Dynamic Behavior of RC Columns Confined with Micro-Expansive Concrete-Filled Steel Tubes Subjected to Lateral Low-Velocity Impact: Experimental and Numerical Study
Abstract
:1. Introduction
2. Experimental Design
2.1. Specimen Design
2.2. Material Properties
2.3. Loading Device and Layout of Measuring Points
3. Experimental Results
3.1. Failure Mode
3.2. Impact–Time History Curve
3.3. Displacement-Time History Curve
4. Numerical Calculation
4.1. Establishment of Finite Element Model
4.2. Constitutive Model of Materials
4.3. Contact Relationships and Boundary Constraints
5. Model Validation
5.1. Failure Mode
5.2. Impact-Time History Curve
5.3. Displacement-Time History Curve
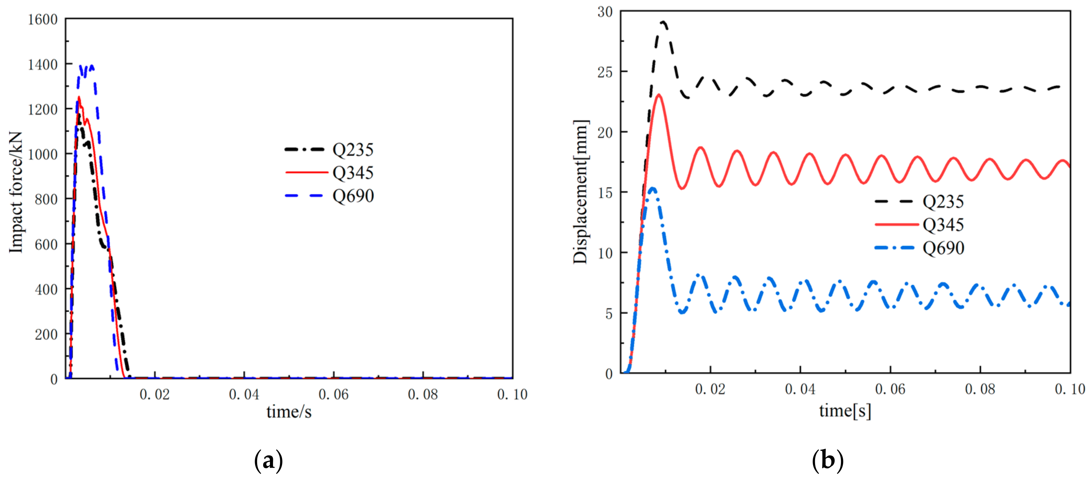
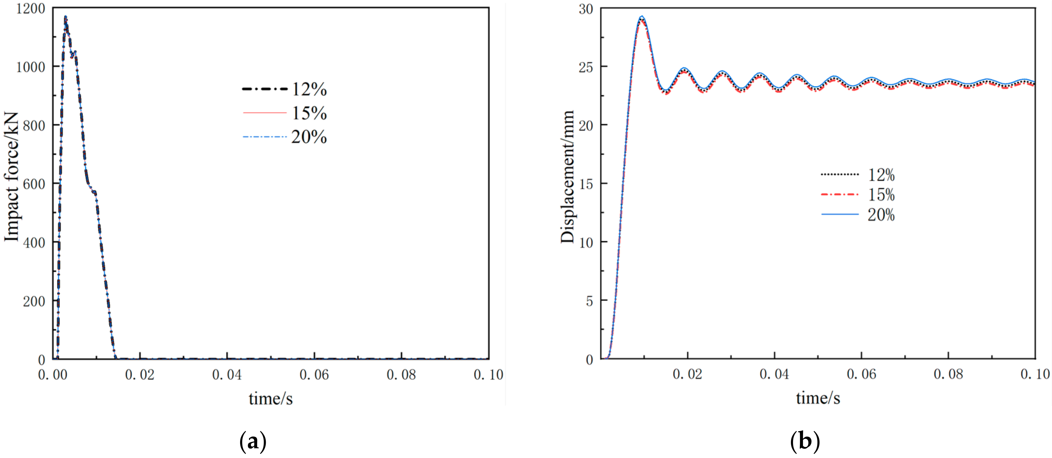
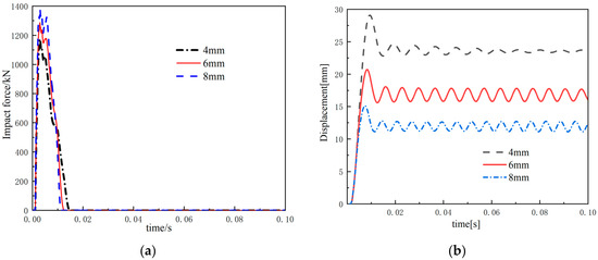
5.4. Parametric Analysis
5.4.1. Steel Tube Strength
5.4.2. Thickness of Steel Tube
5.4.3. Micro-Expansive Concrete Strengths
5.4.4. Expansion Rate
6. Conclusions
- (1)
- The restraint form of micro-expansive concrete filled steel tube strengthened RC column does not appear obvious local buckling under impact load and greatly reduces the maximum deflection and residual deflection of the specimen compared with the control RC column.
- (2)
- Under the vehicle impact load, the RC column mainly occurs shear failure, and the speed of the SM-RC column is 1.1 times higher than that of the RC column, but the column body of the SM-RC column does not buckle, and the column body remains intact.
- (3)
- A numerical model for predicting micro-expansive concrete-filled steel tube columns under vehicle impact load is proposed, and the experimental results verify the effectiveness of the numerical model, and the results are in good agreement.
- (4)
- The finite element results show that the impact force increases and the peak displacement decreases with the increase of steel tube wall thickness and steel tube strength; The strength and expansion rate of micro-expansive concrete have little effect on the specimens. In order to improve the anti-collision performance of the specimen, the strength and wall thickness of the steel tube can be appropriately improved.
- (5)
- The peak displacement of the SM-RC column is 25.9% lower than that of the RC column, Due to the increased stiffness, the peak impact force increased by 138.2%.
- (6)
- Because the area of micro-expansive concrete in RC columns reinforced by micro-expansive concrete filled steel tubes is relatively small, the effect is not obvious in the whole specimen. Therefore, it is necessary to study the dynamic response of micro-expansive concrete-filled steel tube columns under impact load.
Author Contributions
Funding
Institutional Review Board Statement
Informed Consent Statement
Data Availability Statement
Conflicts of Interest
References
- Gholipour, G.; Zhang, C.; Mousavi, A.A. Loading rate effects on the responses of simply supported RC beams subjected to the combination of impact and blast loads. Eng. Struct. 2019, 201, 109837. [Google Scholar] [CrossRef]
- Ye, J.-B.; Cai, J.; Chen, Q.-J.; Liu, X.; Tang, X.-L.; Zuo, Z.-L. Experimental investigation of slender RC columns under horizontal static and impact loads. Structures 2020, 24, 499–513. [Google Scholar] [CrossRef]
- Adhikary, S.D.; Li, B.; Fujikake, K. Dynamic behavior of reinforced concrete beams under varying rates of concentrated loading. Int. J. Impact Eng. 2012, 47, 24–38. [Google Scholar] [CrossRef]
- Fujikake, K.; Li, B.; Soeun, S. Impact response of reinforced concrete beam and its analytical evaluation. J. Struct. Eng. 2009, 135, 938–950. [Google Scholar] [CrossRef]
- Saatci, S.; Vecchio, F.J. Effects of shear mechanisms on impact behavior of reinforced concrete beams. ACI Struct. J. 2009, 106, 78–86. [Google Scholar]
- Kishi, N.; Mikami, H. Empirical formulas for designing reinforced concrete beams under impact loading. ACI Struct. J. 2012, 109, 509–520. [Google Scholar] [CrossRef]
- Das Adhikary, S.; Li, B.; Fujikake, K. Low velocity impact response of reinforced concrete beams: Experimental and numerical investigation. Int. J. Prot. Struct. 2015, 6, 81–111. [Google Scholar] [CrossRef]
- Zhao, D.-B.; Yi, W.-J.; Kunnath, S.K. Shear mechanisms in reinforced concrete beams under impact loading. J. Struct. Eng. 2017, 143, 04017089. [Google Scholar] [CrossRef]
- Pham, T.M.; Hao, H. Effect of the plastic hinge and boundary conditions on the impact behavior of reinforced concrete beams. Int. J. Impact Eng. 2017, 102, 74–85. [Google Scholar] [CrossRef] [Green Version]
- Zhou, X.; Zhou, M.; Luo, D.; Wu, B.; Liu, L. Study on the nonlinear response and shear behavior of RC columns under lateral impact. Structures 2021, 34, 3834–3850. [Google Scholar] [CrossRef]
- Liu, B.; Fan, W.; Guo, W.; Chen, B.; Liu, R. Experimental investigation and improved FE modeling of axially-loaded circular RC columns under lateral impact loading. Eng. Struct. 2017, 152, 619–642. [Google Scholar] [CrossRef]
- Hao, H.; Tran, T.T.; Li, H.; Pham, T.M.; Chen, W. On the accuracy, reliability and controllability of impact tests of RC beams. Int. J. Impact Eng. 2021, 157, 103979. [Google Scholar] [CrossRef]
- Li, H.; Chen, W.; Pham, T.M.; Hao, H. Analytical and numerical studies on impact force profile of RC beam under drop weight impact. Int. J. Impact Eng. 2021, 147, 103743. [Google Scholar] [CrossRef]
- Fu, Y.; Yu, X.; Dong, X.; Zhou, F.; Ning, J.; Li, P.; Zheng, Y. Investigating the failure behaviors of RC beams without stirrups under impact loading. Int. J. Impact Eng. 2020, 137, 103432. [Google Scholar] [CrossRef]
- Jin, L.; Lan, Y.; Zhang, R.; Du, X. Numerical analysis of the mechanical behavior of the impact-damaged RC beams strengthened with CFRP. Compos. Struct. 2021, 274, 114353. [Google Scholar] [CrossRef]
- Xu, J.J.; Demartino, C.; Shan, B.; Heo, Y.A.; Xiao, Y. Experimental investigation on performance of cantilever CFRP-wrapped circular RC columns under lateral low-velocity impact. Compos. Struct. 2020, 242, 112143. [Google Scholar] [CrossRef]
- Liu, Y.; Dong, A.; Zhao, S.; Zeng, Y.; Wang, Z. The effect of CFRP-shear strengthening on existing circular RC columns under impact loads. Constr. Build. Mater. 2021, 302, 124185. [Google Scholar] [CrossRef]
- Wei, J.; Li, J.; Wu, C.; Liu, Z.-X.; Fang, J. Impact resistance of ultra-high performance concrete strengthened reinforced concrete beams. Int. J. Impact Eng. 2021, 158, 104023. [Google Scholar] [CrossRef]
- Kadhim, M.M.; Jawdhari, A.R.; Altaee, M.J.; Adheem, A.H. Finite element modelling and parametric analysis of FRP strengthened RC beams under impact load. J. Build. Eng. 2020, 32, 101526. [Google Scholar] [CrossRef]
- Pham, T.M.; Hao, H. Impact behavior of FRP-strengthened RC beams without stirrups. J. Compos. Constr. 2016, 20, 04016011. [Google Scholar] [CrossRef]
- Xiang, Z.; Xin-Zheng, L.U.; Yong-Feng, D.U.; Lie-Ping, Y.E. Experimental study on Impact Resistance of RC Columns strengthened with Steel Jackets. Eng. Mech. 2016, 6, 23–33. [Google Scholar]
- Chuang, C.K.; Xu, Y.L.; Liu, Y. Experimental study on axial compressive properties of self-compacting and self-stressing concrete filled steel tube short columns. J. Dalian Univ. Technol. 2006, 5, 77–82. [Google Scholar]
- Lu, Y.Y.; Yan, B.; Li, N.; Li, S. Compressive behavior of steel tube columns filled with steel fiber reinforced self-stressing and self-compacting concrete. J. Civ. Eng. Manag. 2017, 34, 1–4. [Google Scholar]
- Xu, L.; Zhou, P.; Chi, Y.; Huang, L.; Ye, J.; Yu, M. Experimental study on axial compression bearing capacity of self-stressing and self-compacting high strength concrete filled steel tubular short columns. Eng. Mech. 2017, 3, 93–100. [Google Scholar]
- Liu, X.; Zheng, Y.Z.; Fang, Q.; Xiang, H.B.; Yan, H.C. Experimental study on influence of micro expansive concrete self-stress on performance of steel pipe concrete. Shock Vib. 2021, 2021, 8767162. [Google Scholar]

















| ID | Dimensions mm × mm × mm | Strength of Materials/MPa | ||||
|---|---|---|---|---|---|---|
| Concrete | Longitudinal Rebar | Stirrups | Tube | Micro-Expansive Concrete | ||
| RC | 250 × 250 × 1050 | 20 | 400 | 300 | none | none |
| SM-RC | 278 × 278 × 1050 | 20 | 400 | 300 | 235 | 80 |
| Component | Material Model | Density (kg/m3) | Elastic Modulus (GPa) | Poisson’s Ratio | Yield Stress |
|---|---|---|---|---|---|
| rebar | MAT_PIECEWISE_LINEAR_PLASTICITY | 7850 | 206 | 0.3 | 400 |
| truck | MAT_PLASTIC_KINEMATIC | 7850 | 206 | 0.3 | 235 |
| stirrup | MAT_PLASTIC_KINEMATIC | 7850 | 206 | 0.3 | 300 |
| tube | MAT_PLASTIC_KINEMATIC | 7850 | 206 | 0.3 | 3400 |
Publisher’s Note: MDPI stays neutral with regard to jurisdictional claims in published maps and institutional affiliations. |
© 2022 by the authors. Licensee MDPI, Basel, Switzerland. This article is an open access article distributed under the terms and conditions of the Creative Commons Attribution (CC BY) license (https://creativecommons.org/licenses/by/4.0/).
Share and Cite
Liu, X.; Zheng, Y.; Fang, Q.; Zhou, C.; Yang, Y.; Xiang, H.; Yan, H. Dynamic Behavior of RC Columns Confined with Micro-Expansive Concrete-Filled Steel Tubes Subjected to Lateral Low-Velocity Impact: Experimental and Numerical Study. Buildings 2022, 12, 515. https://doi.org/10.3390/buildings12050515
Liu X, Zheng Y, Fang Q, Zhou C, Yang Y, Xiang H, Yan H. Dynamic Behavior of RC Columns Confined with Micro-Expansive Concrete-Filled Steel Tubes Subjected to Lateral Low-Velocity Impact: Experimental and Numerical Study. Buildings. 2022; 12(5):515. https://doi.org/10.3390/buildings12050515
Chicago/Turabian StyleLiu, Xin, Yuzhou Zheng, Qin Fang, Chang Zhou, Ya Yang, Hengbo Xiang, and Haichun Yan. 2022. "Dynamic Behavior of RC Columns Confined with Micro-Expansive Concrete-Filled Steel Tubes Subjected to Lateral Low-Velocity Impact: Experimental and Numerical Study" Buildings 12, no. 5: 515. https://doi.org/10.3390/buildings12050515
APA StyleLiu, X., Zheng, Y., Fang, Q., Zhou, C., Yang, Y., Xiang, H., & Yan, H. (2022). Dynamic Behavior of RC Columns Confined with Micro-Expansive Concrete-Filled Steel Tubes Subjected to Lateral Low-Velocity Impact: Experimental and Numerical Study. Buildings, 12(5), 515. https://doi.org/10.3390/buildings12050515

