Abstract
Building Information Modeling (BIM) has gained a lot of traction in Nepal lately due to many AEC firms’ desire to improve their productivity. This research explores the current state and potential of Building Information Modeling in the Nepalese context. The main objective of this research was to gain a holistic view of the digital design and construction approach in the AEC sectors and identify the current state of practice, future trends and opportunities, and challenges for the wider adoption of BIM in the AEC sector. A systematic survey was conducted among various AEC stakeholders; based on their responses, the status of BIM maturity is presented in this paper. We found that the lack of standards and guidelines slows stakeholders’ efforts to unify BIM implementation in projects. However, the survey results show that AEC stakeholders are eager to learn, explore, and implement BIM in their workflows of design and construction practices. The wider implementation of BIM can improve the productivity of design and construction in developing countries such as Nepal. The contributions of this research are methodological and practical. It is demonstrated in this study that qualitative and quantitative data can be integrated in different ways to allow for different avenues of analysis. The logistic regression model deployed in this study identifies the determinants of BIM use and the intensity of their effects on the future use of BIM in the Nepalese AEC industry. The findings of this study can help to formulate BIM standards and training materials that are specific to the Nepalese AEC industry.
1. Background
The productivity of the construction industry compared to other industries has stagnated in the past few decades [1]. Many new tools and techniques such as Building Information Modeling (BIM), artificial intelligence (AI), construction manufacturing, etc., augment construction productivity, but still, construction productivity is not able to compete with other sectors [2]. Globally, the productivity of the construction industry is declining due to various reasons, such as poor coordination and supervision, traditional design processes, incomplete drawings or lack of shop drawings, and so on [3]. In addition, construction, unlike manufacturing industries, lacks repetition, which is also a reason for slow productivity growth. To achieve the goal of a smart industry and integration in the fragmented construction industry, various technologies and techniques have emerged [4]. The construction industry is still lagging behind other industries in terms of productivity, efficiency, quality, and sustainability, although it is considered one of the biggest industries in the world [5]. Construction projects typically involve multiple teams working simultaneously, which requires complex coordination. The barriers to construction productivity include waiting time for crew rework, unnecessary movement and handling of materials, unused inventories of workspaces and materials, etc. [6]. Modern construction projects are becoming much more complex and difficult to manage, so there is a need for a paradigm shift from the traditional working ways of construction to more collaborative approaches such as BIM-based workflow [7]. To ensure success in projects that consist of inter-organizational stakeholders, trust between the different project partners is acknowledged as a key success factor [8]. BIM-based tools enhance transparency, hence leading to more trust in the stakeholders. The digital coordination between stakeholders in the construction project system is the most popular application of Building Information Modeling (BIM), as it helps to develop collaboration techniques and commitment protocol among the team members [9]. Information management is a key challenge in construction management [10] in both developed and developing countries. The complex and dynamic nature of construction makes it challenging to implement any new process or technology in a project as each project is unique and needs a unique solution [11]. People’s inertia toward change or new technology adoption is another issue [12]. Over the past 40 years, the productivity of the construction industry has stagnated while manufacturing and other industries have been able to improve their productivity significantly through the utilization of digital tools and techniques [2]. Construction project managers in general spend about 75% of their time dealing with data and mundane day-to-day tasks, resulting in poor planning and ultimately lowering the productivity of the project. To improve project productivity, frameworks for information exchange and management have been developed; however, there is still a lot of human involvement and it is typically manual [1]. Information management impacts both individuals and organizations. The availability of critical information is often not complete or not available at all. This issue often leads to delays in project delivery [13]. The construction industry plays an important role in contributing to gross domestic product (GDP) in both developed and developing countries; a slight improvement in productivity in this sector can boost economic performance globally [14]. The modernization of construction results in improved productivity and value for many stakeholder groups [15], such as owners, architects, contractors, and entire supply chain stakeholders. Digital project delivery tools such as BIM can potentially improve productivity toward the level of developed countries in the future [16]. BIM is seen as a foundational step to many of the informational inefficiencies and systemic failures inherent in the construction industry [17]. There have been many consolidated efforts to improve the productivity of the construction industry by the use of Big Data, such as Building Information Modeling (BIM), Mixed Reality, Blockchain, LIDAR technology, and AI [2]. However, these efforts are not enough to improve staggering productivity issues in the industry. Other efforts such as automation and off-site manufacturing (OSM) have been employed in both developed and developing nations [18]. Furthermore, the challenges of construction productivity also significantly differ between developed and developing nations.
In the developed world, labor forces have access to modern tools and technologies; on the other hand, the construction industry in the developing world lacks proper skills and training to prepare them for the job [19]. In addition, most of these workers are manual or semi-equipped, unlike in the developed world [20]. The challenges of the Nepalese construction industry are no different than many of the challenges faced by developing countries. However, its problem is unique because of the size of the economy, the technical strength of manpower, and poor construction funding. Among the many issues the construction industry faces, information management is a key challenge. Government projects are usually design–bid–build, and projects are given to the lowest bidder. In some cases, the project even lacks the proper 2D documentation [21].
Nepal is a landlocked country situated between two of the fastest-growing economies, India and China. With a gross domestic product (GDP) of about USD 34 billion in 2020, and total construction spending of about 30% on capital infrastructure, Nepal has an opportunity to harvest the power of digital tools and techniques to improve productivity, safety, and quality of construction and information management. Building Information Modeling has started to make an appearance in AEC industries. However, the familiarity with tools and techniques is inconsistent among AEC stakeholders. There exists a lack of centralized guidelines and digital protocols in projects. Both government and private sectors have not fully realized the potential of BIM implementations for timely and quality construction rather than an early funding burden.
The main goal of this research was to understand the current state of BIM implementation in Nepal, and the roles of various stakeholders in the development of guidelines to execute projects digitally. The research findings will help universities and academia to develop the training materials and curriculum needed for students of architecture, engineering, and construction to expedite the wider implementation of BIM. In addition, there is a need for training to improve the adoption of BIM among practicing architects/engineers. For developing countries such as Nepal, research on the BIM implementation framework, i.e., technical, social, and economical aspects which relate to data exchange, is necessary because such countries are under-represented in this research field [22]. Thus, the objective of this research was to understand how information is stored/shared/maintained in the AEC industry of Nepal using BIM and to provide recommendations to increase BIM adoption. In addition, the adoption of new tools and technology such as BIM is given little attention in developing countries for infrastructure and building projects due to various barriers [23] such as lack of funding for tools and technology, lack of training, lack of standards, lack of awareness, etc. Understanding the current barriers in the industry will provide the basis for examining what is next for the implementation process of BIM deliverables and how to overcome obstacles to the adoption of BIM. Currently, BIM in Nepal is in a primitive stage, lagging compared with other developing nations, and little research been put forward for it to thrive. Our survey results can provide practical answers from AEC practitioners related to the status of BIM and its implementation in Nepal.
2. Introduction
BIM is an intelligent 3D model-based process to equip professionals with information at the right time, directed to the right person. It enables stakeholders to efficiently plan, design, construct, and manage facilities [24]. The quality of produced documentation and constructability increases while enabling more proactive decision making [25]. BIM has transformed the process of pre-construction, design, construction, and post-construction phases of infrastructure projects [26]. BIM can be treated as an advanced stage of CAD (computer-aided design) [27]. A BIM project constitutes a complete database, considering not only a geometric model, which is the most visible part of the process, but also the type of materials expected to be used for the building and its mechanical properties and physical characteristics [28]. BIM is viewed as a technology that digitally constructs one or more accurate virtual models of a building to support design through its phases, allowing better analyses and control than the manual process [4]. The origins of BIM date back to the 1960s with the definition of a Building Description System. The vision of BIM was to create a complete virtual representation of a building within a computer system [13]. BIM technology allows an accurate virtual model of the facility in a computer system where such a model contains accurate and well-defined geometry and pertinent digital data required to facilitate the construction process, such as construction sequencing [29], fabrication [30], procurement activities [31], etc. The utilization of BIM in the construction industry can help practitioners by improving visualization, communication, and integration in construction operations [32]. BIM technology has transformed the paradigm of the construction industry from 3D-based drawing information systems to 3D object-based information systems [33]. BIM can be considered as the major change in the process of transforming construction worldwide, covering the entire life cycle of the building, and can create [34], coordinate, document, manage/operate, and update information about the facility [5]. The industry has introduced BIM as a powerful tool to increase productivity and safety performance, reducing project costs by the means of digital technology [35]. According to [36], multiple construction stakeholders, change orders, requests for information (RFIs), project delays, and construction conflicts can be reduced, and BIM can provide incentives.
There have been many efforts to make information readily available in the project management process, and digitalization of the construction process with the help of BIM is considered one of them [37]. However, the influences of digital disruption in the developing world seem to be slow and challenging compared to the developed world [22]. Industry 4.0 is characterized by the acceleration of the use of digital technology and the automation of various manufacturing tasks and services in areas such as industrial robots, additive manufacturing, 3D printing, Big Data and cloud computing, computer-aided design and computer-aided manufacturing (CAD/CAM), artificial intelligence, and machine learning [11]. These significantly improve efficiency in terms of reducing costs and improving processes, but digitalization also presents major challenges for resources, workers, and technology due to the vast digital divide that exists between developed and underdeveloped nations. In addition, the immigration of highly skilled workers, engineers, and researchers, the lack of accumulation of internal competencies, and weak research and development activities pose additional challenges to retaining skilled workers [22]. The success of a construction project depends on team collaboration; the use of BIM augments collaboration to the next level by bringing visual tools and spatial coordination [38]. The application of BIM is not just limited to architects, engineers, and contractors but also to owners, facility managers, contractors, and fabricators using BIM [39]. BIM tools can be used in many ways from project inception, design (pre-construction), and construction and operation (post-construction). In each phase of the project, visual aid and spatial information enable better collaboration and understanding between various stakeholders [40]. The BIM engineer coordinates and develops ideas and provides solutions to issues before the problem has high-cost impacts on the project during the design phase, while the BIM practicing contractor and site engineer follow the construction sequence of the design to translate the virtual BIM model into a real BIM model during the construction phase. In addition, BIM can be used for maintenance scheduling, building system analysis, asset management, and space management after the construction phase [41]. Building Information Modeling can be used for the following purposes:
- (1)
- Visualization: The in-house rendering function of the BIM software can easily generate the required 3D visualization. The model-based/3D information is easy to interpret, and the focus of stakeholder discussion can be tailored toward creative solutions.
- (2)
- Fabrication/shop drawings: The coordinated drawings with all the respective building systems can be generated once the BIM models of the involved disciplines have been finalized [42].
- (3)
- Integrated project delivery (IPD) and code reviews: The BIM models could be used for performing reviews of the building projects by the fire department and other officials. Paired with IPD, the risks and rewards are shared and there is increased trust between stakeholders [43].
- (4)
- Forensic analysis: Illustration of potential failures, leaks, evacuation plans, etc., can be graphically achieved utilizing the building information models [38].
- (5)
- Facilities management: Retrofitting, renovations, space planning, energy evaluations, and maintenance operations can utilize BIM in the facilities management phase by the respective infrastructure department [44].
- (6)
- Cost estimating: Cost and material quantity can be estimated in the BIM software as most software choices consist of built-in functions for these purposes [45].
- (7)
- Construction sequencing and clash detection: 4D BIM can be performed for extracting schedules, bills of quantities, and fabrication. Interference checking can be executed visually in the scaled 3D environment for verifying intersections, clashes, and conflicts with the various building systems [46].
2.1. Benefits of BIM in the AEC Industry
The benefits of BIM include improved design accuracy, enhanced collaboration and communication, cost and time reduction in construction project management, project documentation, and the entire life cycle of the construction project [16,47,48]. BIM can improve communication, scheduling [49], coordination, visualization, clash detection, cost, quantity takeoffs, information in the model, marketing, logistics/planning, production drawings, etc. Commercial construction professionals collectively indicated clash detection, coordination, and marketing as the most common perceived advantages of BIM within their respective companies [50]. The application of BIM applies to existing buildings, offering a variety of alternative potential benefits for the built environment, including facility management activities, as-built renders, heritage and historical documentation, maintenance, tracking warranty and service information, quality control, monitoring and assessment, energy management, emergency management, and retrofit planning.
According to 60% of the respondents to the survey detailed in [9], cost saving is one of the biggest benefits of BIM in construction projects. It is estimated that BIM can eliminate unbudgeted changes by 40%, reduce the time to complete a project by 7%, and decrease the time needed to generate a cost estimate by up to 80% [51]. The BIM approach provides better supervision and coordination between stakeholders, which promotes actual savings in terms of monitoring valued between 5% and 10% of design costs, according to 40% of interviewees involved in one survey [52]. The use of BIM decreases the number of change orders due to the geometrically precise BIM model, which has helped designers and engineers find almost all the clashes and design mistakes during the design phase, which has improved the quality of the design as well as shortened the construction project timeline to bring time management benefits [53]. The six BIM uses introduced by [54] are phase planning (4D modeling), cost estimation (quantity take-offs), coordination, construction system design/virtual mockup, and digital fabrication, which each have potential benefits in their own right. These six BIM uses are categorized into three different indexes, namely Rework Cost Reduction (RCR), Schedule Delay Reduction and Delay Penalty Reduction (SDR and DPR), and Accurate Quantity Estimation (AQE). The contractors and customers can visualize the proposed project earlier in the design process. As comments and feedback on the design and changes to be made during the final phase are addressed before the document delivery, BIM helps to save the time invested in document amendment, as the 3D BIM model is directly linked to the document and any changes to the model are automatically changed in the prepared document [55].
2.1.1. Benefits of 3D BIM
For every 3D element within the model, specific relevant building information is instantly generated while drafting using the BIM process because it is tied to the synchronous database creation associated with the elements [56]. So, quick extraction of plans and sections from the 3D BIM model is possible at any time, making coordination easier between various engineering disciplines [54]. The database can be formed in a way that its 3D objects can easily be visualized with rich data and structured information for various automation purposes [57]. A single coordinated 3D BIM model is generated for all the project stakeholders, encouraging a collaborative working environment and relationships. Further, the coordinated model engages the project stakeholders in important meetings concerning the clashes that arise between various disciplines [51]. These clashes help reduce the project cost once they are solved by the respective stakeholder [48].
2.1.2. Benefits of 4D BIM
Four-dimensional BIM is a 3D model tied with scheduling for powerful application in construction planning [41]. Four-dimensional BIM improves preliminary project planning due to visual power [58]. It can aid in safety management by planning the route for crew and activity flows. Re-planning or making contingency plans can take up a lot of time in the construction environment. By utilizing 4D BIM, the team can enhance their project planning [59]. The 4D BIM model, therefore, aims to support the planning of safety, risk assessment, and proper communication along with proper visualization of the project while introducing or explaining the project schedule to the staff or project participants on site. The project time management benefits also maximize due to the BIM function known as clash detection, which is a part of 4D BIM [60]. Clash detection is one of the leading applications in BIM that saves project time and costs. It mitigates the iterations that may occur in the construction phase of any project [61]. The mistakes and clashes of several components of the building which went unnoticed during the design stage all appear while going through this process, which allows the responsible party in the project to save time and budget the project [62]. Thus, there is no further loss but rather more benefits. Ref. [29] provided a detailed description of the process (and the challenges) of importing and linking the separate 3D model and program data before defining the visual parameters of how and when objects appear in a 4D simulation. Four-dimensional BIM is a process that maximizes project time management benefits when several inputs in the 3D modeling phase are available and ready for execution [56].
2.1.3. Benefits of 5D BIM
Five-dimensional BIM is 3D BIM that is tied to the cost [63]. It is the process of applying costs to any designed model, which is a step in BIM workflow that enables the use of 5D for quantity takeoff and cost estimation. The most crucial factors that lead to cost overruns or quantity mistakes and risks are a lack of expertise in identifying the problems in automated quantities [11], improper payment methods and cloud-based collaborations [64], poor supply chain management, inconsistent modeling standards in both private and public sectors, and lack of certified practicing BIM professionals [65]. In this phase, the cost estimating department of the company can participate in data and information exchange with the respective stakeholders, rather than in isolation, to offer a well-structured estimate of costs along with their management [66]. This enables better collaboration with the overall construction phase and at the same time focuses on the client’s needs effectively. The automatic generation of the quantities from the model allows the estimator in the company to estimate the costs quickly and accurately through easy visualization of the 3D model [67]. As there is mandatory interoperability of the software files between all the project’s key participants who are working in a common data environment collaboratively, 5D cost estimation reduces risks during the cost estimation process. The estimator is also able to identify the areas where the costs may be lower than estimated.
2.2. BIM Adoption and Its Challenges
BIM is like other innovations and technologies which come with challenges and barriers to adoption and implementation [68]. The adoption of the new technology of BIM in the construction industry is slow in developed and developing countries [26]. Though the overall economic benefits of BIM on a theoretical level are comprehensible, it is necessary to understand the factors that lead to and hinder BIM implementation, which can be examined at the individual, organizational, and institutional levels [69]. The greatest obstacles facing the adoption of BIM in developing countries are listed as technology-related barriers, economic-related barriers, process/people-related barriers [4], adequate training, senior management buy-in [36], etc. Ref. [70] stated that ownership and copyright issues, responsibility for inaccuracies, licensing problems, and incomplete national standards are some of the legal issues facing BIM adoption. Uncoordinated, unsystematic BIM adoption without leadership or regulation may lead to varied expectations and different levels of ability, thus diminishing the fulfillment of potential benefits for all organizations in the construction process, which is also a major challenge faced by large construction clients in adopting BIM [71]. If the government body plays a proactive role in BIM promotion within a country, this will help reduce or remove barriers the AEC industry faces in adopting BIM [70]. Table 1 below shows BIM standards by region [72].
Table 1.
BIM Standards by region.
3. Methodology
This exploratory study embraces a combination of positivism and pragmatism as philosophical paradigms. This worldview implies that the study gathers factual data, mirrors reality, and seeks to understand real-world practices. We aimed to explore the status of BIM implementation in the AEC industry in Nepal. To achieve this goal, a detailed literature review was carried out, followed by a subject matter expert survey. An instrument of this study was developed in two steps: the first deals with creating measurement items; then, each item was assigned to a specific group. There was a total of five clusters of items.
- ○
- The first section gathered the demographic information of the respondents.
- ○
- The second section assessed professional BIM experience drawn from the items of years of experience, type of company, respondents’ discipline, role, educational qualification, project delivery method familiarity, CAD experience, and BIM familiarity.
- ○
- The third section grouped the items related to BIM implementation status, including BIM proficiency level, BIM-based workflow, BIM tools and services, BIM cost, and the effect of BIM on project performance.
- ○
- In the fourth section, respondents were asked to select drivers and barriers, and also provided options to evaluate BIM benefits on a 5-point Likert-type scale (1 = low intensity, 5 = high intensity).
- ○
- The final section was intended to provide participants an opportunity to give their opinion and recommendations regarding BIM in future projects.
A total of 33 items, including both categorical and continuous variables, which comprised nominal, ordinal, and ratio response options, were developed. The instrument was administered online to a sample of 110 AEC professionals in different capacities such as architects, civil engineers, surveyors, structural engineers, architecture/engineering students, MEP engineers, and real estate developers throughout Nepal. To achieve a comprehensive perspective and data from subject matter experts in relevant fields, the selection of these categories of participants was made. We observed a 39% response rate as we collected a total of 43 valid responses. At the beginning of data analysis, inter-rater reliability was measured to examine the agreement between respondents. Then, responses were analyzed using descriptive statistics, statistical tests, and visualization in R.
4. Analysis and Results
4.1. Inter-Rater Reliability
Inter-rater reliability accounts for strong agreements between respondents to calculate the proportion of items that observers agree on. Cohen’s kappa (K) is frequently suggested for nominal and ordinal data to measure inter-rater agreement or reliability [73]. Kappa was calculated as:
where fo and fe are the observed and expected frequencies of agreement, and N is the total number of units. The overall inter-rater reliability was r = 0.585, showing moderate agreement among raters [74]. This could be seen as confirmation of the reliability of the responses and results of the study. The R script used in the analysis is shown below and the results are shown in Table 2.
Cohen’s Kappa: K = fo-feN-fe
kappa2(df3[, c(“Rater1”, “Rater2”)], weight = “unweighted”)
Table 2.
Cohen’s Kappa for inter-rater reliability.
4.2. BIM Implementation Status in Nepal
Out of the 43 participants who participated in this study, 5% of them were women and 95% of them were men, which reflects an imbalanced gender distribution in the Nepali AEC industry. Around 67% of participants were from private companies, 12% were in the government, 12% were in education, 2% were from non-profit organizations, and 7% were from other sectors. The results reveal that most of the respondents have bachelor’s degrees (49%), and 44% of the participants have master’s degrees. Participants were asked about the type of project delivery method that was being used in their projects. The most common project delivery method for construction projects was design–build (35%), followed by design–bid–build (28%), and 28% of responses indicated that they used both delivery methods in their past projects.
- (a)
- Participant’s role in industry
The analysis of the participants identified that the majority of the respondents were from the engineering (67%), architecture (23%), and construction (7%) disciplines. In addition, structural engineer (33%) and architect (19%) are two major roles of the participants in the industry. Figure 1 shows the distribution of participants based on their current role in the industry.
Figure 1.
Roles of the participants in the industry.
The average of 7.74 years (SD = 5.45) of CAD experience of participants in the AEC industry indicates that the implementation of BIM in Nepal is in the early stage. Moreover, among the respondents, the average number of years of experience in the AEC industry was 6.18 years (SD = 5.73). To check the relationship between years of experience and CAD experience, Pearson’s correlation coefficient was calculated. There was a strong and significant positive linear relationship between CAD experience and total AEC industry experience. Pearson’s correlation (=0.90) in Figure 2 confirms that the professionals with more AEC industry experience have more BIM experience in general.
Figure 2.
Correlation coefficients and correlation tests between CAD experience (cade) and total AEC experience (year).
- (b) BIM components in the design process
Figure 3 shows that more than two-thirds of the design execution in Nepal still follows the traditional design process. Therefore, there exists an opportunity to implement BIM-based design for the simplification of tasks to save both time and cost in the design process.
Figure 3.
Design process.
Based on the results, which indicated that only 5% of participants have an advanced level of BIM knowledge, while 0% have expert-level knowledge, 28% have intermediate-level knowledge, and 26% have beginner-level knowledge, it is evident that the overall BIM maturity in Nepal’s AEC industry is at a very early stage. Several benefits of BIM listed in the body of literature have not yet been realized by AEC professionals in Nepal.
- (c) Definition of BIM
There are different definitions of BIM in the literature and among professionals in Nepal. BIM and 3D modeling are sometimes perceived as interchangeable. However, these two are different processes, each having its definition and characteristics, and 3D modeling is a sub-set of BIM. Therefore, it is also important to understand what BIM means to the professionals in the AEC industry in Nepal. To analyze the response to an open question about the definition of BIM, we applied a text mining method in Program R, called word cloud. This process of transforming unstructured text into a structured data format helps to identify significant patterns and insights. The most frequent five words that respondents used to define BIM, shown in Figure 4, were “building”, “information”, “design”, “software”, and “modeling”.
Figure 4.
Understanding of BIM in Nepali AEC.
- (d) BIM Software and Services
Revit, Tekla Structures, Archicad, and Navisworks are the four most popular BIM tools that are currently in use for BIM execution in Nepal. BIM services are generally considered functions that are essential to carry out BIM execution for designers, engineers, and builders to optimize the workflow. The analysis (Figure 5) showed that the adoption of BIM for visualization and rendering is the highest.
Figure 5.
BIM services.
4.3. Barriers to BIM Implementation
It was also part of the objective of this study to discover whether there were any barriers to the implementation of BIM in the Nepalese AEC industry. Our study considers barriers as something that prevents BIM implementation. A list of potential barriers was provided to the participants, and they were asked to select the most appropriate options. To rank the results, we determined how many participants considered an item to be a barrier to implementing BIM in their workflow. The top five barriers were the lack of BIM education and knowledge, lack of BIM technology experts, limited knowledge about the benefits of BIM, that the practicability of BIM implementation is not well understood, and the lack of demand from the client (Table 3).
Table 3.
BIM implementation barriers in Nepal.
In our study, challenges were defined as the reasons why BIM was not implemented into the workflow. The lack of BIM education and training, lack of skilled personnel, and lack of adequate assessment of BIM benefits are the top three reasons behind the challenges of BIM implementation (Table 2). To identify the drivers, respondents were asked about factors motivating the use of BIM. Better productivity demand, clients’ interest in the use of BIM in their projects, and the desire for innovation and change were the three major perceived drivers of BIM implementation.
4.4. Regression Model between Future BIM Use and BIM Benefits
Participants were asked to input the intensity of BIM benefits, on a 1 to 5 scale, in their workflow. They were asked to respond to another question regarding whether they use BIM, whether they do not use BIM, or whether they would use BIM when allowed in their next project. It was important to check if there is a relationship between the future use of BIM and the BIM benefits. The logistic regression analysis was carried out.
The objective of a multinomial logistic regression model (accuracy = 85%, precision = 82.86%, recall = 90.62%) is to predict outcomes using multiple independent variables [75]. The logit can be modeled as a linear function of independent variables, and once logit is predicted, it can be executed back to a probability [76]. First, the sample data were imported in R. We had a total of 10 variables, including a target variable. The nominal target variable, BIM use in the next project (nexp), was loaded as a factor.
| Variable | Description |
| amdl | Architectural BIM, independent variable (IV) |
| smdl | Structural BIM |
| mepl | MEP/HVAC BIM |
| cost | BIM-based cost calculation |
| qtoc | BIM-based quantity calculation |
| sche | BIM-based scheduling |
| clas | Clash detection |
| drev | Improving design review |
| docm | BIM-based documentation |
| nexp | BIM use in next project = yes, no, or maybe—target variable |
Upon analyzing the sample of data, we discovered that the classes in the sample were very imbalanced, with a ratio of approximately 4:1 between the majority class and the minority class. Model performance is likely to worsen if the proportion of classes in the data is severely skewed [77]. To balance the sample, we used the ovun sampling method (ovun.sample) in R, which creates a possibly balanced sample by oversampling the minority class and undersampling the majority class [78]. A total of 200 balanced data samples were used in our model. We used 70% of the data for training, and the rest of the data were assigned as test data. We conducted random sampling on R using the sample() function and applied the set.seed() function to produce the same random sample every time and keep consistency. Finally, we developed a logistic regression model for our data using the glm() function. The s coefficients are shown below.
| Estimate | Std. Error | z Value | Pr (>|z|) | |
| (Intercept) | 0.595 | 0.8613 | 0.691 | 0.489675 |
| amdl | 0.5578 | 0.5331 | 1.047 | 0.295329 |
| smdl | 1.3178 | 0.8397 | 1.569 | 0.116577 |
| mepl | −3.0562 | 0.8096 | −3.775 | 0.000160 *** |
| cost | −3.5853 | 1.3046 | −2.748 | 0.005990 ** |
| qtoc | 1.6418 | 0.7931 | 2.07 | 0.038457 * |
| sche | 1.9211 | 0.8897 | 2.159 | 0.030835 * |
| class | −5.1517 | 1.3478 | −3.822 | 0.000132 *** |
| drev | 1.8309 | 1.115 | 1.642 | 0.100567 |
| docm | 4.4725 | 1.0577 | 4.228 | 0.0000235 *** |
Predictors that have a p-value in the range (0, 0.001] are represented by significance code ***.
Predictors that a p-value in the range (0.001, 0.01] are represented by significance code **
Predictors that a p-value in the range (0.01, 0.05] are represented by significance code *.
Predictors that a p-value in the range (0.1, 1] are represented by no signifi-cance code.
An open interval is the one where endpoints of the interval are not included and are indicated by parentheses (). The endpoints of a closed interval, on the other hand, are included and denoted by square brackets []. As an example, the interval (0.001, 0.01] refers to an interval that is greater than 0.001 and less than or equal to 0.01. As we used an alpha level(α) = 0.05 to determine which predictors were statistically significant in our logistic regression model, we have been able to find that all the predictors are statisti-cally significant except for amdl, smdl, and drev.
It was identified that all the predictors have a significant role, except three variables, architectural BIM, structural BIM, and improving design review. The regression model also shows AEC professionals’ familiarity with certain categories compared to others. This shows that there is a need for proper training for professionals. The matrix (Figure 6) contains the values that are predicated by the model and the values that are in the data set. Accuracy, true positive rate (TPR), true negative rate (TNR), precision, and recall are the measures of model performance [79]. Our model has accuracy = 85%, precision = 82.86%, recall = 90.62%, and F1 score = 0.8657.
Figure 6.
Confusion matrix and performance measurement formulas.
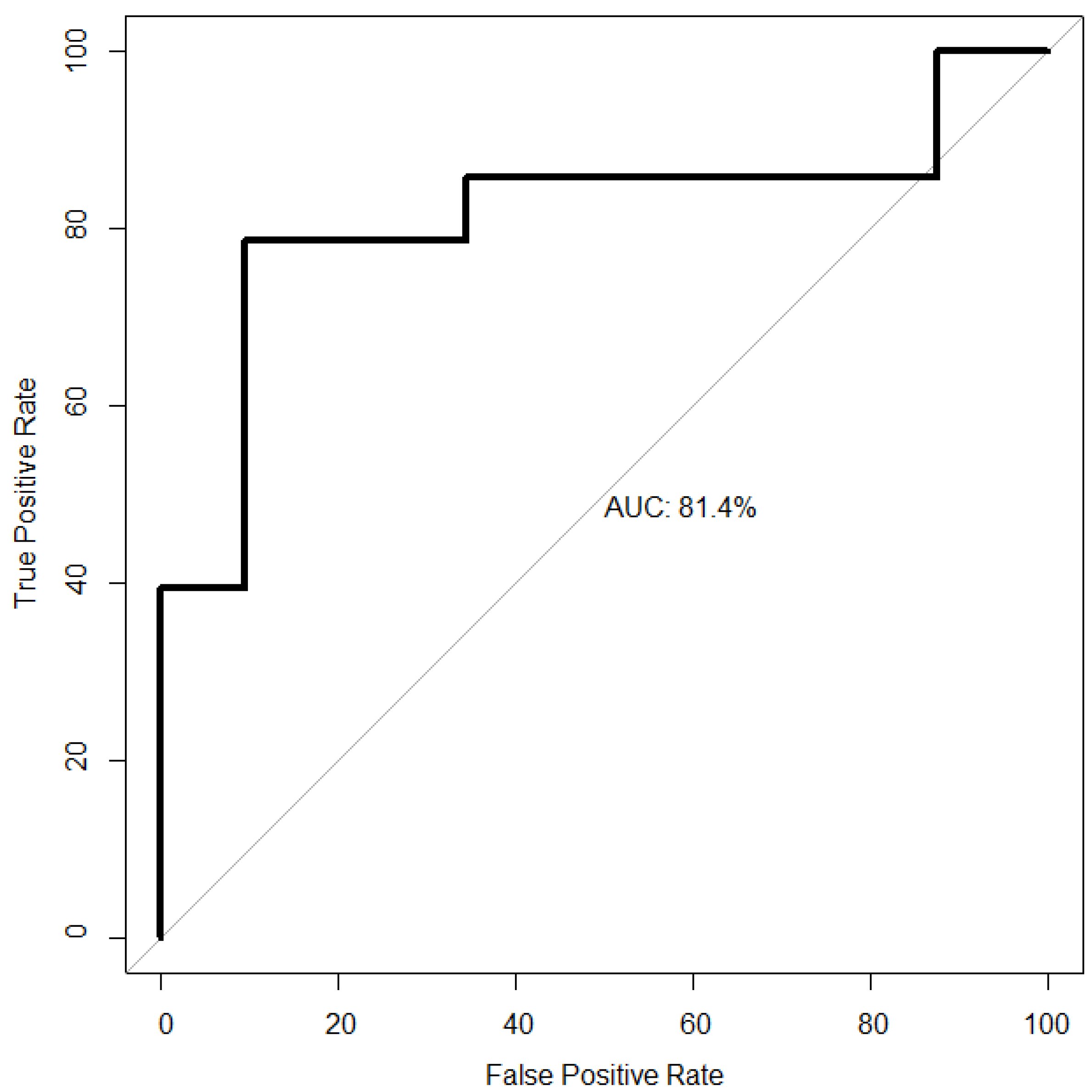
In Figure 7, the receiver operating characteristic curve (ROC) reflects the discriminatory power of the logistic regression model. The area under the ROC curve (AUC) results are considered suitable for AUC values between 0.8 and 0.9 [80]. This further validates our regression model.
Figure 7.
ROC curve and AUC statistics.
From this rigorous statistical model, we can verify the correlation between the future of BIM uses and BIM benefits based on the feedback of participants quantitatively and qualitatively. The model implies that if there are proper standards, training, and government incentives, the professionals have an interest and enthusiasm to implement BIM-based workflow in their business.
4.5. Suggestions Provided by the Participants
Participants were requested to write their opinion on how the landscape of BIM in Nepal could be improved. There was a consistent response regarding the need for training and education in Nepal. To date, the university curriculum in AEC education in Nepal has not incorporated BIM. Changing the educational curriculum in Nepal is a tedious process, unlike in many other countries where a professor can have flexibility. The respondents indicated that including BIM in architecture and engineering education can help produce professionals who would have some form of BIM understanding. Participants also suggested the mandatory need for standards and requirements in contracts.
5. Conclusions
Building Information Modeling has considerable potential to improve construction productivity in a developing country such as Nepal. The digitalization of construction in Nepal has progressed significantly over the past decade, but further work from all stakeholders is required to achieve the potential benefits of digital tools and technologies. Based on the participant feedback, literature reviews, and professional experience of researchers in the field, the following ten recommendations are proposed for the wider adoption of BIM in Nepal. Future researchers in the field can investigate which regulations, standards, and implementation strategies will suit Nepal’s construction dynamics.
- i.
- Government introduction of BIM policy, guidelines, and standards of practice.
- ii.
- Provide training and mentorship programs for practicing engineers and architects.
- iii.
- Provide technical assistance program for universities to incorporate a BIM-related curriculum.
- iv.
- Review national procurement acts to incorporate BIM-based project delivery.
- v.
- Educate and mandate private sector clients to have BIM as required deliverables.
- vi.
- Start discourse on the legal barriers to the implementation of BIM.
- vii.
- Municipalities can require a 3D model to obtain a construction permit.
- viii.
- Develop a coherent ecosystem of information management in design, construction, and operation to enhance model reliability.
- ix.
- The government can give tax incentives to firms that push for digital project management.
- x.
- Make BIM learning a part of the licensure exam/renewal for architects and engineers so they remain up to date with current trends in the AEC industry.
In summary, policy-level intervention followed by an educational approach can significantly improve the adoption of BIM in Nepal. BIM-based courses and curricula at the university level can help push the implementation of the latest technology such as BIM. In addition, industry professionals need to be trained regularly to improve their skillsets in digital design and construction. A lack of comprehensive guidelines is slowing the wider adoption of BIM in Nepal. There is a need for comprehensive guidelines to encourage AEC stakeholders to utilize BIM in their workflow. The consorted efforts of education, training, and policy alignment can guide Nepali construction to higher productivity and wider implementation of BIM. The major contribution of this research is the identification of the current state of BIM practices in Nepal. This paper can be a foundation for future researchers who are focusing on Nepal’s digital tool adoption, construction digitization, and digital documentation process. In addition to Nepal’s specific body of knowledge, this paper also highlights a mixed methodology. This can guide construction researchers to future fuse qualitative and quantitative data to allow for different avenues of analysis. The logistic regression model deployed in this study identified the determinants of BIM use and the intensity of their effects on the future use of BIM in the Nepalese AEC industry.
Author Contributions
The authors have contributed to this paper at different levels. As the lead author, S.P. conceived the research project and designed the questionnaire needed for the research methodology and drafted the manuscript; P.G. and S.P. designed the methodology and analysis; P.G. and A.K. conducted the background research; S.T. and N.K. contributed to the literature review; M.K., S.T. and N.K. partially contributed to the data collection process. Finally, S.P., P.G. and A.K. contributed to the overall structure of this manuscript. All authors have read and agreed to the published version of the manuscript.
Funding
This research received no external funding.
Data Availability Statement
Not applicable.
Acknowledgments
The authors are thankful to the Nepal BIM Forum for their support.
Conflicts of Interest
The authors declare no conflict of interest.
References
- Demian, P.; Walters, D. The Advantages of Information Management through Building Information Modelling. Constr. Manag. Econ. Taylor Francis J. 2014, 32, 1153–1163. [Google Scholar] [CrossRef]
- Hatami, M.; Paneru, S.; Flood, I. Applicability of Artificial Intelligence (AI) Methods to Construction Manufacturing: A Literature Review. In Construction Research Congress 2022; American Society of Civil Engineers: Reston, VI, USA, 2022; pp. 1298–1306. [Google Scholar] [CrossRef]
- Dixit, S.; Mandal, S.N.; Thanikal, J.V.; Saurabh, K. Evolution of Studies in Construction Productivity: A Systematic Literature Review (2006–2017). Ain Shams Eng. J. 2019, 10, 555–564. [Google Scholar] [CrossRef]
- Saka, A.B.; Chan, D.W.M.; Siu, F.M.F. Adoption of Building Information Modelling in Small and Medium-Sized Enterprises in Developing Countries: A System Dynamics Approach. In Proceedings of the CIB World Building Congress, Hong Kong, China, 17–21 June 2019; 15. [Google Scholar]
- Matarneh, R.; Hamed, S. Barriers to the Adoption of Building Information Modeling in the Jordanian Building Industry. Open J. Civ. Eng. 2017, 7, 325–335. [Google Scholar] [CrossRef]
- Sacks, R.; Radosavljevic, M.; Barak, R. Requirements for Building Information Modeling Based Lean Production Management Systems for Construction. Autom. Constr. 2010, 19, 641–655. [Google Scholar] [CrossRef]
- Karasu, T.; Aaltonen, K.; Haapasalo, H. The Interplay of IPD and BIM: A Systematic Literature Review. Constr. Innov. 2022; ahead of print. [Google Scholar] [CrossRef]
- Maurer, I. How to Build Trust in Inter-Organizational Projects: The Impact of Project Staffing and Project Rewards on the Formation of Trust, Knowledge Acquisition and Product Innovation. Int. J. Proj. Manag. 2010, 28, 629–637. [Google Scholar] [CrossRef]
- Bryde, D.; Broquetas, M.; Volm, J.M. The Project Benefits of Building Information Modelling (BIM). Int. J. Proj. Manag. 2013, 31, 971–980. [Google Scholar] [CrossRef]
- Moud, H.I. Integrating BIM and Lean in the Design Phase. Master’s Thesis, Department of Civil and Environmental Engineering, Chalmers University of Technology, Gothenburg, Sweden, 2013. [Google Scholar]
- Paneru, S.; Jeelani, I. Computer Vision Applications in Construction: Current State, Opportunities & Challenges. Autom. Constr. 2021, 132, 103940. [Google Scholar] [CrossRef]
- Cooper, R.B. The Inertial Impact of Culture on IT Implementation. Inf. Manage. 1994, 27, 17–31. [Google Scholar] [CrossRef]
- Tatjana, V.; Kalibatiene, D.; Hosseini, M.; Pellicer, E.; Zavadskas, E. Building information modeling (BIM) for structural engineering: A bibliometric analysis of the literature. Adv. Civ. Eng. 2019, 2019, 5290690. [Google Scholar] [CrossRef]
- Lopes, J.; Ruddock, L.; Ribeiro, F.L. Investment in Construction and Economic Growth in Developing Countries. Build. Res. Inf. 2002, 30, 152–159. [Google Scholar] [CrossRef]
- Rogers, J.; Chong, H.-Y.; Preece, C. Adoption of Building Information Modelling Technology (BIM): Perspectives from Malaysian Engineering Consulting Services Firms. Eng. Constr. Archit. Manag. 2015, 22, 424–445. [Google Scholar] [CrossRef]
- Ismail, N.A.A.; Chiozzi, M.; Drogemuller, R. An Overview of BIM Uptake in Asian Developing Countries. In AIP Conference Proceedings; AIP Publishing LLC: Palembang, Indonesia, 2017; p. 080008. [Google Scholar]
- Sacks, R.; Pikas, E. Building Information Modeling Education for Construction Engineering and Management. I: Industry Requirements, State of the Art, and Gap Analysis. J. Constr. Eng. Manag. 2013, 139, 04013016. [Google Scholar] [CrossRef]
- Ghasemi Poor Sabet, P.; Chong, H.-Y. Pathways for the Improvement of Construction Productivity: A Perspective on the Adoption of Advanced Techniques. Adv. Civ. Eng. 2020, 2020, 5170759. [Google Scholar] [CrossRef]
- Giang, D.T.H.; Sui Pheng, L. Role of Construction in Economic Development: Review of Key Concepts in the Past 40 Years. Habitat Int. 2011, 35, 118–125. [Google Scholar] [CrossRef]
- Pham, H.; Kim, S.-Y.; Luu, T.-V. Managerial Perceptions on Barriers to Sustainable Construction in Developing Countries: Vietnam Case. Environ. Dev. Sustain. 2020, 22, 2979–3003. [Google Scholar] [CrossRef]
- Al-Momani, A.H. Construction Delay: A Quantitative Analysis. Int. J. Proj. Manag. 2000, 18, 51–59. [Google Scholar] [CrossRef]
- Nam, B.; Merschbrock, C.; Erik Munkvold, B. A Review of Building Information Modelling for Construction in Developing Countries. Procedia Eng. 2016, 164, 487–494. [Google Scholar] [CrossRef]
- Hameed Memon, A.; Abdul Rahman, I.; Memon, I.; Iffah Aqilah Azman, N. BIM in Malaysian Construction Industry: Status, Advantages, Barriers and Strategies to Enhance the Implementation Level. Res. J. Appl. Sci. Eng. Technol. 2014, 8, 606–614. [Google Scholar] [CrossRef]
- Cao, Y.; Kamaruzzaman, S.N.; Aziz, N.M. Green Building Construction: A Systematic Review of BIM Utilization. Buildings 2022, 12, 1205. [Google Scholar] [CrossRef]
- Tang, S.; Shelden, D.R.; Eastman, C.M.; Pishdad-Bozorgi, P.; Gao, X. A Review of Building Information Modeling (BIM) and the Internet of Things (IoT) Devices Integration: Present Status and Future Trends. Autom. Constr. 2019, 101, 127–139. [Google Scholar] [CrossRef]
- Enshassi, A.A.; Hamra, L.A.A.; Alkilani, S. Studying the Benefits of Building Information Modeling (BIM) in Architecture, Engineering and Construction (AEC) Industry in the Gaza Strip. Jordan J. Civ. Eng. 2018, 12, 12. [Google Scholar]
- Migilinskas, D.; Popov, V.; Juocevicius, V.; Ustinovichius, L. The Benefits, Obstacles and Problems of Practical Bim Implementation. Procedia Eng. 2013, 57, 767–774. [Google Scholar] [CrossRef]
- Sampaio, A.Z. Introduction of BIM Methodology in Education: Concept and Application. In Proceedings of the 4th International Conference on Higher Education Advances (HEAd’18), Valencia, Spain, 20–22 June 2018; Universitat Politècnica València: Valencia, Spain, 2018. [Google Scholar]
- Tulke, J.; Hanff, J. 4d Construction Sequence Planning–New Process And Data Model. In Proceedings of the CIB-W78 24th International Conference on Information Technology in Construction, Maribor, Slovenia 27–29 June 2007; 6. [Google Scholar]
- Lee, J.; Kim, J. BIM-Based 4d Simulation to Improve Module Manufacturing Productivity for Sustainable Building Projects. Sustainability 2017, 9, 426. [Google Scholar] [CrossRef]
- Grilo, A.; Jardim-Goncalves, R. Challenging electronic procurement in the AEC sector: A BIM-based integrated perspective. Autom. Constr. 2011, 20, 107–114. [Google Scholar] [CrossRef]
- Ding, L.; Zhou, Y.; Akinci, B. Building Information Modeling (BIM) Application Framework: The Process of Expanding from 3D to Computable ND. Autom. Constr. 2014, 46, 82–93. [Google Scholar] [CrossRef]
- Arayici, Y.; Coates, P.; Koskela, L.; Kagioglou, M.; Usher, C.; O’Reilly, K. Technology Adoption in the BIM Implementation for Lean Architectural Practice. Autom. Constr. 2011, 20, 189–195. [Google Scholar] [CrossRef]
- Paneru, S.; Foroutan Jahromi, F.; Hatami, M.; Roudebush, W.; Jeelani, I. Integration of Emergy Analysis with Building Information Modeling. Sustainability 2021, 13, 7990. [Google Scholar] [CrossRef]
- Xiang, Y.; Liu, K.; Li, J.; Ouyang, S.; Mao, S.S.; Geimer, M. An Extension of BIM Using AI: A Multi Working-Machines Pathfinding Solution. IEEE Access 2021, 9, 124583–124599. [Google Scholar] [CrossRef]
- Giel, B.K.; Issa, R.R.A. Return on Investment Analysis of Using Building Information Modeling in Construction. J. Comput. Civ. Eng. 2013, 27, 511–521. [Google Scholar] [CrossRef]
- Nikmehr, B.; Hosseini, M.R.; Martek, I.; Zavadskas, E.K.; Antucheviciene, J. Digitalization as a strategic means of achieving sustainable efficiencies in construction management: A critical review. Sustainability 2021, 13, 5040. [Google Scholar] [CrossRef]
- Azhar, S. Building Information Modeling (BIM): Trends, Benefits, Risks, and Challenges for the AEC Industry. Leadersh. Manag. Eng. 2011, 11, 241–252. [Google Scholar] [CrossRef]
- Sinenko, S.; Hanitsch, P.; Aliev, S.; Volovik, M. The Implementation of BIM in Construction Projects. In E3S Web of Conferences; EDP Sciences: Les Ulis, France, 2020; Volume 164, p. 08002. [Google Scholar] [CrossRef]
- Godager, B.; Onstein, E.; Huang, L. The Concept of Enterprise BIM: Current Research Practice and Future Trends. IEEE Access 2021, 9, 42265–42290. [Google Scholar] [CrossRef]
- Liu, H.; Al-Hussein, M.; Lu, M. BIM-based integrated approach for detailed construction scheduling under resource constraints. Autom. Constr. 2015, 53, 29–43. [Google Scholar] [CrossRef]
- Alvarez-Anton, L.; Koob, M.; Diaz, J.; Minnert, J. Optimization of a Hybrid Tower for Onshore Wind Turbines by Building Information Modeling and Prefabrication Techniques. Vis. Eng. 2016, 4, 3. [Google Scholar] [CrossRef]
- Fakhimi, A.H.; Majrouhi Sardroud, J.; Azhar, S. How Can Lean, IPD and BIM Work Together? IAARC Publications: Auburn, AL, USA, 2016. [Google Scholar]
- Becerik-Gerber, B.; Jazizadeh, F.; Li, N.; Calis, G. Application Areas and Data Requirements for BIM-Enabled Facilities Management. J. Constr. Eng. Manag. 2012, 138, 431–442. [Google Scholar] [CrossRef]
- Chan, D.W.M.; Olawumi, T.O.; Ho, A.M.L. Perceived Benefits of and Barriers to Building Information Modelling (BIM) Implementation in Construction: The Case of Hong Kong. J. Build. Eng. 2019, 25, 100764. [Google Scholar] [CrossRef]
- Diaz, P.M. Analysis of Benefits, Advantages and Challenges of Building Information Modelling in Construction Industry. J. Adv. Civ. Eng. 2016, 2, 1–11. [Google Scholar] [CrossRef]
- Mesároš, P.; Mandičák, T. Exploitation and Benefits of BIM in Construction Project Management. IOP Conf. Ser. Mater. Sci. Eng. 2017, 245, 062056. [Google Scholar] [CrossRef]
- Farnsworth, C.B.; Beveridge, S.; Miller, K.R.; Christofferson, J.P. Application, Advantages, and Methods Associated with Using BIM in Commercial Construction. Int. J. Constr. Educ. Res. 2015, 11, 218–236. [Google Scholar] [CrossRef]
- Hatami, M.; Franz, B.; Paneru, S.; Flood, I. Using Deep Learning Artificial Intelligence to Improve Foresight Method in the Optimization of Planning and Scheduling of Construction Processes. In Computing in Civil Engineering; American Society of Civil Engineers: Reston, VI, USA, 2022; pp. 1171–1178. [Google Scholar] [CrossRef]
- Ghaffarianhoseini, A.; Tookey, J.; Ghaffarianhoseini, A.; Naismith, N.; Azhar, S.; Efimova, O.; Raahemifar, K. Building Information Modelling (BIM) Uptake: Clear Benefits, Understanding Its Implementation, Risks and Challenges. Renew. Sustain. Energy Rev. 2017, 75, 1046–1053. [Google Scholar] [CrossRef]
- Agyekum-Kwatiah, P.K. Bim (Building Information Modelling): Benefits And Barriers. In Proceedings of the 12th International Conference on Computing in Civil and Building Engineering (ICCCBE XII) & 2008 International Conference on Information Technology in Construction (INCITE 2008), Beijing, China, 16–18 October 2008; 11. [Google Scholar]
- Lahiani, M. Benefits of BIM Implementation in the French Construction Industry. IOP Conf. Ser. Earth Environ. Sci. 2020, 588, 042055. [Google Scholar] [CrossRef]
- Halttula, H.; Haapasalo, H.; Herva, M. Barriers to Achieving the Benefits of BIM. Int. J. 3-D Inf. Model. 2015, 4, 16–33. [Google Scholar] [CrossRef]
- Chou, H.-Y.; Chen, P.-Y. Benefit Evaluation of Implementing BIM in Construction Projects. IOP Conf. Ser. Mater. Sci. Eng. 2017, 245, 062049. [Google Scholar] [CrossRef]
- Krystallis, I.; Papadonikolaki, E.; Locatelli, G.; Iuorio, O. Towards a Methodology for Quantifying the Benefits of BIM. In Proceedings of the 2019 European Conference on Computing in Construction (EC3), Chania, Greece, 10–12 July 2019; pp. 19–24. [Google Scholar]
- Bolshakova, V.; Guerriero, A.; Halin, G. Identification of Relevant Project Documents to 4D BIM Uses for a Synchronous Collaborative Decision Support. In Proceedings of the Creative Construction Conference 2018-Proceedings, Ljubljana, Slovenia, 30 June–3 July 2018; Budapest University of Technology and Economics: Budapest, Hungary, 2018; pp. 1036–1043. [Google Scholar]
- Feng, C.; Xiao, Y.; Willette, A.; McGee, W.; Kamat, V.R. Vision Guided Autonomous Robotic Assembly and As-Built Scanning on Unstructured Construction Sites. Autom. Constr. 2015, 59, 128–138. [Google Scholar] [CrossRef]
- Sulankivi, K.; Kiviniemi, M. 4D-BIM for Construction Safety Planning. In Proceedings of the W099-Special Track 18th CIB World Building Congress, The Lowry, UK, 10–13 May 2010. [Google Scholar]
- Gledson, B. Exploring The Consequences Of 4d Bim Innovation Adoption. In Proceedings of the 32nd Annual ARCOM Conference, Manchester. UK, 5–7 September 2016; 11. [Google Scholar]
- Hu, Y.; Castro-Lacouture, D.; Eastman, C.M.; Navathe, S.B. Component change list prediction for BIM-based clash resolution from a graph perspective. J. Constr. Eng. Manag. 2021, 147, 04021085. [Google Scholar] [CrossRef]
- Quoc Toan, N.; Thi Tuyet Dung, N.; Thi My Hanh, N. 3D-BIM and 4D-BIM Models in Construction Safety Management. In E3S Web of Conferences; EDP Sciences: Les Ulis, France, 2021; Volume 263, p. 02005. [Google Scholar] [CrossRef]
- Khanzode, A.; Fischer, M.; Reed, D. Benefits and Lessons Learned of Implementing Building Virtual Design and Construction (VDC) Technologies for Coordination of Mechanical, Electrical, and Plumbing (MEP) Systems on a Large Healthcare Project. Electron. J. Inf. Technol. Constr. 2008, 13, 324–342. [Google Scholar]
- Thurairajah, N.; Goucher, D. Advantages and Challenges of Using BIM: A Cost Consultant’s Perspective. In Proceedings of the 49th ASC Annual International Conference, San Luis Obispo, USA, 10–13 April 2013; 9. [Google Scholar]
- Tao, X.; Das, M.; Liu, Y.; Cheng, J.C.P. Distributed Common Data Environment Using Blockchain and Interplanetary File System for Secure BIM-Based Collaborative Design. Autom. Constr. 2021, 130, 103851. [Google Scholar] [CrossRef]
- Smith, P. Project Cost Management with 5D BIM. Procedia-Soc. Behav. Sci. 2016, 226, 193–200. [Google Scholar] [CrossRef]
- Mayouf, M.; Gerges, M.; Cox, S. 5D BIM: An Investigation into the Integration of Quantity Surveyors within the BIM Process. J. Eng. Des. Technol. 2019, 17, 537–553. [Google Scholar] [CrossRef]
- Stanley, R.; Thurnell, D. The Benefits of, and Barriers to, Implementation of 5D BIM for Quantity Surveying in New Zealand. Australas. J. Constr. Econ. Build. 2014, 14, 105–117. [Google Scholar] [CrossRef]
- Hamma-adama, M.; Kouider, T.; Salman, H. Analysis of Barriers and Drivers for BIM Adoption. Int. J. BIMa Eng. Sci. 2020, 3, 18–41. [Google Scholar] [CrossRef]
- Doumbouya, L.; Gao, G.; Guan, C. Adoption of the Building Information Modeling (BIM) for Construction Project Effectiveness: The Review of BIM Benefits. Am. J. Civ. Eng. Archit. 2016, 6. [Google Scholar]
- Nguyen, T.-Q.; Nguyen, D.-P. Barriers in BIM Adoption and the Legal Considerations in Vietnam. Int. J. Sustain. Constr. Eng. Technol. 2021, 12, 283–295. [Google Scholar] [CrossRef]
- Gurevich, U.; Sacks, R. Development of a BIM Adoption Impact Map. In Proceedings of the Lean and Computing in Construction Congress-Volume 1: Proceedings of the Joint Conference on Computing in Construction, Heraklion, Greece, 9–12 July 2017; Heriot-Watt University: Edinburgh, Scotland, 2017; pp. 61–68. [Google Scholar]
- Jin, R.; Tang, L.; Fang, K. Investigation into the Current Stage of BIM Application in China’s AEC Industries; WIT press: Bristol, UK, 2015; pp. 493–503. [Google Scholar]
- Rau, G.; Shih, Y.-S. Evaluation of Cohen’s Kappa and Other Measures of Inter-Rater Agreement for Genre Analysis and Other Nominal Data. J. Engl. Acad. Purp. 2021, 53, 101026. [Google Scholar] [CrossRef]
- McHugh, M.L. Interrater Reliability: The Kappa Statistic. Biochem. Medica 2012, 22, 276–282. [Google Scholar] [CrossRef]
- Liang, J.; Bi, G.; Zhan, C. Multinomial and Ordinal Logistic Regression Analyses with Multi-Categorical Variables Using R. Ann. Transl. Med. 2020, 8, 982. [Google Scholar] [CrossRef] [PubMed]
- Data Mining for Business Analytics: Concepts, Techniques, and Applications in R Wiley. Available online: https://www.wiley.com/en-us/Data+Mining+for+Business+Analytics%3A+Concepts%2C+Techniques%2C+and+Applications+in+R-p-9781118879368 (accessed on 13 November 2022).
- Gong, J.; Kim, H. RHSBoost: Improving Classification Performance in Imbalance Data. Comput. Stat. Data Anal. 2017, 111, 1–13. [Google Scholar] [CrossRef]
- Ovun.Sample Function-RDocumentation. Available online: https://www.rdocumentation.org/packages/ROSE/versions/0.0-4/topics/ovun.sample (accessed on 13 November 2022).
- Kuha, J. AIC and BIC: Comparisons of Assumptions and Performance. Sociol. Methods Res. 2004, 33, 188–229. [Google Scholar] [CrossRef]
- El Khouli, R.H.; Macura, K.J.; Barker, P.B.; Habba, M.R.; Jacobs, M.A.; Bluemke, D.A. Relationship of Temporal Resolution to Diagnostic Performance for Dynamic Contrast-Enhanced MRI of the Breast. J. Magn. Reson. Imaging JMRI 2009, 30, 999–1004. [Google Scholar] [CrossRef]
Disclaimer/Publisher’s Note: The statements, opinions and data contained in all publications are solely those of the individual author(s) and contributor(s) and not of MDPI and/or the editor(s). MDPI and/or the editor(s) disclaim responsibility for any injury to people or property resulting from any ideas, methods, instructions or products referred to in the content. |
© 2023 by the authors. Licensee MDPI, Basel, Switzerland. This article is an open access article distributed under the terms and conditions of the Creative Commons Attribution (CC BY) license (https://creativecommons.org/licenses/by/4.0/).






