Numerical Investigations on Axial Compressive Behavior of Opening Cold-Formed Thin-Wall C-Steel Combined Double-Limb Column
Abstract
:1. Introduction
2. Numerical Simulations on C-Steel Combined I-Section Columns
2.1. Finite Element Models
2.2. Finite Element Model Validations
3. Parametric Analyses on C-Steel Combined I-Section Columns
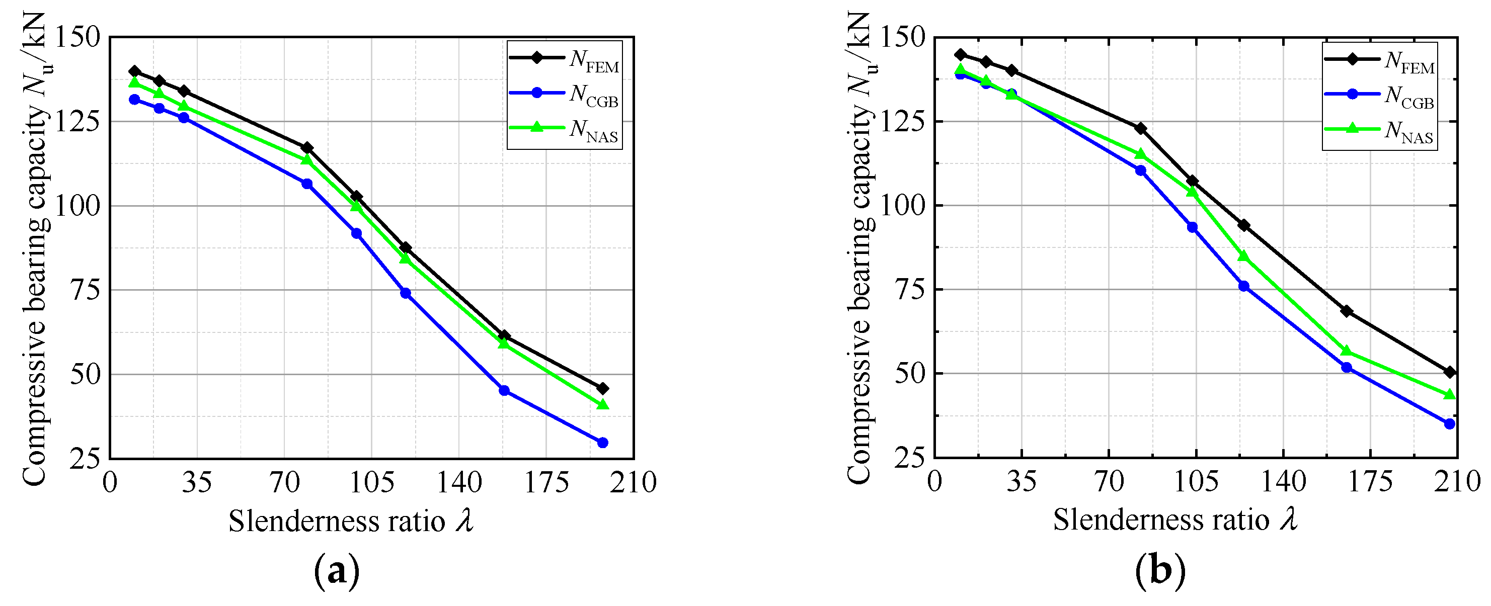
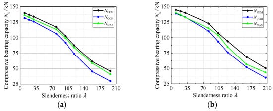
3.1. Effects of Slenderness Ratio
3.2. Effects of Height to Thickness Ratio of Web
3.3. Effects of Width to Thickness Ratio of Flange
3.4. Effects of Bolt Spacing
3.5. Effects of Opening in the Web
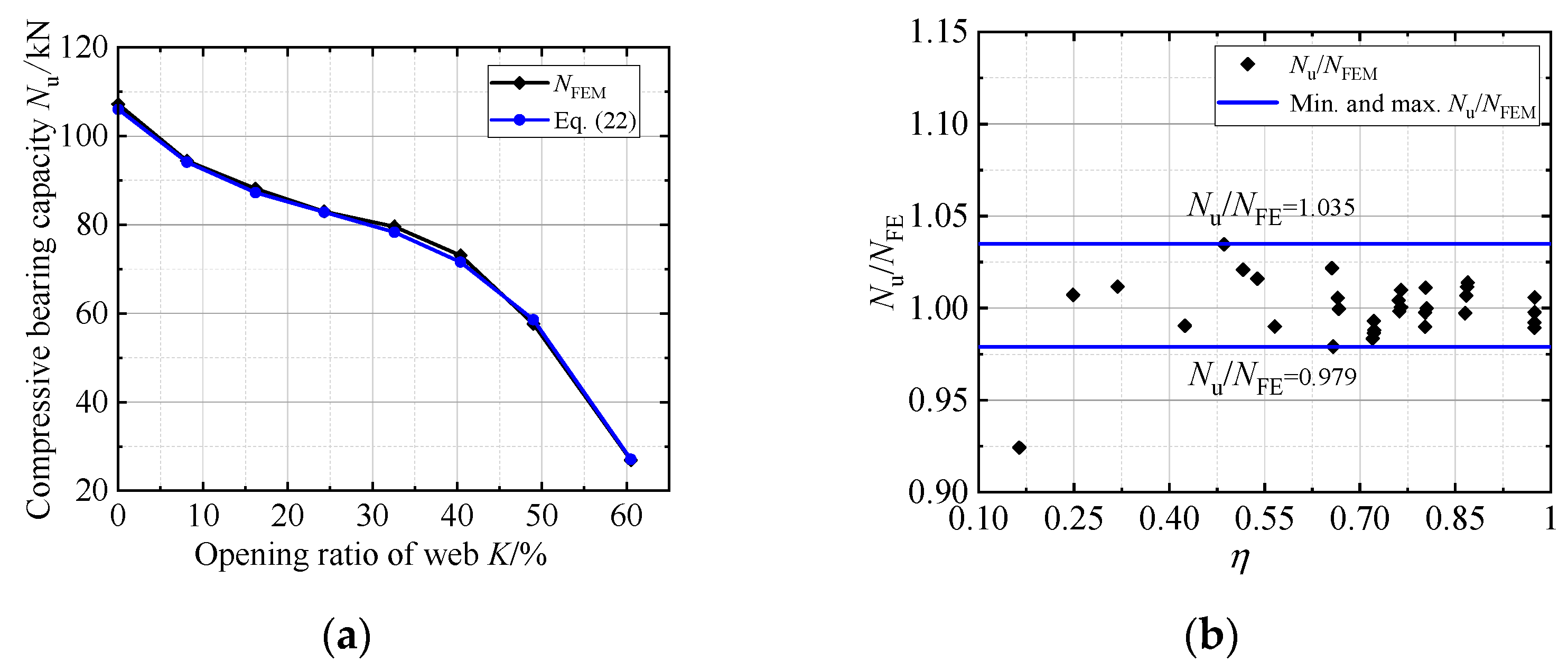
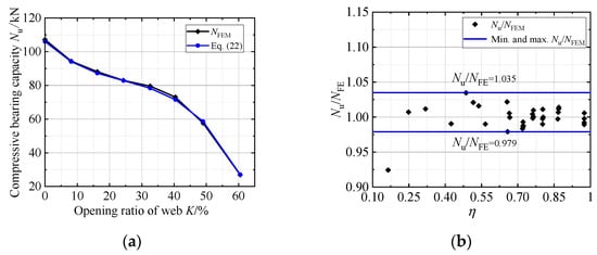
3.5.1. Effects of Opening Ratio of the Web
3.5.2. Effects of Opening Spacing
4. Formulas for Ultimate Compressive Bearing Capacity
4.1. Formulas in Standards
4.1.1. Formulas in Chinese GB 50018 Standard
4.1.2. Formulas in AISI S100-2016 Standard
4.2. Comparisons between the Results of Numerical Analyses and Standards
4.3. Proposed Formulas for Compressive Bearing Capacity of C-Steel Combined I-Section Column
4.3.1. Combined Column without Opening
4.3.2. Combined Column with Openings
5. Conclusions and Future Work
- (1)
- The slenderness ratio has the most significant effect on the ultimate compressive bearing capacity of the combined column. With the increase in the height to thickness ratio and width to thickness ratio, the bearing capacity increases. The bolt spacing has less effect on the bearing capacity.
- (2)
- The openings in the web decrease the ultimate compressive bearing capacity of the combined column. The opening in the web should be considered.
- (3)
- The proposed formulas in this paper can predict the ultimate compressive bearing capacity of the combined columns with or without opening. The accuracy of the proposed formulas is higher than those of the Chinese and AISI S100 standard.
Author Contributions
Funding
Institutional Review Board Statement
Informed Consent Statement
Data Availability Statement
Conflicts of Interest
Appendix A. Comparisons of the Bearing Capacities between Numerical Analyses and Standards
| λy | NFEM/kN | NCGB/kN | NNAS/kN | NCGB/NFEM | NNAS/NFEM | |
|---|---|---|---|---|---|---|
| C90-40-15-1.5-300 | 9.9 | 139.8 | 131.5 | 136.3 | 0.941 | 0.975 |
| C90-40-15-1.5-600 | 19.8 | 137 | 128.9 | 133.1 | 0.941 | 0.971 |
| C90-40-15-1.5-900 | 29.7 | 134 | 126.1 | 129.4 | 0.941 | 0.966 |
| C90-40-15-1.5-1200 | 79.1 | 117.1 | 106.5 | 113.4 | 0.909 | 0.968 |
| C90-40-15-1.5-1500 | 98.9 | 102.7 | 91.8 | 99.6 | 0.894 | 0.970 |
| C90-40-15-1.5-1800 | 118.6 | 87.5 | 74.1 | 84.1 | 0.847 | 0.961 |
| C90-40-15-1.5-2400 | 158.2 | 61.4 | 45.2 | 58.8 | 0.736 | 0.957 |
| C90-40-15-1.5-3000 | 197.7 | 45.8 | 29.7 | 40.7 | 0.648 | 0.890 |
| C120-40-15-1.5-300 | 10.1 | 142.6 | 136.2 | 139.6 | 0.955 | 0.979 |
| C120-40-15-1.5-600 | 20.3 | 140.7 | 133.4 | 136.2 | 0.948 | 0.968 |
| C120-40-15-1.5-900 | 30.4 | 137.9 | 130.5 | 132.3 | 0.946 | 0.959 |
| C120-40-15-1.5-1200 | 81.1 | 120.6 | 109.1 | 114.3 | 0.905 | 0.948 |
| C120-40-15-1.5-1500 | 101.4 | 105.8 | 93.2 | 101.7 | 0.881 | 0.961 |
| C120-40-15-1.5-1800 | 121.7 | 91.6 | 76.0 | 87.3 | 0.830 | 0.953 |
| C120-40-15-1.5-2400 | 162.3 | 65.7 | 50.4 | 60.2 | 0.767 | 0.917 |
| C120-40-15-1.5-3000 | 202.8 | 48.9 | 33.2 | 41.4 | 0.679 | 0.847 |
| C140-40-15-1.5-300 | 10.4 | 144.8 | 139.0 | 140.2 | 0.960 | 0.968 |
| C140-40-15-1.5-600 | 20.7 | 142.6 | 136.2 | 136.8 | 0.955 | 0.959 |
| C140-40-15-1.5-900 | 31.0 | 140.1 | 133.1 | 132.7 | 0.950 | 0.948 |
| C140-40-15-1.5-1200 | 82.8 | 122.9 | 110.4 | 115.1 | 0.898 | 0.937 |
| C140-40-15-1.5-1500 | 103.5 | 107.2 | 93.5 | 103.8 | 0.872 | 0.968 |
| C140-40-15-1.5-1800 | 124.2 | 94.1 | 76.0 | 84.7 | 0.808 | 0.900 |
| C140-40-15-1.5-2400 | 165.5 | 68.6 | 51.8 | 56.5 | 0.755 | 0.823 |
| C140-40-15-1.5-3000 | 206.9 | 50.4 | 35.0 | 43.5 | 0.694 | 0.864 |
| C160-40-15-1.5-300 | 10.6 | 146.7 | 137.5 | 142.4 | 0.937 | 0.971 |
| C160-40-15-1.5-600 | 21.1 | 144.5 | 135.4 | 141.3 | 0.937 | 0.978 |
| C160-40-15-1.5-900 | 31.7 | 142 | 133.0 | 137.0 | 0.937 | 0.965 |
| C160-40-15-1.5-1200 | 84.5 | 125.7 | 111.9 | 119.9 | 0.890 | 0.954 |
| C160-40-15-1.5-1500 | 105.7 | 109.5 | 93.9 | 96.0 | 0.858 | 0.877 |
| C160-40-15-1.5-1800 | 126.8 | 98 | 76.0 | 81.0 | 0.776 | 0.827 |
| C160-40-15-1.5-2400 | 169.1 | 69.2 | 51.7 | 67.0 | 0.747 | 0.969 |
| C160-40-15-1.5-3000 | 209.3 | 54.7 | 36.6 | 51.6 | 0.669 | 0.944 |
| C92.8-41.8-14.8-1.19-270 | 8.5 | 133.6 | 118.0 | 125.6 | 0.883 | 0.940 |
| C93.8-41.8-14.7-1.19-270 | 8.5 | 133.5 | 117.9 | 124.9 | 0.883 | 0.936 |
| C93.5-41.5-15-1.18-1533 | 96.5 | 102.3 | 84.5 | 97.6 | 0.826 | 0.954 |
| C92.5-42-14.5-1.2-1531 | 95.7 | 106.7 | 84.6 | 98.1 | 0.793 | 0.919 |
| C91.8-43.2-14.4-1.19-3033 | 184.6 | 44.5 | 32.7 | 40.8 | 0.734 | 0.916 |
| C92.8-40.2-15-1.18-3038 | 197.2 | 44.9 | 28.0 | 41.3 | 0.624 | 0.920 |
| C142.7-42.9-15.1-1.47-451 | 14.5 | 142.7 | 134.4 | 140.3 | 0.942 | 0.983 |
| C144.2-42.8-14.8-1.48-451 | 14.6 | 143.1 | 135.0 | 137.1 | 0.943 | 0.958 |
| C142-42.5-15.5-1.48-1532 | 98.8 | 106.2 | 97.8 | 102.7 | 0.921 | 0.967 |
| C142-42-15-1.48-1533 | 100.7 | 105.1 | 95.2 | 102.2 | 0.906 | 0.972 |
| C140.8-42-15.5-1.49-3034 | 198.0 | 48 | 33.8 | 43.7 | 0.704 | 0.910 |
| C141.5-42.3-16-1.47-3033 | 195.4 | 47.7 | 33.6 | 42.9 | 0.705 | 0.899 |
| Mean value | -- | -- | -- | -- | 0.847 | 0.939 |
| Variance | -- | -- | -- | -- | 0.101 | 0.041 |
Appendix B. Correction Factors of Compression Stability Factor
| λy | A/mm2 | Ae/mm2 | φFEM | φ | ξ | |
|---|---|---|---|---|---|---|
| C90-40-15-1.5-300 | 9.9 | 562.2 | 442.3 | 0.974 | 1.035 | 1.063 |
| C90-40-15-1.5-600 | 19.8 | 562.2 | 445.7 | 0.947 | 1.007 | 1.063 |
| C90-40-15-1.5-900 | 29.7 | 562.2 | 449.5 | 0.919 | 0.976 | 1.062 |
| C90-40-15-1.5-1200 | 79.1 | 562.2 | 479.9 | 0.726 | 0.799 | 1.100 |
| C90-40-15-1.5-1500 | 98.9 | 562.2 | 504.7 | 0.595 | 0.666 | 1.119 |
| C90-40-15-1.5-1800 | 118.6 | 562.2 | 529.2 | 0.459 | 0.541 | 1.180 |
| C90-40-15-1.5-2400 | 158.2 | 562.2 | 529.5 | 0.279 | 0.380 | 1.360 |
| C90-40-15-1.5-3000 | 197.7 | 562.2 | 529.5 | 0.184 | 0.283 | 1.540 |
| C120-40-15-1.5-300 | 10.1 | 652.2 | 458.2 | 0.973 | 1.019 | 1.047 |
| C120-40-15-1.5-600 | 20.3 | 652.2 | 461.9 | 0.946 | 0.997 | 1.054 |
| C120-40-15-1.5-900 | 30.4 | 652.2 | 466.0 | 0.917 | 0.969 | 1.057 |
| C120-40-15-1.5-1200 | 81.1 | 652.2 | 499.9 | 0.715 | 0.790 | 1.105 |
| C120-40-15-1.5-1500 | 101.4 | 652.2 | 529.6 | 0.576 | 0.654 | 1.135 |
| C120-40-15-1.5-1800 | 121.7 | 652.2 | 564.7 | 0.440 | 0.531 | 1.206 |
| C120-40-15-1.5-2400 | 162.3 | 652.2 | 619.5 | 0.267 | 0.347 | 1.303 |
| C120-40-15-1.5-3000 | 202.8 | 652.2 | 619.5 | 0.175 | 0.258 | 1.475 |
| C140-40-15-1.5-300 | 10.4 | 712.2 | 468.1 | 0.973 | 1.013 | 1.042 |
| C140-40-15-1.5-600 | 20.7 | 712.2 | 472.0 | 0.945 | 0.989 | 1.047 |
| C140-40-15-1.5-900 | 31.0 | 712.2 | 476.3 | 0.915 | 0.963 | 1.053 |
| C140-40-15-1.5-1200 | 82.8 | 712.2 | 513.0 | 0.705 | 0.784 | 1.113 |
| C140-40-15-1.5-1500 | 103.5 | 712.2 | 545.9 | 0.561 | 0.643 | 1.146 |
| C140-40-15-1.5-1800 | 124.2 | 712.2 | 583.4 | 0.426 | 0.528 | 1.239 |
| C140-40-15-1.5-2400 | 165.5 | 712.2 | 659.8 | 0.257 | 0.340 | 1.325 |
| C140-40-15-1.5-3000 | 206.9 | 712.2 | 679.5 | 0.169 | 0.243 | 1.440 |
| C160-40-15-1.5-300 | 10.6 | 772.2 | 463.3 | 0.972 | 1.037 | 1.067 |
| C160-40-15-1.5-600 | 21.1 | 772.2 | 469.8 | 0.944 | 1.007 | 1.067 |
| C160-40-15-1.5-900 | 31.7 | 772.2 | 477.2 | 0.913 | 0.974 | 1.068 |
| C160-40-15-1.5-1200 | 84.5 | 772.2 | 527.7 | 0.694 | 0.780 | 1.123 |
| C160-40-15-1.5-1500 | 105.7 | 772.2 | 564.1 | 0.545 | 0.636 | 1.166 |
| C160-40-15-1.5-1800 | 126.8 | 772.2 | 604.2 | 0.412 | 0.531 | 1.290 |
| C160-40-15-1.5-2400 | 169.1 | 772.2 | 684.9 | 0.247 | 0.331 | 1.339 |
| C160-40-15-1.5-3000 | 209.3 | 772.2 | 739.5 | 0.162 | 0.242 | 1.496 |
| C92.8-41.8-14.8-1.19-270 | 8.5 | 466.5 | 318.7 | 0.978 | 1.107 | 1.132 |
| C93.8-41.8-14.7-1.19-270 | 8.5 | 468.4 | 318.5 | 0.978 | 1.107 | 1.132 |
| C93.5-41.5-15-1.18-1533 | 96.5 | 464.0 | 359.5 | 0.770 | 0.932 | 1.211 |
| C92.5-42-14.5-1.2-1531 | 95.7 | 469.0 | 361.5 | 0.767 | 0.967 | 1.261 |
| C91.8-43.2-14.4-1.19-3033 | 184.6 | 468.9 | 436.7 | 0.245 | 0.334 | 1.363 |
| C92.8-40.2-15-1.18-3038 | 197.2 | 456.2 | 424.1 | 0.216 | 0.347 | 1.603 |
| C142.7-42.9-15.1-1.47-451 | 14.5 | 724.3 | 457.8 | 0.962 | 1.021 | 1.061 |
| C144.2-42.8-14.8-1.48-451 | 14.6 | 731.1 | 459.8 | 0.961 | 1.019 | 1.060 |
| C142-42.5-15.5-1.48-1532 | 98.8 | 726.9 | 537.7 | 0.596 | 0.647 | 1.086 |
| C142-42-15-1.48-1533 | 100.7 | 721.0 | 535.6 | 0.582 | 0.642 | 1.104 |
| C140.8-42-15.5-1.49-3034 | 198.0 | 725.0 | 692.3 | 0.160 | 0.227 | 1.420 |
| C141.5-42.3-16-1.47-3033 | 195.4 | 722.5 | 689.7 | 0.160 | 0.226 | 1.418 |
| λy | Opening Ratio K/% | NFEM | Nu | η | |
|---|---|---|---|---|---|
| C140-40-15-1.5-300-K0% | 10.4 | 0.0 | 144.8 | 148.2 | 0.977 |
| C140-40-15-1.5-300-K7.7% | 10.4 | 7.7 | 127.1 | 148.2 | 0.858 |
| C140-40-15-1.5-300-K15.7% | 10.4 | 15.7 | 119.3 | 148.2 | 0.805 |
| C140-40-15-1.5-300-K23.7% | 10.4 | 23.7 | 113.2 | 148.2 | 0.764 |
| C140-40-15-1.5-300-K32.2% | 10.4 | 32.2 | 108.3 | 148.2 | 0.731 |
| C140-40-15-1.5-300-K39.7% | 10.4 | 39.7 | 98.0 | 148.2 | 0.661 |
| C140-40-15-1.5-300-K47.4% | 10.4 | 47.4 | 84.7 | 148.2 | 0.572 |
| C140-40-15-1.5-300-K54.4% | 10.4 | 54.4 | 63.5 | 148.2 | 0.429 |
| C140-40-15-1.5-900-K0% | 31.0 | 0.0 | 140.1 | 142.6 | 0.982 |
| C140-40-15-1.5-900-K7.8% | 31.0 | 7.8 | 122.4 | 142.6 | 0.859 |
| C140-40-15-1.5-900-K16% | 31.0 | 16.0 | 113.3 | 142.6 | 0.794 |
| C140-40-15-1.5-900-K23.7% | 31.0 | 23.7 | 108.0 | 142.6 | 0.757 |
| C140-40-15-1.5-900-K32.3% | 31.0 | 32.3 | 104.3 | 142.6 | 0.732 |
| C140-40-15-1.5-900-K40.6% | 31.0 | 40.6 | 91.5 | 142.6 | 0.642 |
| C140-40-15-1.5-900-K50.2% | 31.0 | 50.2 | 72.1 | 142.6 | 0.506 |
| C140-40-15-1.5-900-K58.3% | 31.0 | 58.3 | 44.9 | 142.6 | 0.315 |
| C140-40-15-1.5-1500-K0% | 103.5 | 0.0 | 107.2 | 108.8 | 0.985 |
| C140-40-15-1.5-1500-K8.1% | 103.5 | 8.1 | 94.4 | 108.8 | 0.868 |
| C140-40-15-1.5-1500-K16.2% | 103.5 | 16.2 | 88.2 | 108.8 | 0.810 |
| C140-40-15-1.5-1500-K24.3% | 103.5 | 24.3 | 83.0 | 108.8 | 0.763 |
| C140-40-15-1.5-1500-K32.6% | 103.5 | 32.6 | 79.6 | 108.8 | 0.732 |
| C140-40-15-1.5-1500-K40.4% | 103.5 | 40.4 | 73.1 | 108.8 | 0.672 |
| C140-40-15-1.5-1500-K49% | 103.5 | 49.0 | 57.7 | 108.8 | 0.530 |
| C140-40-15-1.5-1500-K60.5% | 103.5 | 60.5 | 26.9 | 108.8 | 0.247 |
| C140-40-15-1.5-3000-K0% | 206.9 | 0.0 | 50.4 | 52.0 | 0.969 |
| C140-40-15-1.5-3000-K7.9% | 206.9 | 7.9 | 44.8 | 52.0 | 0.862 |
| C140-40-15-1.5-3000-K16.1% | 206.9 | 16.1 | 41.8 | 52.0 | 0.805 |
| C140-40-15-1.5-3000-K24.5% | 206.9 | 24.5 | 39.4 | 52.0 | 0.758 |
| C140-40-15-1.5-3000-K32.3% | 206.9 | 32.3 | 37.8 | 52.0 | 0.727 |
| C140-40-15-1.5-3000-K39.5% | 206.9 | 39.5 | 34.7 | 52.0 | 0.667 |
| C140-40-15-1.5-3000-K51.7% | 206.9 | 51.7 | 24.4 | 52.0 | 0.470 |
| C140-40-15-1.5-3000-K62.9% | 206.9 | 62.9 | 9.2 | 52.0 | 0.178 |
References
- Ding, F.X.; Ding, H.; He, C.; Wang, L.P.; Lyu, F. Method for flexural stiffness of steel-concrete composite beams based on stiffness combination coefficients. Comput. Concr. 2022, 29, 127–144. [Google Scholar]
- He, C.; Xie, Q.; Jiang, L.Z.; Jiang, L.Q. Seismic terminal displacement of UHV post electrical equipment considering flange rotational stiffness. J. Constr. Steel Res. 2021, 183, 106701. [Google Scholar] [CrossRef]
- He, C.; Wei, M.M.; Xie, Q.; Jiang, L.Z. Seismic responses of bundled conductor interconnected electrical equipment. Structures 2021, 33, 3107–3121. [Google Scholar] [CrossRef]
- Hu, Y.; Jiang, L.Q.; Ye, J.H.; Zhang, X.; Jiang, L.Z. Seismic responses and damage assessment of a mid-rise cold-formed steel building under far-fault and near-fault ground motions. Thin Walled Struct. 2021, 163, 107690. [Google Scholar] [CrossRef]
- Abou-Rayan, A.; Khalil, N.; Youssef, A.; Eldeib, M. Flexural Behavior of Encased Beam Flat or Perforated steel Cold Formed Sections. Int. J. Steel Struct. 2021, 21, 1465–1477. [Google Scholar] [CrossRef]
- Zhang, J.F.; Li, B.; Li, A.Q.; Pang, S.Y. Critical stress determination of local and distortional buckling of lipped angle columns under axial compression. Buildings 2022, 12, 712. [Google Scholar] [CrossRef]
- Thirunavukkarasu, K.; Kanthasamy, E.; Gatheeshgar, P.; Poologanathan, K.; Rajanayagam, H.; Suntharalingam, T.; Dissanayake, M. Sustainable performance of a modular building system made of built-up cold-formed steel beams. Buildings 2021, 11, 460. [Google Scholar] [CrossRef]
- Dar, M.A.; Yusuf, M.; Dar, A.R.; Raju, J. Experimental study on innovative sections for cold formed steel beams. Steel Compos. Struct. 2015, 19, 1599–1610. [Google Scholar] [CrossRef]
- Shaker, F.M.F.; Mamdooh, Z.; Deifalla, A.; Yehia, M.M. Experimental investigations of the behavior of stiffened perforated cold-formed steel sections subjected to axial compression. Buildings 2022, 12, 812. [Google Scholar] [CrossRef]
- Jiang, L.Q.; Yu, K.; Ye, J.H.; Hu, Y.; Jiang, L.Z. Seismic Damage Assessment and Shaking-Table Test Validation of Midrise Cold-Formed Steel Composite Shear Wall Buildings. J. Struct. Eng. 2022, 148, 04022093. [Google Scholar] [CrossRef]
- Jiang, L.Q.; Ye, J.H. Quantifying the effects of various uncertainties on seismic risk assessment of CFS structures. Bull. Earthq. Eng. 2019, 18, 241–272. [Google Scholar] [CrossRef]
- Jiang, L.Q.; Ye, J.H. Redundancy of a mid-rise CFS composite shear wall building based on seismic response sensitivity analysis. Eng. Struct. 2019, 200, 109647. [Google Scholar] [CrossRef]
- Zhou, X.H. Research progress on cold-formed steel structural framing. Steel Constr. 2020, 35, 1–19. [Google Scholar]
- Li, Y.Q.; Li, Y.L.; Wang, S.K.; Shen, Z.Y. Investigation on ultimate capacity of built-up columns with double channel sections under axial compression. J. Build. Struct. 2014, 35, 104–113. [Google Scholar] [CrossRef]
- Chen, M.; Huang, J.H.; Zhao, G.T. Research progress of compound section cold-formed thin-wall steel structures. Eng. Mech. 2016, 33, 1–11. [Google Scholar] [CrossRef]
- Bae, S.-W.; Laboube, R.A.; Belarbi, A.; Ayoub, A. Progressive collapse of cold-formed steel framed structures. Thin Walled Struct. 2008, 46, 706–719. [Google Scholar] [CrossRef]
- Whittle, J.; Ramseyer, C. Buckling capacities of axially loaded, cold-formed, built-up C-channels. Thin Walled Struct. 2009, 47, 190–201. [Google Scholar] [CrossRef]
- Zhou, X.H.; Li, Z.; Liu, Y.J.; Shi, Y. Calculation method for bearing capacity of cold-formed steel built-up columns under axial compression. J. Archit. Civil. Eng. 2012, 29, 1–6. [Google Scholar]
- Chen, M.; Sun, F.F.; Sun, Y. Analysis on load-carring behavior of axial compression short column with double cold-formed C steel. Constr. Technol. 2012, 41, 684–686. [Google Scholar]
- Chen, M.; Bian, W.; Sun, F.F.; Chen, Y. Analysis on load-carrying behavior of axial compression short column with gusset plate between double back-to-back C steel. Build. Struct. 2013, 43, 1447–1450. [Google Scholar]
- Chen, M.; Lu, W.W.; Liu, K. Aanlysis of bearing capacity of double cold-formed thin-walled C steel back-to-back composite column with plate coupled. Ind. Constr. 2014, 44, 124–127. [Google Scholar]
- Li, Y.Q.; Li, Y.L.; Wang, S.K.; Shen, Z.Y. Ultimate load-carrying capacity of cold-formed thin-walled columns with built-up box and I section under axial compression. Thin Walled Struct. 2014, 79, 202–217. [Google Scholar] [CrossRef]
- Dabaon, M.; Ellobody, E.; Ramzy, K. Experimental investigation of built-up cold-formed steel section battened columns. Thin Walled Struct. 2015, 92, 137–145. [Google Scholar] [CrossRef]
- Dabaon, M.; Ellobody, E.; Ramzy, K. Nonlinear behaviour of built-up cold-formed steel section battened columns. J. Constr. Steel Res. 2015, 110, 16–28. [Google Scholar] [CrossRef]
- Abbasi, M.; Khezri, M.; Rasmussen, K.J.R.; Schafer, B.W. Elastic buckling analysis of cold-formed steel built-up sections with discrete fasteners using the compound strip method. Thin Walled Struct. 2018, 124, 58–71. [Google Scholar] [CrossRef]
- Rahnavard, R.; Craveiro, H.D.; Laím, L.; Simões, R.A.; Napolitano, R. Numerical investigation on the composite action of cold-formed steel built-up battened columns. Thin Walled Struct. 2021, 162, 107553. [Google Scholar] [CrossRef]
- Zhou, T.H.; Wang, L.; Wang, Q. Experimental research on bearing capacity of cold-formed steel double-shaft built-up long columns. The 6th National Civil Engineering Graduate Academic Forum; Atlantis Press: Amsterdam, The Netherlands, 2008; p. 65. [Google Scholar]
- Zhou, T.H.; Nie, S.F.; Liu, X.B. Experimental study on cold-formed steel three limbs built-up section members under axial compression. J. Build. Struct. 2012, 33, 22–29. [Google Scholar]
- Zhou, T.H.; Yang, D.H.; Nie, S.F.; Wu, H.H. Experimental study and numerical analysis of the behavior of cold-formed steel quadruple-C built-up section members under axial compression. China Civ. Eng. J. 2012, 45, 77–85. [Google Scholar]
- Zhou, T.H.; Li, Y.C.; Wu, H.H.; Lu, Y.; Ren, L. Analysis to determine flexural buckling of cold-formed steel built-up back-to-back section columns. J. Constr. Steel Res. 2020, 166, 105898. [Google Scholar] [CrossRef]
- Stone, T.A.; Laboube, R.A. Behavior of cold-formed steel built-up I-sections. Thin Walled Struct. 2005, 43, 1805–1817. [Google Scholar] [CrossRef]
- Yao, X.Y.; Li, X. Tests and direct strength method on the distortional buckling and interactive buckling of cold-formed thin-walled steel built-up I-section columns under axial compression. Prog. Steel Build. Struct. 2021, 23, 33–46. [Google Scholar]
- Fratamico, D.C.; Torabian, S.; Zhao, X.; Rasmussen, K.J.; Schafer, B.W. Experimental study on the composite action in sheathed and bare built-up cold-formed steel columns. Thin Walled Struct. 2018, 127, 290–305. [Google Scholar] [CrossRef]
- Fratamico, D.C.; Torabian, S.; Zhao, X.; Rasmussen, K.J.; Schafer, B.W. Experiments on the global buckling and collapse of built-up cold-formed steel columns. J. Constr. Steel Res. 2018, 144, 65–80. [Google Scholar] [CrossRef]
- Southwell, R.V. On the analysis of experimental observations in problems of elastic stability. Proc. R. Soc. Lond. 1932, 135, 601–616. [Google Scholar] [CrossRef]
- Roy, K.; Ting, T.C.H.; Lau, H.H.; Lim, J.B. Effect of thickness on the behaviour of axially loaded back-to-back cold-formed steel built-up channel sections-Experimental and numerical investigation. Structures 2018, 16, 327–346. [Google Scholar] [CrossRef]
- Roy, K.; Ting, T.C.H.; Lau, H.H.; Lim, J.B. Nonlinear behaviour of back-to-back gapped built-up cold-formed steel channel sections under compression. J. Constr. Steel Res. 2018, 147, 257–276. [Google Scholar] [CrossRef]
- Barszcz, A.M.; Giżejowski, M.A.; Stachura, Z. On elastic lateral-torsional buckling analysis of simply supported I-shape beams using Timoshenko’s energy method. In Modern Trends in Research on Steel, Aluminium and Composite Structures; Routledge: Leiden, The Netherlands, 2021; pp. 92–98. [Google Scholar]
- Kuś, J.; Maleska, T. Lateral torsional buckling of tapered steel I-beams with stiffner ribs. In Modern Trends in Research on Steel, Aluminium and Composite Structures; Giżejowski, M.A., Kozłowski, A., Chybiński, M., Rzeszut, K., Studziński, R., Szumigała, M., Eds.; Routledge: Leiden, The Netherlands, 2021; pp. 428–434. [Google Scholar]
- Trahair, N.S. Bending and buckling of tapered steel beam structures. Eng. Struct. 2014, 59, 229–237. [Google Scholar] [CrossRef]
- Tankova, T.; Martins, J.P.; da Silva, L.S.; Simões, R.; Craveiro, H.D. Experimental buckling behaviour of web tapered I-section steel columns. J. Constr. Steel Res. 2018, 147, 293–312. [Google Scholar] [CrossRef]
- Ansys® Academic Research Mechanical, Release 19.0, Help System, Coupled Field Analysis Guide; ANSYS, Inc.: Canonsburg, PA, USA, 2018.
- Lu, Y.; Zhou, T.H.; Li, W.C.; Wu, H. Experimental investigation and a novel direct strength method for cold-formed built-up I-section columns. Thin Walled Struct. 2017, 112, 125–139. [Google Scholar] [CrossRef] [Green Version]
- GB 50017–2017; Ministry of Housing and Urban-Rural Development of the People’s Republic of China. Standard for design of steel structures. Architecture and Building Press: Beijing, China, 2017.
- Li, Y.C.; Zhou, T.H.; Ding, J.H.; Li, C.Y.; Zhang, X.C. Investigation on distortion buckling behavior of cold-formed thin-walled steel built-up box-section columns. J. Hunan Univ. Nat. Sci. 2021, 48, 10–21. [Google Scholar]
- GB 50018–2002; Ministry of Housing and Urban-Rural Development of the People’s Republic of China. Technical Code of Cold-Formed Thin-Wall Structures. Planing Press: Beijing, China, 2002.
- AISI-S100–16; AISI. North American Specification for the Design of Cold-Formed Steel Structural Members. American Iron and Steel Institute: Washington, DC, USA, 2016.



























| L/mm | h/mm | b/mm | c/mm | t/mm | δ0/mm | λy | A/mm2 | |
|---|---|---|---|---|---|---|---|---|
| SC-90-A1 | 270 | 92.8 | 41.8 | 14.8 | 1.19 | 0.412 | 8.45 | 466.5 |
| SC-90-A2 | 270 | 93.8 | 41.8 | 14.7 | 1.19 | 0.521 | 8.47 | 468.4 |
| MC-90-A1 | 1533 | 93.5 | 41.5 | 15.0 | 1.18 | 0.565 | 96.51 | 464.0 |
| MC-90-A2 | 1531 | 92.5 | 42.0 | 14.5 | 1.20 | 0.433 | 95.73 | 469.0 |
| LC-90-A1 | 3033 | 91.8 | 43.2 | 14.4 | 1.19 | 0.521 | 184.56 | 468.9 |
| LC-90-A2 | 3038 | 92.8 | 40.2 | 15.0 | 1.18 | 0.374 | 197.15 | 456.2 |
| SC-140-A1 | 451 | 142.7 | 42.9 | 15.1 | 1.47 | 0.646 | 14.47 | 724.3 |
| SC-140-A2 | 451 | 144.2 | 42.8 | 14.8 | 1.48 | 0.535 | 14.59 | 731.1 |
| MC-140-A1 | 1532 | 142.0 | 42.5 | 15.5 | 1.48 | 0.652 | 98.82 | 726.9 |
| MC-140-A2 | 1533 | 142.0 | 42.0 | 15.0 | 1.48 | 0.443 | 100.66 | 721.0 |
| LC-140-A1 | 3034 | 140.8 | 42.0 | 15.5 | 1.49 | 0.656 | 197.96 | 725.0 |
| LC-140-A2 | 3033 | 141.5 | 42.3 | 16.0 | 1.47 | 0.661 | 195.37 | 722.5 |
| Simulation | Experiment | NFE/NTE | Error/% | |||
|---|---|---|---|---|---|---|
| NFE/kN | Failure Mode | NTE/kN | Failure Mode | |||
| SC-90-A1 | 133.6 | Local buckling | 127.7 | Local buckling | 1.046 | 4.62 |
| SC-90-A2 | 133.5 | Local buckling | 132.8 | Local buckling | 1.005 | 0.53 |
| MC-90-A1 | 102.3 | Local + overall buckling + distortion | 97.7 | Local + overall buckling + distortion | 1.047 | 4.71 |
| MC-90-A2 | 106.7 | Local + overall buckling + distortion | 103.0 | Local + overall buckling + distortion | 1.036 | 3.59 |
| LC-90-A1 | 44.5 | Overall buckling | 42.6 | Overall buckling | 1.045 | 4.46 |
| LC-90-A2 | 44.9 | Overall buckling | 39.9 | Overall buckling | 1.125 | 12.53 |
| SC-140-A1 | 142.7 | Local buckling + distortion | 130.7 | Local buckling + distortion | 1.092 | 9.18 |
| SC-140-A2 | 143.1 | Local buckling + distortion | 139.6 | Local buckling + distortion | 1.025 | 2.51 |
| MC-140-A1 | 106.2 | Local + overall buckling + distortion | 105.8 | Local + overall buckling + distortion | 0.856 | 0.38 |
| MC-140-A2 | 105.1 | Local + overall buckling + distortion | 101.0 | Local + overall buckling + distortion | 1.041 | 4.06 |
| LC-140-A1 | 48.0 | Overall buckling | 49.2 | Overall buckling | 0.976 | −2.44 |
| LC-140-A2 | 47.7 | Overall buckling | 46.9 | Overall buckling | 1.017 | 1.71 |
| Mean value | - | - | - | - | 1.026 | 3.82 |
| Variance | - | - | - | - | 0.063 | 3.98 |
| Bolt Spacing/mm | Increasing Ratio | Increasing Bearing Capacity | |
|---|---|---|---|
| C140-40-1.5-300 | 40, 60, 80, 100, 120, 150 | 275% | 0.6% |
| C140-40-1.5-900 | 50-450, step: 50 | 800% | 0.6% |
| C140-40-1.5-1500 | 50-200, step: 5; 200-600, step: 100 | 1100% | 1.1% |
| C140-40-1.5-3000 | 50-200, step: 50; 200-600, step: 100 | 1100% | 1.8% |
Publisher’s Note: MDPI stays neutral with regard to jurisdictional claims in published maps and institutional affiliations. |
© 2022 by the authors. Licensee MDPI, Basel, Switzerland. This article is an open access article distributed under the terms and conditions of the Creative Commons Attribution (CC BY) license (https://creativecommons.org/licenses/by/4.0/).
Share and Cite
He, C.; Cai, Y.; Chen, H. Numerical Investigations on Axial Compressive Behavior of Opening Cold-Formed Thin-Wall C-Steel Combined Double-Limb Column. Buildings 2022, 12, 1378. https://doi.org/10.3390/buildings12091378
He C, Cai Y, Chen H. Numerical Investigations on Axial Compressive Behavior of Opening Cold-Formed Thin-Wall C-Steel Combined Double-Limb Column. Buildings. 2022; 12(9):1378. https://doi.org/10.3390/buildings12091378
Chicago/Turabian StyleHe, Chang, Yong Cai, and Haijun Chen. 2022. "Numerical Investigations on Axial Compressive Behavior of Opening Cold-Formed Thin-Wall C-Steel Combined Double-Limb Column" Buildings 12, no. 9: 1378. https://doi.org/10.3390/buildings12091378
APA StyleHe, C., Cai, Y., & Chen, H. (2022). Numerical Investigations on Axial Compressive Behavior of Opening Cold-Formed Thin-Wall C-Steel Combined Double-Limb Column. Buildings, 12(9), 1378. https://doi.org/10.3390/buildings12091378

