Abstract
Worldwide the concrete industry has started embracing the utilization of recycled concrete aggregates (RCAs) resulting from demolition and construction waste as full or partial substituents in the production of high-strength concrete (HSC) due to their economic and environmental benefits. Several parameters were experimentally investigated in this study. The first parameter analyzed the effect of replacing varying percentages of coarse aggregate with recycled aggregate. The second parameter examined the influence of two aggregate sizes (10 and 20 mm). The third parameter was intended for investigating the influence of three different RCA treatment methods utilizing sodium silicate immersion, cement slurry, and the Los Angeles (LA) abrasion simulation. The test results generally indicated degradation in the engineering properties of concrete produced using untreated RCA compared to the control. The degree of reduction increased as the replacement percentage was increased regardless of the aggregate size. The reduction in compressive strength appeared to have a more pronounced effect in comparison to the splitting tensile strength. The use of treated RCA improved concrete slump by 15–35%. This also caused enhancement in the engineering properties, especially for the LA abrasion mechanical treatment, which was very promising for both aggregate sizes. In comparison with the untreated RCA, the relative enhancement in water absorption was up to 76%, whereas splitting tensile and compressive strengths increased by 3–50% and 5–60%, respectively.
1. Introduction
Concrete produced from cement, water, aggregates, and chemical admixtures, is considered one of the most consumed and globally employed materials in the construction of infrastructure, industrial and marine facilities, buildings, bridges, and pavements. Aggregate typically occupies 60% to 75% concrete volume and plays a significant role in its overall performance. Globally, approximately 25 billion tons of concrete are produced [1]. It is very clear that increased production of concrete would result in growing consumption of natural aggregate resources and severe shortages of good performance aggregates. Hauling good-quality aggregates in large quantities may not be practical due to the high increase in transportation costs [2,3]. Over the last few decades, there have been various attempts to promote sustainability and the production of green and environmentally friendly concrete through the employment of recycled construction materials, especially recycled aggregates [4,5]. However, it may cause some negative impacts on concrete’s fresh, mechanical, and durability properties if it is produced from 100% recycled concrete aggregate (RCA). Thus, there is a need for research on improving the performance of RCA concrete so that it can be utilized in building construction.
The adhered mortar in RCA, composed of hydrated and some amount of unhydrated Portland cement, is a key feature that differentiates RCA from normal/natural coarse aggregate (NCA) [3,6]. The RCA, in comparison with NCA, is typically characterized to have higher porosity, lower abrasion resistance, lower aggregate density, lower 10% fines value, inferior crushing value, lower specific gravity, higher absorption of water, and the degraded engineering properties of concrete [7,8,9]. The quantification of adhered mortar is complicated, and there is no globally accepted standardized test procedure to determine its amount. Nevertheless, several methods have been employed in the literature for the removal of adhered mortar of RCA, which include thermal expansion [3,10], acid dissolution [3,11,12], and freezing-thawing [3,13]. According to Butler et al. [3], the thermal expansion method was most efficient for the removal of the adhered mortar as compared to freeze-thaw or nitric acid dissolution methods. Additionally, the abrasion resistance and water absorption of RCA may also be used as an indirect index to qualitatively and quantitatively assess the adhered mortar. In various experimental studies, mortar adhered to RCAs varied from 20% to 56% [3,14,15].
The engineering properties of RCA-produced concrete have been widely investigated [16,17,18,19,20,21,22,23,24]. In order to produce flowable RCA concrete with a slump value equal to the concrete produced using NCA, 10% extra water was added to the concrete in a study [17]. The engineering properties of RCA concrete are affected by many factors: first, the replacement level of RCA. The higher the replacement level, the more the degradation in concrete properties. Second, the quality of the adhered mortar and the extent of concrete porosity. Third, adhered mortar bond with aggregate [18]. Fourth, the interfacial transition zone (ITZ) between the RCA and the new mortar [3,20]. Fifth, the virgin aggregate characteristics [21,22], sixth, the crushing process [9], and finally, the size of RCA [23]. Because of the adverse impact of employing high replacement levels of RCA in the production of concrete on its mechanical properties, an optimum RCA replacement level of about 30% was found to produce concrete with comparable mechanical properties of control [25]. Additionally, the reduction in the mechanical properties for RCA used at high replacement levels could be overcome by amending the water-to-cement ratio (w/c ratio) [25]. A comparative study indicated that the RCA of good quality, characterized as having lower absorption of water, lesser quantity of adhered mortar, and higher aggregate strength values, produced concrete comparable to that created with NCA [19]. Another experimental work [26] suggested that the concrete strength from which RCA is obtained plays an important role in the overall performance of RCA concrete. The outcome of that study revealed that RCA produced from a strength grade of 80 MPa to 100 MPa resulted in strength comparable to the control specimens, whereas lower strength was observed relative to the NCA concrete for RCA obtained from low strength grades of 30 MPa to 40 MPa.
In order to overcome the reduction in the properties of concrete when RCA is utilized, various researchers have proposed treatment means for enhancing concrete performance [27,28]. The treatment methods for RCA available in the literature can be split into two categories: (i) treatments intending to enhance the quality of the adhered mortar and (ii) treatments aiming at the adhered mortar removal. The utilization of cementitious solutions [28,29], utilization of lime immersion with carbonation and carbonation method [27], and impregnation of RCA with polyvinyl alcohol (PVA) [30] are the most widely used techniques to enhance the characteristics of adhered mortar. Nevertheless, the process of adhered mortar removal is typically carried out using various means, including the immersion of RCA in a diluted acidic chemical solution [31,32], crushing mills [33], a heating technique [34,35], soaking RCA in acetic acid only, combined mechanical rubbing and acetic acid immersion, or the dual treatment of carbonation and acetic acid immersion [27], ultrasonic cleaning process [32], ball rubbing, a dual process of heating and rubbing [36], and heating-scrubbing, and immersion in hydrochloric acid (HCl), and sulfuric acid (H2SO4) [37]. The compressive strength of concrete was stated to have improved by approximately 17% when an adequate modification of the concrete mixing procedure was carried out [38]. Li et al. [39] found the silica fume and fly ash coating RCA as an effective way of improving the concrete strength. The use of fly ash and volcanic ash as organic admixtures were reported to enhance the durability of RCA [40]. Alqarni et al. [41] studied the effect of sodium silicate and cement slurry immersion of RCA at various concentrations of 20–50% on the performance of normal strength concrete produced with RCA. Their findings indicated that the optimum slurry, as well as the sodium silicate concentration, was 40% and the use of this treated RCA at a full replacement level compared to the control improved concrete slump as well as the splitting tensile and compressive strengths. Wichrowska et al. [42] revealed that incorporating fly ash, slag, and recycled cement mortar as an innovative additive into the concrete mixture created with 30% RCA resulted in better physical and mechanical properties compared to the concrete mixture having 100% NCA. Alqarni et al. [41] looked at the effect of the mechanical-based treatment with the Los Angeles (LA) abrasion simulation on the properties of normal strength RCA concrete. Their results indicate the optimal adhered mortar removal for 60-mm diameter steel balls and an operating time of 5 min. The use of treated RCA in the production of concrete caused substantial enhancement of the properties of concrete [41].
The performance of high strength concrete (HSC) produced using RCA has been examined by serval researchers [25,43,44,45,46,47,48]. Hamad and Dawi [43] reported a decrease in mechanical properties ranging from 10% to 15% in comparison to the control, and that replacement levels of RCA and the concrete strength grade had little or no effect. The minor reduction in the strength was due to the good quality of RCA being investigated. Moreover, Tamayo et al. [44] showed that while the compressive strength of concrete created from recycled aggregate originally obtained from electric Arc furnace slag concrete was not affected by the replacement level of RCA at ages greater than or equal to 28 days, about 17% reduction in the modulus of elasticity was recorded at 100% RCA. Nevertheless, it was revealed in an experimental study [45] that the compressive strength generally tends to decrease with increasing RCA percentages, whereas the modulus of elasticity showed no influence by the presence of RCA. However, Sivakumar et al. [46] reported a 37% reduction in compressive strength and a 25% reduction in splitting tensile strength for 50% RCA in comparison to the control. The modification of the w/c ratio from 0.4 to 0.34 reduced the drop in compressive and tensile strengths to 12% and 7%, respectively. Limbachiya et al. [25] showed that 30% RCA could be safely used to produce HSC. The findings of Hassan [47] showed that the employment of 100% RCA caused a reduction in the compressive and splitting strengths by about 21.5% and 39.5%, respectively, and hence, it was suggested to limit the substitution of RCA to 20% to produce comparable results with the control concrete. Yu et al. [49] employed fine RCA as a partial replacement (0% to 100%) of natural aggregate for producing ultra-high-performance concrete (UHPC). The test results revealed almost the same or even better performance of UHPC containing RCA as compared to the one without RCA. Sadowska-Buraczewska et al. [50] tested reinforced concrete beams produced using HSC having untreated RCA. The test results showed a 42% decrease in the compressive strength and a 20% increase in deflection due to the addition of RCA in the production of HSC.
The performance of HSC produced with RCA in terms of the fresh and hardened properties has been investigated by serval researchers. The majority of the conducted studies considered either RCA obtained from higher strength grades (i.e., compressive strength of higher than 35 MPa) or RCA with adhered mortar of less porous material (i.e., normal to good quality RCA). Another research gap in the literature lies in the assessment of the influence of the maximum size of aggregate and RCA treatment procedures employed on the performance of HSC. Moreover, some of the results in the past studies were conflicting. The main purpose of this research is to investigate and characterize the performance of concrete with different replacement levels of RCA of 33%, 67%, and 100% for different aggregate sizes. As part of this investigation, another objective is to assess the effect of the RCA treatment methods on the overall performance of concrete.
2. Significance of Research
This study focuses on the treatment of RCA for improving its characteristics and hence enhancing the performance of HSC produced using treated RCA. Three practical approaches to treating RCA were employed. The first two methods were used to strengthen the adhered mortar through immersion of RCA in different concentrations of cement slurry and sodium silicate solution. The third method used LA abrasion simulation to remove the adhered mortar. The test parameters involved in the three treatment methods were optimized by assessing the changes in the aggregate characteristics. Then the RCA treated using optimized parameters of the three methods was used in producing HSC. The performance of HSC so produced was evaluated through compressive and splitting tensile strength and water absorption tests. The research outcome is expected to be of practical significance in utilizing treated RCA in the production of HSC.
3. Materials and Methods
3.1. Recycled Concrete Aggregate (RCA)
The use of RCA procured from the demolition waste is expected to introduce a large amount of variability in test results, thereby making it difficult to derive meaningful conclusions. Thus, for ensuring consistency in test results, RCA was obtained by crushing low-strength concrete blocks (1000 mm × 1000 mm × 250 mm size), specially prepared for this purpose. In casting these concrete blocks, the coarse aggregate used was limestone, and the same aggregate was used to prepare different concrete mixes. The mix of the concrete blocks was intended for a target strength of about 15–20 MPa. The selection of low-grade concrete for the production of RCA was to have higher voids and absorption capacity, which helped in differentiating the effectiveness of different aggregate treatment methods. These blocks were initially crushed with a hammer to reduce their size so as to fit the jaw crusher feed and subsequently crushed in an aggregate crusher to achieve the RCA of different size fractions. The crushing resulted in aggregates of different sizes: small (<4.75 mm), medium (4.75–20 mm), and large (>20 mm). However, the medium-sized RCA was used in this study because the objective was to investigate the performance of concrete generally used for structural applications using two maximum sizes of aggregate (10 mm and 20 mm). The RCA was then sieved for its segregation into different sizes. The sieves used for this purpose were of three sizes of 25.4, 19.0, 9.51, and 4.75 mm, which were selected according to ASTM C33 (2018) [51]. The physical properties of different RCA sizes obtained according to the ASTM C 127 [52], are shown in Figure 1.

Figure 1.
Physical characteristics of various size fractions of RCA and NCA: (a) Bulk dry specific gravity; (b) Bulk SSD specific gravity; (c) Apparent specific gravity; and (d) Water absorption.
3.2. Treatment Procedures of RCA
Based on the characterization of RCA, three methods of aggregate treatment, namely T1, T2, and T3, were used. For T1 and T2, RCA was immersed in cement-silica fume slurry and sodium silicate solution, respectively, while LA abrasion simulation was used for T3. The first two procedures (T1 and T2) were aimed at filling the adhered mortar pores of RCA for strengthening the mortar, while T3 was employed for the removal of mortar.
Treatment method T1: In this method of treatment of RCA, after drying the RCA at 100 °C for 24 h and subsequent cooling, it was treated by immersion in a cement-silica fume slurry solution of varying levels of concentration. The silica fume, being finer than cement, helped in the percolation of slurry into the adhered mortar pores. Equal amounts of cement and silica fume were mixed in water to prepare slurries of 20%, 30%, 40%, and 50% concentration. The RCA was immersed in the slurry for 30 min, and then it was taken out and dried for 24 h. It was then cured for 7 days. The treated RCA using the four percentages of slurry is shown in Figure 2.

Figure 2.
Treatment of RCA using cement slurry solution: (a) Untreated RCA; (b) Treated RCA using 40% concentration of cement slurry after drying; (c–f) RCA treated using 20%, 30%, 40%, and 50% concentration of cement slurry.
Treatment method T2: Similar to the treatment method T1, in this treatment method also, the RCA was first dried, and then it was treated by soaking it in sodium silicate solution. The solution was prepared by mixing the sodium silicate in different weight percentages of 20%, 30%, 40%, and 50% with water. The RCA was soaked in the solution for about 30 min, and then it was taken out and dried for 24 h. The sodium silicate immersion was used in order to increase the surface hardness of adhered mortar through the reaction of calcium hydroxide in the adhered mortar with sodium silicate leading to the formation of calcium silicate. This treatment method caused a change in color of RCA (Figure 3).
Figure 3.
Treatment of RCA using sodium-silicate solution (a) Untreated RCA; (b) Treated RCA using 40% concentration of sodium-silicate solution after drying; (c–f) RCA treated using 20%, 30%, 40% and 50% concentration of sodium-silicate solution.
Treatment method T3: In this method of treatment, the LA abrasion simulation was used to remove the adhered mortar. This method employed 8 steel balls of 46-mm as well as 60-mm diameter (Figure 4) for varying durations. It is worth mentioning here that the 46 mm is the standard diameter of balls used in the LA abrasion [53,54].
Figure 4.
Steel balls employed in the LA abrasion treatment: (a) 46 mm (standard); (b) proposed diameter of 60 mm.
The standard ball size is employed in the LA abrasion for checking the quality of coarse aggregate, and the purpose is not to grind it, whereas the purpose of the LA abrasion simulation used in this research was to remove adhered mortar without damaging the aggregate in the RCA. Thus, a bigger ball size was also used for rapid abrasion for the removal of adhered mortar. The duration of LA abrasion was varied by using: (i) 5 min, (ii) 10 min, and (iii) 15 min mixing at 33 rotations/min. The 15 min duration corresponds to the standard LA abrasion test of approximately 500 rotations (15 × 33 = 495), and the two lesser durations of 5 and 10 min were selected because the objective was to remove relatively soft adhered mortar as well as to minimize the energy consumption. The selected durations also covered a wide range of the number of rotations. Figure 5 shows the treated RCAs, which show substantial removal of adhered mortar from RCA.

Figure 5.
Treatment of RCA using LA abrasion: (a) Untreated RCA; (b) Treated RCA; (c) close-up of treated RCA with D46-T5; (d) zoomed view of treated RCA with D46-T10; (e) zoomed view of treated RCA with D60-T10; and (f) zoomed view of treated RCA with D46-T15 (Legends Dp: p mm dia balls, Tq: q minutes of LA abrasion duration).
3.3. Concrete Mixture Proportions
All concrete mixes included ordinary Portland cement (OPC) obtained from Riyadh Cement Co. and complying with ASTM C150 [55]. The fine aggregate was comprised of two blended sources of 30% crushed sand and 70% white fine sand. In this study, 10- and 20-mm sizes of coarse aggregates were investigated. The aggregates complied with ASTM C33 [51] requirements for coarse and fine aggregate gradations. The superplasticizer used in the study was MasterGlenium-51, complying with ASTM C494 [56], to produce flowable concrete for high strength concrete.
For the concrete mixtures to reach a target compression strength of 70 MPa, four parameters were taken into consideration: aggregate size, RCA treatment methods, and RCA replacement amounts, as illustrated in Table 1. In order to overcome expected workability issues resulting from the very high absorption of RCA and less w/c ratios and to produce concrete mixtures with slumps conforming with codes of practices, a superplasticizer (MasterGlenium-51) was used in all mixtures. The NCA mixtures, referred to throughout the paper as reference mixes, used 100% crushed limestone aggregates, whereas the RCA mixtures contained 33%, 67%, and 100% RCA as a substitute for coarse aggregate. The selected percentages of RCA cover the 0 to 100% range with a sufficient number of points to observe the trend and hence derive meaningful conclusions. As seen in Table 1, the proportions of the concrete mixes were mixed in a laboratory environment under ACI 211 mixing guidelines [57].
Table 1.
Concrete mixture proportions to produce HSC specimens.
3.4. Specimens and Testing
For determining the tensile and compressive strengths of different concrete mixes, 100 mm × 200 mm concrete cylinders were cast and subsequently cured for 28 days. In this study, aggregates were tested based on ASTM standards for specific gravity, abrasion resistance, and water absorption [51,52,53,54,55,56]. This study examined the compressive and splitting tensile strengths and water absorption of concrete. The fresh property investigated was concrete slump. All test results reported in the paper are the average of three samples.
4. Results and Discussion
4.1. Performance of Concrete Produced Using Untreated RCA
4.1.1. Characteristics of Recycled Concrete Aggregates (RCA)
Figure 1 illustrates the physical properties of both NCA and RCA, which include specific gravities and water absorption [52]. The abrasion resistance of the aggregates was determined using LA abrasion resistance [53,54]. The LA abrasion of RCA and NCA were found to be 38.6 and 22.0%, respectively. It is evident that the variations among the specific gravity values of various size fractions are insignificant (within 10–12%) between the NCA and RCA. Nevertheless, LA abrasion and water absorption appeared to be substantially higher for RCA than NCA. The RCA had water absorption of almost 8.23% compared to the NCA (1.28%) and resulted in mass loss of 38.6%, which is approximately 75% higher than the NCA. It was noted that the poor quality of RCA had porous adhered mortar, which caused a substantial drop in abrasion resistance and an increase in water absorption.
4.1.2. Concrete Slump
The slump test, performed as per ASTM C143 [58], was used to assess the fresh properties of concrete. Observations indicated that as coarse aggregate replacement levels increased, slump values decreased. Compared to the control specimens, higher aggregate replacement levels resulted in a greater reduction in slump, which is consistent with past research [26,41,59]. Additionally, as compared to the control, the reduction in the slump values at 33%, 67%, and 100% were 20%, 31%, and 37%, respectively. This reduction in the slump is mainly due to the poor quality of adhered mortar that resulted in higher water absorption demand, higher number of pores, and weak ITZ.
4.1.3. Compressive Strength
Figure 6a depicts a comparison of the compressive strengths of concrete produced using aggregate sizes of 10 mm and 20 mm, obtained in accordance with the ASTM C39/C39M-20 [60]. Although the concrete of 10 mm aggregate size caused higher compressive strength than that of the 20 mm aggregate specimens, the strength reduction behavior at various replacement levels appeared to be comparable for the two sizes. Furthermore, the rate of drop in the compressive strength was very pronounced at 33%, after which a steady, gradual reduction was maintained until reaching 100% replacement level, irrespective of the aggregate size. In comparison to the control, the drop in compressive strength at aggregate replacement levels of 33%, 67%, and 100% were 32%, 42%, and 54%, respectively, for the 10-mm aggregate size specimens and were 37%, 52%, and 58%, respectively, for the 20-mm maximum aggregate size specimens. The drop in strength observed with the increase in the substitution percentage of RCA is in agreement with the past studies of Andreu and Miren [21], and Alqarni et al. [41]. This reduction was mainly due to the quality of RCA, which was characterized to have very porous mortar attached to its surface. The failure mechanism of high-strength concrete produced using normal coarse aggregates is characterized by fractures passing through coarse aggregate particles. However, the failure mechanism of RCA concrete is mainly dominated by the quality of adhered mortar-generally known as old ITZ, which in turn has a significant effect on the matrix-aggregate bond [4]. Therefore, the failure mechanism of high-strength concrete with RCA may occur through the coarse aggregate or in and around coarse aggregate, specifically at ITZ. It has been reported in the literature that bonding strength between RCA and new mortar was as good as or better than the natural aggregate-mortar bond [4,21]. This superior performance in their findings was attributed to the good quality of adhered mortar (old ITZ) and highly rough surface texture. Nevertheless, the poor quality of RCA, which is characterized by high water absorption, high volume of pores, a high number of cracks, and weaker ITZ, results in lower mechanical properties if not treated. The decrease in the compressive in this study was due to the very poor RCA quality as it had high water absorption, a greater amount of porous material, less abrasion resistance, and weaker ITZ. A higher volume of poorly adhered mortar was hypothesized to produce a weaker ITZ-RCA bond when RCA was bigger (i.e., 20-mm size), which ultimately caused lower compressive strength.
Figure 6.
Effect of RCA replacement levels for two aggregate sizes on: (a) concrete compressive strength; and (b) splitting tensile strength.
4.1.4. Splitting Tensile Strength
A comparison of the splitting tensile strength of concrete, determined as per ASTM C496/C496M-17 [61], is illustrated in Figure 6b. The results for splitting tensile strength exhibited a similar trend as those for compressive strength, i.e., a smaller aggregate size resulted in higher tensile strength. The difference between the tensile strengths of 10- and 20-mm aggregate sizes was insignificant (less than 7%) at various replacement levels. As the amount of RCA was increased, the tensile strength decreased, but the rate of reduction did not exceed 32%, up to a substitution level of 67% compared to the control specimens. However, with the full utilization of RCA, the rate of drop in tensile strength was less noticeable than the reduction rate in compression (42% vs. 58%). The splitting tensile to compressive strength ratio varied from 9.9% to 13.6%. The rough texture of RCA and the porous nature of adhered mortar are responsible for improved ITZ that resulted in a lesser drop in the tensile strength of concrete, which is also reported in previous research (e.g., Ref. [62]).
4.1.5. Water Absorption
The water absorption of 10- and 20-mm size NCA concrete was 1.1% and 1.0%, respectively, which increased to 7.7%, and 7.6%, respectively, for the two sizes of RCA. ASTM C1585-20 [63] was followed for determining the water absorption. Useful insight about the durability of concrete in terms of permeability can be gained from water absorption. The concrete with a low water absorption tends to have better permeability and ultimately superior resistance against permeability, sulfate attack, and chloride ion diffusion. Irrespective of the aggregate size, there was a pronounced increase in water absorption of RCA concrete, which was almost seven times the control specimens. This increase is mainly due to the high volume of porous mortar adhered to the RCA.
4.2. Performance of Concrete Produced Using Treated RCA
This section presents the characteristics of RCA treated using the three methods, which are compared with the characteristics of untreated RCA. Moreover, the properties of HSC produced using treated RCA are also presented and compared with the test results of untreated RCA.
4.2.1. Characteristics of Recycled Concrete Aggregates (RCA)
The treatment methods were first optimized for achieving the best results in terms of the overall aggregate characteristics, which were assessed on the basis of the test results of LA abrasion, water absorption, and visual inspection.
RCA Treatment Method T1
The RCA obtained after the treatment using different levels of concentration of cement-silica fume slurry is shown in Figure 2. RCA treatment using the cement slurry of 20% and 30% concentration resulted in a partial coating of cement-silica fume, while the treatment using 50% slurry concentration showed an excessively thick coating of cement. The objective of this treatment procedure was to fill the pores of adhered mortar with cement slurry and not to coat it. Figure 7a illustrates the effect of this method of treatment on LA abrasion and water absorption of treated RCA. It is observed from these results that there is a trend of reduction in water absorption as the slurry concentration increases up to 40%, and subsequently, there is a very small drop in water absorption. Additionally, the LA abrasion test results also show that a 40% concentration of the cement slurry is the optimal concentration for this treatment, which is also confirmed by the images of the treated aggregate (Figure 2), as discussed above.
Figure 7.
Water absorption and LA abrasion of RCA treated by: (a) method T1; and (b) method T2.
RCA Treatment Method T2
The RCA obtained after the treatment using the different concentrations of sodium silicate solution is shown in Figure 3. Sodium silicate treatment of RCA at 20% and 30% concentrations results in partial treatment, whereas treatment at 50% concentration results in thick sodium silicate coating. The main purpose of this method of treatment was to penetrate the pores of the adhered mortar to enhance the surface hardness of the adhered mortar through the reaction of calcium hydroxide with sodium silicate. Figure 7b illustrates the influence of this method of treatment on the water absorption and the LA abrasion of the treated RCA.
It is observed from these results that there is a continuous drop in water absorption as the sodium silicate concentration increases up to 40%, and subsequently, there is a very small drop in water absorption. Furthermore, the results of the LA abrasion also indicate the 40% sodium silicate concentration to be an optimal solution concentration for this treatment, which is also confirmed by the images of the treated aggregate (Figure 3), as discussed above.
The variation trend of LA abrasion and water absorption with the concentration of sodium silicate solution is similar to that observed for the treatment procedure T1. However, the LA abrasion and water absorption for treatment using sodium silicate solution is lower than that achieved by employing a cement slurry of the same concentration. Moreover, the curing time required for sodium silicate immersion is low as compared to the cement-silica fume slurry.
RCA Treatment Method T3
For assessing the effectiveness of the procedures of treatment using LA abrasion using two sizes of steel balls and three durations, a sieve analysis was performed on the treated RCA. The aggregate size distribution for the RCA treated using the two steel ball sizes is shown in Figure 8. The size distribution of RCA before treatment is also plotted in this figure. The aggregate size distribution for the LA abrasion of normal aggregates from which the RCA was obtained is plotted in Figure 9, which was used as a control for evaluating the results of treated RCA. The condition of RCA of different sizes after treatment using standard steel balls is shown in Figure 5 for the following durations: 5, 10, and 15 min.
Figure 8.
Influence of LA abrasion duration on RCA by balls of: (a) standard size (46-mm diameter); and (b) 60-mm diameter (Legends Dp: p mm dia balls, Tq: q minutes of LA abrasion duration).
Figure 9.
Influence of LA abrasion duration on NCA by balls of: (a) standard size (46-mm diameter); and (b) 60-mm diameter (Legends Dp: p mm dia balls, Tq: q minutes of LA abrasion duration).
The LA abrasion of normal aggregate for different durations of rotation, shown in Figure 9, indicates that the effects of LA abrasion for five and ten minutes on the grading of normal aggregates are small, except for a slight increase in fines. Nevertheless, the gap between the 10- and 15-min curves illustrates that enhancing the duration to 15 min causes abrasion of aggregates because all aggregate sizes have been reduced (Figure 5).
The gap between the size distribution curves of untreated and treated RCA, together with the increase in percent passing the 4.75 mm and finer sieve, gives an idea about the amount of adhered mortar removed. Figure 8 illustrates that for both sizes of balls, the increase in the duration of LA abrasion increases this gap, thereby indicating an increase in the removal of adhered mortar. However, the 15 min duration leads to the abrasion of aggregate, which is not recommended. Thus, the optimal duration of LA abrasion is 10 min.
It is explicable from Figure 8 that the larger size of balls enhances the removal of adhered mortar. A comparison shows that the gap between the 15 min LA abrasion using standard balls is almost the same as 5 min LA abrasion using 60 mm size balls. As the increase in the duration of LA abrasion from 5 to 10 min for bigger ball size further increases the gap between the curves of treated and untreated RCA, the optimal scheme of treatment is LA abrasion for 10 min using standard 46-mm diameter balls. This scheme causes maximum removal of adhered mortar without significant abrasion or breakage of aggregates, which is also confirmed by Figure 5.
4.2.2. Concrete Slump
Treatment of the RCA using the three methods resulted in an improvement in the flowability of concrete compared to untreated RCA. In general, treated specimens typically exhibited higher slump levels compared to untreated specimens by 15–35%. Even though the slump values were increased for the treated RCA, the maximum dosage of superplasticizer was used for all replacement levels. The trend of the reduction in slump, as the amount of RCA was increased, observed in the untreated RCA specimens, was still noticed to be similar to those of the treated specimens but with much a lower detrimental effect. Because of the porous adhered mortar, which was removed during the treatment process, LA abrasion proved to be the most effective treatment method for increasing the slump of concrete. Although both sodium silicate and cement-silica fume slurry were intended to penetrate the adhered mortars, sodium silicate had a superior flowability to cement slurry. Consequently, the cement slurry formed a coating at the surface of the adhered mortar, which increased water demand, thus reducing concrete slump.
4.2.3. Compressive Strength
Figure 10 depicts the compressive strength of concrete determined as per ASTM C39/C39M-20 standard [60]. Although the 10-mm aggregate size produced higher strength for the untreated specimens, all the three treatment procedures enhanced the strength, especially for the aggregate size of 20-mm, as illustrated in Figure 11. The strength increase was more pronounced for the LA abrasion and sodium silicate treatment than the cement slurry immersion. The increase in strength for the LA abrasion as compared to the untreated specimens varied from 20% to 60%, while the enhancement in compressive strength for the sodium silicate treatment varied from 8% to 40%. However, the strength increase due to the cement slurry treatment was relatively less (<17%). The compressive strength increase for the LA abrasion treatment of RCA was primarily due to the removal of poor-quality mortar adhered to the surface of RCA. It is hypothesized that the bigger aggregate size of 20-mm would have a higher amount of poor-quality mortar in RCA, and upon treatment with the LA abrasion, a considerable amount of the attached mortar was removed. As a result, this enhanced the bonding at the new ITZ of treated RCA and ultimately improved the engineering properties of concrete. While the cement-silica fume and sodium silicate treatment are intended to densify and harden the mortar adhered to RCA, the compressive strength showed inferior performance for the concrete specimens treated with cement slurry. This was due to having RCA particles partially to excessively coated with the cement-silica fume slurry, which influenced the shape, surface texture, roughness, and RCA interlocking with new ITZ, all of which led ultimately to lowering the compressive strength. The superior performance of the sodium silicate immersion was due to the effective penetration of diluted sodium silicate in the pores of adhered mortar as well as reactions with the Ca(OH)2 available in the porous adhered mortar. Such reactions resulted in a more densifying and hardening of adhered mortar without causing significant impacts on the RCA shape, surface texture, and toughness.
Figure 10.
Compressive strength results of untreated and treated RCA for: (a) 10 mm aggregate; and (b) 20 mm aggregate.
Figure 11.
Gain in compressive strength because of the treatment of RCA by different methods (T1, T2, and T3) for: (a) 10-mm aggregate; and (b) 20-mm aggregate.
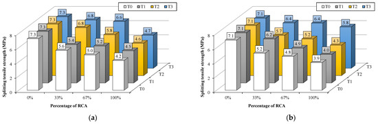
4.2.4. Splitting Tensile Strength
Figure 12 illustrates the splitting tensile strength of concrete determined as per ASTM C496/C496M-17 [61]. These results follow the same trend as noted for the compressive strength; that is, the RCA treated with LA abrasion resulted in the highest tensile strength, followed by the RCA treatment using sodium silicate solution. As compared to untreated specimens, LA abrasion increased tensile strength by 11% to 50%, and sodium silicate immersion increased tensile strength by 8% to 20% (Figure 13). However, the RCA treatment using cement slurry caused a relatively lesser improvement in tensile strength (<19%). While the three treatment methods exhibited slightly to highly better performance than that of untreated specimens at smaller replacement levels, the benefit of such treatments seemed to have degraded at a higher decreasing rate for smaller replacement levels for both the cement slurry and sodium silicate treatments. This may be attributed to the aggregate shape, surface texture, roughness, and RCA interlocking with new ITZ when such treatments are utilized. The enhancement provided by the LA abrasion was due to the removal of a considerable amount of the attached mortar. This finding was in line with the trend of compressive strength results.
Figure 12.
Splitting tensile strength results of untreated and treated RCA for: (a) 10-mm aggregate; and (b) 20-mm aggregate.
Figure 13.
Gain in splitting tensile strength due to the treatment of RCA by different methods (T1, T2, and T3) for: (a) 10-mm aggregate; and (b) 20-mm aggregate.
4.2.5. Water Absorption
Figure 14 illustrates the water absorption of concrete determined as per ASTM C1585-20 [63]. The cement-silica fume treatment appeared to be very insignificant in minimizing the water absorption, whereas the decrease in water absorption was substantially significant for the RCA treatment by LA abrasion followed by the treatment using sodium silicate solution. The LA abrasion treatment achieved the optimum performance in terms of water absorption, resulting in a substantial drop from 7.7% to 2.0% for the aggregate size of 10 mm and from 7.6% to 1.7% for the aggregate size of 20 mm. Because of the removal of adhered mortar from RCA, water absorption has been significantly reduced. The reason for this significant reduction lies in its high amount of porous mortar with a high absorptive capacity. Dilbas et al. [64] also revealed that the water absorption of RCA treated using ten steel balls and 500 revolutions caused a decrease in the water absorption from 8.95% to 0.84%, which is very consistent with the findings of this study.
Figure 14.
Water absorption results of NCA and RCA for two aggregate sizes of 10 and 20 mm.
5. Conclusions
Three influencing parameters have been thoroughly investigated in this study. These parameters include: (i) the effect of various replacement levels of RCA of 33%, 67%, and 100%, (ii) the effect of maximum RCA sizes of 10 and 20 mm, and (iii) the effect of the proposed treatment methods. The treatment methods utilized in this study were either for the hardening of the adhered mortar or its removal. While the removal of mortar was intended to eliminate or minimize it through LA abrasion, the hardening of adhered mortar was carried out using sodium silicate solution and cement slurry through their penetration in the porous adhered mortar for better hardening of the adhered mortar. The performance of concrete was assessed through the physical and abrasion properties of RCA and the properties of concrete. The major conclusions derived from the present study are:
- (i)
- The maximum size of aggregate appeared to have little effect on the fresh and hardened properties of concrete.
- (ii)
- As the level of untreated RCA replacement increased, the splitting tensile and compressive strengths of concrete decreased. The decrease in compressive strength was more significant (32% to 58%) than the tensile strength (23% to 42%). The tensile strength of RCA concrete was 9% to 12.5% of the compressive strength. The water absorption of untreated RCA concrete increased significantly, almost seven times more than the control specimens.
- (iii)
- The optimum solution concentration percentage for the sodium silicate and cement slurry treatments in terms of water absorption and mechanical abrasion was 40%, while the optimum ball size and duration for the LA abrasion treatment was 60-mm steel ball diameter and 5 min, respectively. For the treated RCA, the decrease in water absorption was more apparent with a bigger aggregate size of 20 mm.
- (iv)
- Although the slump value for the untreated concrete specimens was very low, especially at higher replacement levels, the RCA treatment methods increased the workability of concrete by 15% (for cement slurry immersion) to 35% (LA abrasion).
- (v)
- The improvement in the compressive strength for the LA abrasion treatment was more pronounced (20% to 60%) than those of the sodium silicate and cement slurry treatments. The improvement in the compressive strength was primarily due to the removal of the porous mortar from the RCA. Splitting tensile strength of treated RCA concrete showed almost a similar decreasing trend as compressive strength with the exception of a slightly slower rate of decline. The LA abrasion treatment of RCA caused a substantial drop in water absorption of concrete from 8% to 2%, irrespective of the aggregate size.
- (vi)
- The study shows that there is a potential for utilizing treated RCA in the production of HSC. However, further research is needed to investigate the structural behavior of this concrete.
Author Contributions
A.S.A.: Conceptualization, Methodology, Data curation, Writing—original draft, Writing—review and editing. H.A.: Visualization, Investigation, Data curation, Writing—original draft, Writing—review and editing. K.M.A.-S.: Methodology, Writing—original draft, Writing—review and editing. Y.A.A.-S.: Supervision, Funding acquisition, Investigation, Writing—review and editing. All authors have read and agreed to the published version of the manuscript.
Funding
This research received no external funding.
Institutional Review Board Statement
Not applicable.
Informed Consent Statement
Not applicable.
Data Availability Statement
Not applicable.
Acknowledgments
The authors are grateful to the Deanship of Scientific Research, King Saud University, for funding through Vice Deanship of Scientific Research Chairs.
Conflicts of Interest
The authors declare no conflict of interest.
References
- Behera, M.; Bhattacharyya, S.K.; Minocha, A.K.; Deoliya, R.; Maiti, S. Recycled aggregate from C&D waste & its use in concrete–A breakthrough towards sustainability in construction sector: A review. Constr. Build. Mater. 2014, 68, 501–516. [Google Scholar]
- Miller, G. Running out of gravel and rock: But what is the true state of aggregates resources. Tor. Star 2005, 6, 1–2. [Google Scholar]
- Butler, L.; West, J.S.; Tighe, S.L. The effect of recycled concrete aggregate properties on the bond strength between RCA concrete and steel reinforcement. Cem. Concr. Res. 2011, 41, 1037–1049. [Google Scholar] [CrossRef]
- Meyer, C. The greening of the concrete industry. Cem. Concr. Compos. 2009, 31, e601–e605. [Google Scholar] [CrossRef]
- Gursel, A.P.; Masanet, E.; Horvath, A.; Stadel, A. Life-cycle inventory analysis of concrete production: A critical review. Cem. Concr. Compos. 2014, 51, e38–e48. [Google Scholar] [CrossRef]
- Prokopski, G.; Halbiniak, J. Interfacial transition zone in cementitious materials. Cem. Concr. Res. 2000, 30, 579–583. [Google Scholar] [CrossRef]
- Li, J. Study on Mechanical Behavior of Recycled Aggregate Concrete. Master’s Thesis, Tongji University, Shanghai, China, October 2004. [Google Scholar]
- Kou, S.C. Reusing Recycled Aggregates in Structural Concrete. Ph.D. Thesis, The Hong Kong Polytechnic University, Hong Kong, 2006. Available online: https://theses.lib.polyu.edu.hk/bitstream/200/538/1/b20592644.pdf (accessed on 10 April 2022).
- Nagataki, S.; Gokce, A.; Saeki, T.; Hisada, M. Assessment of recycling process induced damage sensitivity of recycled concrete aggregates. Cem. Concr. Res. 2004, 34, 965–971. [Google Scholar] [CrossRef]
- De Juan, M.S.; Gutiérrez, P.A. Study on the influence of attached mortar content on the properties of recycled concrete aggregate. Constr. Build. Mater. 2009, 23, 872–877. [Google Scholar] [CrossRef]
- Pandurangan, K.; Dayanithy, A.; Prakash, S.O. Influence of treatment methods on the bond strength of recycled aggregate concrete. Constr. Build. Mater. 2016, 120, 212–221. [Google Scholar] [CrossRef]
- Abbas, A.; Fathifazl, G.; Isgor, O.B.; Razaqpur, A.G.; Fournier, B.; Foo, S. Proposed method for determining the residual mortar content of recycled concrete aggregates. J. ASTM Int. 2007, 5, 1–12. [Google Scholar]
- Zoldners, N.G. Thermal properties of concrete under sustained elevated temperatures. Spec. Publ. 1971, 25, 1–32. [Google Scholar]
- Fathifazl, G. Structural Performance of Steel Reinforced Recycled Concrete Members. Ph.D. Thesis, Carleton University, Ottawa, Canada, January 2008. [Google Scholar]
- Movassaghi, R. Durability of Reinforced Concrete Incorporating Recycled Concrete as Aggregate (RCA). Master’s Thesis, University of Waterloo, Waterloo, Canada, 2006. Available online: https://uwspace.uwaterloo.ca/bitstream/handle/10012/2884/rmovassa2006.pdf?sequence=1&isAllowed=y (accessed on 10 April 2022).
- Piccinali, A.; Diotti, A.; Plizzari, G.; Sorlini, S. Impact of Recycled Aggregate on the Mechanical and Environmental Properties of Concrete: A Review. Materials 2022, 15, 1818. [Google Scholar] [CrossRef]
- Tabsh, S.W.; Abdelfatah, A.S. Influence of recycled concrete aggregates on strength properties of concrete. Constr. Build. Mater. 2009, 23, 1163–1167. [Google Scholar] [CrossRef]
- Xing, Z.; Zhou, Y. Basic behavior of recycled aggregate concrete. J. China Inst. Water Conserv. Hydroelectr. Power 1998, 2, 30–32. (In Chinese) [Google Scholar]
- Duan, Z.H.; Poon, C.S. Properties of recycled aggregate concrete made with recycled aggregates with different amounts of old adhered mortars. Mater. Des. 2014, 58, 19–29. [Google Scholar] [CrossRef]
- Rao, G.A.; Prasad, B.R. Influence of the roughness of aggregate surface on the interface bond strength. Cem. Concr. Res. 2002, 32, 253–257. [Google Scholar] [CrossRef]
- Andreu, G.; Miren, E. Experimental analysis of properties of high performance recycled aggregate concrete. Constr. Build. Mater. 2014, 52, 227–235. [Google Scholar] [CrossRef]
- Ajdukiewicz, A.; Kliszczewicz, A. Influence of recycled aggregates on mechanical properties of HS/HPC. Cem. Concr. Compos. 2002, 24, 269–279. [Google Scholar] [CrossRef]
- Ghorbani, S.; Sharifi, S.; Ghorbani, S.; Tam, V.W.; de Brito, J.; Kurda, R. Effect of crushed concrete waste’s maximum size as partial replacement of natural coarse aggregate on the mechanical and durability properties of concrete. Resour. Conserv. Recycl. 2019, 149, 664–673. [Google Scholar] [CrossRef]
- Chen, J.; Zhou, Y.; Yin, F. A Practical Equation for the Elastic Modulus of Recycled Aggregate Concrete. Buildings 2022, 12, 187. [Google Scholar] [CrossRef]
- Limbachiya, M.C.; Leelawat, T.; Dhir, R.K. Use of recycled concrete aggregate in high-strength concrete. Mater. Struct. 2000, 33, 574–580. [Google Scholar] [CrossRef]
- Kou, S.C.; Poon, C.S. Effect of the quality of parent concrete on the properties of high performance recycled aggregate concrete. Constr. Build. Mater. 2015, 77, 501–508. [Google Scholar] [CrossRef]
- Kazmi, S.M.S.; Munir, M.J.; Wu, Y.F.; Patnaikuni, I.; Zhou, Y.; Xing, F. Influence of different treatment methods on the mechanical behavior of recycled aggregate concrete: A comparative study. Cem. Concr. Compos. 2019, 104, 103398. [Google Scholar] [CrossRef]
- Xuan, D.; Zhan, B.; Poon, C.S. Durability of recycled aggregate concrete prepared with carbonated recycled concrete aggregates. Cem. Concr. Compos. 2017, 84, 214–221. [Google Scholar] [CrossRef]
- Xuan, D.; Zhan, B.; Poon, C.S. Assessment of mechanical properties of concrete incorporating carbonated recycled concrete aggregates. Cem. Concr. Compos. 2016, 65, 67–74. [Google Scholar] [CrossRef]
- Ghosh, A.; Subbarao, C. Microstructural development in fly ash modified with lime and gypsum. J. Mater. Civ. Eng. 2001, 13, 65–70. [Google Scholar] [CrossRef]
- Tam, V.W.; Tam, C.M.; Le, K.N. Removal of cement mortar remains from recycled aggregate using pre-soaking approaches. Resour. Conserv. Recycl. 2007, 50, 82–101. [Google Scholar] [CrossRef] [Green Version]
- Katz, A. Treatments for the improvement of recycled aggregate. J. Mater. Civ. Eng. 2004, 16, 597–603. [Google Scholar] [CrossRef]
- Gjorv, O.E.; Sakai, K. (Eds.) Concrete Technology for a Sustainable Development in the 21st Century; CRC Press: Boca Raton, FL, USA, 1999. [Google Scholar]
- Bru, K.; Touzé, S.; Bourgeois, F.; Lippiatt, N.; Ménard, Y. Assessment of a microwave-assisted recycling process for the recovery of high-quality aggregates from concrete waste. Int. J. Miner. Process. 2014, 126, 90–98. [Google Scholar] [CrossRef] [Green Version]
- Tateyashiki, H.; Shima, H.; Matsumoto, Y.; Koga, Y. Properties of concrete with high quality recycled aggregate by heat and rubbing method. Proc. JCI 2001, 23, 61–66. [Google Scholar]
- Noguchi, T.; Kitagaki, R.; Nagai, H.; Tsujino, M. Completely recyclable concrete of aggregate-recovery type by using microwave heating technology. In Proceedings of the 2nd International RILEM Conference on Progress of Recycling in the Built Environment, Sao Paulo, Brazil, 2–4 December 2009; pp. 2–4. [Google Scholar]
- Purushothaman, R.; Amirthavalli, R.R.; Karan, L. Influence of treatment methods on the strength and performance characteristics of recycled aggregate concrete. J. Mater. Civ. Eng. 2015, 27, 04014168. [Google Scholar] [CrossRef]
- Tam, V.W.; Tam, C.M. Diversifying two-stage mixing approach (TSMA) for recycled aggregate concrete: TSMAs and TSMAsc. Constr. Build. Mater. 2008, 22, 2068–2077. [Google Scholar] [CrossRef] [Green Version]
- Li, J.; Xiao, H.; Zhou, Y. Influence of coating recycled aggregate surface with pozzolanic powder on properties of recycled aggregate concrete. Constr. Build. Mater. 2009, 23, 1287–1291. [Google Scholar] [CrossRef]
- Kou, S.C.; Poon, C.S. Enhancing the durability properties of concrete prepared with coarse recycled aggregate. Constr. Build. Mater. 2012, 35, 69–76. [Google Scholar] [CrossRef]
- Alqarni, A.S.; Abbas, H.; Al-Shwikh, K.M.; Al-Salloum, Y.A. Treatment of recycled concrete aggregate to enhance concrete performance. Constr. Build. Mater. 2021, 307, 124960. [Google Scholar] [CrossRef]
- Kalinowska-Wichrowska, K.; Pawluczuk, E.; Bołtryk, M.; Jimenez, J.R.; Fernandez-Rodriguez, J.M.; Suescum Morales, D. The Performance of Concrete Made with Secondary Products—Recycled Coarse Aggregates, Recycled Cement Mortar, and Fly Ash–Slag Mix. Materials 2022, 15, 1438. [Google Scholar] [CrossRef] [PubMed]
- Hamad, B.S.; Dawi, A.H. Sustainable normal and high strength recycled aggregate concretes using crushed tested cylinders as coarse aggregates. Case Stud. Constr. Mater. 2017, 7, 228–239. [Google Scholar] [CrossRef]
- Tamayo, P.; Pacheco, J.; Thomas, C.; de Brito, J.; Rico, J. Mechanical and durability properties of concrete with coarse recycled aggregate produced with electric arc furnace slag concrete. Appl. Sci. 2019, 10, 216. [Google Scholar] [CrossRef] [Green Version]
- Amario, M.; Rangel, C.S.; Pepe, M.; Toledo Filho, R.D. Optimization of normal and high strength recycled aggregate concrete mixtures by using packing model. Cem. Concr. Compos. 2017, 84, 83–92. [Google Scholar] [CrossRef]
- Sivakumar, N.; Muthukumar, S.; Sivakumar, V.; Gowtham, D.; Muthuraj, V. Experimental studies on high strength concrete by using recycled coarse aggregate. Int. J. Eng. Sci. 2014, 4, 27–36. [Google Scholar]
- Hassan, S.S. Effects of recycled concrete aggregate on some mechanical properties of high strength concrete. In Proceedings of the IOP Conference Series: Materials Science and Engineering, Kerbala, Iraq, 26–27 March 2018; IOP Publishing: Kerbala, Iraq; Volume 433, p. 012033. [Google Scholar]
- Tayeh, B.A.; Al Saffar, D.M.; Alyousef, R. The utilization of recycled aggregate in high performance concrete: A review. J. Mater. Res. Technol. 2020, 9, 8469–8481. [Google Scholar] [CrossRef]
- Yu, L.; Huang, L.; Ding, H. Rheological and mechanical properties of ultra-high-performance concrete containing fine recycled concrete aggregates. Materials 2019, 12, 3717. [Google Scholar] [CrossRef] [PubMed] [Green Version]
- Sadowska-Buraczewska, B.; Barnat-Hunek, D.; Szafraniec, M. Influence of recycled high-performance aggregate on deformation and load-carrying capacity of reinforced concrete beams. Materials 2020, 13, 186. [Google Scholar] [CrossRef] [PubMed] [Green Version]
- ASTM C33/C33M-18; Standard Specification for Concrete Aggregates. ASTM International: West Conshohocken, PA, USA, 2018.
- ASTM C127-15; Standard Test Method for Relative Density (Specific Gravity) and Absorption of Coarse Aggregate. ASTM International: West Conshohocken, PA, USA, 2015.
- ASTM C131/C131M-20; Standard Test Method for Resistance to Degradation of Small-Size Coarse Aggregate by Abrasion and Impact in the Los Angeles Machine. ASTM International: West Conshohocken, PA, USA, 2020.
- ASTM C535-16; Standard Test Method for Resistance to Degradation of Large-Size Coarse Aggregate by Abrasion and Impact in the Los Angeles Machine. ASTM International: West Conshohocken, PA, USA, 2016.
- ASTM C15 /C150M-20; Standard Specification for Portland Cement. ASTM International: West Conshohocken, PA, USA, 2020.
- ASTM C494/C494M-19; Standard Specification for Chemical Admixtures for Concrete. ASTM International: West Conshohocken, PA, USA, 2019.
- ACI 211 Committee. Guide for Selecting Proportions for No-Slump Concrete Reported by ACI Committee 211; American Concrete Institute: Farmington Hills, MI, USA, 2002; Volume 2, pp. 1–26. [Google Scholar]
- ASTM C143/C143M-20; Standard Test Method for Slump of Hydraulic-Cement Concrete. ASTM International: West Conshohocken, PA, USA, 2020.
- Ozbakkaloglu, T.; Gholampour, A.; Xie, T. Mechanical and durability properties of recycled aggregate concrete: Effect of recycled aggregate properties and content. J. Mater. Civ. Eng. 2018, 30, 04017275. [Google Scholar] [CrossRef]
- ASTM C39/C39M-20; Standard Test Method for Compressive Strength of Cylindrical Concrete Specimens. ASTM International: West Conshohocken, PA, USA,, 2020.
- ASTM C496/C496M-17; Standard Test Method for Splitting Tensile Strength of Cylindrical Concrete Specimens. ASTM International: West Conshohocken, PA, USA, 2017.
- Silva, R.V.; De Brito, J.; Dhir, R.K. Tensile strength behaviour of recycled aggregate concrete. Constr. Build. Mater. 2015, 83, 108–118. [Google Scholar] [CrossRef]
- ASTM C1585-20; Standard Test Method for Measurement of Rate of Absorption of Water by Hydraulic-Cement Concretes. ASTM International: West Conshohocken, PA, USA, 2020.
- Dilbas, H.; Çakır, Ö.; Atiş, C.D. Experimental investigation on properties of recycled aggregate concrete with optimized Ball Milling Method. Constr. Build. Mater. 2019, 212, 716–726. [Google Scholar] [CrossRef]
Publisher’s Note: MDPI stays neutral with regard to jurisdictional claims in published maps and institutional affiliations. |
© 2022 by the authors. Licensee MDPI, Basel, Switzerland. This article is an open access article distributed under the terms and conditions of the Creative Commons Attribution (CC BY) license (https://creativecommons.org/licenses/by/4.0/).
















