Resistivity Prediction Model for Basalt–Polypropylene Fiber-Reinforced Concrete
Abstract
1. Introduction
2. Materials and Methods
2.1. Experimental Materials
2.2. Experimental Methods
2.2.1. Measurement of Resistivity
2.2.2. Observation of Microstructure
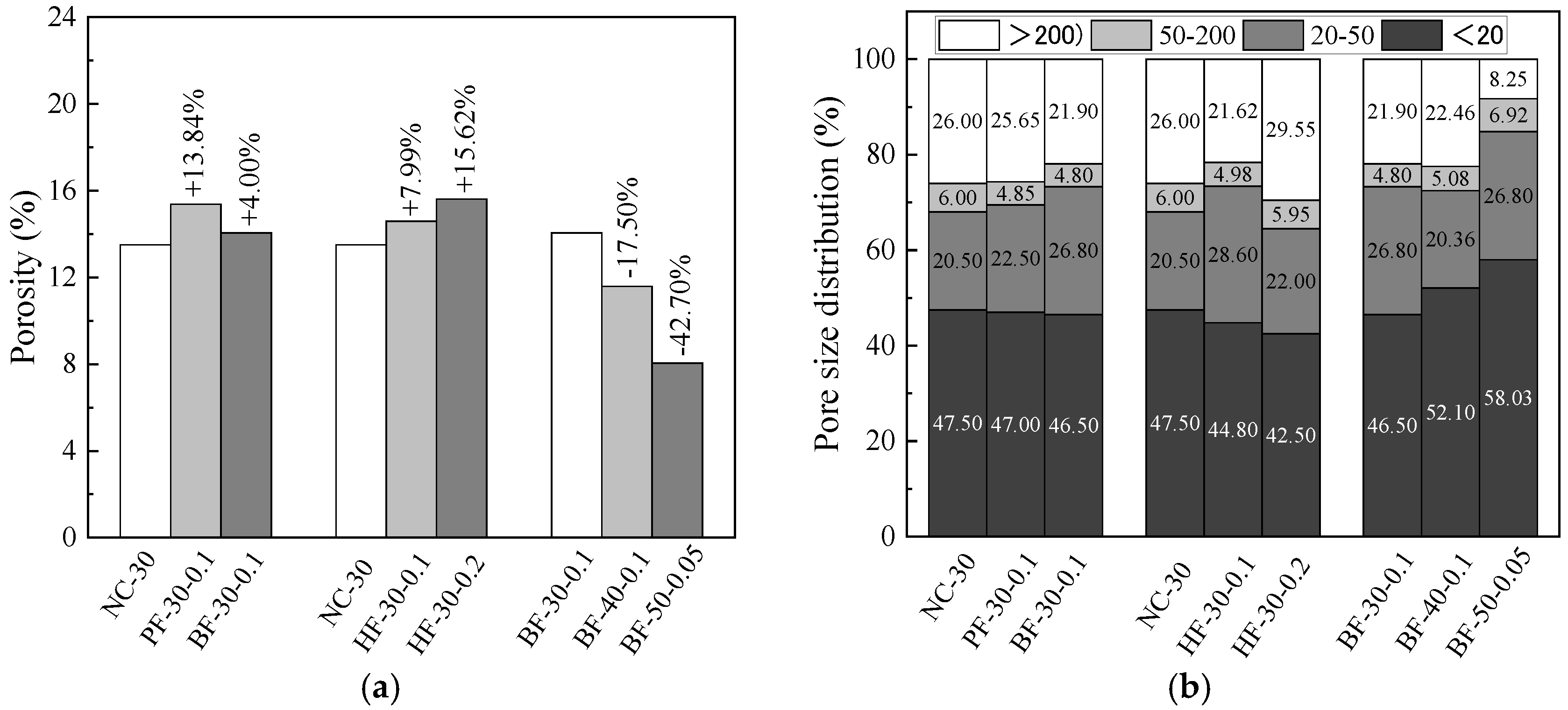
2.2.3. Measurement of Pore Structure
3. Analysis of BPFRC Resistivity
4. A 365-Day Resistivity Model for BPFRC
5. Time-Varying Resistivity Model for BPFRC
5.1. Single-Gelling Material System
5.2. Multiple-Gelling Material System
5.3. Time-Varying Resistivity Model of BPFRC
6. Conclusions
- (1)
- An improved two-electrode AC method was proposed to measure the BPFRC resistivity, which overcame the shortcomings of the DC method in the polarization reaction and heat generation under the action of long-time voltage.
- (2)
- Adding fiber affected the resistivity of the BPFRC. The effect was positive with a low volume content of fiber (e.g., 0.1%) and negative with the high one (e.g., 0.2%) due to fiber stacking. The effect of the polypropylene fiber, basalt fiber, and hybrid fiber on improving the resistivity increased in turn. The resistivity of the BPFRC showed a negative correlation with the water–binder ratio.
- (3)
- The microscopic morphology and pore structure parameters of the BPFRC were extracted by SEM and MIP, and the differences in the resistivity of BPFRC were analyzed.
- (4)
- A 365-day resistivity model for the BPFRC, considering the temperature, humidity, fiber, and water–binder ratio, was developed in this study. On this basis, a time-varying resistivity model for the BPFRC considering the hydration process of the gelling material was established.
- (5)
- The effect of chloride ions was not considered in the developed BPFRC model, which needs to be fixed in the follow-up study. Additionally, quantifying the relationship between the BPFRC’s resistivity and the mechanical and durability performance indicators would be an essential research topic.
Author Contributions
Funding
Institutional Review Board Statement
Data Availability Statement
Conflicts of Interest
References
- Noguchi, T.; Tomosawa, F.; Nemati, K.M.; Chiaia, B.M.; Fantilli, A.P. A practical equation for elastic modulus of concrete. ACI Mater. J. 2009, 106, 690–696. [Google Scholar]
- Wu, Y.; Zhou, Y. Hybrid machine learning model and Shapley additive explanations for compressive strength of sustainable concrete. Constr. Build. Mater. 2022, 330, 127298. [Google Scholar] [CrossRef]
- Wu, Y.; Zhou, Y. Splitting tensile strength prediction of sustainable high-performance concrete using machine learning techniques. Environ. Sci. Pollut. Res. 2022, 29, 89198–89209. [Google Scholar] [CrossRef]
- Liang, K.; Zeng, X.H.; Zhou, X.J. Investigation of the capillary rise in cement-based materials by using electrical resistivity measurement. Constr. Build. Mater. 2018, 173, 811–819. [Google Scholar] [CrossRef]
- Xie, S.; Han, Z.; Chen, Y.; Wang, Y.; Zhao, Y.; Lin, H. Constitutive modeling of rock materials considering the void compaction characteristics. Arch. Civ. Mech. Eng. 2022, 22, 60. [Google Scholar] [CrossRef]
- Rui, H.; Ma, H.; Hafiz, R.B. Determining porosity and pore network connectivity of cement-based materials by a modified noncontact electrical resistivity measurement: Experiment and theory. Mater. Des. 2018, 156, 82–92. [Google Scholar]
- Liang, K.; Zeng, X.H.; Zhou, X.J. A new model for the electrical conductivity of cement-based material by considering pore size distribution. Mag. Concr. Res. 2017, 69, 1067–1078. [Google Scholar] [CrossRef]
- Prakash, R.; Divyah, N.; Srividhya, S.; Avudaiappan, S.; Amran, M.; Raman, S.N.; Guindos, P.; Vatin, N.I.; Fediuk, R. Effect of Steel Fiber on the Strength and Flexural Characteristics of Coconut Shell Concrete Partially Blended with Fly Ash. Materials 2022, 15, 4272. [Google Scholar] [CrossRef]
- Shao, H.; Zhang, J.; Fan, T.; Li, Z. Electrical method to evaluate elastic modulus of early age concrete. Constr. Build. Mater. 2015, 101, 661–666. [Google Scholar] [CrossRef]
- Andrade, C. Calculation of chloride diffusion coefficients in concrete from ionic migration measurements. Cem. Concr. Res. 1993, 23, 724–742. [Google Scholar] [CrossRef]
- Lu, X. Application of the Nernst-Einstein equation to concrete. Cem. Concr. Res. 1997, 27, 293–302. [Google Scholar] [CrossRef]
- Chidiac, S.E.; Shafikhani, M. Electrical resistivity model for quantifying concrete chloride diffusion coefficient. Cem. Concr. Compos. 2020, 113, 103707. [Google Scholar] [CrossRef]
- Sun, Z.; Niu, D.T.; Wang, X.Q.; Zhang, L.; Luo, D. Bond behavior of coral aggregate concrete and corroded Cr alloy steel bar. J. Build. Eng. 2022, 61, 105294. [Google Scholar] [CrossRef]
- DuraCrete. Statistical Quantification of the Variables in the Limit State Functions. The European Union—Brite EuRam III. Document BE95-1347/R9. 2000. Available online: https://books.google.com.sg/books/about/Statistical_Quantification_of_the_Variab.html?id=eiEtQAAACAAJ&redir_esc=y (accessed on 11 June 2022).
- Gong, G.J.; Song, X.B.; Kong, Q.M. The resistivity of concrete contaminated by chloride. Ind. Constr. 2005, 12, 5–7. (In Chinese) [Google Scholar]
- Yu, B.; Yang, L.F.; Wu, M.; Li, B. Practical model for predicting corrosion rate of steel reinforcement in concrete structures. Constr. Build. Mater. 2014, 54, 385–401. [Google Scholar] [CrossRef]
- Kassimi, F.; Khayat, K.H. Mechanical properties of fiber-reinforced concrete with adapted rheology. Cem. Concr. Compos. 2021, 118, 103958. [Google Scholar] [CrossRef]
- Deeb, R.; Karihaloo, B.L.; Kulasegaram, S. Reorientation of short steel fibers during the flow of self-compacting concrete mix and determination of the fiber orientation factor. Cem. Concr. Res. 2014, 56, 112–120. [Google Scholar] [CrossRef]
- Han, J.S.; Pan, J.L.; Cai, J.M. A review on carbon-based self-sensing cementitious composites. Constr. Build. Mater. 2020, 265, 120764. [Google Scholar] [CrossRef]
- Paschalis, S.A.; Lampropoulos, A.P. Developments in the use of ultra high performance fiber reinforced concrete as strengthening material. Eng. Struct. 2021, 233, 111914. [Google Scholar] [CrossRef]
- More, F.M.D.S.; Senthil, S.S. Impact of fibers on the mechanical and durable behavior of fiber-reinforced concrete. Buildings 2022, 12, 1436. [Google Scholar] [CrossRef]
- Sbahieh, S.; Rabie, M.; Ebead, U.; Al-Ghamdi, S.G. The mechanical and environmental performance of fiber-reinforced polymers in concrete structures: Opportunities, challenges and future directions. Buildings 2022, 12, 1417. [Google Scholar] [CrossRef]
- Fu, Q.; Xu, W.R.; Bu, M.X.; Guo, B.; Niu, D. Effect and action mechanism of fibers on mechanical behavior of hybrid basalt-polypropylene fiber-reinforced concrete. Structures 2021, 34, 3596–3610. [Google Scholar] [CrossRef]
- Niu, D.T.; Su, L.; Luo, Y. Experimental study on mechanical properties and durability of basalt fiber reinforced coral aggregate concrete. Constr. Build. Mater. 2020, 237, 117628. [Google Scholar] [CrossRef]
- Zhang, J. Study on Preparation and Physical and Mechanical Properties of Basalt-Polypropylene Hybrid Fiber High Durability Concrete. Master’s thesis, Xi’an University of Architecture and Technology, Xi’an, China, 2017. [Google Scholar]
- Xie, S.; Lin, H.; Chen, Y. New constitutive model based on disturbed state concept for shear deformation of rock joints. Arch. Civ. Mech. Eng. 2022, 23, 26. [Google Scholar] [CrossRef]
- Wan, X.M.; Han, L.; Zhao, T.J.; Zhang, P.; Cui, Y.; Guo, S.; Jiang, F.; Jin, Z.; Shen, C.; Fan, H.; et al. A Method for Measuring Chloride Ion Permeability Resistance of Concrete. Chinese Patent CN110082278A, 2 February 2019. (In Chinese). [Google Scholar]
- Sun, Z.; Zhang, L.; Niu, D. Time-varying model for predicting the resistivity of coral aggregate concrete. Constr. Build. Mater. 2020, 265, 120588. [Google Scholar] [CrossRef]
- Niu, D.; Li, D.; Fu, Q. A 3D-IFU model for characterising the pore structure of hybrid fibre-reinforced concrete. Mater. Des. 2020, 188, 108473. [Google Scholar] [CrossRef]
- Su, L.; Niu, D.T.; Huang, D.G.; Luo, Y.; Qiao, H.; Zhang, Y. Chloride diffusion behavior and microstructure of basalt-polypropylene hybrid fiber reinforced concrete in salt spray environment. Constr. Build. Mater. 2022, 323, 126716. [Google Scholar] [CrossRef]
- Wu, Z.W.; Lian, H.Z. High Performance Concrete; China Railway Publishing House: Beijing, China, 1999. (In Chinese) [Google Scholar]
- Song, H. A Study on the Anti-Corrosion and Crack Resistance of Concrete with Multi-Mineral Admixtures. Ph.D. thesis, Xi’an University of Architecture and Technology, Xi’an, China, 2011. [Google Scholar]
- Solgaard, A.; Geiker, M.; Edvardsen, C. Observations on the electrical resistivity of steel fiber reinforced concrete. Mater. Struct. 2014, 47, 335–350. [Google Scholar] [CrossRef]
- Hope, B. Chloride corrosion threshold in concrete. ACI Mater. J. 1987, 84, 306–313. [Google Scholar]
- Gjoerv, O.E.; Vennesland, O.; El-busaidy, A. Electrical resistivity of concrete in the oceans. In Proceedings of the Ninth Annual Offshore Technology Conference, Houston, TX, USA, 2–5 May 1977; Volume 1, pp. 581–588. [Google Scholar]
- Vagelis, G.P.; Michael, N.F.; Costas, G.V. Hydration and carbonation of pozzolanic cements. ACI Mater. J. 1992, 89, 119–130. [Google Scholar]
- Poon, C.S.; Lam, L.; Wong, Y.L. A study on high strength concrete prepared with large volumes of low calcium fly ash. Cem. Concr. Res. 2000, 30, 447–455. [Google Scholar] [CrossRef]
- Lam, L.; Wong, Y.L.; Poon, C.S. Degree of hydration and gel/space ratio of high-volume fly ash/cement systems. Cem. Concr. Res. 2001, 31, 1301–1306. [Google Scholar] [CrossRef]
- Dong, G. Reaction Degree of Fly Ash and Blast Furnace Slag in Cement Pastes; China Building Materials Academy: Beijing, China, 2008. [Google Scholar]
- Feng, X.; Garboczi, E.J.; Bentz, D.P.; Stutzman, P.E.; Mason, T.O. Estimation of the degree of hydration of blended cement pastes by a scanning electron microscope point-counting procedure. Cem. Concr. Res. 2004, 34, 1787–1793. [Google Scholar] [CrossRef]
- Poon, C.S.; Lam, L.; Kou, S.C. Rate of pozzolanic reaction of metakaolin in high-performance cement pastes. Cem. Concr. Res. 2001, 31, 1301–1306. [Google Scholar] [CrossRef]
- Li, S.; Roy, D.M.; Kumer, A. Quantitative determination of pozzolanas in hydrated system of cement or Ca(OH)2 with fly ash or silica fume. Cem. Concr. Res. 1985, 15, 1079–1086. [Google Scholar] [CrossRef]
- Shunsuke, H.; Fuminori, T.; Makoto, K. Effects of water/powder ratio, mixing ratio of fly ash, and curing temperature on pozzolanic reaction of fly ash in cement paste. Cem. Concr. Res. 2001, 31, 31–39. [Google Scholar]
- Sakai, E.; Miyahara, S.; Ohsawa, S.; Lee, S.H.; Daimon, M. Hydration of fly ash cement. Cem. Concr. Res. 2005, 35, 1135–1140. [Google Scholar] [CrossRef]
- Zheng, K.; Sun, W.; Jia, Y.; Guo, L. Method to determine reaction degrees of constituents in hydrating ternary blends composed of BFS, FA and Portland cement. J. Southeast Univ. 2004, 34, 361–365. [Google Scholar]
- Lumley, J.S.; Gollop, R.S.; Moir, G.K.; Taylor, H.F.W. Degrees of reaction of the slag in some blends with Portland cements. Cem. Concr. Res. 1996, 26, 139–151. [Google Scholar] [CrossRef]
- Escalante, J.I.; Gomez, L.Y.; Johal, K.K.; Mendoza, G.; Mancha, H.; Mendez, J. Reactivity of blast-furnace slag in Portland cement blends hydrated under different conditions. Cem. Concr. Res. 2001, 31, 1403–1409. [Google Scholar] [CrossRef]
- Luke, K.; Glasser, F.P. Internal chemical evolution of the constitution of blended cements. Cem. Concr. Res. 1988, 18, 495–502. [Google Scholar] [CrossRef]
- Yang, Y.T. Study on Concrete Resistivity and Corrosion Rate of Reinforcement. Master’s thesis, Dalian University of Technology, Dalian, China, 2009. [Google Scholar]
- Fu, Q.; Zhang, Z.R.; Zhao, X. Effect of nano calcium carbonate on hydration characteristics and microstructure of cement-based materials: A review. J. Build. Eng. 2022, 50, 104220. [Google Scholar] [CrossRef]





| Materials | CaO | SiO2 | Al2O3 | Fe2O3 | MgO | SO3 | Na2O | K2O | TiO2 |
|---|---|---|---|---|---|---|---|---|---|
| SC | 57.7 | 18.48 | 4.82 | 3.26 | 1.51 | 1.83 | 0.33 | 1.07 | 0.23 |
| FA | 21.14 | 35.71 | 16.57 | 8.92 | 1.41 | 1.94 | - | - | - |
| SF | 0.4 | 76.35 | 0.20 | 0.55 | 0.53 | - | 0.51 | - | - |
| SP | 35.75 | 33.50 | 6.45 | 1.34 | 5.78 | 1.47 | 0.36 | - | - |
| Material | Water Requirement of Normal Consistency (%) | Specific Surface Area (cm2/g) | Density (g/cm3) | Fineness | Moisture Content (%) |
|---|---|---|---|---|---|
| SC | 25.8 | 390 | 3.09 | 2.79 | - |
| FA | 101 | 23,000 | 2.16 | 5.48 | 0.06 |
| SF | 115 | 248 | 2.35 | 2.85 | 0.2 |
| SP | 113 | 440 | 2.9 | 0.3 | 0.7 |
| Types | Diameter (μm) | Length (mm) | Density (g/cm3) | Tensile Strength (MPa) | Elastic Modulus (GPa) | Elongation (%) |
|---|---|---|---|---|---|---|
| Basalt fiber | 15 | 18 | 2.56 | ≥2400 | ≥40 | ≤3.1 |
| Polypropylene fiber | 30 | 19 | 0.91 | >270 | >0.3 | ≤40 |
| Groups | SC | FA | SF | SP | Water Reducer | Water | Coarse Aggregate | Fine Aggregate | BF | PF |
|---|---|---|---|---|---|---|---|---|---|---|
| NC-30 | 234.2 | 73.2 | 22 | 36.6 | 3.66 | 161 | 1162.3 | 683 | 0 | 0 |
| BF-30-0.1 | 234.2 | 73.2 | 22 | 36.6 | 3.66 | 161 | 1162.3 | 683 | 2.56 | 0 |
| PF-30-0.1 | 234.2 | 73.2 | 22 | 36.6 | 3.66 | 161 | 1162.3 | 683 | 0 | 0.91 |
| HF-30-0.1 | 234.2 | 73.2 | 22 | 36.6 | 3.66 | 161 | 1162.3 | 683 | 1.28 | 0.455 |
| HF-30-0.2 | 234.2 | 73.2 | 22 | 36.6 | 3.66 | 161 | 1162.3 | 683 | 2.56 | 0.91 |
| BF-40-0.1 | 241.6 | 79.2 | 15.8 | 59.4 | 3.96 | 150.5 | 1163.6 | 683.4 | 1.28 | 0 |
| BF-50-0.05 | 333.1 | 48.3 | 29 | 72.4 | 4.83 | 140 | 1026.1 | 774.1 | 1.3 | 0 |
Disclaimer/Publisher’s Note: The statements, opinions and data contained in all publications are solely those of the individual author(s) and contributor(s) and not of MDPI and/or the editor(s). MDPI and/or the editor(s) disclaim responsibility for any injury to people or property resulting from any ideas, methods, instructions or products referred to in the content. |
© 2022 by the authors. Licensee MDPI, Basel, Switzerland. This article is an open access article distributed under the terms and conditions of the Creative Commons Attribution (CC BY) license (https://creativecommons.org/licenses/by/4.0/).
Share and Cite
Sun, Z.; He, W.; Niu, D.; Zhang, L.; Su, L.; Wang, X. Resistivity Prediction Model for Basalt–Polypropylene Fiber-Reinforced Concrete. Buildings 2023, 13, 84. https://doi.org/10.3390/buildings13010084
Sun Z, He W, Niu D, Zhang L, Su L, Wang X. Resistivity Prediction Model for Basalt–Polypropylene Fiber-Reinforced Concrete. Buildings. 2023; 13(1):84. https://doi.org/10.3390/buildings13010084
Chicago/Turabian StyleSun, Zhen, Weidong He, Ditao Niu, Lu Zhang, Li Su, and Xiaoqian Wang. 2023. "Resistivity Prediction Model for Basalt–Polypropylene Fiber-Reinforced Concrete" Buildings 13, no. 1: 84. https://doi.org/10.3390/buildings13010084
APA StyleSun, Z., He, W., Niu, D., Zhang, L., Su, L., & Wang, X. (2023). Resistivity Prediction Model for Basalt–Polypropylene Fiber-Reinforced Concrete. Buildings, 13(1), 84. https://doi.org/10.3390/buildings13010084

