Spatial Differences in Outdoor Thermal Comfort during the Transition Season in Cold Regions of China
Abstract
:1. Introduction
2. Study Area
3. Materials and Methods
3.1. Determination of the Transition Season
3.2. Objective Measurement
3.3. Subjective Assessment
3.4. Thermal Comfort Indexes
3.5. Field Survey Procedures
4. Results and Discussion
4.1. Spatial Differences in Thermal Sensation Survey
4.1.1. Thermal Sensation Vote and Overall Comfort Vote
4.1.2. Meteorological Parameter Effects
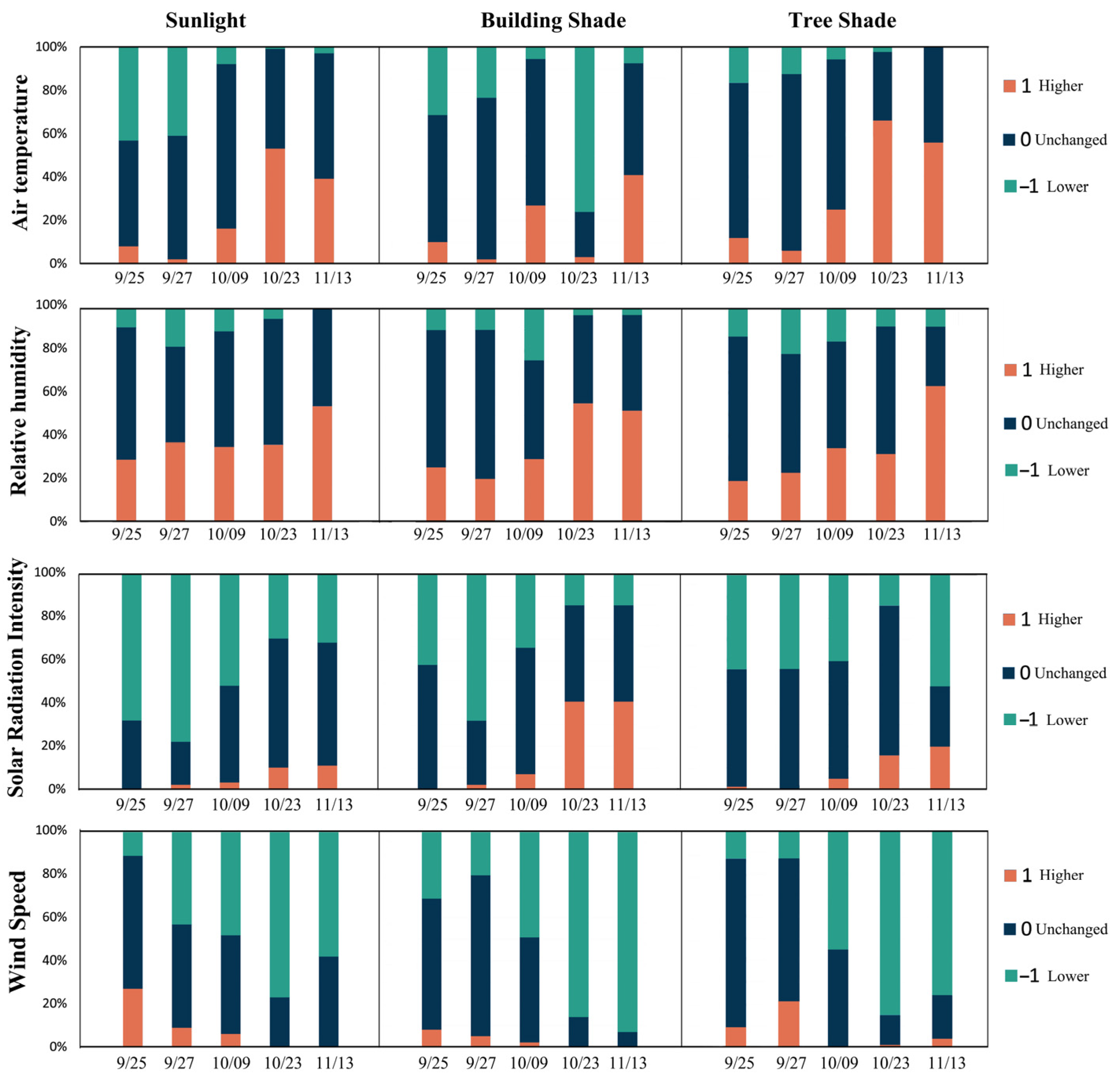
4.1.3. Meteorological Parameter Preference
4.2. Spatial Differences in Thermal Comfort Level
4.2.1. Correlation Analysis between UTCI and MTSV
4.2.2. Neutral UTCI and Neutral UTCI Range
4.2.3. Thermal Acceptability Range
5. Conclusions
Author Contributions
Funding
Institutional Review Board Statement
Informed Consent Statement
Data Availability Statement
Conflicts of Interest
References
- Dong, J.; Lin, M.; Zuo, J.; Lin, T.; Liu, J.; Sun, C.; Luo, J. Quantitative study on the cooling effect of green roofs in a high-density urban Area—A case study of Xiamen, China. J. Clean. Prod. 2020, 255, 120152. [Google Scholar] [CrossRef]
- Geng, Y.; Hong, B.; Du, M.; Yuan, T.; Wang, Y. Combined effects of visual-acoustic-thermal comfort in campus open spaces: A pilot study in China’s cold region, Build. Build. Environ. 2022, 209, 108658. [Google Scholar] [CrossRef]
- Thorsson, S.; Rocklöv, J.; Konarska, J.; Lindberg, F.; Holmer, B.; Dousset, B.; Rayner, D. Mean radiant temperature—A predictor of heat related mortality. Urban Clim. 2014, 10, 332–345. [Google Scholar] [CrossRef]
- Yin, Q.; Cao, Y.; Sun, C. Research on outdoor thermal comfort of high-density urban center in severe cold area. Build. Environ. 2021, 200, 107938. [Google Scholar] [CrossRef]
- Ma, X.; Tian, Y.; Du, M.; Hong, B.; Lin, B. How to design comfortable open spaces for the elderly? Implications of their thermal perceptions in an urban park. Sci. Total Environ. 2021, 768, 144985. [Google Scholar] [CrossRef] [PubMed]
- Knez, I.; Thorsson, S. Influences of culture and environmental attitude on thermal, emotional and perceptual evaluations of a public square. Int. J. Biometeorol. 2006, 50, 258–268. [Google Scholar] [CrossRef]
- Mutz, M.; Reimers, A.K.; Demetriou, Y. Leisure time sports activities and life satisfaction: Deeper insights based on a repre-sentative survey from Germany. Appl. Res. Qual. Life 2020, 16, 1–17. [Google Scholar] [CrossRef]
- Niu, J.; Liu, J.; Lee, T.-C.; Lin, Z.; Mak, C.; Tse, K.-T.; Tang, B.-S.; Kwok, K.C. A new method to assess spatial variations of outdoor thermal comfort: Onsite monitoring results and implications for precinct planning. Build. Environ. 2015, 91, 263–270. [Google Scholar] [CrossRef] [Green Version]
- Chen, L.; Wen, Y.; Zhang, L.; Xiang, W.-N. Studies of thermal comfort and space use in an urban park square in cool and cold seasons in Shanghai. Build. Environ. 2015, 94, 644–653. [Google Scholar] [CrossRef]
- Zhang, Y.; Liu, C. Digital Simulation for Buildings’ Outdoor Thermal Comfort in Urban Neighborhoods. Buildings 2021, 11, 541. [Google Scholar] [CrossRef]
- Bustamante-Zapata, A.M.; Zafra-Mejía, C.A.; Rondón-Quintana, H.A. Influence of Vegetation on Outdoor Thermal Comfort in a High-Altitude Tropical Megacity: Climate Change and Variability Scenarios. Buildings 2022, 12, 520. [Google Scholar] [CrossRef]
- Rupp, R.F.; Vasquez, N.G.; Lamberts, R. A review of human thermal comfort in the built environment. Energy Build. 2015, 105, 178–205. [Google Scholar] [CrossRef]
- Hao, X.; Liu, L.; Tan, H.; Lin, Y.; Hu, J.; Yin, W. The Impacts of Greenery Systems on Indoor Thermal Environments in Transition Seasons: An Experimental Investigation. Buildings 2022, 12, 506. [Google Scholar] [CrossRef]
- K’antor, N.; Egerhazi, L.; Unger, J. Subjective estimation of thermal environment in recreational urban spaces–part 1: Inves-tigations in Szeged, Hungary. Int. J. Biometeorol. 2012, 56, 1075–1088. [Google Scholar] [CrossRef]
- Jin, H.; Liu, S.; Kang, J. Thermal comfort range and influence factor of urban pedestrian streets in severe cold regions. Energy Build. 2019, 198, 197–206. [Google Scholar] [CrossRef]
- Yahia, M.W.; Johansson, E. Evaluating the behaviour of different thermal indices by investigating various outdoor urban environments in the hot dry city of Damascus, Syria. Int. J. Biometeorol. 2012, 57, 615–630. [Google Scholar] [CrossRef] [PubMed]
- Pantavou, K.; Theoharatos, G.; Santamouris, M.; Asimakopoulos, D. Outdoor thermal sensation of pedestrians in a Mediter-ranean climate and a comparison with UTCI. Build. Environ. 2013, 66, 82–95. [Google Scholar] [CrossRef]
- Tsitoura, M.; Tsoutsos, T.; Daras, T. Evaluation of comfort conditions in urban open spaces. Application in the island of Crete. Energy Convers. Manag. 2014, 86, 250–258. [Google Scholar] [CrossRef]
- Trindade da Silva, F.; Engel de Alvarez, C. An integrated approach for ventilation’s assessment on outdoor thermal comfort. Build. Environ. 2015, 87, 59–71. [Google Scholar] [CrossRef]
- Ruiz, M.A.; Correa, E.N. Adaptive model for outdoor thermal comfort assessment in an oasis city of arid climate. Build. Environ. 2015, 85, 40–51. [Google Scholar] [CrossRef]
- Amindeldar, S.; Heidari, S.; Khalili, M. The effect of personal and microclimatic variables on outdoor thermal comfort: A field study in Tehran in cold season. Sustain. Cities Soc. 2017, 32, 153–159. [Google Scholar] [CrossRef]
- Wang, Y.; De Groot, R.; Bakker, F.; Wörtche, H.; Leemans, R. Thermal comfort in urban green spaces: A survey on a Dutch university campus. Int. J. Biometeorol. 2016, 61, 87–101. [Google Scholar] [CrossRef] [PubMed] [Green Version]
- Xu, M.; Hong, B.; Mi, J.; Yan, S. Outdoor thermal comfort in an urban park during winter in cold regions of China. Sustain. Cities Soc. 2018, 43, 208–220. [Google Scholar] [CrossRef]
- Cohen, P.; Shashua-Bar, L.; Keller, R.; Gil-Ad, R.; Yaakov, Y.; Lukyanov, V.; Bar (Kutiel), P.; Tanny, J.; Cohen, S.; Potchter, O. Urban outdoor thermal perception in hot arid Beer Sheva, Israel: Methodological and gender aspects. Build. Environ. 2019, 160, 106169. [Google Scholar] [CrossRef]
- Canan, F.; Golasi, I.; Ciancio, V.; Coppi, M.; Salata, F. Outdoor thermal comfort conditions during summer in a cold semi-arid climate. A transversal field survey in Central Anatolia (Turkey). Build. Environ. 2018, 148, 212–224. [Google Scholar] [CrossRef]
- Nasrollahi, N.; Namazi, Y.; Taleghani, M. The effect of urban shading and canyon geometry on outdoor thermal comfort in hot climates: A case study of Ahvaz, Iran. Sustain. Cities Soc. 2020, 65, 102638. [Google Scholar] [CrossRef]
- Mohammad, P.; Aghlmand, S.; Fadaei, A.; Gachkar, S.; Gachkar, D.; Karimi, A. Evaluating the role of the albedo of material and vegetation scenarios along the urban street canyon for improving pedestrian thermal comfort outdoors. Urban Clim. 2021, 40, 100993. [Google Scholar] [CrossRef]
- Tian, Y.; Hong, B.; Zhang, Z.; Wu, S.; Yuan, T. Factors influencing resident and tourist outdoor thermal comfort: A comparative study in China’s cold region. Sci. Total Environ. 2022, 808, 152079. [Google Scholar] [CrossRef]
- De Freitas, C.; Grigorieva, E. Role of acclimatization in weather-related human mortality during the transition seasons of au-tumn and spring in a thermally extreme mid-latitude continental climate. Int. J. Environ. Res. Public Health 2015, 12, 14974–14987. [Google Scholar] [CrossRef] [Green Version]
- Li, S. User’ behavior of small urban spaces in winter and marginal seasons. J. Kyushu Dent. Soc. 1994, 10, 95–109. [Google Scholar]
- Li, J.; Zhao, L.; Peng, Z.; Wang, Z.; Shui, T. Study on Outdoor Thermal Comfort in the Transitional Season of Hefei. In E3S Web of Conferences; EDP Sciences: Les Ulis, France, 2020. [Google Scholar] [CrossRef]
- Jin, H.; Liu, S.; Kang, J. Gender differences in thermal comfort on pedestrian streets in cold and transitional seasons in severe cold regions in China. Build. Environ. 2019, 168, 106488. [Google Scholar] [CrossRef]
- Chen, Q.; Lin, C.; Guo, D.; Hou, Y.; Lai, D. Studies of outdoor thermal comfort in northern China. Build. Environ. 2014, 77, 110–118. [Google Scholar] [CrossRef]
- Zeng, Y.; Dong, L. Thermal human biometeorological conditions and subjective thermal sensation in pedestrian streets in Chengdu, China. Int. J. Biometeorol. 2014, 59, 99–108. [Google Scholar] [CrossRef] [PubMed]
- Cheung, P.K.; Jim, C. Comparing the cooling effects of a tree and a concrete shelter using PET and UTCI. Build. Environ. 2018, 130, 49–61. [Google Scholar] [CrossRef]
- Zhu, Z.; Liang, J.; Sun, C.; Han, Y. Summer Outdoor Thermal Comfort in Urban Commercial Pedestrian Streets in Severe Cold Regions of China. Sustainability 2020, 12, 1876. [Google Scholar] [CrossRef] [Green Version]
- Middel, A.; Selover, N.; Hagen, B.; Chhetri, N. Impact of shade on outdoor thermal comfort-a seasonal field study in Tempe, Arizona. Int. J. Biometeorol. 2016, 60, 1849–1861. [Google Scholar] [CrossRef] [Green Version]
- Kantor, N.; Chen, L.; Gal, C.V. Human-biometeorological significance of shading in urban public spaces-Summertime meas-urements in Pecs, Hungary. Landsc. Urban Plan. 2018, 170, 241–255. [Google Scholar] [CrossRef]
- Xu, M.; Hong, B.; Jiang, R.; An, L.; Zhang, T. Outdoor thermal comfort of shaded spaces in an urban park in the cold region of China. Build. Environ. 2019, 155, 408–420. [Google Scholar] [CrossRef]
- Hien, W.N.; Jusuf, S.K. Air Temperature Distribution and the Influence of Sky View Factor in a Green Singapore Estate. J. Urban Plan. Dev. 2010, 136, 261–272. [Google Scholar] [CrossRef]
- Vailshery, L.S.; Jaganmohan, M.; Nagendra, H. Effect of street trees on microclimate and air pollution in a tropical city. Urban For. Urban Green. 2013, 12, 408–415. [Google Scholar] [CrossRef]
- Coutts, A.M.; White, E.C.; Tapper, N.J.; Beringer, J.; Livesley, S.J. Temperature and human thermal comfort effects of street trees across three contrasting street canyon environments. Theor. Appl. Climatol. 2015, 124, 55–68. [Google Scholar] [CrossRef]
- Colter, K.; Middel, A.C.; Martin, C.A. Effects of natural and artificial shade on human thermal comfort in residential neigh-borhood parks of Phoenix, Arizona, USA. Urban For. Urban Green. 2019, 44, 126429. [Google Scholar] [CrossRef]
- Watanabe, S.; Nagano, K.; Ishii, J.; Horikoshi, T. Evaluation of outdoor thermal comfort in sunlight, building shade, and pergola shade during summer in a humid subtropical region. Build. Environ. 2014, 82, 556–565. [Google Scholar] [CrossRef]
- Jamei, E.; Rajagopalan, P.; Seyedmahmoudian, M.; Jamei, Y. Review on the impact of urban geometry and pedestrian level greening on outdoor thermal comfort. Renew. Sustain. Energy Rev. 2016, 54, 1002–1017. [Google Scholar] [CrossRef]
- Culjat, B. Climate and the Build Environment in the North; Royal. Institute of Technology: Stockholm, Sweden, 1975. [Google Scholar]
- ISO International Standard 7726; Thermal Environment-Instruments and Method for Measuring Physical Quantities International Standard Organization. ISO: Geneva, Switzerland, 1998.
- Broede, P.; Fiala, D.; Blazejczyk, K.; Holmér, I.; Jendritzky, G.; Kampmann, B.; Tinz, B.; Havenith, G. Deriving the operational procedure for the Universal Thermal Climate Index (UTCI). Int. J. Biometeorol. 2011, 56, 481–494. [Google Scholar] [CrossRef] [Green Version]
- Weihs, P.; Staiger, H.; Tinz, B.; Batchvarova, E.; Rieder, H.; Vuilleumier, L.; Maturilli, M.; Jendritzky, G. The uncertainty of UTCI due to uncertainties in the determination of radiation fluxes derived from measured and observed meteorological data. Int. J. Biometeorol. 2011, 56, 537–555. [Google Scholar] [CrossRef]
- ANSI/ASHRAE. ASHRAE Handbook-Fundamentals, Chapter 24.3; ASHRAE: Atlanta, GA, USA, 2017. [Google Scholar]
- Lin, T.-P.; Matzarakis, A.; Hwang, R.-L. Shading effect on long-term outdoor thermal comfort. Build. Environ. 2010, 45, 213–221. [Google Scholar] [CrossRef]
- Guo, F.; Zhang, H.; Fan, Y.; Zhu, P.; Wang, S.; Lu, X.; Jin, Y. Detection and evaluation of a ventilation path in a mountainous city for a sea breeze: The case of Dalian. Build. Environ. 2018, 145, 177–195. [Google Scholar] [CrossRef]
- He, X.; An, L.; Hong, B.; Huang, B.; Cui, X. Cross-cultural differences in thermal comfort in campus open spaces: A longitudinal field survey in China’s cold region. Build. Environ. 2020, 172, 106739. [Google Scholar] [CrossRef]
- Hadianpour, M.; Mahdavinejad, M.; Bemanian, M.; Nasrollahi, F. Seasonal differences of subjective thermal sensation and neutral temperature in an outdoor shaded space in Tehran, Iran. Sustain. Cities Soc. 2018, 39, 751–764. [Google Scholar] [CrossRef]
- Feng, X.; Zheng, Z.; Yang, Y.; Fang, Z. Quantitative seasonal outdoor thermal sensitivity in Guangzhou, China. Urban Clim. 2021, 39, 100938. [Google Scholar] [CrossRef]
- Wang, Y.; Pan, C.; Huang, Z. Comparison of applicability of PET and UTCI in different seasons in Shanghai. Build. Sci. 2020, 36, 55–61. [Google Scholar]









| Region | Climate | Season | Measurement Time | Thermal Comfort Index |
|---|---|---|---|---|
| Damascus, Syria [16] | BWk | Summer, winter | 7 days in summer, 8 days in winter | PET |
| Athens, Greece [17] | Csa | Summer, autumn, winter | 2 days per season | UTCI |
| Crete, Greece [18] | Cfa | Hot and cold season | 1 day per season | PET/PMV/WBGT/ SET |
| Shanghai, China [9] | Cfa | Autumn, winter | 2 days in autumn, 3 days in winter | PET |
| Vitória, Brazil [19] | Aw | Spring, summer, winter | 2 days per season | PET |
| Mendoza, Argentina [20] | BWk | Summer, winter | 3 days per season | - |
| Teheran, Iran [21] | Csa | Winter | 5 days | - |
| Groningen, Netherlands [22] | Cfb | Spring, summer | 2 days in spring, 3 days in summer | PET |
| Xi’an, China [23] | Cwa/BSK | Winter | 3 days | UTCI/PET |
| Beer Sheva, Israel [24] | Bsh | Summer, winter | 10 days in summer, 3 days in winter | PET |
| Harbin, China [15] | Dwa | All year | 1 day per season | UTCI |
| Anatolia, Turkey [25] | BSk | Summer | 2 days | PET |
| Harbin, China [24] | Dwa | Spring, autumn, winter | 1 day per season | UTCI |
| Ahvaz, Iran [26] | BWh | Summer | 6 days | PET |
| Roorkee, India [27] | Cfa | Summer | 1 days | PET |
| Xi’an, China [28] | Cwa/BSK | Spring, summer, winter | 3 days per season | PET |
![]() | |||||
|---|---|---|---|---|---|
| Point | A | B | C | D | E |
| Sketch map | ![]() | ![]() | ![]() | ![]() | ![]() |
| 1 | ![]() | ![]() | ![]() | ![]() | ![]() |
| SVF | 0.837 | 0.974 | 0.766 | 0.963 | 0.842 |
| 2 | ![]() | — | ![]() | ![]() | ![]() |
| SVF | 0.228 | — | 0.717 | 0.361 | 0.313 |
| 3 | ![]() | ![]() | ![]() | ![]() | ![]() |
| SVF | 0.582 | 0.772 | 0.535 | 0.711 | 0.426 |
| Parameter | Instrument | Range | Precision |
|---|---|---|---|
| Air Temperature (Ta) | HOBO H21-002 | −20 to 50 °C | ±0.2 °C |
| Relative Humidity (RH) | 0–10% RH 10–90% RH 90–100% RH | ±3% RH ±2% RH ±3% RH | |
| Wind Velocity (Va) | Kestrel 5500 | 0.1–9.99 m/s 10.0–20.0 m/s | +(0.05 m/s + 5% readout) +(5% readout) |
| Globe Temperature (Tg) | JTR10 WBGT | 5–120 °C | ±0.5 °C |
| Outdoor Thermal Comfort Questionnaire |
|---|
| Date: _________ Time: _________ Gender: (1) Male (2) Female Age: _________ Province: _________ 1. Current location: □Under the Shade of Trees □Under the Shadow of Buildings □Under Direct Sunlight 2. Your current clothing includes (multiple choices): Upper:□Vest □Underwear □Short-sleeve T-shirt □Long-sleeve T-shirt □Pullover □Shirt □Sweater □Jacket □Thick coat □Thin coat □Cotton clothes □Down jacket Bottom: □Shorts □Short skirt □Trousers □Long skirt □Sweat pants □Woolen pants □Cotton pants Footwear: □Sandals □Shoes □Boots □Cotton-padded shoes □Pantyhose □Ankle-length socks □Socks □Low-cut liner socks Others: ___________________________ 3. Please describe your thermal sensation at present □−3 Cold □−2 Cool □−1 Slightly cool □0 Neutral □1 Slightly warm □2 Warm □3 Hot 4. Please describe your overall comfort level at present: □−1 Uncomfortable □0 Neutral □1 Comfortable 5. What changes do you expect from the following meteorological data at present: Air temperature: □Higher □Unchanged □Lower Relative humidity: □Higher □Unchanged □Lower Wind speed: □Stronger □Unchanged □Weaker Solar Radiation: □Stronger □Unchanged □Weaker |
| Ta | RH | V1.5 m | Tmrt | |
|---|---|---|---|---|
| TSV | 0.636 ** | 0.313 ** | −0.138 ** | 0.589 ** |
| City, Country | Climate | Seasons | Neutral UTCI in Transition Season | Neutral UTCI Range in Transition Season |
|---|---|---|---|---|
| Dalian, China (this study) | Dwa | Autumn | 18.8 °C | 14.7–23.0 °C |
| Harbin, China [15] | Dwa | All year | 21.4 °C | 12.0–30.8 °C |
| Xi’an, China [53] | Cwa/BSk | Spring, summer, winter | 22.8 °C (Chinese), 21.8 °C (Pakistani) | 17.9–27.7 °C (Chinese), 15.6–28.0 °C (Pakistani) |
| Tehran, Iran [54] | BWk | All year | 21.5 °C | 17.7–25.4 °C |
| Guangzhou, China [55] | Cfa | All year | 23.7 °C | 21.3–26.1 °C |
| Shanghai, China [56] | Cfa | All year | 23.7 °C | 18.2–31.7 °C |
Publisher’s Note: MDPI stays neutral with regard to jurisdictional claims in published maps and institutional affiliations. |
© 2022 by the authors. Licensee MDPI, Basel, Switzerland. This article is an open access article distributed under the terms and conditions of the Creative Commons Attribution (CC BY) license (https://creativecommons.org/licenses/by/4.0/).
Share and Cite
Guo, F.; Wang, Z.; Dong, J.; Zhang, H.; Lu, X.; Lau, S.S.Y.; Miao, Y. Spatial Differences in Outdoor Thermal Comfort during the Transition Season in Cold Regions of China. Buildings 2022, 12, 720. https://doi.org/10.3390/buildings12060720
Guo F, Wang Z, Dong J, Zhang H, Lu X, Lau SSY, Miao Y. Spatial Differences in Outdoor Thermal Comfort during the Transition Season in Cold Regions of China. Buildings. 2022; 12(6):720. https://doi.org/10.3390/buildings12060720
Chicago/Turabian StyleGuo, Fei, Zuoxing Wang, Jing Dong, Hongchi Zhang, Xiaodong Lu, Stephen Siu Yu Lau, and Yijia Miao. 2022. "Spatial Differences in Outdoor Thermal Comfort during the Transition Season in Cold Regions of China" Buildings 12, no. 6: 720. https://doi.org/10.3390/buildings12060720
APA StyleGuo, F., Wang, Z., Dong, J., Zhang, H., Lu, X., Lau, S. S. Y., & Miao, Y. (2022). Spatial Differences in Outdoor Thermal Comfort during the Transition Season in Cold Regions of China. Buildings, 12(6), 720. https://doi.org/10.3390/buildings12060720





















