
- Marinoski, D.L.; Güths, S.; Pereira, F.O.R.; Lamberts, R. Improvement of a measurement system for solar heat gain through fenestrations. Energy Build. 2007, 39, 478–487. [Google Scholar] [CrossRef]
- Duan, Q.; Hinkle, L.; Wang, J.; Zhang, E.; Memari, A. Condensation effects on energy performance of building window systems. Energy Rep. 2021, 7, 7345–7357. [Google Scholar] [CrossRef]
- Yoo, S.; Jeong, H.; Ahn, B.-L.; Han, H.; Seo, D.; Lee, J.; Jang, C.-Y. Thermal transmittance of window systems and effects on building heating energy use and energy efficiency ratings in South Korea. Energy Build. 2013, 67, 236–244. [Google Scholar] [CrossRef]






























Disclaimer/Publisher’s Note: The statements, opinions and data contained in all publications are solely those of the individual author(s) and contributor(s) and not of MDPI and/or the editor(s). MDPI and/or the editor(s) disclaim responsibility for any injury to people or property resulting from any ideas, methods, instructions or products referred to in the content. |
© 2023 by the authors. Licensee MDPI, Basel, Switzerland. This article is an open access article distributed under the terms and conditions of the Creative Commons Attribution (CC BY) license (https://creativecommons.org/licenses/by/4.0/).
Share and Cite
Likins-White, M.; Tenent, R.C.; Zhai, Z. Degradation of Insulating Glass Units: Thermal Performance, Measurements and Energy Impacts. Buildings 2023, 13, 551. https://doi.org/10.3390/buildings13020551
Likins-White M, Tenent RC, Zhai Z. Degradation of Insulating Glass Units: Thermal Performance, Measurements and Energy Impacts. Buildings. 2023; 13(2):551. https://doi.org/10.3390/buildings13020551
Chicago/Turabian StyleLikins-White, Madison, Robert C. Tenent, and Zhiqiang (John) Zhai. 2023. "Degradation of Insulating Glass Units: Thermal Performance, Measurements and Energy Impacts" Buildings 13, no. 2: 551. https://doi.org/10.3390/buildings13020551
APA StyleLikins-White, M., Tenent, R. C., & Zhai, Z. (2023). Degradation of Insulating Glass Units: Thermal Performance, Measurements and Energy Impacts. Buildings, 13(2), 551. https://doi.org/10.3390/buildings13020551

