Evaluating Human Physiological Parameters and Thermal Responses to Sudden Temperature Change across Different Age-Groups: A Case Study of a Shopping Mall in Shenyang, China
Abstract
:1. Introduction
2. Methods
2.1. Experimental Design and Conditions
2.2. Test Methods and Parameters
2.3. Test Subjects and Clothing Thermal Resistance
2.4. Experimental Procedure
3. Experimental Results and Parameter Selection
3.1. Skin Temperature
3.1.1. Variation Patterns of Mean Skin Temperature
3.1.2. Variation Patterns of Mean Skin Temperatures by Age-Group
3.2. Heart and Breathing Rates
4. Discussion
4.1. Thermal Evaluation Analysis
4.2. Thermal Expectation Analysis
4.3. Relationships between the Objective Parameters and Subjective Evaluation
5. Conclusions
- (1)
- When participants engaged in moderate activity levels entered the hot room following cold exposure, the distribution of the mean body-part skin temperatures was in the order forehead > hand dorsal > front of thigh > thigh > lower leg > ankle > arm > chest.
- (2)
- With the temperature of the cold room remaining unchanged, the greater the temperature difference, the shorter the time required for mean skin temperatures to reach equilibrium. When the temperature difference exceeded 30 °C, the mean skin temperature of the human body required a shorter time to reach a steady state and adapt to the new environment. Among the different age-groups, when entering the cold room from the hot room, the forehead temperatures of the children and middle-aged adult groups dropped most rapidly. After returning to the hot room, the skin temperatures of the children returned to the original levels within the shortest amount of time. Overall, in public places, such as shopping malls, the responses of different age-groups to sudden temperature changes differ. The business directions of shopping malls lack different target consumer groups; therefore, the ideal environmental temperatures differ.
- (3)
- During sudden temperature changes, the HRs of participants varied significantly. Once they had adapted to the environment, participants’ HRs gradually stabilized, with the degree of temperature differences playing a determining role. Under the 24 °C condition, the HR variation of the middle-aged group was significantly higher than that of all other groups, whereas the range of HR variation in the children’s group was larger, indicating that when the temperature differences exceeds 36 °C, age has a certain influence on HR.
- (4)
- Following 30 min of thermal adaptation under the 18 °C condition, the middle-aged group reported a moderate feeling in TCV, but a “slightly warm” feeling in TSV, indicating a preference for a slightly warmer room temperature than other age-groups. For the 24 °C condition, all participants voted for a “warm” feeling in TSV and discomfort in TCV.
Author Contributions
Funding
Institutional Review Board Statement
Informed Consent Statement
Data Availability Statement
Acknowledgments
Conflicts of Interest
Appendix A
| Garment Description | CLO |
|---|---|
| Panties | 0.03 |
| Long underwear top | 0.20 |
| Long-sleeve (thin) | 0.25 |
| Underpants | 0.15 |
| Straight trousers | 0.25 |
| Down coat | 0.55 |
| Socks (thick) | 0.05 |
| Shoes (thick bottom) | 0.04 |
| Gloves and hats | 0.22 |
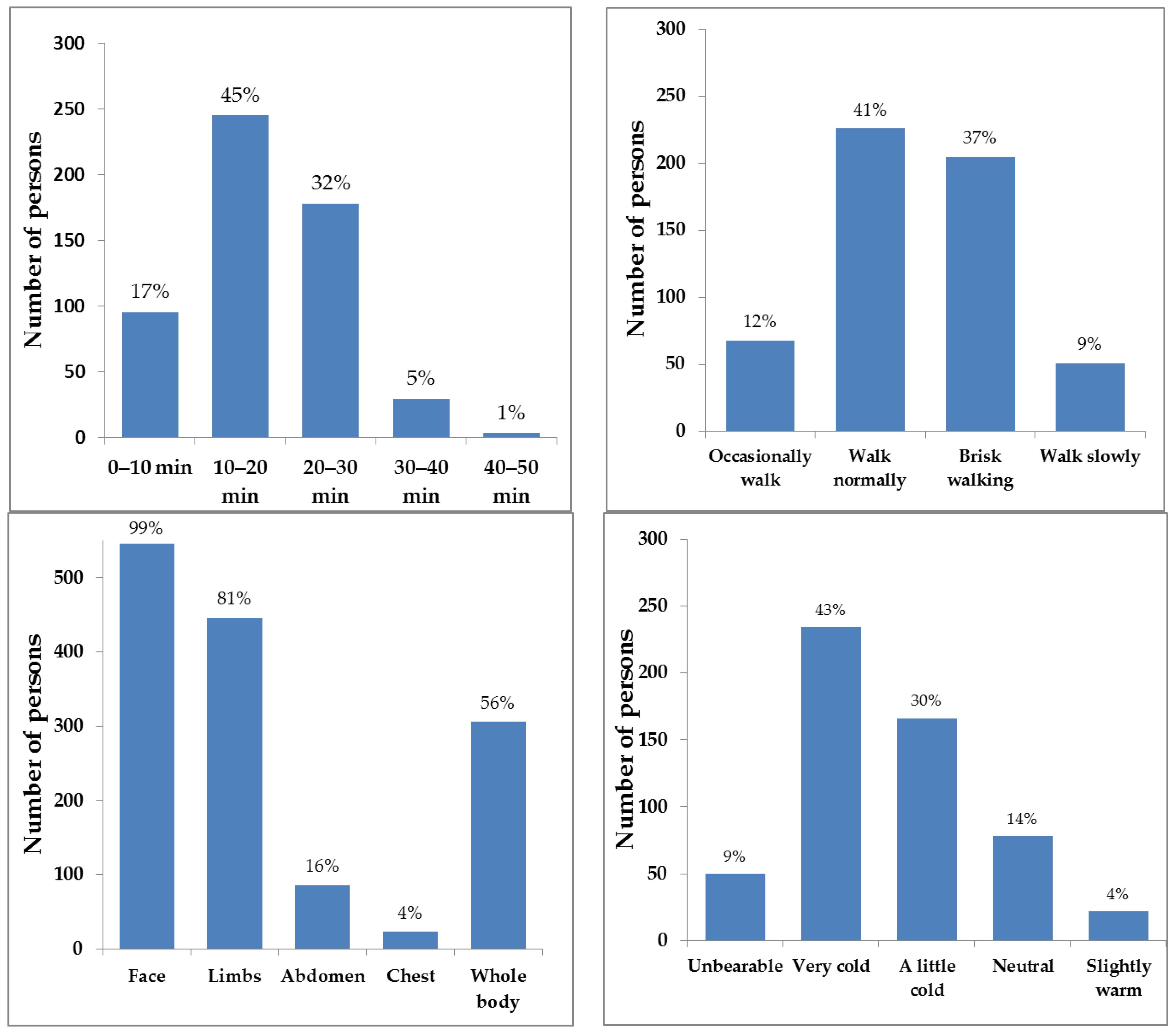
Q. How long have you been outside while filling out this questionnaire?
|
Q. Thirty minutes before starting to fill in this questionnaire, your activity status was
|
Q. Which is the coldest part of your body right now? (multi-choice)
|
Q. How do you feel thermally at the moment?
|
References
- Duan, C.; Ding, X.; Shi, F.; Xiao, X.; Duan, P. PMV-Based Fuzzy Algorithms for Controlling Indoor Temperature. In Proceedings of the 6th IEEE on Industrial Electronics and Applications, Beijing, China, 21–23 June 2011; pp. 1492–1496. [Google Scholar]
- Xiuqian, Y.; Damin, Z. Ergonomics; Beihang University Press: Beijing, China, 2002. [Google Scholar]
- Hensel, H. Thermoreception and Temperature Regulation. In Monographs of the Physiological Society; Academic Press: London, UK, 1981; Volume 38. [Google Scholar]
- Bernard, T.E. Thermal Stress. In Fundamentals of Industrial Hygiene, 5th ed.; National Safety Council: Itasca, IL, USA, 2002; p. 327e56. [Google Scholar]
- Humphreys, J.F. Understanding the Adaptive Approach to Thermal Comfort. ASHRAE Trans. 1998, 104, 991–1004. [Google Scholar]
- Ismail Ahmad, R.; Jusoh, N.; Makhtar, N.K.; Zein, R.M.; Rahman, I.A.; Hassan, N.H.C.; Mohamed, D. Experimental Investigations and Computational Thermal Simulation on Human Thermal Comfort During Performing Office Tasks. J. Phys. Conf. Ser. 2021, 1973, 012076. [Google Scholar] [CrossRef]
- Zhonghua, G.; Wajishani, G.; Lau, S.S.Y. An Investigation of Thermal Comfort and Adaptive Behaviors in Naturally Ventilated Residential Buildings in Tropical Climates: A Pilot Study. Buildings 2018, 8, 5. [Google Scholar]
- Kwon, S.; Lee, Y.; Chun, C. Thermal Comfort in Offices Based on Office Workers’ Awareness of Discomfort. Build. Environ. 2022, 213, 108851. [Google Scholar] [CrossRef]
- Jiansong, W.; Hu, Z.; Han, Z.; Gu, Y.; Yang, L.; Sun, B. Human Physiological Responses of Exposure to Extremely Cold Environments. J. Therm. Biol. 2021, 98, 102933. [Google Scholar] [CrossRef]
- Chen, C.P.; Hwang, R.L.; Chang, S.Y.; Lu, Y.T. Effects of Temperature Steps on Human Skin Physiology and Thermal Sensation Response. Build. Environ. 2011, 46, 2387–2397. [Google Scholar] [CrossRef]
- GB50176-2016; China Academy of Building Research. Thermal Design Code for Civil Building. China Architecture & Building Press: Beijing, China, 2016.
- GB 50189-2015; Ministry of Construction. General Administration of Quality Supervision, Inspection and Quarantine of the People’s Republic of China Design Standard for Energy Efficiency of Public Buildings. Architecture & Building Press: Beijing, China, 2015.
- GB 50736-2016; Ministry of Housing and Urban-Rural Development. Design Code for Heating Ventilation and Air Conditioning of Civil Buildings. China Architecture & Building Press: Beijing, China, 2016.
- GB/T24254-2009; General Administration of Quality Supervision, Inspection and Quarantine of the People’s Republic of China, Textile and Clothing-Determination and Interpretation of Cold Stress when Using Required Clothing Insulation. China Architecture & Building Press: Beijing, China, 2009.
- Ramanathan, N.L. A New Weighting System for Mean Surface Temperature of the Human Body. J. Appl. Physiol. 1964, 19, 531–533. [Google Scholar] [CrossRef] [PubMed]
- GB T 18048-2008; General Administration of Quality Supervision, Inspection and Quarantine of the People’s Republic of China, Ergonomics of the Thermal Environment. Determination of Metabolic rate. Architecture & Building Press: Beijing, China, 2008.
- ASHRAE. Thermal Environmental Condition for Human Occupancy; American Society of Heating, Refrigerating, Air-Conditioning Engineer, Inc.: Atlanta, GA, USA, 2020. [Google Scholar]
- Xiujuan, D. Shallow Discussion on the Impact of Clothing Thermal Resistance on Human Thermal Comfort. Constr. Energy Cons. 2009, 37, 27–29. [Google Scholar]
- Yingxin, Z. Built Environment, 4th ed.; Architecture & Building Press: Beijing, China, 2016. [Google Scholar]
- 2021ASHRAE Handbook Fundamentals; Chapter 9 Thermal Comfort; American Society of Heating, Refrigerating, and Air-Conditioning Engineers: Atlanta, GA, USA, 2021.
- GB/T5701-2008; General Administration of Quality Supervision, Inspection and Quarantine of the People’s Republic of China, Indoor Thermal Environmental Conditions. China Architecture & Building Press: Beijing, China, 2008.
- Juan, Y.; Yingxin, Z.; Yangqin, O.; Guoguang, C.; Xiang, Z. Exploratory Experiment Research of Human Physiological Indices Under Wind Flow. In Proceedings of the National HVAC Refrigeration Annual Conference 2010, Hangzhou, China, 9 November 2010. [Google Scholar]
- Frank, S.M.; Raja, S.N.; Bulcao, C.F.; Goldstein, D.S. Relative Contribution of Core and Cutaneous Temperatures to Thermal Comfort and Autonomic Responses in Humans. J. Appl. Physiol. 1999, 86, 1588–1593. [Google Scholar] [CrossRef] [PubMed]
- Konz, S.A.; Runbai, W. Human and Indoor Environment; Architecture & Building Press: Beijing, China, 1985. [Google Scholar]
- Tochihara, Y.; Ohnaka, T.; Tuzuki, K.; Nagai, Y. Effects of Repeated Exposures to Severely Cold Environments on Thermal Responses of Humans. Ergonomics 2015, 38, 987–995. [Google Scholar] [CrossRef] [PubMed]
- Li, Y.; Alshaer, H.; Fernie, G. Blood Pressure and Thermal Responses to Repeated Whole Body Cold Exposure: Effect of Winter Clothing. Eur. J. Appl. Physiol. 2009, 107, 673–685. [Google Scholar] [CrossRef] [PubMed]
- Fanger, P.O. Thermal Comfort-Analysis and Application in Environment Engineering; Danish Technology Press: Copenhagen, Denmark, 1970. [Google Scholar]
- GB/T18049-2000; General Administration of Quality Supervision, Measurement of PMV and PPD Index in Moderate Thermal Environment and Regulations on Thermal Comfort Conditions. China Architecture & Building Press: Beijing, China, 2000.
- Gagge, A.P.; Stolwijk, J.A.; Hardy, J.D. Comfort and Thermal Sensations and Associate Physiological Responses at Various Ambient Temperatures. Environ. Res. 1967, 1, 1–20. [Google Scholar] [CrossRef]
- Zhu, Y.; Zhao, R. The Prediction of Human Responses to Transient Thermal Environment. In Proceedings of the Tsinghua–HVAC ’95, Beijing, China, September 1995; pp. 92–95. [Google Scholar]















| Condition | Air Temperature of Cold Room | Air Temperature of Hot Room | Temperature Difference |
|---|---|---|---|
| Condition 1 | −12 ± 1 °C | 18 ± 0.5 °C | 30 °C |
| Condition 2 | −12 ± 1 °C | 24 ± 0.5 °C | 36 °C |
| Grade | TSV | TCV |
|---|---|---|
| 3 | Hot | Very comfortable |
| 2 | Warm | Comfortable |
| 1 | Slightly warm | Just comfortable |
| 0 | Neutral | Cannot tell |
| −1 | Slightly cool | Slightly uncomfortable |
| −2 | Cool | Uncomfortable |
| −3 | Cold | Very uncomfortable |
| Grade Definitions in the TSV Scale |
|---|
| Cold |
| Occasional shivers and chills, relying on muscle tremors to warm the body |
| Cool |
| Desire to wear more clothes |
| Slightly cool |
| Feeling cold in the entire body or in some body parts, with no discomfort |
| Neutral |
| Feeling neither hot nor cold |
| Slightly warm |
| Feeling hot and relatively comfortable, without visible sweat |
| Warm |
| Feeling of possible sweating, or desire to remove some clothes for increased comfort |
| Hot |
| Starting to sweat and having a strong desire to remove clothes for comfort |
| Age-Group | Age Partition | Number of People |
|---|---|---|
| Children | 6–12 | 13 |
| Adolescents | 13–18 | 12 |
| Young adults | 19–45 | 13 |
| Middle-aged adults | 45–59 | 12 |
| Condition | Time | RR | ||
|---|---|---|---|---|
| HR | Pearson’s correlation | −0.167 ** | 0.26 | 0.591 ** |
| Significance (two-tailed) | <0.001 | 0.640 | <0.001 | |
| Condition | HR | RR | ||||||
|---|---|---|---|---|---|---|---|---|
| Mean | Standard Deviation | Min | Max | Mean | Standard Deviation | Min | Max | |
| 18 °C | 81.04 | 10.703 | 55 | 117 | 16.72 | 3.372 | 11 | 25 |
| 24 °C | 87.17 | 14.218 | 64 | 141 | 17.29 | 3.172 | 13 | 27 |
| Sum of Squares of Deviations | Mean Square | F | p | ||
|---|---|---|---|---|---|
| HR | Age-group | 464,024.839 | 154,694.946 | 787.637 | <0.001 |
| Error | 3,696,826.559 | 196.379 | --- | --- | |
| RR | Age-group | 43,428.104 | 14,476.035 | 1212.794 | <0.001 |
| Error | 216,771.581 | 11.936 | --- | --- | |
| Initial Stage | Cold Exposure 10 min | Sudden Temperature Change | Thermal Adaptation 10 min | Thermal Adaptation 20 min | Thermal Adaptation 30 min | |
|---|---|---|---|---|---|---|
| Children | 84.41 | 81.32 | 111.82 | 97.30 | 99.64 | 89.55 |
| Adolescents | 88.94 | 77.80 | 105.21 | 95.99 | 91.48 | 91.13 |
| Young adults | 80.35 | 73.60 | 97.51 | 78.15 | 82.90 | 88.05 |
| Middle-aged adults | 80.09 | 70.69 | 98.43 | 86.21 | 81.34 | 86.31 |
Publisher’s Note: MDPI stays neutral with regard to jurisdictional claims in published maps and institutional affiliations. |
© 2022 by the authors. Licensee MDPI, Basel, Switzerland. This article is an open access article distributed under the terms and conditions of the Creative Commons Attribution (CC BY) license (https://creativecommons.org/licenses/by/4.0/).
Share and Cite
Si, X.; Zhang, J.; Ma, M. Evaluating Human Physiological Parameters and Thermal Responses to Sudden Temperature Change across Different Age-Groups: A Case Study of a Shopping Mall in Shenyang, China. Buildings 2022, 12, 1384. https://doi.org/10.3390/buildings12091384
Si X, Zhang J, Ma M. Evaluating Human Physiological Parameters and Thermal Responses to Sudden Temperature Change across Different Age-Groups: A Case Study of a Shopping Mall in Shenyang, China. Buildings. 2022; 12(9):1384. https://doi.org/10.3390/buildings12091384
Chicago/Turabian StyleSi, Xiaomeng, Jiuhong Zhang, and Mingxiao Ma. 2022. "Evaluating Human Physiological Parameters and Thermal Responses to Sudden Temperature Change across Different Age-Groups: A Case Study of a Shopping Mall in Shenyang, China" Buildings 12, no. 9: 1384. https://doi.org/10.3390/buildings12091384
APA StyleSi, X., Zhang, J., & Ma, M. (2022). Evaluating Human Physiological Parameters and Thermal Responses to Sudden Temperature Change across Different Age-Groups: A Case Study of a Shopping Mall in Shenyang, China. Buildings, 12(9), 1384. https://doi.org/10.3390/buildings12091384
