Study of Internal Drainage Systems for Steel Bridge Deck Pavements
Abstract
:1. Introduction
2. Experiment on the Effect of Water Immersion on Epoxy Resin Bonded Layers
2.1. Waterproofing Bonding Layer Materials
2.2. Laboratory Simulation Test
- (1)
 - In this experiment, 30 × 30 cm2 steel plates were used and polished using a grinding machine with a roughness control of 100~120 μm and cleanliness greater than Sa3.0 grade, for a total of 12 pieces, as shown in Figure 2.
 - (2)
 - Each steel plate is separated into 6 areas using transparent tape, each area being the same size, as in Figure 3.
 - (3)
 - The mixing and application were carried out following the mixing requirements provided by the material supplier, with an application volume of 0.4 kg/m2 epoxy forming requirements as shown in Table 5 below.
 - (4)
 - Maintenance conditions: selection of conditions (room temperature water bath, 60 °C water bath, room temperature saltwater bath), maintenance time (1 week, 2 weeks, 4 weeks, 8 weeks), as in Figure 4.
 - (5)
 - The pull-out test was carried out after maintenance, using high-strength epoxy AB adhesive as the binder for the pull-out head, see Figure 5 for the pull-out test.
 
3. Results and Discussion
3.1. The Effect of Coating with Different Epoxy Resin Waterproofing Tack Coat Oils
3.2. Influence of Different Epoxy Resin Waterproofing Tack Coat Oils on Pull-Out Strength in Different Environments
4. Design of Mixture Proportion of Pavement Lower Layer
4.1. Mixing Ratio Design
4.2. Effect of Void Ratio on the Performance of Drained Mixes
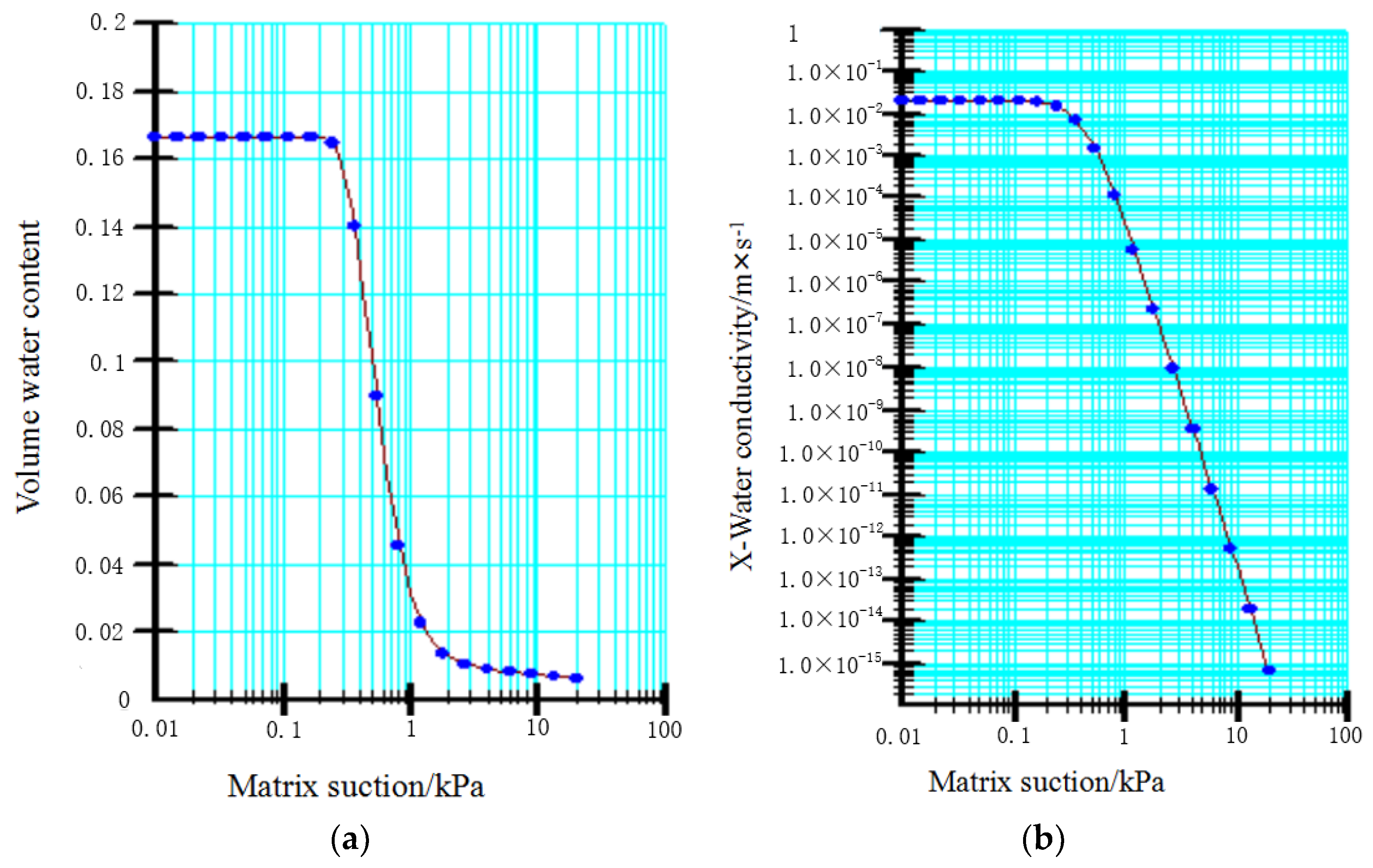
5. Checking Calculation of Drainage Capacity under Pavement
5.1. Seepage State Analysis
5.2. Criteria for Assessing the Drainage Capacity of Paving Layers
5.3. Paving Layer Parameters
5.4. Seepage Calculation Model
- (1)
 - Modeling
 
- (2)
 - Material set-up
 
- (3)
 - Boundary condition setting
 
- (4)
 - Transient analysis
 
5.5. Results Analysis
6. Conclusions
- Considering the most unfavorable factors, combination 3 is the best combination of waterproofing bonding layer material that can maintain a large pull-out strength value in a water bath at 60 °C for 2 weeks.
 - Through the mix proportion design of drainage epoxy asphalt mixture, combined with the permeability coefficient and dynamic stability index, it is suggested that the porosity of drainage epoxy asphalt mixture should be controlled in 20~22%.
 - According to the analysis results of the seepage analysis software, the paving with 18, 20, and 22% void ratio could drain 50% of the water inside the paving within 2 h, and the drainage capacity was excellent. However, in terms of the drainage cycle, the paving with an 18% void ratio failed to drain the internal water in time. Comprehensive modeling analysis and indoor test results suggest that the void ratio of drained epoxy asphalt mixes should be controlled at 20 to 22%.
 - In this paper, the lower layer of drainage pavement is studied from the mixture ratio design and finite element simulation, and the feasibility of the pavement scheme is preliminarily verified. The construction research of the experimental bridge test section can be carried out to verify the use of the pavement scheme.
 
Author Contributions
Funding
Institutional Review Board Statement
Informed Consent Statement
Data Availability Statement
Conflicts of Interest
References
- Su, N.; Lou, L.; Amirkhanian, A.; Amirkhanian, S.N.; Xiao, F. Assessment of effective patching material for concrete bridge deck—A review. Constr. Build. Mater. 2021, 293, 123520. [Google Scholar] [CrossRef]
 - Kim, H.; Moon, B.; Hu, X.; Lee, H.; Ryu, G.-S.; Koh, K.-T.; Joh, C.; Kim, B.-S.; Keierleber, B. Construction and Performance Monitoring of Innovative Ultra-High-Performance Concrete Bridge. Infrastructures 2021, 6, 121. [Google Scholar] [CrossRef]
 - Wang, S.; Zhang, C.; Pan, Z.; Sun, D.; Zhou, A.; Xie, S.; Wang, J.; Zou, J. Microplastics in wild freshwater fish of different feeding habits from Beijiang and Pearl River Delta regions, south China. Chemosphere 2020, 258, 127345. [Google Scholar] [CrossRef]
 - Chen, Z.-Y.; Li, C.-X.; He, J.; Xin, H.-H. Retrofit Fatigue Cracked Diaphragm Cutouts Using Improved Geometry in Orthotropic Steel Decks. Appl. Sci. 2020, 10, 3983. [Google Scholar] [CrossRef]
 - Nie, W.; Wang, D.; Sun, Y.; Xu, W.; Xiao, X. Integrated Design of Structure and Material of Epoxy Asphalt Mixture Used in Steel Bridge Deck Pavement. Buildings 2021, 12, 9. [Google Scholar] [CrossRef]
 - Xu, X.; Gu, Y.; Huang, W.; Chen, D.; Zhang, C.; Yang, X. Structural Optimization of Steel—Epoxy Asphalt Pavement Based on Orthogonal Design and GA—BP Algorithm. Crystals 2021, 11, 417. [Google Scholar] [CrossRef]
 - Chen, J.; Dan, H.; Ding, Y.; Gao, Y.; Guo, M.; Guo, S.; Han, B.; Hong, B.; Hou, Y.; Hu, C.; et al. New innovations in pavement materials and engineering: A review on pavement engineering research. J. Traffic Transp. Eng. 2021, 8, 815–999. [Google Scholar] [CrossRef]
 - Yan, C.X.; Li, Z.G.; Su, B. Optimization Study on Paving Structure of Steel Bridge Deck Suitable for the Chinese 2th Climate Zone. In Applied Mechanics and Materials; Trans Tech Publications Ltd.: Bäch, Switzerland, 2013. [Google Scholar]
 - Huang, W.; Pei, M.; Liu, X.; Wei, Y. Design and construction of super-long span bridges in China: Review and future perspectives. Front. Struct. Civ. Eng. 2020, 14, 803–838. [Google Scholar] [CrossRef]
 - Edwards, Y.; Westergren, P. Polymer Modified Waterproofing and Pavement System for the High Coast Bridge in Sweden: Research, Testing and Experience; VTI Rapport 430A; Statens Väg-Och Transportforskningsinstitut: Linköping, Sweden, 2001. [Google Scholar]
 - Bas, S.; Apaydin, N.M.; Ilki, A.; Catbas, F.N. Structural health monitoring system of the long-span bridges in Turkey. Struct. Infrastruct. Eng. 2018, 14, 425–444. [Google Scholar] [CrossRef]
 - Guo, T.; Liu, T.; Li, A.Q. Pavement rehabilitation strategy selection for steel suspension bridges based on probabilistic life-cycle cost analysis. J. Perform. Constr. Facil. 2012, 26, 76–83. [Google Scholar] [CrossRef]
 - Kitagawa, M. Technology of the akashi kaikyo bridge. Struct. Control Health Monit. 2004, 11, 75–90. [Google Scholar] [CrossRef]
 - Shao, X.; Deng, L.; Cao, J. Innovative steel-UHPC composite bridge girders for long-span bridges. Front. Struct. Civ. Eng. 2019, 13, 981–989. [Google Scholar] [CrossRef]
 - Huang, Q.; Qian, Z.; Chen, L.; Zhang, M.; Zhang, X.; Sun, J.; Hu, J. Evaluation of epoxy asphalt rubber with silane coupling agent used as tack coat for seasonally frozen orthotropic steel bridge decks. Constr. Build. Mater. 2020, 241, 117957. [Google Scholar] [CrossRef]
 - Guo, S.; Si, R.; Dai, Q.; You, Z.; Ma, Y.; Wang, J. A critical review of corrosion development and rust removal techniques on the structural/environmental performance of corroded steel bridges. J. Clean. Prod. 2019, 233, 126–146. [Google Scholar] [CrossRef]
 - Xin, H.; Mosallam, A.; Correia, J.A.; Liu, Y.; He, J.; Sun, Y. Material-structure integrated design optimization of GFRP bridge deck on steel girder. Structures 2020, 27, 1222–1230. [Google Scholar] [CrossRef]
 - Chelelgo, K.; Gariy, Z.C.A.; Shitote, S.M. Laboratory Mix Design of Cold Bitumen Emulsion Mixtures Incorporating Reclaimed Asphalt and Virgin Aggregates. Buildings 2018, 8, 177. [Google Scholar] [CrossRef] [Green Version]
 - Yan, H.; Cai, M.; Song, S.; Huang, Y.; Fan, X.; Ye, X.; Li, H.; Li, W.; Zhu, M. Self-dispersing complex lithium-based thickener fiber for high-performance anti-corrosion/wear epoxy coating filler. Appl. Surf. Sci. 2021, 563, 150221. [Google Scholar] [CrossRef]
 - He, Q.; Zhang, H.; Li, J.; Duan, H. Performance evaluation of polyurethane/epoxy resin modified asphalt as adhesive layer material for steel-UHPC composite bridge deck pavements. Constr. Build. Mater. 2021, 291, 123364. [Google Scholar] [CrossRef]
 - Zhou, X.; Hai, Z.; Tong, Y. The diseases analysis of steel bridge deck pavement of Epoxy Asphalt Concrete. Highw. Traffic Sci. Technol. 2010, 26, 105–107. [Google Scholar]
 - Yu, S.; Ou, J. Fatigue life prediction for orthotropic steel deck details with a nonlinear accumulative damage model under pavement temperature and traffic loading. Eng. Fail. Anal. 2021, 126, 105366. [Google Scholar] [CrossRef]
 - Wang, Z.; Zhang, S. Fatigue endurance limit of epoxy asphalt concrete pavement on the deck of long-span steel bridge. Int. J. Pavement Res. Technol. 2018, 11, 408–415. [Google Scholar] [CrossRef]
 - Zhang, H.; Mao, Q.; Zhu, Z.; Zhang, Z.; Pan, Y.; Wan, J.; Zhou, C.; Qian, J. Experimental study on service performance of epoxy asphalt steel deck pavement of cable stayed bridge. Case Stud. Constr. Mater. 2020, 13, e00392. [Google Scholar] [CrossRef]
 - Liu, C.; Qian, Z.; Liao, Y.; Ren, H. A Comprehensive Life-Cycle Cost Analysis Approach Developed for Steel Bridge Deck Pavement Schemes. Coatings 2021, 11, 565. [Google Scholar] [CrossRef]
 - Fan, X.; Luo, R. Experimental study on crack resistance of typical steel-bridge-deck paving materials. Constr. Build. Mater. 2021, 277, 122315. [Google Scholar] [CrossRef]
 - Olard, F.; Héritier, B.; Loup, F.; Kraft, S. New French Standard Test Method for the Design of Surfacings on Steel Deck Bridges. Case Study of the Millau Viaduct. Road Mater. Pavement Des. 2005, 6, 515–531. [Google Scholar] [CrossRef]
 - Xiang, D.; Gu, M.; Zou, X.; Liu, Y. Fatigue behavior and failure mechanism of steel-concrete composite deck slabs with perforated ribs. Eng. Struct. 2021, 250, 113410. [Google Scholar] [CrossRef]
 - Yu, H.; Zhu, Z.; Leng, Z.; Wu, C.; Zhang, Z.; Wang, D.; Oeser, M. Effect of mixing sequence on asphalt mixtures containing waste tire rubber and warm mix surfactants. J. Clean. Prod. 2019, 246, 119008. [Google Scholar] [CrossRef]
 - Yu, H.; Leng, Z.; Dong, Z.; Tan, Z.; Guo, F.; Yan, J. Workability and mechanical property characterization of asphalt rubber mixtures modified with various warm mix asphalt additives. Constr. Build. Mater. 2018, 175, 392–401. [Google Scholar] [CrossRef]
 - Zhang, J.; Huang, W.; Hao, G.; Yan, C.; Lv, Q.; Cai, Q. Evaluation of open-grade friction course (OGFC) mixtures with high content SBS polymer modified asphalt. Constr. Build. Mater. 2020, 270, 121374. [Google Scholar] [CrossRef]
 - Zhang, S.; Wang, D.; Guo, F.; Deng, Y.; Feng, F.; Wu, Q.; Chen, Z.; Li, Y. Properties investigation of the SBS modified asphalt with a compound warm mix asphalt (WMA) fashion using the chemical additive and foaming procedure. J. Clean. Prod. 2021, 319, 128789. [Google Scholar] [CrossRef]
 - Xu, C.; Wang, D.; Zhang, S.; Guo, E.; Luo, H.; Zhang, Z.; Yu, H. Effect of Lignin Modifier on Engineering Performance of Bituminous Binder and Mixture. Polymers 2021, 13, 1083. [Google Scholar] [CrossRef] [PubMed]
 - Wu, H.; Huang, K.; Song, W.; He, F. Characterizing the fatigue cracking behaviors of OGFC pavements using the overlay tester. Constr. Build. Mater. 2021, 307, 124979. [Google Scholar] [CrossRef]
 - AASHTO GDHS-4; Pavement Structure Design Guide. American Association of State Highway and Transportation Officials: Washington, DC, USA, 1993.
 
















| Paving Solution | A | B | C | D | E | F | G | 
|---|---|---|---|---|---|---|---|
| Upper layer | SMA | EA | SMA | GA | SMA | EA | SMA | 
| Lower layer | SMA | EA | GA | EA | GA | UHPC | |
| Start of application (years) | 1997 | 2000 | 1997 | 2012 | 2004 | 1998 | 2011 | 
| Bridge name | Humen Bridge | Nanjing Second Bridge | Swedish Marina High Bridge | Bosporus Second Bridge | Xiling Yangtze River Bridge | Akashi Kaikyo Bridge, Japan | Mafang Bridge | 
| Main failure types | Crack, delamination | Delamination, bulge, crack | Ruts, cracks | Ruts, cracks | Delamination, cracks | Ruts, cracks | Ruts, cracks | 
| Physical Properties | Specifications | A1 | A2 | 
|---|---|---|---|
| Viscosity (23 °C, [P]) | 1000~5000 | 4892 | 1860 | 
| Epoxide equivalent | 190~220 | 197 | 200 | 
| Specific weight (23 °C) | 1.0~1.2 | 1.15 | 1.05 | 
| Flash point (°C) | >220 | 245 | 244 | 
| Physical Properties | Specifications | B1 | B2 | B3 | 
|---|---|---|---|---|
| Viscosity (23 °C, [P]) | 100~800 | 1753 | 1643 | 4762 | 
| Specific weight (23 °C) | 0.8~1.0 | 0.85 | 0.86 | 0.91 | 
| Acid value (mg, KOH/g) | 150~200 | 157 | 163 | 162 | 
| Flash point (°C) | >145 | 172 | 170 | 186 | 
| Composition No. | Combinations | |
|---|---|---|
| Composition A | Composition B | |
| 1 | A1 | B1 | 
| 2 | A1 | B2 | 
| 3 | A1 | B3 | 
| 4 | A2 | B1 | 
| 5 | A2 | B2 | 
| 6 | A2 | B3 | 
| Composition A | Percentage of Use | Sample Weight | Operation Time/25 °C, 15 g | Curing Time/25 °C, 15 g | 
|---|---|---|---|---|
| A1 | -- | 5 kg | ||
| A2 | -- | 5 kg | ||
| Composition B | ||||
| B1 | 3:1 | 0.9 kg | 30 min | 2 h | 
| B2 | 3:1 | 1 kg | 30 min | 2 h | 
| B3 | 2:1 | 1 kg | 40 min | 4 h | 
| Preliminary Gradation Type | 10~15 mm | 5~10 mm | 0~3 mm | Fine Ore | Cement | Fiber | 
|---|---|---|---|---|---|---|
| OGFC-13-11.5 | 36 | 52 | 9 | 1.5 | 1.5 | 0.3 | 
| OGFC-13-14.2 | 33 | 52 | 12 | 1.5 | 1.5 | 0.3 | 
| OGFC-13-17.0 | 30 | 52 | 15 | 1.5 | 1.5 | 0.3 | 
| Preliminary Gradation Type | Mass Percentage (%) through the Following Mesh (Square Mesh mm) | |||||||||
|---|---|---|---|---|---|---|---|---|---|---|
| 16 | 13.2 | 9.5 | 4.75 | 2.36 | 1.18 | 0.6 | 0.3 | 0.15 | 0.075 | |
| OGFC-13-11.5 | 100.0 | 98.1 | 62.4 | 13.7 | 11.5 | 8.8 | 7.0 | 5.5 | 4.4 | 3.6 | 
| OGFC-13-14.2 | 100.0 | 98.3 | 65.3 | 16.7 | 14.2 | 10.6 | 8.2 | 6.2 | 4.8 | 3.8 | 
| OGFC-13-17.0 | 100.0 | 98.4 | 68.2 | 19.7 | 17.0 | 12.5 | 9.5 | 6.9 | 5.2 | 4.0 | 
| Preliminary Gradation Type | Initial Asphalt Content Pb | Initial Asphalt-Aggregate Ratio | 
|---|---|---|
| OGFC-13-11.5 | 4.57 | 4.8 | 
| OGFC-13-14.2 | 4.98 | 5.2 | 
| OGFC-13-17.0 | 5.39 | 5.7 | 
| Test Item | 2.36 mm Sieve Pass Rate | ||
|---|---|---|---|
| 11.5% | 14.2% | 17.0% | |
| Asphalt-aggregate ratio (%) | 4.8 | 5.2 | 5.7 | 
| Maximum relative theoretical density | 2.672 | 2.656 | 2.637 | 
| Gross volume relative density of the specimen | 2.041 | 2.100 | 2.156 | 
| Void fraction VV (%) | 23.6 | 20.9 | 18.2 | 
| Ore material clearance rate VMA (%) | 32.7 | 31.0 | 29.3 | 
| Saturation VFA (%) | 27.8 | 32.4 | 37.8 | 
| Test | Index | Standard | Unit | Measured Value | Required Value | 
|---|---|---|---|---|---|
| Immersion Marshall test | Residual stability | JTG E20 T0709-2011 | % | 92.8 | ≥90 | 
| Freeze-thaw splitting test | Residual strength ratio | JTG E20 T0729-2011 | % | 89.5 | ≥85 | 
| Rutting test at 60 °C | Dynamic stability DS value | JTG E20 T0719-2011 | Times/mm | 17,800 | ≥7000 | 
| Low-temperature bending test | Maximum flexural strain | JTG E20 T0715-2011  | με | 3412 | ≥2500 | 
| Permeability test | Water seepage coefficient | JTG E20 T0730-2011  | mL/min | 5225 | 4800 | 
| Analysis leakage test | Run-off loss | JTG E20 T0732-2011  | % | 0.23 | ≤0.3 | 
| Fort Kenta flight test | Dispersion loss rate | JTG E20 T0733-2011  | % | 7.5 | ≤10 | 
| Drainage Performance | Drainage Time (Discharge 50%) | 
|---|---|
| Excellent | 2 h | 
| Good | 2 days | 
| Medium | 1 week | 
| Poor | 1 month | 
| Very poor | Undrained | 
Publisher’s Note: MDPI stays neutral with regard to jurisdictional claims in published maps and institutional affiliations.  | 
© 2022 by the authors. Licensee MDPI, Basel, Switzerland. This article is an open access article distributed under the terms and conditions of the Creative Commons Attribution (CC BY) license (https://creativecommons.org/licenses/by/4.0/).
Share and Cite
Nie, W.; Wang, D.; Huang, J.; Jiang, C.; Yan, J. Study of Internal Drainage Systems for Steel Bridge Deck Pavements. Buildings 2022, 12, 284. https://doi.org/10.3390/buildings12030284
Nie W, Wang D, Huang J, Jiang C, Yan J. Study of Internal Drainage Systems for Steel Bridge Deck Pavements. Buildings. 2022; 12(3):284. https://doi.org/10.3390/buildings12030284
Chicago/Turabian StyleNie, Wen, Duanyi Wang, Jian Huang, Caifeng Jiang, and Junjian Yan. 2022. "Study of Internal Drainage Systems for Steel Bridge Deck Pavements" Buildings 12, no. 3: 284. https://doi.org/10.3390/buildings12030284
APA StyleNie, W., Wang, D., Huang, J., Jiang, C., & Yan, J. (2022). Study of Internal Drainage Systems for Steel Bridge Deck Pavements. Buildings, 12(3), 284. https://doi.org/10.3390/buildings12030284
        
                                                
