Research on the Shear Performance of Cold-Formed Thin-Walled Steel-Glued Laminated Wood Composite Beams
Abstract
:1. Introduction
2. Experimental Study
2.1. Materials and Methods
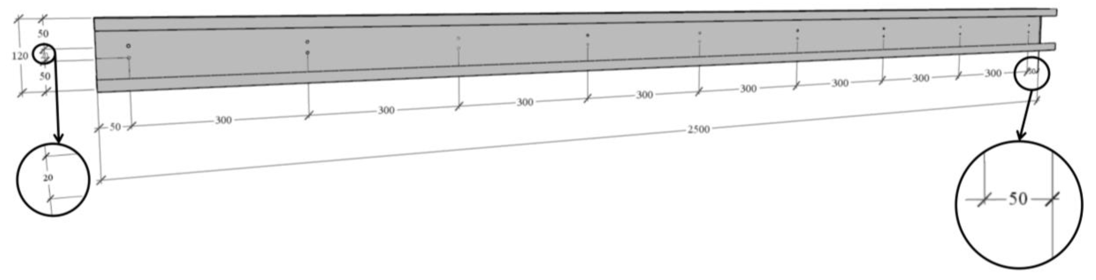
2.2. Loading Devices and Measurement Points
3. Experimental Phenomena and Analysis
3.1. Failure Mode
3.2. Load Deflection Curve Analysis
3.3. Load–Strain Curve Analysis
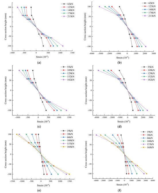
3.4. Cross Section Height–Strain Curve Analysis
4. Finite Element Analysis
4.1. Finite Element Modeling
4.2. Finite Element Model Stress Analysis
4.3. Load–Span Deflection Analysis
4.4. Load-Strain Curve Analysis
4.5. Comparative Analysis of Strain
5. Analysis of Factors Influencing Shear Resistance
5.1. Section Area of Steel Sections
5.2. Shear-to-Span Ratio
5.3. Steel Skeleton Form
5.4. Strength of the Steel
6. Conclusions
- (1)
- Bond damage caused by the composite damage of smooth shear and glued beam fracture within the shear span area;
- (2)
- During the loading process, the shear span section first appears as a longitudinal crack with a small angle in the transverse direction, and then continues to load until the lower right flange of the span is pulled out. At this time, the composite beam undergoes bending shear composite failure.
- (1)
- According to the load–strain curve of the shear test section, it can be determined that the strain of the composite beam section basically maintains a straight-line shape during the loading period, which is proportional to the distance from the neutral axis, so the composite beam section can be assumed to be a flat section.
- (2)
- The shear span ratio had the greatest influence on the shear-bearing capacity of the composite beams. When the shear span ratio increased from 1.5 to 2.0 and 2.5, the shear-bearing capacity decreased from 213.41 kN to 182.11 kN and 168.80 kN, respectively, with decreases of 14.7% and 20.1%, respectively. The greater the ratio, the greater the shear-bearing capacity of the composite beam. The larger the ratio, the lower the shear capacity of the composite beam.
- (3)
- The greater the thickness of the steel, the greater the shear performance of the composite beam with the increase in the thickness of the steel.
- (4)
- When the steel skeleton adopts a box-shaped combination form, although the shear stiffness of the section changes little, the shear-bearing capacity (calculated stiffness) is increased by 12% compared with the “I”-shaped combination form.
- (5)
- The strength of different types of steel led to no obvious change in the elastic stage. After entering the plastic stage, the composite beams with high steel strength had greater deformation capacity and ultimate bearing capacity. The steel strength increased from Q235 to Q265, Q345, and Q460 in turn, and the shear-bearing capacity increased by 7.8%, 7.1%, and 4.9% respectively. The increase rate decreased with the increase in the strength grade of the steel; thus, it is impossible to improve the overall shear-bearing capacity by increasing the strength of steel.
Author Contributions
Funding
Data Availability Statement
Conflicts of Interest
References
- Lu, W.; Yang, H.; Liu, W.; Yue, K.; Chen, X. Development, application, and prospects of glulam structures. J. Nanjing For. Univ. Nat. Sci. Ed. 2011, 33, 105–110. [Google Scholar] [CrossRef]
- Liu, W.; Yang, H. Research progress on modern timber structures. J. Build. Struct. 2019, 40, 16–43. [Google Scholar] [CrossRef]
- Xiao, Y.; Wang, R.; Wen, J.; Li, Z.; Kong, Y.B.; Wang, J. Research progress of cross-laminated timber and bamboo (CLBT). J. Build. Struct. 2022, 43, 126–139. [Google Scholar] [CrossRef]
- Rammer, D.R.; Soltis, L.A. Experimental Shear Strength of Glued-Laminated Beams; Research Paper fpl; Forest Products Laboratory: Madison, WI, USA, 1994. [Google Scholar]
- Liu, W.; Yang, H. Experimental study on flexural behavior of engineered wood beams. J. Build. Struct. 2008, 29, 6. [Google Scholar] [CrossRef]
- Soriano, J.; Pellis, B.P.; Mascia, N.T. Mechanical performance of glued-laminated timber beams symmetrically reinforced with steel bars. Compos. Struct. 2016, 150, 200–207. [Google Scholar] [CrossRef]
- Hassanieh, A.; Valipour, H.R.; Bradford, M.A. Experimental and numerical study of steel-timber composite (STC) beams. J. Constr. Steel Res. 2016, 122, 367–378. [Google Scholar] [CrossRef]
- Guodong, L.; Wenqiang, C. Research on shear properties of cold-formed steel-glude wood pomposite beams. Low Temp. Archit. Technol. 2020, 42, 49–53. [Google Scholar] [CrossRef]
- Shi, D.; Huang, H.; Li, N.; Liu, Y.; Demartino, C. Bolted steel to laminated timber and glubam connections: Axial behavior and finite-element modeling. Int. J. Mech. Sci. 2023, 252, 108364. [Google Scholar] [CrossRef]
- Wu, S.; Shan, Q.; Zhang, J.; Tong, K.; Li, Y. Shear Behavior of I-shaped Wood-steel Composite Beams. Bioresources 2021, 16, 583. [Google Scholar] [CrossRef]
- Wang, X.; Zhang, J.; Wu, P.; Li, Y. Experimental investigation on the flexural and shear behaviour of LVL I-beam strengthened with steel channels. Constr. Build. Mater. 2022, 341, 127719. [Google Scholar] [CrossRef]
- Hoseinpour, H.; Valluzzi, M.R.; Garbin, E.; Panizza, M. Analytical investigation of timber beams strengthened with composite materials. Constr. Build. Mater. 2018, 191, 1242–1251. [Google Scholar] [CrossRef]
- Huifeng, Y.; Weiqing, L. Study on flexural behavior of FRP reinforced Glulam beams. J. Build. Struct. 2007, 28, 64–71. [Google Scholar] [CrossRef]
- Yingchun, G.; Haiqing, R. Characteristics and Development Prospect of Cross-laminated Timber. World For. Res. 2016, 29, 71–74. [Google Scholar] [CrossRef]
- GB/T 50329-2012; Standard for Test Methods of Timber Structures. Chongqing University: Chongqing, China, 2012.
- GB/T 1938-2009; Method of Testing in Tensile Strength Parallel to Grain of Wood. Anhui Agricultural University: Hefei, China, 2009.
- GB/T 1935-2009; Method of Testing in Compressive Strength Parallel to Grain of Wood. Institute of Chinese Academy of Forestry Timber Industry: Beijing, China, 2009.
- Chen, K. Study on Mechanical Behavior of Thin Walled H Type Steel-Wood Composite Beam Connection Interface; Southwest University of Science and Technology: Sichuan, China, 2019. [Google Scholar]
- Lei, Z. Experimental Study on the Mechanical Properties of Wood and theNumerical Modeling Strategies of Wood. Master’s Thesis, Beijing Jiaotong University, Beijing, China, 2017. [Google Scholar]
- Zhiyong, C.; Enchun, Z.; Jinglong, P. Numerical simulation of mechanical behaviour of wood under complex stress. Chin. J. Comput. Mech. 2011, 28. 629–634+40. [Google Scholar] [CrossRef]
- Zhuo, Z. ABAQUS-Based Finite Element Analysis and Applications; Tsinghua University Press: Beijing, China, 2009. [Google Scholar]



























| Material | Moisture Content (%) | Tensile Strength (MPa) | Compressive Strength (MPa) | Shear Strength (MPa) | Tensile Elastic Modulus (MPa) | Compressive Elastic Modulus (MPa) |
|---|---|---|---|---|---|---|
| Glulam | 12 | 86.46 | 42.29 | 8 | 9777.8 | 9053 |
| Material | Measured Thickness (mm) | Tensile Strength (MPa) | Yield Strength (MPa) | Elastic Modulus (MPa) | Poisson Ratio |
|---|---|---|---|---|---|
| Q235 | 2.0 | 325.53 | 218.63 | 196,412.17 | 0.3 |
| Material | Tensile Strength (MPa) | Elastic Modulus (MPa) | Poisson Ratio |
|---|---|---|---|
| Epoxy resin adhesive | 50 | 4000 | 0.15 |
| Material | Tensile Strength (MPa) | Elastic Modulus (MPa) | Poisson Ratio |
|---|---|---|---|
| Bolt | 500 | 200,000 | 0.3 |
| Specimen | Flange Glulam Thickness (mm) | Lateral Glulam Thickness (mm) | C section Size (mm × mm × mm) | Connection Method | Shear Span Ratio |
|---|---|---|---|---|---|
| L-1 | 40 | 20 | 120 × 50 × 20 × 2.0 | Adhesive connection | 2 |
| L-2 | 40 | 20 | 120 × 50 × 20 × 2.0 | 2.5 | |
| PL-1 | 40 | 20 | 120 × 50 × 20 × 2.0 | 2 | |
| SL-1 | - | - | 120 × 50 × 20 × 2.0 | - | 2 |
| D1111 (N/mm2) | D2222 = D3333 (N/mm2) | D1122 = D1133 (N/mm2) | D2233 (N/mm2) | D1212 = D1313 (N/mm2) | D2323 (N/mm2) |
|---|---|---|---|---|---|
| 11,532.10 × 106 | 942.98 × 106 | 620.28 × 106 | 611.72 × 106 | 723.74 × 106 | 193.00 × 106 |
| Shear–Span Ratio | Plate Thickness (mm) | Shear Rigidity (kN) | Ultimate Carrying Capacity (kN) | Carrying Capacity Increase Rate (%) |
|---|---|---|---|---|
| 1.5 | 1.5 | 19,667,937.3 | 205.29 | - |
| 2.0 | 19,904,900.4 | 213.41 | - | |
| 2.5 | 20,141,864.0 | 239.41 | - | |
| 3.0 | 20,378,826.6 | 260.53 | - | |
| 2.0 | 1.5 | 19,667,937.3 | 168.70 | −17.82 |
| 2.0 | 19,904,900.4 | 182.11 | −14.67 | |
| 2.5 | 20,141,864.0 | 204.49 | −14.59 | |
| 3.0 | 20,378,826.6 | 220.88 | −15.22 | |
| 2.5 | 1.5 | 19,667,937.3 | 152.60 | −25.67 |
| 2.0 | 19,904,900.4 | 168.80 | −20.90 | |
| 2.5 | 20,141,864.0 | 179.60 | −24.98 | |
| 3.0 | 20,378,826.6 | 190.10 | −27.04 |
Disclaimer/Publisher’s Note: The statements, opinions and data contained in all publications are solely those of the individual author(s) and contributor(s) and not of MDPI and/or the editor(s). MDPI and/or the editor(s) disclaim responsibility for any injury to people or property resulting from any ideas, methods, instructions or products referred to in the content. |
© 2023 by the authors. Licensee MDPI, Basel, Switzerland. This article is an open access article distributed under the terms and conditions of the Creative Commons Attribution (CC BY) license (https://creativecommons.org/licenses/by/4.0/).
Share and Cite
Yang, H.; Guo, Y.; Wang, H.; Jiang, Z. Research on the Shear Performance of Cold-Formed Thin-Walled Steel-Glued Laminated Wood Composite Beams. Buildings 2023, 13, 2903. https://doi.org/10.3390/buildings13122903
Yang H, Guo Y, Wang H, Jiang Z. Research on the Shear Performance of Cold-Formed Thin-Walled Steel-Glued Laminated Wood Composite Beams. Buildings. 2023; 13(12):2903. https://doi.org/10.3390/buildings13122903
Chicago/Turabian StyleYang, Haixu, Yue Guo, Haibiao Wang, and Zihang Jiang. 2023. "Research on the Shear Performance of Cold-Formed Thin-Walled Steel-Glued Laminated Wood Composite Beams" Buildings 13, no. 12: 2903. https://doi.org/10.3390/buildings13122903
APA StyleYang, H., Guo, Y., Wang, H., & Jiang, Z. (2023). Research on the Shear Performance of Cold-Formed Thin-Walled Steel-Glued Laminated Wood Composite Beams. Buildings, 13(12), 2903. https://doi.org/10.3390/buildings13122903
