An Analysis of Real-Time Measured Solar Radiation and Daylight and Its Energy Implications for Semi-Transparent Building-Integrated Photovoltaic Façades
Abstract
1. Introduction
Problem Statement and Objectives
2. Materials and Methods
2.1. Data Measurement
2.2. Method and Procedures
2.2.1. Data Measurement
2.2.2. Solar Radiation on Building Skins
2.2.3. Relationship between Solar Radiation and Building Orientation
2.2.4. Energy Implications of Solar Data for Semi-Transparent BIPV
Solar-Heat-Gain Factors (SHGFs)
Daylight-Linked Lighting Control
Solar Heat Gain (Q) and Cooling Requirements during the Cooling Season
Electricity Generation Due to Semi-Transparent BIPV Panels
2.2.5. Base Case Study
3. Results and Discussion
3.1. Results of Analyzed Solar Radiation and Daylight Illuminance
3.1.1. Monthly Average Daily and Hourly Solar Radiation on a Horizontal Surface
3.1.2. Horizontal Outdoor Daylight Illuminance
3.1.3. Vertical Solar-Radiation Data
3.1.4. Vertical Outdoor-Illuminance Data
3.2. Results of Analysis of Solar Radiation on Building Skins
3.3. Results from Analysis of the Contribution of the Solar Components to GVT
3.4. Results for the Relationship between Solar Radiation and Building Orientation
3.5. Results for Energy Implications of Solar Data on Semi-Transparent BIPV
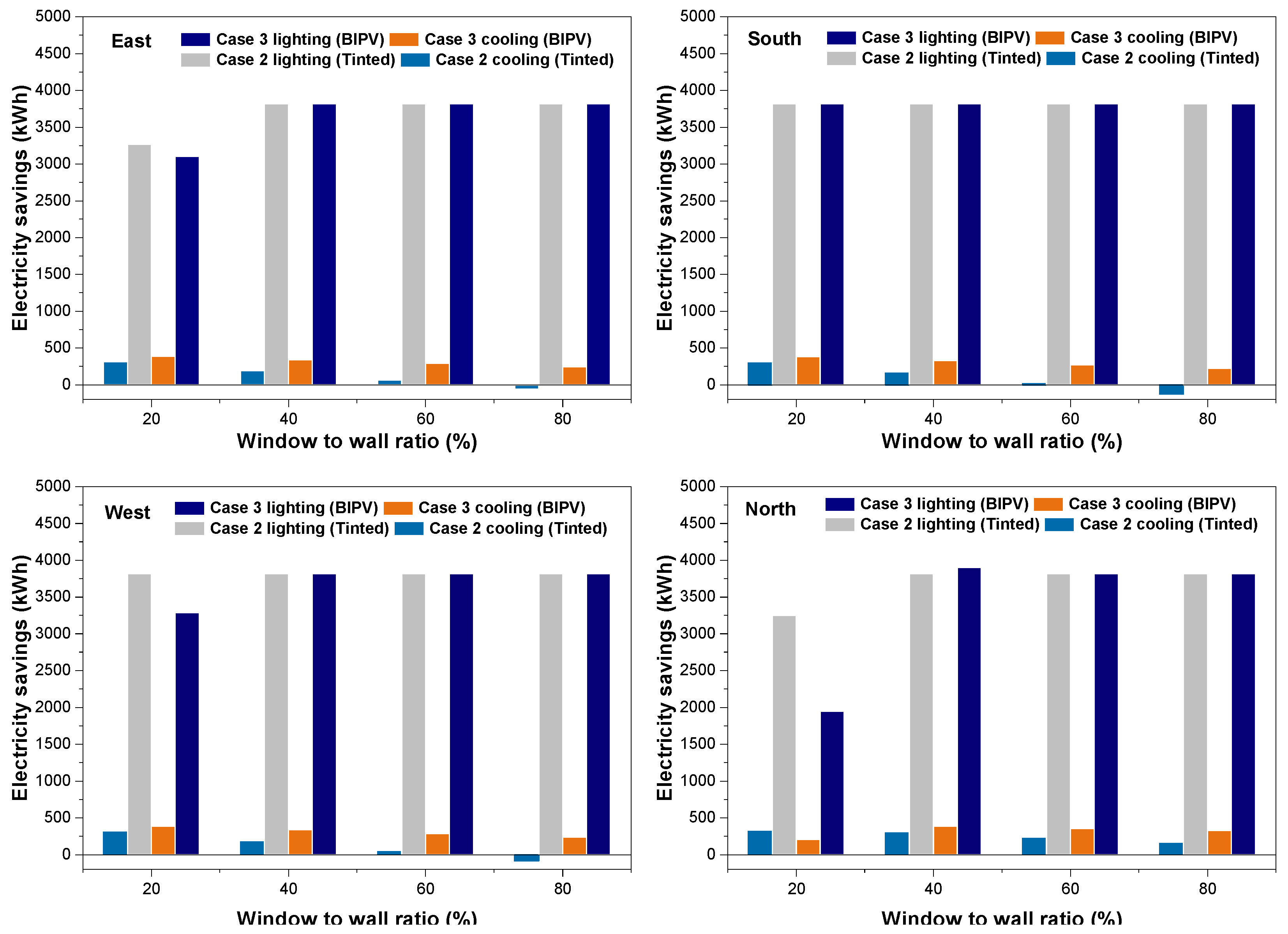
3.5.1. Electricity Benefits for Cooling and Lighting
3.5.2. Overall Electricity Benefits
4. Conclusions
Author Contributions
Funding
Institutional Review Board Statement
Informed Consent Statement
Data Availability Statement
Acknowledgments
Conflicts of Interest
Nomenclature
| Af | The floor area (m2) |
| Ain | Total area of indoor surfaces (m2) |
| Ap | Total solar-panel area (m2) |
| Aw | Window area (m2) |
| BHI | Direct beam irradiance (W/m2) |
| BV | Horizontal diffuse illuminance (klux) |
| BVL | Vertical direct illuminance (klux) |
| BVT | Vertical direct irradiance (W/m2) |
| CF | Cumulative frequency (%) |
| CLD | Cloud cover (Oktas) |
| COP | Coefficient of performance (-) |
| DHI | Horizontal diffuse irradiance (W/m2) |
| DV | Horizontal direct illuminance (klux) |
| DVL | Vertical diffuse illuminance (klux) |
| DVT | Vertical diffuse irradiance (W/m2) |
| E | Energy saving in electric lighting (kWh) |
| Ec | Energy saving in electric lighting during the cooling season (kWh) |
| Ein | Average illuminance on all the room surfaces (klux) |
| Eo | Extra-terrestrial radiation (W/m2) |
| Ep | PV peak output (kWh) |
| Ev | Vertical illuminance on the window façade (klux) |
| FOC | Frequency of occurrence (%) |
| Fs | Fractional energy saving (-) |
| Fs՚ | Fractional energy saving during the cooling season (-) |
| GHI | Horizontal global irradiance (W/m2) |
| GV | Horizontal global illuminance (klux) |
| GVL | Vertical global illuminance (klux) |
| GVT | Vertical global irradiance (W/m2) |
| H | Total hours of electric-lighting operation (hour) |
| Hc | Total hours of electric-lighting operation during the cooling season (hour) |
| hi | Heat-transfer coefficients of the inside a glazing surface (W/m2K) |
| ho | Heat-transfer coefficients of the outside a glazing surface (W/m2K) |
| Hp | Solar radiation for BIPV estimation (kWh/m2) |
| HSTP | Standard solar radiation of the PV (kWh/m2) |
| Iv | Sum of hourly diffuse and reflected radiation on the plane of the vertical glazing (W/m2) |
| LPD | Lighting-power density (W/m2K) |
| Ni | Inward-flowing fraction of the absorbed radiation (-) |
| PR | Performance ratio (-) |
| Q | Solar heat gain kWh |
| R | Mean reflectance of all indoor surfaces (-) |
| R2 | Coefficient of determination |
| Rf | Minimum light-output ratio |
| RVT | Reflectance on the vertical surface (W/m2) |
| Rw | Fractional power consumption |
| SC | Glass-shading coefficient (-) |
| SH | Sunshine hour (hour) |
| SHGF | Solar-heat-gain factor (W/m2) |
| Ta | Hourly ambient temperature (OC) |
| TSTP | Standard temperature (OC) |
| VSC | Vertical sky component (-) |
| VT | Light transmittance (-) |
| yp | PV efficiency (%) |
| Greek symbols | |
| α | Solar altitude (degrees) |
| αb | Absorption of the reference glazing for direct beam radiation (-) |
| δP | Temperature coefficient of power (%) |
| ϴ | Incidence angle (degrees) |
| ρ | Reflectivity of the ground (-) |
| τb | Transmittance of the reference glazing for direct beam radiation (-) |
| ϕ | Solar azimuth angle (degrees) |
| ϕNR | Azimuth angle of the surface normal (degrees) |
| χ | Scattering angle (degrees) |
| Abbreviations | |
| BIPV | Building-integrated photovoltaic |
| BS | Building skin |
| CO2 | Carbon dioxide |
| NZEB | Net-zero-energy buildings |
References
- Khan, S.A.; Alam, T.; Khan, M.S.; Blecich, P.; Kamal, M.A.; Gupta, N.K.; Yadav, A.S. Life Cycle Assessment of Embodied Carbon in Buildings: Background, Approaches and Advancements. Buildings 2022, 12, 1944. [Google Scholar] [CrossRef]
- Lin, Y.; Liu, J.; Gabriel, K.; Yang, W.; Li, C.-Q. Data-Driven Based Prediction of the Energy Consumption of Residential Buildings in Oshawa. Buildings 2022, 12, 2039. [Google Scholar] [CrossRef]
- Kuwahara, R.; Kim, H.; Sato, H. Evaluation of Zero-Energy Building and Use of Renewable Energy in Renovated Buildings: A Case Study in Japan. Buildings 2022, 12, 561. [Google Scholar] [CrossRef]
- Abrahamsen, F.E.; Ruud, S.G.; Gebremedhin, A. Assessing Efficiency and Environmental Performance of a Nearly Zero-Energy University Building’s Energy System in Norway. Buildings 2023, 13, 169. [Google Scholar] [CrossRef]
- Khan, S.U.; Khan, N.; Ullah, F.U.M.; Kim, M.J.; Lee, M.Y.; Baik, S.W. Towards intelligent building energy management: AI-based framework for power consumption and generation forecasting. Energy Build. 2023, 279, 112705. [Google Scholar] [CrossRef]
- Barone, G.; Buonomano, A.; Forzano, C.; Giuzio, G.F.; Palombo, A. Increasing self-consumption of renewable energy through the Building to Vehicle to Building approach applied to multiple users connected in a virtual micro-grid. Renew. Energy 2020, 159, 1165–1176. [Google Scholar] [CrossRef]
- Kuang, W.Y.; Illankoon, C.; Vithanage, S.C. Grid-Connected Solar Photovoltaic (PV) System for Covered Linkways. Buildings 2022, 12, 2131. [Google Scholar] [CrossRef]
- Sadatifar, S.; Johlin, E. Multi-objective optimization of building integrated photovoltaic solar shades. Sol. Energy 2022, 242, 191–200. [Google Scholar] [CrossRef]
- Osseweijer, F.J.; van den Hurk, L.B.; Teunissen, E.J.; van Sark, W.G. A comparative review of building integrated photovoltaics ecosystems in selected European countries. Renew. Sustain. Energy Rev. 2018, 90, 1027–1040. [Google Scholar] [CrossRef]
- Gholami, H.; Røstvik, N.H. The Effect of Climate on the Solar Radiation Components on Building Skins and Building Integrated Photovoltaics (BIPV) Materials. Energies 2021, 14, 1847. [Google Scholar] [CrossRef]
- Gholami, H.; Røstvik, H.N. Economic Analysis of BIPV Systems as a Building Envelope Material for Building Skins in Europe. Energy 2020, 204, 117931. [Google Scholar] [CrossRef]
- Celadyn, M.; Celadyn, W. Apparent Destruction Architectural Design for the Sustainability of Building Skins. Buildings 2022, 12, 1220. [Google Scholar] [CrossRef]
- Shao, Z.; Wang, B.; Xu, Y.; Sun, L.; Ge, X.; Cai, L.; Chang, C. Dynamic Concentrated Solar Building Skin Design Based on Multiobjective Optimization. Buildings 2022, 12, 2026. [Google Scholar] [CrossRef]
- Al-Ghussain, L.; Hassan, M.A.; Hamed, A. Modeling and Techno-Economic Optimization of Overhead Panels and Reflectors in Near-Wall Mounted PV Systems. Sol. Energy 2023, 249, 624–641. [Google Scholar] [CrossRef]
- Cao, Q.; Liu, Y.; Sun, X.; Yang, L. Country-Level Evaluation of Solar Radiation Data Sets Using Ground Measurements in China. Energy 2022, 241, 122938. [Google Scholar] [CrossRef]
- Ceballos, J.C.; Porfirio, A.C.S.; Oricchio, P.A.; Posse, G. Characterization of the Annual Regime of Surface Solar Irradiance over Argentine Pampean Region Using GL1.2 satellite-based data. Renew. Energy 2022, 194, 526–537. [Google Scholar] [CrossRef]
- Alabi, T.M.; Aghimien, E.I.; Agbajor, F.D.; Yang, Z.; Lu, L.; Adeoye, A.R.; Gopaluni, B. A Review on the Integrated Optimization Techniques and Machine Learning Approaches for Modeling, Prediction, and Decision Making on Integrated Energy Systems. Renew. Energy 2022, 194, 822–849. [Google Scholar] [CrossRef]
- Li, D.H.W.; Chen, W.; Li, S.; Lou, S. Estimation of Hourly Global Solar Radiation Using Multivariate Adaptive Regression Spline (MARS)—A Case Study of Hong Kong. Energy 2019, 186, 115857. [Google Scholar] [CrossRef]
- Aghimien, E.I.; Li, D.H.W.; Tsang, E.K.-W. Bioclimatic Architecture and Its Energy-Saving Potentials: A Review and Future Directions. Eng. Constr. Arch. Manag. 2021, 29, 961–988. [Google Scholar] [CrossRef]
- Fernández-Ahumada, L.M.; Ramírez-Faz, J.; López-Luque, R.; Márquez-García, A.; Varo-Martínez, M. A Methodology for Buildings Access to Solar Radiation in Sustainable Cities. Sustainability 2019, 11, 6596. [Google Scholar] [CrossRef]
- Lou, S.; Huang, Y.; Xia, D.; Lun, I.Y.F.; Li, D.H.W. A Study of the Skylight Coverage Ratio for Air-Conditioned Atriums in the Hot and Humid Regions. Int. J. Low-Carbon Technol. 2021, 16, 946–955. [Google Scholar] [CrossRef]
- To, C.; Li, J.; Kam, M. Towards Zero Carbon in a Hot and Humid Subtropical Climate. Procedia Eng. 2017, 180, 413–422. [Google Scholar] [CrossRef]
- Li, D.H.W.; Lam, T.N.T.; Chan, W.W.H.; Mak, A.H.L. Energy and Cost Analysis of Semi-Transparent Photovoltaic in Office Buildings. Appl. Energy 2009, 86, 722–729. [Google Scholar] [CrossRef]
- Mah, D.N.; Wang, G.; Lo, K.; Leung, M.K.H.; Hills, P.; Lo, A.Y. Barriers and Policy Enablers for Solar Photovoltaics (PV) in Cities: Perspectives of Potential Adopters in Hong Kong. Renew. Sustain. Energy Rev. 2018, 92, 921–936. [Google Scholar] [CrossRef]
- Wong, M.S.; Zhu, R.; Liu, Z.; Lu, L.; Peng, J.; Tang, Z.; Lo, C.H.; Chan, W.K. Estimation of Hong Kong’s Solar Energy Potential Using GIS and Remote Sensing Technologies. Renew. Energy 2016, 99, 325–335. [Google Scholar] [CrossRef]
- Qin, H.; Pan, W. Energy Use of Subtropical High-Rise Public Residential Buildings and Impacts of Energy Saving Measures. J. Clean. Prod. 2020, 254, 120041. [Google Scholar] [CrossRef]
- Li, D.H.W.; Lam, J.C. Measurements of Solar Radiation and Illuminance on Vertical Surfaces and Daylighting Implications. Renew. Energy 2000, 20, 389–404. [Google Scholar] [CrossRef]
- Lam, J.C.; Li, D.H. Study of Solar Radiation Data for Hong Kong. Energy Convers. Manag. 1996, 37, 343–351. [Google Scholar] [CrossRef]
- Li, D.H.W.; Lam, J.C.; Lau, C.C.S. A Study of Solar Radiation Daylight Illuminance and Sky Luminance Data Measurements for Hong Kong. Arch. Sci. Rev. 2002, 45, 21–30. [Google Scholar] [CrossRef]
- Ohunakin, O.S.; Adaramola, M.S.; Oyewola, O.M.; Matthew, O.J.; Fagbenle, R.O. The Effect of Climate Change on Solar Radiation in Nigeria. Sol. Energy 2015, 116, 272–286. [Google Scholar] [CrossRef]
- Wuebbles, D.J. Climate Change in the 21st Century: Looking beyond the Paris Agreement. In Climate Change Management; Springer International Publishing: Berlin/Heidelberg, Germany, 2018; pp. 15–38. [Google Scholar] [CrossRef]
- Wang, W.; Arya, C. Influence of High-Performance Façade on Heating/Cooling Load in Office Buildings in London and Hong Kong. In Proceedings of the BSO Conference: Third Conference of IBPSA England, Newcastle, UK, 12–14 September 2016; pp. 489–497. [Google Scholar]
- Aghimien, E.I.; Li, D.H.W. Application of Luminous Efficacies for Daylight Illuminance Data Generation in Subtropical Hong Kong. Smart Sustain. Built Environ. 2022, 11, 271–293. [Google Scholar] [CrossRef]
- Tregenza, P. Analysing Sky Luminance Scans to Obtain Frequency Distributions of CIE Standard General Skies. Light. Res. Technol. 2004, 36, 271–281. [Google Scholar] [CrossRef]
- Li, D.H.W.; Li, C.; Lou, S.W.; Tsang, E.K.W.; Lam, J.C. Analysis of Vertical Sky Components under Various CIE Standard General Skies. Indoor Built Environ. 2015, 25, 703–711. [Google Scholar] [CrossRef]
- Li, D.H.W.; Aghimien, E.I. Predicting Vertical Daylight Illuminance Data from Measured Solar Irradiance: A Machine Learning-Based Luminous Efficacy Approach. J. Sol. Energy Eng. 2023, 145, 031005. [Google Scholar] [CrossRef]
- Li, D.H.; Chau, N.T.; Wan, K.K. Predicting Daylight Illuminance and Solar Irradiance on Vertical Surfaces Based on Classified Standard Skies. Energy 2013, 53, 252–258. [Google Scholar] [CrossRef]
- Littlefair, P.J. The Luminance Distribution of an Average Sky. Light. Res. Technol. 1981, 13, 192–198. [Google Scholar] [CrossRef]
- Ahn, B.L.; Park, J.W.; Yoo, S.; Kim, J.; Leigh, S.; Jang, C. Savings in Cooling Energy with a Thermal Management System for LED Lighting in Office Buildings. Energies 2015, 8, 6658–6667. [Google Scholar] [CrossRef]
- Joseph, B.; Pogrebnaya, T.; Kichonge, B. Semitransparent Building-Integrated Photovoltaic: Review on Energy Performance, Challenges, and Future Potential. Int. J. Photoenergy 2019, 2019, 1–17. [Google Scholar] [CrossRef]
- Alabi, T.M.; Lu, L.; Yang, Z.; Zhou, Y. A Novel Optimal Configuration Model for a Zero-Carbon Multi-Energy System (ZC-MES) Integrated with Financial Constraints. Sustain. Energy Grids Netw. 2020, 23, 100381. [Google Scholar] [CrossRef]
- Kumar, N.M.; Samykano, M.; Karthick, A. Energy Loss Analysis of a Large Scale BIPV System for University Buildings in Tropical Weather Conditions: A Partial and Cumulative Performance Ratio Approach. Case Stud. Therm. Eng. 2021, 25, 100916. [Google Scholar] [CrossRef]
- Martín-Chivelet, N.; Guillén, C.; Trigo, J.F.; Herrero, J.; Pérez, J.J.; Chenlo, F. Comparative Performance of Semi-Transparent PV Modules and Electrochromic Windows for Improving Energy Efficiency in Buildings. Energies 2018, 11, 1526. [Google Scholar] [CrossRef]
- Yu, F.W.; Chan, K.T.; Sit, R.K.Y.; Yang, J. Review of Standards for Energy Performance of Chiller Systems Serving Commercial Buildings. Energy Procedia 2014, 61, 2778–2782. [Google Scholar] [CrossRef]
- Alwetaishi, M. Impact of Glazing to Wall Ratio in Various Climatic Regions: A Case Study. J. King Saud Univ. Eng. Sci. 2019, 31, 6–18. [Google Scholar] [CrossRef]
- Qiu, Z.; Wang, J.; Yu, B.; Liao, L.; Li, J. Identification of passive solar design determinants in office building envelopes in hot and humid climates using data mining techniques. Build. Environ. 2021, 196, 107566. [Google Scholar] [CrossRef]
- Kim, S.-H.; Kim, S.-S.; Kim, K.-W.; Cho, Y.-H. A study on the proposes of energy analysis indicator by the window elements of office buildings in Korea. Energy Build. 2014, 73, 153–165. [Google Scholar] [CrossRef]
- Do, S.L.; Shin, M.; Baltazar, J.-C.; Kim, J. Energy benefits from semi-transparent BIPV window and daylight dimming systems for IECC code-compliance residential buildings in hot and humid climates. Sol. Energy 2017, 155, 291–303. [Google Scholar] [CrossRef]


















| Sky Number | A1 | B1 | C1 | A2 | B2 | C2 |
|---|---|---|---|---|---|---|
| 1 | 40% | |||||
| 2 | 0.528 | 10.9 | 106 | 0.306 | 198 | 70.7 |
| 3 | 46% | |||||
| 4 | 0.626 | 5.93 | 95.7 | 0.424 | 222 | 107 |
| 5 | 50% | |||||
| 6 | 0.688 | 2.41 | 91.9 | 0.549 | 257 | 146 |
| 7 | 0.82 | 6.76 | 75.1 | 0.958 | 336 | 178 |
| 8 | 1 | 7.3 | 66.7 | 0.745 | 294 | 150 |
| 9 | 0.891 | −2.5 | 95.1 | 0.624 | 243 | 142 |
| 10 | 1.04 | 2.33 | 75.9 | 2.01 | 461 | 246 |
| 11 | 1.3 | −2.48 | 73.3 | 2 | 427 | 211 |
| 12 | 1.45 | −1.5 | 68.1 | 2.6 | 510 | 267 |
| 13 | 1.86 | −13.1 | 71.8 | 7 | 801 | 372 |
| 14 | 2.39 | −24.9 | 78.3 | 1.8 | 499 | 278 |
| 15 | 3.91 | −56.3 | 93.6 | 1.31 | 445 | 222 |
| Case Studies | Window Façade Properties | Architecture/Design/Equipment Properties | BIPV Output | |||||||
|---|---|---|---|---|---|---|---|---|---|---|
| SC | VT | Orientation | Daylight-Linked Light Control | WWR (%) | ||||||
| Window Material | 20 | 40 | 60 | 80 | ||||||
| Case 1 | Tinted | 0.7 | 0.5 | N, E, S, W | x | ✓ | ✓ | ✓ | ✓ | x |
| Case 2 | Tinted | 0.7 | 0.5 | N, E, S, W | ✓ | ✓ | ✓ | ✓ | ✓ | x |
| Case 3 | BIPV | 0.27 | 0.3 | N, E, S, W | ✓ | ✓ | ✓ | ✓ | ✓ | ✓ |
| Vertical Global Irradiance (Wh/m2) | ||||
|---|---|---|---|---|
| East | South | West | North | |
| Maximum | 830.6 | 847.3 | 743.6 | 261.0 |
| Mean | 165.5 | 205.9 | 168.0 | 84.3 |
| Standard Deviation | 160.9 | 196.9 | 169.9 | 51.7 |
| Annual Incident Solar Radiation Components | ||||
|---|---|---|---|---|
| Orientation | Global Solar Radiation (kWh/m2) | Direct (%) | Diffuse (%) | Reflected (%) |
| Roof | 1386.9 | 43.7 | 56.3 | 0.0 |
| North | 325.2 | 2.4 | 59.4 | 38.2 |
| West | 647.5 | 34.3 | 46.5 | 19.2 |
| South | 789.1 | 37.6 | 46.6 | 15.7 |
| East | 638.3 | 27.3 | 53.2 | 19.5 |
| Building Skin | 757.4 | 34.5 | 52.4 | 13.1 |
Disclaimer/Publisher’s Note: The statements, opinions and data contained in all publications are solely those of the individual author(s) and contributor(s) and not of MDPI and/or the editor(s). MDPI and/or the editor(s) disclaim responsibility for any injury to people or property resulting from any ideas, methods, instructions or products referred to in the content. |
© 2023 by the authors. Licensee MDPI, Basel, Switzerland. This article is an open access article distributed under the terms and conditions of the Creative Commons Attribution (CC BY) license (https://creativecommons.org/licenses/by/4.0/).
Share and Cite
Li, D.H.W.; Aghimien, E.I.; Alshaibani, K. An Analysis of Real-Time Measured Solar Radiation and Daylight and Its Energy Implications for Semi-Transparent Building-Integrated Photovoltaic Façades. Buildings 2023, 13, 386. https://doi.org/10.3390/buildings13020386
Li DHW, Aghimien EI, Alshaibani K. An Analysis of Real-Time Measured Solar Radiation and Daylight and Its Energy Implications for Semi-Transparent Building-Integrated Photovoltaic Façades. Buildings. 2023; 13(2):386. https://doi.org/10.3390/buildings13020386
Chicago/Turabian StyleLi, Danny H. W., Emmanuel I. Aghimien, and Khalid Alshaibani. 2023. "An Analysis of Real-Time Measured Solar Radiation and Daylight and Its Energy Implications for Semi-Transparent Building-Integrated Photovoltaic Façades" Buildings 13, no. 2: 386. https://doi.org/10.3390/buildings13020386
APA StyleLi, D. H. W., Aghimien, E. I., & Alshaibani, K. (2023). An Analysis of Real-Time Measured Solar Radiation and Daylight and Its Energy Implications for Semi-Transparent Building-Integrated Photovoltaic Façades. Buildings, 13(2), 386. https://doi.org/10.3390/buildings13020386

