Review on the Influence and Control of Sulfur-Containing Tailings on the Strength of Cemented Backfill in Metal Mines
Abstract
:1. Introduction
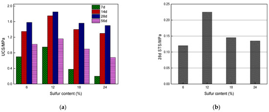
2. Influence of Sulfur-Containing Tailings on the Strength of Cemented Tailings Backfill
3. Failure Mechanism of Sulfur Tailings on Strength of the Cemented Tailings Backfill
3.1. Sulfides Erosion
3.2. Sulfate Attack
3.2.1. Ettringite Type Sulfate Erosion
3.2.2. Gypsum Type Sulfate Erosion
3.2.3. Magnesium Sulfate Erosion
3.2.4. TSA- Type Sulfate Erosion
- •SO42− diffuses from the outside to the inside of the filling, while Ca(OH)2 in the pore solution gradually leaches out to the outside.
- Gypsum, as an intermediate product, is transformed into ettringite.
- Ca(OH)2 is consumed, C-S-H decomposes, and gypsum production.
- Generation of calcium silicon carbide.
3.3. The Sulfate Erosion Mechanism
3.3.1. Expansion Damage
3.3.2. Bonding Performance Damage
3.3.3. Stress Failure
4. Control of Cemented Sulfur Tailings Backfill
4.1. Blending Cementitious Materials
4.1.1. Selection of Cement
4.1.2. Application of Fly Ash
- SiO2 and Al2O3 in the fly ash react with Ca(OH)2 formed by hydration of 3CaO•SiO2 and 2CaO•SiO2 in cement to form stable mCaO•SiO2•nH2O, xCaO•Al2O3•yH2O and CaO •Al2O3•2SiO2•4H2O, which prevents the reaction of sulfate ions with Ca(OH)2 and reduces the damage of sulfate on the cemented sulfur tailings backfill [39,59].
- Fly ash is a porous material, which can provide additional space for the expansive cemented sulfur tailings backfill, ensure that the cemented sulfur tailings backfill does not collapse due to expansion in the late stage, and maintain the integrity and strength of the cemented tailings backfill. Experimental results show that fly ash can effectively avoid the decrease of cemented backfill strength with high-sulfur tailings [60].
4.1.3. Properties of Slag Cementitious Materials
4.2. Control of Oxidation Conditions
- Desulfurization treatment. According to the Ercikdi et al. (2013) experiments [63], the strength of the colluvial filler treated with desulfurization of sulfur-rich tailings was higher than that of the undesulfurized sulfur-containing tailings. Therefore, high-sulfur tailings can also be desulfurized to reduce the sulfur content of sulfur-containing tailings to improve the cemented tailing’s backfill strength. However, the cost of the desulfurization process is high [64].
- Slow down sulfide oxidation. The oxidation of sulfide aggravates the erosion of sulfate. Slowing down the oxidation of sulfide is a crucial measure to solve the problem of strength decline of tailings filled with sulfur. Reducing the stacking time of tailings in the air before making filling paste can reduce the amount of sulfate produced by sulfide oxidation and fundamentally lessen the effect of sulfate on the long-term strength of cemented tailings backfill [65,66]. The filling with sulfur-containing tailings should be completed in a relatively short time, and the inlet duct should be closed as much as possible after the completion of filling to reduce the oxidation of the cemented tailings backfill. In addition, maintaining the higher water saturation of the cemented tailings backfill limits the entry of oxygen, which is an important measure to inhibit the production of sulfate in the cemented tailings backfill and prevent sulfate erosion [40].
4.3. Adding Admixture
- Adding silicon powder. Silicon powder is an excellent concrete admixture. Du et al. (2004) [67] conducted sulfate attack experiments and found that the sulfate resistance of mortar is proportional to the silicon fumes content. By observing the difference between silica powder mortar and ordinary mortar at the microscopic level, it is found that the microscopic pore structure of cement stone adding silica powder as the additional material was significantly denser than that of ordinary net mortar. Silica powder can seal the pores of cement structure, reduce the number of micropores and make the overall system more compact, thus slowing down the reaction of sulfate and cement hydration. The sulfate erosion is diminished, thus improving the strength and stability of the cemented backfill.
- Adding sodium silicate. The hydrolysis of sodium silicate in an aqueous solution generates silica sol and NaOH (see Equation (8)), both of which accelerate the generation of C-S-H, thus shortening the coagulation time of the filler and improve the early strength of the cemented tailings backfill [68].
- Adding citric acid. Although citric acid increases the coagulation time of the cemented backfill, it is helpful to improve the late strength of cemented backfill. The reason is that the secondary expansion phase can fill the void between C-S-H and make the interior of cemented tailings backfill more compact. According to the conclusion obtained from experiments, adding 0.3% citric acid can achieve a less retarding effect on the high-sulfur tailings backfill [36]. At the same time, the strength of cemented tailings backfills aged 28d increased by 27.3%. Thus, the filling requirements can be met, and it is the best measure to optimize the performance of cemented sulfur tailings backfill.
- Adding polypropylene fiber. Adding polypropylene fiber into sulfur tailings cemented backfill can significantly improve its mechanical properties. The interface between polypropylene fiber and cemented backfill will produce a bonding effect, which can resist the strength degradation of the backfill and improve its durability. Moreover, polypropylene fiber forms a unique spatial skeleton structure, which can play the role of physical reinforcement and improve the overall compressive strength of cemented backfill [32,33].
- Adding high-efficiency water-reducing agent. High-efficiency water-reducing agent is an organic polymer molecule that adheres to cement particles and tailings and disperses them by internal electrostatic and spatial forces, thus changing the rheological properties of cemented tailings backfill. Moreover, by reducing the water content, the expected strength of the sulfur-containing tailings of the cemented filling body can be achieved, and the durability can be improved [69,70].
5. Conclusions and Outlooks
Author Contributions
Funding
Data Availability Statement
Conflicts of Interest
References
- Chen, W.; Yin, S.; Zhou, G.; Li, Z.; Song, Q. Copper recovery from tailings through bioleaching and further application of bioleached tailings residue: Comprehensive utilization of tailings. J. Clean. Prod. 2022, 332, 130129. [Google Scholar] [CrossRef]
- The Global Industry Standard on Tailings Management (GISTM). Global Tailings Review. 2020. Available online: https://globaltailingsreview.org/global-industry-standard (accessed on 5 August 2020).
- Kongar-Syuryun, C.; Ivannikov, A.; Khayrutdinov, A.; Tyulyaeva, Y. Geotechnology using composite materials from man-made waste is a paradigm of sustainable development. Mater. Today Proc. 2021, 38, 2078–2082. [Google Scholar] [CrossRef]
- Dong, L.; Deng, S.; Wang, F. Some developments and new insights for environmental sustainability and disaster control of tailings dam. J. Clean. Prod. 2020, 269, 122270. [Google Scholar] [CrossRef]
- Ermolovich, E.; Ivannikov, A.; Khayrutdinov, M.; Kongar-Syuryun, C.; Tyulyaeva, Y. Creation of a Nanomodified Backfill Based on the Waste from Enrichment of Water-Soluble Ores. Materials 2022, 15, 3689. [Google Scholar] [CrossRef] [PubMed]
- MHURD (Ministry of Housing and Urban-Rural Development of the PRC). Code for Design of Nonferrous Metal Mining; China Planning Press: Beijing, China, 2012. (In Chinese)
- Hefni, M.; Ahmed, H.; Omar, E.; Ali, M. The Potential Re-Use of Saudi Mine Tailings in Mine Backfill: A Path towards Sustainable Mining in Saudi Arabia. Sustainability 2021, 13, 6204. [Google Scholar] [CrossRef]
- Arvidson, B.; Klemetti, M.; Knuutinen, T.; Kuusisto, M.; Man, Y.; Hughes-Narborough, C. Flotation of pyrrhotite to produce magnetite concentrates with a sulphur level below 0.05% w/w. Miner. Eng. 2013, 50–51, 4–12. [Google Scholar] [CrossRef]
- Bendz, D.; Tiberg, C.; Kleja, D.B. Mineralogical characterization and speciation of sulfur, zinc and lead in pyritecinder from Bergvik, Sweden. Appl. Geochem. 2021, 131, 105010. [Google Scholar] [CrossRef]
- Onuaguluchi, O.; Eren, O. Recycling of copper tailings as an additive in cement mortars. Constr. Build. Mater. 2012, 37, 723–727. [Google Scholar] [CrossRef]
- Craig, A.; Shkarupin, A.; Amos, R.; Lindsay, M.; Blowes, D.; Ptacek, C.J. Reactive transport modelling of porewater geochemistry and sulfur isotope fractionation in organic carbon amended mine tailings. Appl. Geochem. 2021, 127, 104904. [Google Scholar] [CrossRef]
- Du, H.; Zheng, J.; Tian, L.; Liang, H.; Guo, J.; Li, Y. Microfabrics, in-situ trace element and sulfur isotope compositions of pyrite from the Jinjiwo copper deposit in Chengmenshan ore field, northern Yangtze Block: Syngenetic stratabound mineralization and hydrothermal remobilization. Ore Geol. Rev. 2020, 127, 103830. [Google Scholar] [CrossRef]
- Jiao, H.; Zhang, W.; Wang, Y.; Chen, X.; Yang, L.; Rong, Y. Study on Strength Reduction Law and Meso-Crack Evolution of Lower Layered Cemented Tailings Backfill. J. Renewable Mater. 2023, 11(3), 1513–1529. [Google Scholar] [CrossRef]
- Song, M.; Li, J.; Yu, X.; Song, Y.; Ding, Z.; Li, S. Metallogenic characteristics and tectonic setting of the Jiaodong gold deposit, China. Solid Earth Sci. 2021, 6, 385–405. [Google Scholar] [CrossRef]
- McEvoy, J.; Thibault, Y.; Beauchemin, S. Iron and Sulphur management options during Ni recovery from (bio) leaching of pyrrhotite tailings Part 2: Strategies for Sulphur fixation during biomass-induced magnetization of goethite and jarosite. Miner. Eng. 2020, 150, 106266. [Google Scholar] [CrossRef]
- Mashifana, T.; Sithole, T. Clean production of sustainable backfill material from waste gold tailings and slag. J. Clean. Prod. 2021, 308, 127357. [Google Scholar] [CrossRef]
- Hawkins, T.; Smith, M.; Herrington, R.; Maslennikov, V.; Boyce, A.; Jeffries, T.; Creaser, R.A. The geology and genesis of the iron skarns of the Turgai belt, northwestern Kazakhstan. Ore Geol. Rev. 2017, 85, 216–246. [Google Scholar] [CrossRef]
- Wu, Z.; Zou, L.; Chen, J.; Lai, X.; Zhu, Y. Column bioleaching characteristic of copper and iron from Zijinshan sulfide ores by acid mine drainage. Int. J. Miner. Process. 2016, 149, 18–24. [Google Scholar] [CrossRef]
- Li, J.; Vasconcelos, P.; Zhou, M.; Deng, X.; Cohen, B.; Bi, S.; Zhao, X.; Selby, D. Longevity of magmatic–hydrothermal systems in the Daye Cu–Fe–Au District, eastern China with implications for mineral exploration. Ore Geol. Rev. 2014, 57, 375–392. [Google Scholar] [CrossRef]
- Sabeva, R.; Mladenova, V.; Mogessie, A.; Ore, P. Hydrothermal alteration, fluid inclusions, and sulfur stable isotopes of the Milin Kamak intermediate sulfidation epithermal Au-Ag deposit in Western Srednogorie, Bulgaria. Ore Geol. Rev. 2017, 88, 400–415. [Google Scholar] [CrossRef]
- Toubri, Y.; Plante, B.; Demers, I.; Fillion, M. Probing cleaner production opportunities of the Lac Tio pyrite-enriched tailings generated to alleviate sulfur dioxide emissions. J. Clean. Prod. 2022, 357, 132027. [Google Scholar] [CrossRef]
- Vincent, V.I.; Li, H.; Girei, M.B.; Förster, M.W.; Ahmed, H.A.; Ntekim, E.E. In situ trace elements and sulfur isotope analysis of sulfides from the Akiri Cu ± (Ag) deposit, Benue Trough, North-central Nigeria: Implications for ore genesis. Geochemistry 2021, 81, 125801. [Google Scholar] [CrossRef]
- Jiang, Y.; Qiu, H.; Xu, Y. Hydrothermal fluids, argon isotopes and mineralization ages of the Fankou Pb–Zn deposit in south China: Insights from sphalerite 40Ar/39Ar progressive crushing. Geochim. Cosmochim. Acta 2012, 84, 369–379. [Google Scholar] [CrossRef]
- Wen, C.; Shao, Y.; Li, B.; Dick, J.; Lai, J.; Huang, G.; Luo, X. Fluid evolution of the Wushan skarn-dominant copper deposit in the Middle-Lower Yangtze River metallogenic belt, Eastern China. Ore Geol. Rev. 2019, 12, 103035. [Google Scholar] [CrossRef]
- Yang, F.; Wu, C.; Cui, Y.; Lu, G. Apparent activation energy for spontaneous combustion of sulfide concentrates in storage yard. Trans. Nonferrous Met. Soc. China Metal Mine. 2011, 21, 395–401. [Google Scholar] [CrossRef]
- Xu, L.; Xie, Q.; Zhou, Y.; Wang, J.; Chen, T.; Xu, X.; Xie, J. Recognizing the evolution of the stratabound polymetallic massive sulfide deposits in Tongling mineralization cluster, east China through colloform pyrite. Ore Geol. Rev. 2022, 146, 104915. [Google Scholar] [CrossRef]
- Zheng, Y.; Long, L.; Yu, P.; Zhang, X.; Hu, Z.; Wu, Y. Metal endowment and geodynamic evolution of the Late Paleozoic SEDEX deposits in South China: The Yunfu giant iron-sulfide deposit, Yunkai Domain. Ore Geol. Rev. 2022, 145, 104918. [Google Scholar] [CrossRef]
- Li, B.; Wang, X.; Tang, G.; Liu, Y.; Zou, G. S-Pb isotopes and tectono-geochemistry of the Lunong ore block, Yangla large Cu deposit, SW China: Implications for mineral exploration. Ore Geol. Rev. 2021, 136, 104249. [Google Scholar] [CrossRef]
- Liao, X.; Chen, Y.; Chen, J. Application of macromolecular organic polymer S-7261A in arsenic removal by flotation of refractory mixed copper ore. Miner. Eng. 2022, 182, 107560. [Google Scholar] [CrossRef]
- Yin, S.; Shao, Y.; Wu, A.; Wang, Y.; Chen, X. Expansion and strength properties of cemented backfill using sulphidic mill tailings. Constr. Build. Mater. 2018, 165, 138–148. [Google Scholar] [CrossRef]
- Li, H.; Wu, A.; Wang, H. Evaluation of short-term strength development of cemented backfill with varying sulphide contents and the use of additives. J. Environ. Manag. 2019, 239, 279–286. [Google Scholar] [CrossRef]
- Yin, S.; Hou, X.; Chen, X.; Zhang, M.; Du, H.; Gao, C. Mechanical behavior, failure pattern and damage evolution of fiber-reinforced cemented sulfur tailings backfill under uniaxial loading. Constr. Build. Mater. 2022, 332, 127248. [Google Scholar] [CrossRef]
- Fang, K.; Fall, M. Shear Behaviour of Rock–Tailings Backfill Interface: Effect of Cementation, RockType, and Rock Surface Roughness. Geotech. Geol. Eng. 2021, 39, 1753–1770. [Google Scholar] [CrossRef]
- Yin, S.; Hou, Y.; Chen, X.; Zhang, M. Mechanical, flowing and microstructural properties of cemented sulfur tailings backfill: Effects of fiber lengths and dosage. Constr. Build. Mater. 2021, 309, 125058. [Google Scholar] [CrossRef]
- Zhan, F.; Fu, Y.; Yang, S. Study on the effect of sulfur on the strength of cemented tailings backfill. Ind. Miner. Process. 2018, 47, 42–45. [Google Scholar] [CrossRef]
- Jiang, G.; Wu, A.; Li, H. Properties of high sulfur tailings backfill and effects of chemical admixture-s on it. Metal Mine. 2017, 171–175. [Google Scholar] [CrossRef]
- Dong, Q.; Liang, B.; Jia, L.; Jiang, L. Effect of sulfide on the long-term strength of lead-zinc tailings cemented paste backfill. Constr. Build. Mater. 2019, 200, 436–446. [Google Scholar] [CrossRef]
- Zhang, Q.; Wang, X.; Tian, M. Effect of Sulfide on Strength of Filling Body. In Proceedings of the 8th International Symposium on Mining with Backfill, Beijing, China, 19–21 September 2004; pp. 176–177. [Google Scholar]
- Liu, Y.; Hou, D. Strength test of sulfur-containing tailings backfill. Mod. Min. 2013, 29, 195–196+199. [Google Scholar]
- Wang, B.; Zhang, H.; Dong, X.; Gao, Q. Effect of sulfide oxidation on long-term strength of backfill. Ind. Miner. Process. 2007, 29–31. [Google Scholar] [CrossRef]
- Liu, P.; Chen, Y.; Wang, W.; Yu, Z. Effect of physical and chemical sulfate attack on performance degradation of concrete under different conditions. Chem. Phys. Lett. 2020, 745, 137254. [Google Scholar] [CrossRef]
- Dong, Q. Study of Evolution and Mechanism of the Strength to Sulfur Content Lead-Zinc Tailings Cemented Paste Backfll. Master’s Thesis, Liaoning Technical University, Fuxin, China, 2017. [Google Scholar]
- Carmona-Quiroga, P.; Blanco-Varela, M. Barium carbonate and supplementary cementitious materials to counteract thaumasite sulfate attack in mortars: Effect of aggregate composition. Constr. Build. Mater. 2021, 282, 122583. [Google Scholar] [CrossRef]
- Wang, H.; Dowd, P.; Xu, C. A reaction rate model for pyrite oxidation considering the influence of water content and temperature. Miner. Eng. 2019, 134, 345–355. [Google Scholar] [CrossRef]
- Zhang, Z.; Zhou, J.; Yang, J.; Zou, Y.; Wang, Z. Understanding of the deterioration characteristic of conc-rete exposed to external sulfate attack: Insight into mesoscopic pore structures. Constr. Build. Mater. 2020, 260, 119932. [Google Scholar] [CrossRef]
- Wang, J.; Niu, D.; Ma, R. Investigation of sulfate attack resistance of shotcrete under dry-wet cycles. J. Wuhan Univ. Technol.-Mater. 2016, 31, 1329–1335. [Google Scholar] [CrossRef]
- Yang, J.; Wang, P.; Li, H. Sulfate attack resistance of air-entrained silica fume concrete under dry-wet cycle condition. J. Wuhan Univ. Technol.-Mater. 2016, 31, 857–864. [Google Scholar] [CrossRef]
- Nevile, A. The confused world of sulfate attack on concrete. CBI Rapp. 2004, 34, 1275–1296. [Google Scholar] [CrossRef]
- Shen, C.; Huang, L.; Chen, M.; Lü, Q. Experimental study on Influencing Factors of sulfate corrosion of concrete. J. Water Resour. Archit. Eng. 2010, 8, 38–42+100. [Google Scholar] [CrossRef]
- Santhanam, M.; Cohen, D.M.; Olek, J. Mechanism of sulfate attack: A fresh look: Part 2. Proposed mechanisms. CBI Rapp. 2003, 33, 341–346. [Google Scholar] [CrossRef]
- Skaropoulou, A.; Tsivilis, S.; Kakali, G.; Sharp, J.H.; Swamy, R.N. Long term behavior of Portland limestone cement mortars exposed to magnesium sulfate attack. Cem. Concr. Compos. 2009, 31, 628–636. [Google Scholar] [CrossRef]
- Torres, S.M.; Sharp, J.H.; Swamy, R.N.; Lynsdale, C.J.; Huntley, S.A. Long term durability of Portland-limestone cement mortars exposed to magnesium sulfate attack. Cem. Concr. Compos. 2003, 25, 947–954. [Google Scholar] [CrossRef]
- Zhutovsky, S.; Nayman, S. Modeling of crack-healing by hydration products of residual cement in concrete. Constr. Build. Mater. 2022, 340, 127682. [Google Scholar] [CrossRef]
- Santhanam, M.; Cohen, M.; Olek, J. Sulfate attack research—Whither now? Cem. Concr. Res. 2001, 31, 845–851. [Google Scholar] [CrossRef]
- Bernard, E.; Dauzères, A.; Lothenbach, B. Magnesium and calcium silicate hydrates, Part II: Mg-exchange at the interface “low-pH” cement and magnesium environment studied in a C-S-H and M-S-H model system. Appl. Geochem. 2018, 89, 210–218. [Google Scholar] [CrossRef]
- Patsikas, N.; Katsiotis, N.; Pipilikaki, P.; Papageorgiou, D.; Chaniotakis, E.; Beazi-Katsioti, M. Durability of mortars of white cement against sulfate attack in elevated temperatures. Constr. Build. Mater. 2012, 36, 1082–1089. [Google Scholar] [CrossRef]
- Li, J.; Villaescusa, E.; Tyler, D.; McGrath, T. Factors Affecting Filling Quality of Underground Mine. In Proceedings of the 8th International Symposium on Mining with Backfill, Beijing, China, 19–21 September 2004; pp. 195–199. [Google Scholar]
- Sari, M.; Yilmaz, E.; Kasap, T.; Guner, N.U. Strength and microstructure evolution in cemented mine backfill with low and high pH pyritic tailings: Effect of mineral admixtures. Constr. Build. Mater. 2022, 328, 127109. [Google Scholar] [CrossRef]
- Nong, Z.; Park, S.S.; Lee, S.B.; Jiang, P.M. Cyclic resistance of fly ash influenced by anisotropic stress condition, sand contents, and gravel content. Soils Found. 2022, 62, 101157. [Google Scholar] [CrossRef]
- Zhang, Q.; Kang, Q.; Xiao, F.; Pan, C.; Chen, X. Key Technology of Cemented Backfilling with High Viscosity Sulfur-content Tailings. Met. Mine 2010, 39–42+67. [Google Scholar]
- Miraki, H.; Shariatmadari, N.; Ghadir, P.; Jahandari, S.; Tao, Z.; Siddique, R. Clayey soil stabilization using alkali-activated volcanic ash and slag. J. Rock. Mech. Geotech. 2021, 14, 576–591. [Google Scholar] [CrossRef]
- Peng, Y.; Liu, Z.; Liu, X.; Sheng, M.; Li, H.; Xu, X.; Ai, L.; Yan, Q.; Yang, Y. Preparation of composite micro-slag based on the application of tailings slag in cement and concrete. Constr. Build. Mater. 2022, 322, 126515. [Google Scholar] [CrossRef]
- Ercikdi, B.; Baki, H.; Muhammet, İ. Effect of desliming of sulphide-rich mill tailings on the long-term strength of cemented paste backfill. J. Environ. Manag. 2013, 115, 5–13. [Google Scholar] [CrossRef]
- Skandrani, A.; Demers, I.; Kongolo, M. Desulfurization of aged gold-bearing mine tailings. Miner. Eng. 2019, 138, 195–203. [Google Scholar] [CrossRef]
- Jiao, H.; Wu, Y.; Wang, H.; Chen, X.; Li, Z.; Wang, Y.; Zhang, B.; Liu, J. Micro-scale mechanism of sealed water seepage and thickening from tailings bed in rake shearing thickener. Miner. Eng. 2021, 173, 107043. [Google Scholar] [CrossRef]
- Zhang, Z.; Jin, X.; Luo, W. Long-term behaviors of concrete under low-concentration sulfate attack subjected to natural variation of environmental climate conditions. Cem. Concr. Res. 2019, 116, 217–230. [Google Scholar] [CrossRef]
- Du, Y.; Niu, J.; Li, Y.; Ma, S. Effect of silica fume admixture on sulfate resistance of mortar. J. Water Resour. Water Eng. 2004, 60–62. [Google Scholar] [CrossRef]
- Sugiyama, D. Chemical alteration of calcium silicate hydrate (C–S–H) in sodium chloride solution. Cem. Concr. Res. 2008, 38, 1270–1275. [Google Scholar] [CrossRef]
- Ercikdi, B.; Cihangir, F.; Kesimal, A.; Deveci, H.; Alp, B. Utilization of water reducing admixtures in cemented paste backfill of sulphide-rich mill tailings. J. Hazard. Mater. 2010, 179, 940–946. [Google Scholar] [CrossRef] [PubMed]
- Saedi, A.; Darban, A.K.; Zanjani, J.A. A review of additives used in the cemented paste tailings: Environmental aspects and application. J. Environ. Manag. 2021, 289, 112501. [Google Scholar] [CrossRef]



















| Sulfate | Erosion Medium | Erosion Targets | Erosion Environment | Erosion Mechanism | Failure Degree |
|---|---|---|---|---|---|
| Ettringite | SO42−/SO32− | Ca(OH)2, the aluminum phase | Alkaline environment (PH > 12) | Generate significant expansion of internal stress | Expansion and cracking of the exterior |
| Gypsum | SO42− | C-S-H phase | Low pH (PH < 10.5) | Expansion erosion, depletion of the alkaline environment causing decomposition of C-S-H and Ettringite | The cemented sulfur tailings backfill’s stability decreases, the exterior layer-by-layer spalling, and the aggregate is exposed. |
| Magnesium Sulfate | SO42−/Mg2+ | C-S-H phase | Low pH (PH < 10) | Lower the solution pH convert C-S-H to M-S-H | The amount of cracking increases, causing the cemented sulfur tailings backfill to disintegrate. |
| Calcium Silicon Carbide (TSA-type sulfate erosion) | SO42−/CO32−/HCO3− | C-S-H phase | Medium pH (PH > 10.5) | Consumption of large amounts of C-S-H | Weaken the cementiteous properties of cement, and s-often cemented sulfur tailings backfill. |
| Measures | Advantages | Disadvantages |
|---|---|---|
| Desulfurization treatment | Decreasing sulfur content in sulfur tailings | Complex and costly process |
| Reduce tailings accumulation time in the air | Reduce sulfide oxidation | Insufficient use of tailings |
| Shorten filling time | Reduction of sulfide oxidation and sulfate formation | Filling material mixing uneven |
| Maintain high water saturation of tailings cemented filling body | Limit the entry of oxygen | Slow down the curing time |
| Admixture | Effect | Principle |
|---|---|---|
| Silicon powder | Sulfate resistance | Blocking pores and reducing sulfate reaction |
| Sodium silicate | Accelerate hardening of filling body | Accelerate the formation of C-S-H, Shorten the setting time of filling body. |
| Citric acid | Interior of dense filling body | Secondary expansion phase can fill the gap between C-S-H |
| Polypropylene fiber | Physical reinforcement | Bonding effect of fiber and cemented backfill interface |
| High-efficiency water-reducing agent | Improved durability | Reducing water content |
Disclaimer/Publisher’s Note: The statements, opinions and data contained in all publications are solely those of the individual author(s) and contributor(s) and not of MDPI and/or the editor(s). MDPI and/or the editor(s) disclaim responsibility for any injury to people or property resulting from any ideas, methods, instructions or products referred to in the content. |
© 2022 by the authors. Licensee MDPI, Basel, Switzerland. This article is an open access article distributed under the terms and conditions of the Creative Commons Attribution (CC BY) license (https://creativecommons.org/licenses/by/4.0/).
Share and Cite
Wang, J.; Xing, M.; Yang, X.; Jiao, H.; Chen, F.; Yang, L.; Yu, J.; Fu, Y. Review on the Influence and Control of Sulfur-Containing Tailings on the Strength of Cemented Backfill in Metal Mines. Buildings 2023, 13, 51. https://doi.org/10.3390/buildings13010051
Wang J, Xing M, Yang X, Jiao H, Chen F, Yang L, Yu J, Fu Y. Review on the Influence and Control of Sulfur-Containing Tailings on the Strength of Cemented Backfill in Metal Mines. Buildings. 2023; 13(1):51. https://doi.org/10.3390/buildings13010051
Chicago/Turabian StyleWang, Jinxing, Menghang Xing, Xiaolin Yang, Huazhe Jiao, Fengbin Chen, Liuhua Yang, Jianxin Yu, and Yu Fu. 2023. "Review on the Influence and Control of Sulfur-Containing Tailings on the Strength of Cemented Backfill in Metal Mines" Buildings 13, no. 1: 51. https://doi.org/10.3390/buildings13010051
APA StyleWang, J., Xing, M., Yang, X., Jiao, H., Chen, F., Yang, L., Yu, J., & Fu, Y. (2023). Review on the Influence and Control of Sulfur-Containing Tailings on the Strength of Cemented Backfill in Metal Mines. Buildings, 13(1), 51. https://doi.org/10.3390/buildings13010051

