Response of Functionally Graded Preplaced Aggregate Fibrous Concrete with Superior Impact Strength
Abstract
1. Introduction
1.1. Preplaced Aggregate Fibrous Concrete
1.2. Functionally Graded Concrete
1.3. ACI 544.2R-89 Drop-Weight Impact Test
1.4. Modification Suggested to ACI Drop-Weight Impact Test
2. Significance of Research
3. Experimental Investigation
3.1. Base Materials
- Pozzolana Portland general-purpose cement was used in the experiments, which meets IS: 1489-2015 [33]. The cement has a specific gravity of 3.09 and a specific surface area of 318 kg/m2. Normal river sand was used as fine aggregate. In addition, the fineness modulus, water absorption, and specific gravity of the used fine aggregate were 2.41%, 1.15%, and 2.65%, respectively. The granulometric curve of the adopted sand is consistent with Zone II per IS: 383-2016 [34], with particle size of no more than 2.36 mm to ensure excellent flowable grout mixture in line with ASTM C939/C939M-16a [35]. As a result, a flowable grout was obtained to fill voids entirely and effectively. Crushed granite gravel with a normal density and a 12.5 mm maximum size was used as coarse aggregate with a water absorption and specific gravity of 0.59% and 2.69 respectively. The granulometric curve for the fine and coarse aggregates used in this experiment is illustrated in Figure 4. The flowable grout was made using a premium high-range water reducer (Tec Mix 640) with a density of 1.08 0.01 at 25 °C and a pH value of 7–9. Different dosages (0.3% to 0.5% by cement weight) were used to produce the grout for nonfibrous and fibrous specimens. Fiber is now a part of concrete reinforcement as it has many benefits for concrete. A 1 mm diameter and a 50 mm length of hybrid hooked-end crimped fiber was used, which had a tensile strength of 1200 MPa and was made using a novel geometrically shaped steel fiber (SF) and macro polypropylene fiber (PF). The PF had a tensile strength of 500 MPa and measured 45 mm in length with a diameter of 0.8 mm. Figure 5 demonstrates the SF and PF appearance.
3.2. Mixing Composition
3.3. Specimen Preparation
3.4. Drop Mass Impact Testing Device
3.5. Compressive Strength Test
4. Results and Discussions
4.1. Compressive Strength
4.2. Modified Falling Mass Test Results
4.2.1. Cracking and Failure Impact Number
4.2.2. Ductility of Specimens
4.2.3. Failure Mode of Specimens under Impact Loading
4.2.4. Comparison of Failure Modes of the ACI 544 and Modified Test Setups
4.2.5. Modified and ACI Test Result Comparison
4.2.6. Comparison between ACI and Modified Approach Impact Test Findings’ Coefficients of Variance
4.2.7. Orientation of Fibers in FPAFC
4.2.8. Failure Mechanism of FPAFC Specimens against Impact Loading
5. Weibull Distribution
5.1. Graphical Method
5.2. Empirical Method of Lysen
5.3. Method of Moments
6. Conclusions
- The highest compressive strength was exhibited by the S-SF specimen, which showed 59.6% enhancement compared with PAC. The second highest compressive strength with 54.4% improvement was recorded for the T-FG2 specimen, which comprised 2.8% SF at the top and bottom layers and 1.6% at the middle layer. Thus, the performance of single-layered concrete was superior to that of three-layered FPAFC under compression.
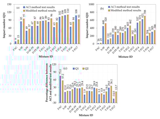
- For the S-SF and S-PF specimens, the recorded Q1 increased by about 533% and 280%, respectively. Likewise, the recorded Q2 increased by about 1980% and 440% compared with PAC. The percentage increases in Q1 for the mixtures D-SF-PF and D-PF-SF were 480% and 473%, respectively, while those in Q2 were 1100% and 1505%, respectively. The presence of well-distributed fiber-reinforcing elements crosses the created cracks and shared significant amounts of tensile stresses that try to open the cracks due to the fiber’s high tensile strength, which slows the opening of initiated cracks, resulting in higher impact energy absorptivity.
- The highest percentage improvements of 633% and 2732% were recorded in Q1 and Q2, respectively, for the T-FG5 mixture from the T-FG group. This occurred because the top and bottom layers, which were in close touch with the falling mass and the supporting baseplate, were given a larger SF dose and hence experienced higher concentrations of impact stresses.
- The percentage difference between the findings of the ACI and the modified impact test varied from −14% to 75% for Q1 and from 6.8% to 57.2% for Q2. Concerning COV for all 12 mixtures, the calculated values were lower by 20.3% to 56.1% in Q1 and 15.2% to 65.3% for Q2 as compared with the ACI test procedure. Hence, the proposed modification from the impact testing can improve the results’ reliability, is easy to conduct, and provides a valuable contribution to future material technology.
- Direct and uniform cracking occurred in PAC specimens, which reflects the brittle nature, while the wider fracture zone reflects the more ductile behavior of fibrous specimens under repeated impact. A line load distributed under the drop impact load was used to control cracking and fracture of the specimens along a specified path.
- By considering the same reliability level, the Q1 values were 58, 66, 53, 77, 77, 48, and 61 for the three-layered T-FG1, T-FG2, T-FG3, T-FG4, T-FG5, T-FG6, and T-FG7 specimens, respectively. Likewise, Q2 values were 262, 377, 184, 469, 611, 216, and 275, respectively. A good linear connection between the dispersed experimental impact test results and the two-parameter Weibull distribution is shown to be effective for all specimens in the study.
Author Contributions
Funding
Institutional Review Board Statement
Informed Consent Statement
Data Availability Statement
Acknowledgments
Conflicts of Interest
References
- Wang, L.; Zeng, X.; Yang, H.; Lv, X.; Guo, F.; Shi, Y.; Hanif, A. Investigation and Application of Fractal Theory in Cement-Based Materials: A Review. Fractal Fract. 2021, 5, 247. [Google Scholar] [CrossRef]
- Wang, L.; Jin, M.; Guo, F.; Wang, Y.A.N.; Tang, S. Pore structural and fractal analysis of the influence of fly ash and silica fume on the mechanical property and abrasion resistance of concrete. Fractals 2021, 29, 2140003. [Google Scholar] [CrossRef]
- Ong, C.W.R.; Zhang, M.H.; Du, H.; Pang, S.D. Functionally layered cement composites against projectile impact. Int. J. Impact Eng. 2019, 133, 103338. [Google Scholar] [CrossRef]
- Balani, K.; Patel, R.R.; Keshri, A.K.; Lahiri, D.; Agarwal, A. Multi-scale hierarchy of Chelydra serpentina: Microstructure and mechanical properties of turtle shell. J. Mech. Behav. Biomed. Mater. 2011, 4, 1440–1451. [Google Scholar] [CrossRef] [PubMed]
- Coo, M.; Pheeraphan, T. Effect of sand, fly ash and limestone powder on preplaced aggregate concrete mechanical properties and reinforced beam shear capacity. Constr. Build. Mater. 2016, 120, 581–592. [Google Scholar] [CrossRef]
- Najjar, M.F.; Soliman, A.M.; Nehdi, M.L. Critical overview of two-stage concrete: Properties and applications. Constr. Build. Mater. 2014, 62, 47–58. [Google Scholar] [CrossRef]
- Cao, Q.; Jia, J.; Zhang, L.; Ye, H. Steel reinforced post-filling coarse aggregate concrete columns under eccentric compression. Constr. Build. Mater. 2021, 270, 121420. [Google Scholar] [CrossRef]
- Nehdi, M.L.; Najjar, M.F.; Soliman, A.M.; Azabi, T.M. Novel steel fibre-reinforced preplaced aggregate concrete with superior mechanical performance. Cem. Concr. Compos. 2017, 82, 242–251. [Google Scholar] [CrossRef]
- Alrshoudi, F.; Mohammadhosseini, H.; Tahir, M.M.; Alyousef, R.; Alghamdi, H.; Alharbi, Y.; Alsaif, A. Drying shrinkage and creep properties of prepacked aggregate concrete reinforced with waste polypropylene fibers. J. Build. Eng. 2020, 32, 101522. [Google Scholar] [CrossRef]
- Mohammadhosseini, H.; Alrshoudi, F.; Tahir, M.M.; Alyousef, R.; Alghamdi, H.; Alharbi, Y.R.; Alsaif, A. Performance evaluation of novel prepacked aggregate concrete reinforced with waste polypropylene fibers at elevated temperatures. Constr. Build. Mater. 2020, 259, 120418. [Google Scholar] [CrossRef]
- Al-Ameri, R.A.; Abid, S.R.; Murali, G.; Ali, S.H.; Özakça, M.; Vatin, N.I. Residual Impact Performance of ECC Subjected to Sub-High Temperatures. Materials 2022, 15, 454. [Google Scholar] [CrossRef]
- Prasad, N.; Murali, G.; Abid, S.R.; Vatin, N.; Fediuk, R.; Amran, M. Effect of Needle Type, Number of Layers on FPAFC Composite against Low-Velocity Projectile Impact. Buildings 2021, 11, 668. [Google Scholar] [CrossRef]
- Mohan, K.S.R.; Diviyabharrathi, K.B.; Murali, G. Research on the Development of High Impact Resistant Preplaced Aggregate Fibrous Concrete by the Inclusion of Coarse Aggregates Coated with Asphalt. Arab. J. Sci. Eng. 2021. [Google Scholar] [CrossRef]
- Salaimanimagudam, M.P.; Murali, G.; Vivek Vardhan, C.M.; Amran, M.; Vatin, N.; Fediuk, R.; Vasilev, Y. Impact response of preplaced aggregate fibrous concrete hammerhead pier beam designed with topology optimization. Crystals 2021, 11, 147. [Google Scholar] [CrossRef]
- Abirami, T.; Loganaganandan, M.; Murali, G.; Fediuk, R.; Vickhram Sreekrishna, R.; Vignesh, T.; Januppriya, G.; Karthikeyan, K. Experimental research on impact response of novel steel fibrous concretes under falling mass impact. Constr. Build. Mater. 2019, 222, 447–457. [Google Scholar] [CrossRef]
- Manohar, T.; Suribabu, C.R.; Murali, G.; Salaimanimagudam, M.P. A novel steel-PAFRC composite fender for bridge pier protection under low velocity vessel impacts. Structures 2020, 26, 765–777. [Google Scholar] [CrossRef]
- Abirami, T.; Murali, G.; Saravana Raja Mohan, K.; Salaimanimagudam, M.P.; Nagaveni, P.; Bhargavi, P. Multi-layered two stage fibrous composites against low-velocity falling mass and projectile impact. Constr. Build. Mater. 2020, 248, 118631. [Google Scholar] [CrossRef]
- Prasad, N.; Murali, G. Exploring the impact performance of functionally-graded preplaced aggregate concrete incorporating steel and polypropylene fibres. J. Build. Eng. 2021, 35, 102077. [Google Scholar] [CrossRef]
- Gunasekaran, M.; Thangavel, M.; Nemichandran, N.K.; Ravikumar, I.; Glarance, H.J.; Kothandapani, K. Impact response and strength reliability of green high performance fibre reinforced concrete subjected to freeze-thaw cycles in NaCl solution. Medziagotyra 2017, 23, 384–388. [Google Scholar] [CrossRef][Green Version]
- Prasad, N.; Murali, G. Research on flexure and impact performance of functionally-graded two-stage fibrous concrete beams of different sizes. Constr. Build. Mater. 2021, 288, 123138. [Google Scholar] [CrossRef]
- Moghadam, A.S.; Omidinasab, F. Assessment of hybrid FRSC cementitious composite with emphasis on flexural performance of functionally graded slabs. Constr. Build. Mater. 2020, 250, 118904. [Google Scholar] [CrossRef]
- Mastali, M.; Ghasemi Naghibdehi, M.; Naghipour, M.; Rabiee, S.M. Experimental assessment of functionally graded reinforced concrete (FGRC) slabs under drop weight and projectile impacts. Constr. Build. Mater. 2015, 95, 296–311. [Google Scholar] [CrossRef]
- ACI 544.2R-89: Measurement of Properties of Fiber Reinforced Concrete; American Concrete Institute: Farmington Hills, MI, USA, 1989; Volume 89, pp. 1–12.
- Nataraja, M.C.; Dhang, N.; Gupta, A.P. Statistical variations in impact resistance of steel fiber-reinforced concrete subjected to drop weight test. Cem. Concr. Res. 1999, 29, 989–995. [Google Scholar] [CrossRef]
- Song, P.S.; Wu, J.C.; Hwang, S.; Sheu, B.C. Assessment of statistical variations in impact resistance of high-strength concrete and high-strength steel fiber-reinforced concrete. Cem. Concr. Res. 2005, 35, 393–399. [Google Scholar] [CrossRef]
- Rahmani, T.; Kiani, B.; Shekarchi, M.; Safari, A. Statistical and experimental analysis on the behavior of fiber reinforced concretes subjected to drop weight test. Constr. Build. Mater. 2012, 37, 360–369. [Google Scholar] [CrossRef]
- Badr, A.; Ashour, A.F.; Platten, A.K. Statistical variations in impact resistance of polypropylene fibre-reinforced concrete. Int. J. Impact Eng. 2006, 32, 1907–1920. [Google Scholar] [CrossRef]
- Murali, G.; Karthikeyan, K.; Haridharan, M.K. Statistical scrutiny of variations in impact strength of green high performance fibre reinforced concrete subjected to drop weight test. Revista Romana de Materiale 2018, 48, 214–221. [Google Scholar]
- Ding, Y.; Li, D.; Zhang, Y.; Azevedo, C. Experimental investigation on the composite effect of steel rebars and macro fibers on the impact behavior of high performance self-compacting concrete. Constr. Build. Mater. 2017, 136, 495–505. [Google Scholar] [CrossRef]
- Abid, S.R.; Gunasekaran, M.; Ali, S.H.; Kadhum, A.L.; Al-Gasham, T.S.; Fediuk, R.; Vatin, N.; Karelina, M. Impact performance of steel fiber-reinforced self-compacting concrete against repeated drop weight impact. Crystals 2021, 11, 91. [Google Scholar] [CrossRef]
- Jabir, H.A.; Abid, S.R.; Murali, G.; Ali, S.H.; Klyuev, S.; Fediuk, R.; Vatin, N.; Promakhov, V.; Vasilev, Y. Experimental tests and reliability analysis of the cracking impact resistance of uhpfrc. Fibers 2020, 8, 74. [Google Scholar] [CrossRef]
- Asrani, N.P.; Murali, G.; Parthiban, K.; Surya, K.; Prakash, A.; Rathika, K.; Chandru, U. A feasibility of enhancing the impact resistance of hybrid fibrous geopolymer composites: Experiments and modelling. Constr. Build. Mater. 2019, 203, 56–68. [Google Scholar] [CrossRef]
- IS 1489; (Part 1)–Indian Standard Portland Pozzolana Cement (Fly Ash Based)-Specification. Bureau of Indian Standards: New Delhi, India, 2015.
- IS 383; 2016 Coarse and Fine Aggregate for Concrete–Specification. 3rd ed. Bureau of Indian Standards: New Delhi, India, 2016.
- Astm:C939-10; Standard Test Method for Flow of Grout for Preplaced-Aggregate Concrete (Flow Cone Method). ASTM International: West Conshohocken, PA, USA, 2010.
- Prasad, N.; Murali, G.; Vatin, N. Modified falling mass impact test performance on functionally graded two stage aggregate fibrous concrete. Materials 2021, 14, 5833. [Google Scholar] [CrossRef]
- Ramkumar, V.R.; Murali, G.; Asrani, N.P.; Karthikeyan, K. Development of a novel low carbon cementitious two stage layered fibrous concrete with superior impact strength. J. Build. Eng. 2019, 25, 100841. [Google Scholar] [CrossRef]
- Murali, G.; Ramprasad, K. A feasibility of enhancing the impact strength of novel layered two stage fibrous concrete slabs. Eng. Struct. 2018, 175, 41–49. [Google Scholar] [CrossRef]
- Abid, S.R.; Murali, G.; Amran, M.; Vatin, N.; Fediuk, R.; Karelina, M. Evaluation of mode II fracture toughness of hybrid fibrous geopolymer composites. Materials 2021, 14, 349. [Google Scholar] [CrossRef] [PubMed]
- Wijffels, M.J.H.; Wolfs, R.J.M.; Suiker, A.S.J.; Salet, T.A.M. Magnetic orientation of steel fibres in self-compacting concrete beams: Effect on failure behaviour. Cem. Concr. Compos. 2017, 80, 342–355. [Google Scholar] [CrossRef]
- Huang, H.; Su, A.; Gao, X.; Yang, Y. Influence of formwork wall effect on fiber orientation of UHPC with two casting methods. Constr. Build. Mater. 2019, 215, 310–320. [Google Scholar] [CrossRef]
- Maya Duque, L.F.; Graybeal, B. Fiber orientation distribution and tensile mechanical response in UHPFRC. Mater. Struct. Mater. Constr. 2017, 50, 55. [Google Scholar] [CrossRef]
- Ramakrishnan, K.; Depak, S.R.; Hariharan, K.R.; Abid, S.R.; Murali, G.; Cecchin, D.; Fediuk, R.; Mugahed Amran, Y.H.; Abdelgader, H.S.; Khatib, J.M. Standard and modified falling mass impact tests on preplaced aggregate fibrous concrete and slurry infiltrated fibrous concrete. Constr. Build. Mater. 2021, 298, 123857. [Google Scholar] [CrossRef]
- Rithanyaa, R.; Murali, G.; Salaimanimagudam, M.P.; Fediuk, R.; Abdelgader, H.S.; Siva, A. Impact response of novel layered two stage fibrous composite slabs with different support type. Structures 2021, 29, 1–13. [Google Scholar] [CrossRef]
- Murali, G.; Abid, S.R.; Abdelgader, H.S.; Amran, Y.H.M.; Shekarchi, M.; Wilde, K. Repeated Projectile Impact Tests on Multi-Layered Fibrous Cementitious Composites. Int. J. Civ. Eng. 2021, 19, 635–651. [Google Scholar] [CrossRef]
- Salaimanimagudam, M.P.; Suribabu, C.R.; Murali, G.; Abid, S.R. Impact response of hammerhead pier fibrous concrete beams designed with topology optimization. Period. Polytech. Civ. Eng. 2020, 64, 1244–1258. [Google Scholar] [CrossRef]
- Murali, G.; Abid, S.R.; Mugahed Amran, Y.H.; Abdelgader, H.S.; Fediuk, R.; Susrutha, A.; Poonguzhali, K. Impact performance of novel multi-layered prepacked aggregate fibrous composites under compression and bending. Structures 2020, 28, 1502–1515. [Google Scholar] [CrossRef]
- Haridharan, M.K.; Matheswaran, S.; Murali, G.; Abid, S.R.; Fediuk, R.; Mugahed Amran, Y.H.; Abdelgader, H.S. Impact response of two-layered grouted aggregate fibrous concrete composite under falling mass impact. Constr. Build. Mater. 2020, 263, 120628. [Google Scholar] [CrossRef]
- Lv, J.; Zhou, T.; Du, Q.; Li, K. Experimental and analytical study on uniaxial compressive fatigue behavior of self-compacting rubber lightweight aggregate concrete. Constr. Build. Mater. 2020, 237, 117623. [Google Scholar] [CrossRef]
- Chang, T.P. Performance comparison of six numerical methods in estimating Weibull parameters for wind energy application. Appl. Energy 2011, 88, 272–282. [Google Scholar] [CrossRef]
- Kumar, K.S.P.; Gaddada, S. Statistical scrutiny of Weibull parameters for wind energy potential appraisal in the area of northern Ethiopia. Renew. Wind. Water Sol. 2015, 2, 14. [Google Scholar] [CrossRef]
- Murali, G.; Santhi, A.S.; Mohan Ganesh, G. Impact resistance and strength reliability of fiber reinforced concrete using two parameter weibull distribution. J. Eng. Appl. Sci. 2014, 9, 554–559. [Google Scholar]





















| Ref. | Type of Concrete and Mixture ID | Type of Fiber | Amount of Fiber | Tested Specimen per Mixture (Numbers) | Failure Impact Number for the Material to Fail | SD | COV (%) |
|---|---|---|---|---|---|---|---|
| [24] | Fiber-reinforced concrete (G1, G2) | Steel | 2.5% | 15 | 358, 417 | 207, 185 | 58, 44 |
| [25] | High-strength fiber-reinforced concrete (HSFRC) | Hooked-end steel fiber | 1% | 48 | 1896 | 802 | 42 |
| [26] | Fiber-reinforced concrete (PC, CFRC, PRFC, SFRC) | Cellulose fiber, polypropylene fiber, steel fiber | 0.15%, 0.15%, 0.5% | 32 | 48, 118, 71, 228 | 28, 53, 36, 90 | 57, 45, 51, 39 |
| [27] | Fiber-reinforced concrete (B1, B2) | Polypropylene fiber | 3 kg/m3 | 20 | 84, 76 | 44, 37 | 52, 49 |
| [28] | Green high-performance plain and FRC (GHPC, GHPSFRC) | Steel | 0.5% | 40 | 177, 240 | 81, 94 | 46, 39 |
| [29] | Fiber-reinforced concrete (NC, PP4, PP6, SF20, SF35) | Polypropylene, steel | 4, 6, 20, 35 kg/m3 | 6 | 15, 33, 40, 52, 55 | (7, 7, 5, 27, 24) | 47, 21, 12, 52, 44 |
| [30] | Self-compacting fiber-reinforced concrete (SC30-0, SC30-0.5, SC30-0.75, SC30-1.0) | Steel | 0.5%, 0.75%, 1.0% | 6 | 1.8, 7.3, 11.3, 17.2 | 0.8, 1.6, 1.6, 4.8 | 41.1, 22.3, 14.4, 27.9 |
| [31] | Fiber-reinforced concrete (M1) | Steel | 2.5% | 12 | 127 | 47 | 37 |
| [15] | Two-stage fibrous concrete (PC, CF1.5, CF3.0, CF5.0, HF1.5, HF3.0, HF5.0) | Crimped steel, hooked-end steel | 1.5, 3.0, 5.0% | 15 | 84, 312, 737, 1209, 424, 918, 1378 | 25, 86, 113, 151, 64, 78, 122 | 30, 27, 15, 12, 15, 9, 9 |
| [32] | Geopolymer fiber-reinforced concrete (M0, M1, M2, M3) | Steel, polypropylene, glass | 1.6, 0.3, 0.3% | 5 | 14, 101, 32, 35 | 4.7, 20.3, 9.5, 11.7 | 33.5, 20.1, 30.1, 33.6 |
| Mix ID | S/B Ratio | W/B Ratio | Fiber Dosage in the First Layer (%) | Fiber Dosage in the Second Layer (%) | Fiber Dosage in the Third Layer (%) | SP (%) | |||
|---|---|---|---|---|---|---|---|---|---|
| SF | PF | SF | PF | SF | PF | ||||
| PAC | 1.0 | 0.45 | 0 | 0.3 | |||||
| S-SF | 2.4 SF | 0.4 | |||||||
| S-PF | 2.4 PF | 0.4 | |||||||
| D-SF-PF | 2.4 SF | 2.4 PF | 0.4 | ||||||
| D-PF-SF | 2.4 PF | 2.4 SF | 0.4 | ||||||
| T-FG1 | 1.2 | 1.2 | 1.2 | 1.2 | 1.2 | 1.2 | 0.4 | ||
| T-FG2 | 2.8 | 0 | 1.6 | 0 | 2.8 | 0 | 0.4 | ||
| T-FG3 | 0 | 2.8 | 0 | 1.6 | 0 | 2.8 | 0.4 | ||
| T-FG4 | 1.4 | 1.4 | 0.8 | 0.8 | 1.4 | 1.4 | 0.4 | ||
| T-FG5 | 3.6 | 0 | 0 | 0 | 3.6 | 0 | 0.4 | ||
| T-FG6 | 0 | 3.6 | 0 | 0 | 0 | 3.6 | 0.4 | ||
| T-FG7 | 1.8 | 1.8 | 0 | 0 | 1.8 | 1.8 | 0.4 | ||
| Mix ID | PAC | S-SF | S-PF | D-SF-PF | D-PF-SF | T-FG1 | T-FG2 | T-FG3 | T-FG4 | T-FG5 | T-FG6 | T-FG7 | ||||||||||||
|---|---|---|---|---|---|---|---|---|---|---|---|---|---|---|---|---|---|---|---|---|---|---|---|---|
| Q1 | Q2 | Q1 | Q2 | Q1 | Q2 | Q1 | Q2 | Q1 | Q2 | Q1 | Q2 | Q1 | Q2 | Q1 | Q2 | Q1 | Q2 | Q1 | Q2 | Q1 | Q2 | Q1 | Q2 | |
| 1 | 9 | 15 | 58 | 456 | 34 | 101 | 48 | 242 | 56 | 231 | 64 | 266 | 69 | 385 | 54 | 192 | 77 | 481 | 72 | 612 | 44 | 215 | 61 | 261 |
| 2 | 9 | 16 | 62 | 461 | 36 | 105 | 51 | 259 | 59 | 248 | 65 | 272 | 72 | 404 | 55 | 195 | 80 | 492 | 83 | 621 | 49 | 221 | 63 | 272 |
| 3 | 10 | 18 | 67 | 478 | 39 | 110 | 61 | 267 | 60 | 254 | 69 | 288 | 75 | 411 | 61 | 201 | 88 | 504 | 91 | 638 | 59 | 238 | 66 | 294 |
| 4 | 11 | 19 | 71 | 488 | 41 | 114 | 64 | 273 | 63 | 266 | 74 | 294 | 79 | 418 | 64 | 212 | 92 | 516 | 95 | 654 | 61 | 246 | 70 | 319 |
| 5 | 12 | 22 | 77 | 490 | 44 | 118 | 69 | 282 | 65 | 276 | 77 | 299 | 80 | 425 | 68 | 219 | 95 | 524 | 96 | 676 | 68 | 255 | 81 | 323 |
| 6 | 13 | 23 | 80 | 499 | 48 | 121 | 76 | 286 | 71 | 282 | 80 | 306 | 86 | 434 | 75 | 221 | 98 | 538 | 102 | 694 | 74 | 266 | 88 | 341 |
| 7 | 14 | 24 | 85 | 505 | 49 | 127 | 81 | 290 | 76 | 288 | 82 | 313 | 92 | 442 | 76 | 226 | 100 | 552 | 108 | 701 | 79 | 271 | 91 | 356 |
| 8 | 15 | 24 | 94 | 509 | 53 | 134 | 85 | 294 | 82 | 291 | 86 | 318 | 96 | 452 | 81 | 238 | 105 | 576 | 110 | 711 | 86 | 279 | 95 | 359 |
| 9 | 17 | 26 | 104 | 528 | 59 | 140 | 96 | 299 | 89 | 292 | 88 | 320 | 102 | 461 | 85 | 246 | 106 | 585 | 112 | 722 | 90 | 282 | 100 | 367 |
| 10 | 18 | 27 | 110 | 533 | 63 | 148 | 99 | 301 | 95 | 298 | 93 | 322 | 104 | 474 | 92 | 259 | 111 | 601 | 119 | 734 | 94 | 289 | 105 | 372 |
| 11 | 19 | 30 | 118 | 546 | 69 | 151 | 102 | 314 | 99 | 303 | 96 | 327 | 109 | 485 | 97 | 261 | 116 | 611 | 124 | 749 | 99 | 295 | 109 | 380 |
| 12 | 20 | 31 | 127 | 555 | 75 | 156 | 115 | 328 | 109 | 311 | 100 | 333 | 113 | 501 | 99 | 277 | 120 | 625 | 129 | 756 | 105 | 306 | 112 | 381 |
| 13 | 21 | 33 | 132 | 569 | 77 | 161 | 116 | 340 | 115 | 319 | 107 | 356 | 117 | 524 | 102 | 283 | 128 | 641 | 135 | 771 | 109 | 318 | 115 | 386 |
| 14 | 21 | 35 | 146 | 581 | 80 | 164 | 120 | 354 | 121 | 325 | 119 | 375 | 121 | 550 | 108 | 294 | 132 | 664 | 137 | 785 | 117 | 331 | 116 | 391 |
| 15 | 22 | 39 | 151 | 606 | 83 | 169 | 123 | 375 | 128 | 344 | 135 | 389 | 132 | 569 | 109 | 298 | 135 | 685 | 144 | 801 | 119 | 345 | 119 | 395 |
| Mean | 15 | 25 | 95 | 520 | 57 | 135 | 87 | 300 | 86 | 289 | 89 | 319 | 96 | 462 | 82 | 241 | 106 | 573 | 110 | 708 | 84 | 277 | 93 | 346 |
| SD | 4.6 | 7.1 | 28.1 | 44.5 | 16.9 | 22.7 | 25.3 | 36.5 | 24.3 | 30.5 | 20.1 | 34.7 | 19.5 | 54.6 | 18.9 | 35.8 | 18.1 | 64.2 | 21.0 | 59.3 | 24.1 | 38.4 | 20.5 | 43.5 |
| COV% | 30.0 | 27.8 | 29.6 | 8.6 | 29.8 | 16.9 | 29.1 | 12.2 | 28.2 | 10.6 | 22.5 | 10.9 | 20.2 | 11.8 | 23.1 | 14.8 | 17.1 | 11.2 | 19.0 | 8.4 | 28.8 | 13.9 | 22.1 | 12.6 |
| Mixture ID | Impact Number | Graphical Method | Method of Lysen | Method of Moments | Average | ||||
|---|---|---|---|---|---|---|---|---|---|
| s | Rg | s | Rg | s | Rg | s | Rg | ||
| PAC | Q1 | 3.24 | 17 | 3.61 | 14 | 3.61 | 17 | 3.49 | 15.80 |
| Q2 | 3.66 | 28 | 3.92 | 23 | 3.93 | 28 | 3.84 | 26.16 | |
| S-SF | Q1 | 3.27 | 110 | 3.75 | 86 | 3.76 | 105 | 3.60 | 100.47 |
| Q2 | 12.07 | 541 | 14.44 | 502 | 14.67 | 539 | 13.73 | 527.27 | |
| S-PF | Q1 | 3.39 | 63 | 3.74 | 51 | 3.75 | 63 | 3.63 | 59.27 |
| Q2 | 6.03 | 145 | 6.93 | 126 | 6.99 | 144 | 6.65 | 138.40 | |
| D-SF-PF | Q1 | 3.37 | 97 | 3.82 | 79 | 3.83 | 96 | 3.67 | 90.69 |
| Q2 | 8.55 | 317 | 9.85 | 285 | 9.97 | 315 | 9.46 | 305.82 | |
| D-PF-SF | Q1 | 3.60 | 95 | 3.95 | 78 | 3.95 | 95 | 3.83 | 89.43 |
| Q2 | 9.77 | 302 | 11.50 | 277 | 11.66 | 302 | 10.98 | 293.71 | |
| T-FG1 | Q1 | 4.69 | 97 | 5.03 | 82 | 5.05 | 97 | 4.93 | 91.92 |
| Q2 | 9.48 | 334 | 11.13 | 305 | 11.28 | 334 | 10.63 | 324.31 | |
| T-FG2 | Q1 | 5.06 | 105 | 5.65 | 89 | 5.68 | 104 | 5.46 | 99.11 |
| Q2 | 8.75 | 487 | 10.17 | 440 | 10.29 | 499 | 9.74 | 475.54 | |
| T-FG3 | Q1 | 4.34 | 90 | 4.92 | 75 | 4.94 | 89 | 4.73 | 84.76 |
| Q2 | 6.92 | 257 | 7.93 | 227 | 8.01 | 256 | 7.62 | 246.78 | |
| T-FG4 | Q1 | 6.02 | 113 | 6.82 | 99 | 6.87 | 113 | 6.57 | 108.62 |
| Q2 | 9.21 | 602 | 10.77 | 547 | 10.91 | 600 | 10.30 | 583.22 | |
| T-FG5 | Q1 | 5.32 | 119 | 6.04 | 102 | 6.08 | 118 | 5.81 | 113.38 |
| Q2 | 12.34 | 736 | 14.78 | 684 | 15.02 | 733 | 14.05 | 717.67 | |
| T-FG6 | Q1 | 3.37 | 93 | 3.88 | 76 | 3.89 | 93 | 3.71 | 87.35 |
| Q2 | 7.46 | 294 | 8.55 | 262 | 8.64 | 297 | 8.22 | 284.50 | |
| T-FG7 | Q1 | 4.38 | 102 | 5.17 | 86 | 5.19 | 101 | 4.91 | 96.13 |
| Q2 | 7.76 | 367 | 9.51 | 329 | 9.62 | 364 | 8.96 | 353.40 | |
Publisher’s Note: MDPI stays neutral with regard to jurisdictional claims in published maps and institutional affiliations. |
© 2022 by the authors. Licensee MDPI, Basel, Switzerland. This article is an open access article distributed under the terms and conditions of the Creative Commons Attribution (CC BY) license (https://creativecommons.org/licenses/by/4.0/).
Share and Cite
Murali, G.; Prasad, N.; Abid, S.R.; Vatin, N.I. Response of Functionally Graded Preplaced Aggregate Fibrous Concrete with Superior Impact Strength. Buildings 2022, 12, 563. https://doi.org/10.3390/buildings12050563
Murali G, Prasad N, Abid SR, Vatin NI. Response of Functionally Graded Preplaced Aggregate Fibrous Concrete with Superior Impact Strength. Buildings. 2022; 12(5):563. https://doi.org/10.3390/buildings12050563
Chicago/Turabian StyleMurali, Gunasekaran, Nandhu Prasad, Sallal R. Abid, and Nikolai Ivanovich Vatin. 2022. "Response of Functionally Graded Preplaced Aggregate Fibrous Concrete with Superior Impact Strength" Buildings 12, no. 5: 563. https://doi.org/10.3390/buildings12050563
APA StyleMurali, G., Prasad, N., Abid, S. R., & Vatin, N. I. (2022). Response of Functionally Graded Preplaced Aggregate Fibrous Concrete with Superior Impact Strength. Buildings, 12(5), 563. https://doi.org/10.3390/buildings12050563

