A Deep-Learning-Based Meta-Modeling Workflow for Thermal Load Forecasting in Buildings: Method and a Case Study
Abstract
:1. Introduction
2. Database
2.1. Building Feature Variables
2.2. Meta-Model Simulation in Batches
2.3. Database Establishment with MySQL
3. Methodology
3.1. Concept of Deep Learning
3.2. Task Design for Deep Learning
3.3. 1D-CNN Seq2Seq Model
3.4. Model Training and Evaluation
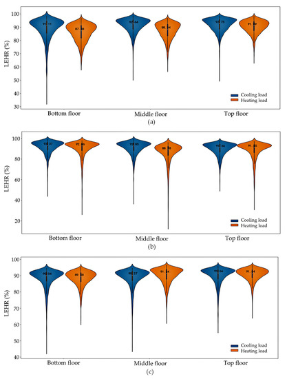
4. Results and Discussion
5. Case Study
5.1. District Building Loads Forecasting Framework
5.2. Load Forecasting Case for a Given District
6. Conclusions
Author Contributions
Funding
Institutional Review Board Statement
Informed Consent Statement
Data Availability Statement
Conflicts of Interest
References
- Huo, T.; Ma, Y.; Cai, W.; Liu, B.; Mu, L. Will the urbanization process influence the peak of carbon emissions in the building sector? A dynamic scenario simulation. Energy Build. 2021, 232, 110590. [Google Scholar] [CrossRef]
- Hou, T.; Li, X.; Cai, W.; Zou, J.; Jia, F.; Wei, H. Exploring the impact of urbanization on urban building carbon emissions in China: Evidence from a provincial panel data model. Sustain. Cities Soc. 2020, 56, 102068. [Google Scholar]
- IEA. Buildings: A Source of Enormous Untapped Efficiency Potential. Available online: https://www.iea.org/topics/buildings (accessed on 15 June 2021).
- Sandberg, N.H.; Næss, J.S.; Brattebø, H.; Andresen, I.; Gustavsen, A. Large potentials for energy saving and greenhouse gas emission reductions from large-scale deployment of zero emission building technologies in a national building stock. Energy Policy 2021, 152, 112114. [Google Scholar] [CrossRef]
- Rezaie, B.; Rosen, M.A. District heating and cooling: Review of technology and potential enhancements. Appl. Energy 2012, 93, 2–10. [Google Scholar] [CrossRef]
- Jonshagen, K.; Genrup, M. Improved load control for a steam cycle combined heat and power plant. Energy 2010, 35, 1694–1700. [Google Scholar] [CrossRef]
- Kavgic, M.; Mavrogianni, A.; Mumovic, D.; Summerfield, A.; Stevanovic, Z.; Djurovic-Petrovic, M. A review of bottom-up building stock models for energy consumption in the residential sector. Build. Environ. 2010, 45, 1683–1697. [Google Scholar] [CrossRef]
- Ren, Z.; Paevere, P.; Grozev, G.; Egan, S.; Anticev, J. Assessment of end-use electricity consumption and peak demand by Townsville’s housing stock. Energy Policy 2013, 61, 888–893. [Google Scholar] [CrossRef]
- Ren, Z.; Paevere, P.; Mcnamara, C. A local-community-level, physically-based model of end-use energy consumption by Australian housing stock. Energy Policy 2012, 49, 586–596. [Google Scholar] [CrossRef]
- Johnston, D. A Physically Based Energy and Carbon Dioxide Emission Model of the UK Housing Stock; Leeds Metropolitan University: Leeds, UK, 2003; pp. 11–18. [Google Scholar]
- Heiple, S.; Sailor, D.J. Using building energy simulation and geospatial modeling techniques to determine high resolution building sector energy consumption profiles. Energy Build. 2008, 40, 1426–1436. [Google Scholar] [CrossRef] [Green Version]
- Di Leo, S.; Caramuta, P.; Curci, P.; Cosmi, C. Regression analysis for energy demand projection: An application to TIMES-Basilicata and TIMES-Italy energy models. Energy 2020, 196, 117058. [Google Scholar] [CrossRef]
- Ramanathan, R.; Engle, R.; Granger, C.W.J.; Vahid-Araghi, F.; Brace, C. Short-run forecasts of electricity loads and peaks. Int. J. Forecast. 1997, 13, 161–174. [Google Scholar] [CrossRef]
- Dotzauer, E. Simple model for prediction of loads in district-heating systems. Appl. Energy 2002, 73, 277–284. [Google Scholar] [CrossRef]
- Vaghefi, A.; Jafari, M.A.; Bisse, E.; Lu, Y.; Brouwer, J. Modeling and forecasting of cooling and electricity load demand. Appl. Energy 2014, 136, 186–196. [Google Scholar] [CrossRef] [Green Version]
- Barakat, E.H.; Qayyum, M.A. Short-term peak demand forecasting in fast developing utility with inherit dynamic load characteristics. I. Application of classical time-series methods. II. Improved modelling of system dynamic load characteristics. Power Syst. IEEE Trans. 1990, 5, 813–824. [Google Scholar] [CrossRef]
- Ogunsola, O.T.; Song, L.; Wang, G. Development and validation of a time-series model for real-time thermal load estimation. Energy Build. 2014, 76, 440–449. [Google Scholar] [CrossRef]
- Dong, B.; Cao, C.; Lee, S.E. Applying support vector machines to predict building energy consumption in tropical region. Energy Build. 2005, 37, 545–553. [Google Scholar] [CrossRef]
- Al-Shammari, E.T.; Keivani, A.; Shamshirband, S.; Mostafaeipour, A.; Yee, P.L.; Petković, D.; Ch, S. Prediction of heat load in district heating systems by Support Vector Machine with Firefly searching algorithm. Energy 2016, 95, 266–273. [Google Scholar] [CrossRef]
- Yu, W.; Li, B.; Lei, Y.; Liu, M. Analysis of a Residential Building Energy Consumption Demand Model. Energies 2011, 4, 475–487. [Google Scholar] [CrossRef]
- Vázquez-Canteli, J.R.; Dilsiz, A.D.; Brown, J.; Nagy, Z. Deep neural networks as surrogate models for urban energy simulations. J. Phys. Conf. Ser. 2019, 1343, 012002. [Google Scholar] [CrossRef]
- Hou, Z.; Lian, Z.; Yao, Y.; Yuan, X. Cooling-load prediction by the combination of rough set theory and an artificial neural-network based on data-fusion technique. Appl. Energy 2006, 83, 1033–1046. [Google Scholar] [CrossRef]
- Westermann, P.; Evins, R. Surrogate modelling for sustainable building design—A review. Energy Build. 2019, 198, 170–186. [Google Scholar] [CrossRef]
- Zhang, L.; Plathottam, S.; Reyna, J.; Merket, N.; Sayers, K.; Yang, X.; Reynolds, M.; Parker, A.; Wilson, E.; Fontanini, A.; et al. High-resolution hourly surrogate modeling framework for physics-based large-scale building stock modeling. Sustain. Cities Soc. 2021, 75, 103292. [Google Scholar] [CrossRef]
- Ding, Y.; Brattebø, H.; Nord, N. A systematic approach for data analysis and prediction methods for annual energy profiles: An example for school buildings in Norway. Energy Build. 2021, 247, 111160. [Google Scholar] [CrossRef]
- Zhu, M.; Pan, Y.; Huang, Z. The Construction of Minimum Variables Set for Energy Prediction Models of Office Buildings. In Proceedings of the 16th IBPSA Conference, Rome, Italy, 2–4 September 2019; pp. 4157–4164. [Google Scholar] [CrossRef]
- GB 50189-2015; Design Standard for Energy Efficiency of Public Buildings. Ministry of Housing and Urban-Rural Development of the People’s Republic of China (MOHURD): Beijing, China, 2015. Available online: https://img.antpedia.com/standard/files/pdfs_ora/CN-GB/b01/GB%2050189-2015_2496.pdf (accessed on 1 January 2022).
- Van der Maas, H.L.J.; Snoek, L.; Stevenson, C.E. How much intelligence is there in artificial intelligence? A 2020 update. Intelligence 2021, 87, 101548. [Google Scholar] [CrossRef]
- Zeba, G.; Dabić, M.; Čičak, M.; Daim, T.; Yalcin, H. Technology mining: Artificial intelligence in manufacturing. Technol. Forecast. Soc. Chang. 2021, 171, 120971. [Google Scholar] [CrossRef]
- Chen, C.; Hu, Y.; Karuppiah, M.; Kumar, P.M. Artificial intelligence on economic evaluation of energy efficiency and renewable energy technologies. Sustain. Energy Technol. Assess. 2021, 47, 121358. [Google Scholar] [CrossRef]
- Sircar, A.; Yadav, K.; Rayavarapu, K.; Bist, N.; Oza, H. Application of machine learning and artificial intelligence in oil and gas industry. Pet. Res. 2021, 6, 379–391. [Google Scholar] [CrossRef]
- Khallaf, R.; Khallaf, M. Classification and analysis of deep learning applications in construction: A systematic literature review. Autom. Constr. 2021, 129, 103760. [Google Scholar] [CrossRef]
- Dong, S.; Wang, P.; Abbas, K. A survey on deep learning and its applications. Comput. Sci. Rev. 2021, 40, 100379. [Google Scholar] [CrossRef]
- Liu, Z.; Jin, L.; Chen, J.; Fang, Q.; Ablameyko, S.; Yin, Z.; Xu, Y. A survey on applications of deep learning in microscopy image analysis. Comput. Biol. Med. 2021, 134, 104523. [Google Scholar] [CrossRef]
- Bai, X.; Wang, X.; Liu, X.; Liu, Q.; Song, J.; Sebe, N.; Kim, B. Explainable deep learning for efficient and robust pattern recognition: A survey of recent developments. Pattern Recognit. 2021, 120, 108102. [Google Scholar] [CrossRef]
- Ma, Z.; Du, B.; Shen, J.; Yang, R.; Wan, J. An Encoding Mechanism for Seq2Seq based Multi-Turn Sentimental Dialogue Generation Model. Procedia Comput. Sci. 2020, 174, 412–418. [Google Scholar] [CrossRef]
- Li, M.; Miao, Z.; Xu, W. A CRNN-based attention-seq2seq model with fusion feature for automatic Labanotation generation. Neurocomputing 2021, 454, 430–440. [Google Scholar] [CrossRef]
- Yu, W.; Kim, I.Y.; Mechefske, C. Analysis of different RNN autoencoder variants for time series classification and machine prognostics. Mech. Syst. Signal Processing 2021, 149, 107322. [Google Scholar] [CrossRef]
- Yin, H.; Zhang, X.; Wang, F.; Zhang, Y.; Xia, R.; Jin, J. Rainfall-runoff modeling using LSTM-based multi-state-vector sequence-to-sequence model. J. Hydrol. 2021, 598, 126378. [Google Scholar] [CrossRef]
- Fang, Z.; Crimier, N.; Scanu, L.; Midelet, A.; Alyafi, A.; Delinchant, B. Multi-zone indoor temperature prediction with LSTM-based sequence to sequence model. Energy Build. 2021, 245, 111053. [Google Scholar] [CrossRef]
- Gao, Y.; Ruan, Y.; Fang, C.; Yin, S. Deep learning and transfer learning models of energy consumption forecasting for a building with poor information data. Energy Build. 2020, 223, 110156. [Google Scholar] [CrossRef]
- Zhang, G.; Bai, X.; Wang, Y. Short-time multi-energy load forecasting method based on CNN-Seq2Seq model with attention mechanism. Mach. Learn. Appl. 2021, 5, 100064. [Google Scholar] [CrossRef]
- Bradbury, J.; Merity, S.; Xiong, C.; Socher, R. Quasi-Recurrent Neural Networks. arXiv 2016, arXiv:1611.01576. [Google Scholar]
- Oord, A.; Kalchbrenner, N.; Vinyals, O.; Espeholt, L.; Graves, A.; Kavukcuoglu, K. Conditional image generation with pixelcnn decoders. arXiv 2016, arXiv:1606.05328. [Google Scholar]
- Gehring, J.; Auli, M.; Grangier, D.; Yarats, D.; Dauphin, Y.N. Convolutional Sequence to Sequence Learning. In Proceedings of the 34th International Conference on Machine Learning, Sydney, Australia, 6–11 August 2017; Available online: http://proceedings.mlr.press/v70/gehring17a/gehring17a.pdf (accessed on 1 January 2022).
- Zhang, K.; Wang, W.; Lv, Z.; Fan, Y.; Song, Y. Computer vision detection of foreign objects in coal processing using attention CNN. Eng. Appl. Artif. Intell. 2021, 102, 104242. [Google Scholar] [CrossRef]
- Yang, R.; Singh, S.K.; Tavakkoli, M.; Amiri, N.; Yang, Y.; Karami, M.A.; Rai, R. CNN-LSTM deep learning architecture for computer vision-based modal frequency detection. Mech. Syst. Signal Processing 2020, 144, 106885. [Google Scholar] [CrossRef]
- Conlin, R.; Erickson, K.; Abbate, J.; Kolemen, E. Keras2c: A library for converting Keras neural networks to real-time compatible C. Eng. Appl. Artif. Intell. 2021, 100, 104182. [Google Scholar] [CrossRef]
- Neuman, W.L. Social Research Methods: Qualitative and Quantitative Approaches, 7th ed.; Pearson: Essex, UK, 2014; Available online: https://www.scirp.org/(S(lz5mqp453edsnp55rrgjct55))/reference/referencespapers.aspx?referenceid=2744295 (accessed on 1 January 2022).
- Niu, Z.; Zhong, G.; Yu, H. A review on the attention mechanism of deep learning. Neurocomputing 2021, 452, 48–62. [Google Scholar] [CrossRef]















| Classification | Variable | Unit | Values | 
|---|---|---|---|
| Building geometry | BSF | 0.15, 0.20, 0.30, 0.37 | |
| Building envelope | WWR | 0.1, 0.4, 0.6, 0.8 | |
| Design temperature | Ts | °C | 22, 24, 26, 28 | 
| Tw | °C | 16, 18, 20, 21 | |
| Internal heat gain | Do | m2/p | 2, 5, 7, 10 (for office and hotel) | 
| 10, 13, 16, 20 (for commercial) | |||
| Dl | W/m2 | 2, 8, 14, 20 | |
| De | W/m2 | 2, 8, 14, 20 | 
| Variable Sets | Building Loads | Variables | 
|---|---|---|
| Cooling load | BSF, WWR, Ts, Do, Dl, and De. | |
| Heating load | BSF, WWR, Tw, Do, Dl, and De. | 
| Structure | Network Layer | Layer Property | Dimension | 
|---|---|---|---|
| Input | Input_var | InputLayer | (168, 12) | 
| Encoder | Conv1d_1 | Conv1D | (168, 128) | 
| Conv1d_2 | Conv1D | (168, 128) | |
| Decoder | Conv1d_3 | Conv1D | (168, 64) | 
| Conv1d_4 | Conv1D | (168, 32) | |
| Dropout Output | Dropout_1 | Dropout | (168, 32) | 
| Load | Dense | (168, 1) | 
| Building Type | LEHR | MAPE | ||
|---|---|---|---|---|
| Cooling Load | Heating Load | Cooling Load | Heating Load | |
| Office | 91.1% | 89.4% | 4.4% | 3.5% | 
| Hotel | 90.3% | 89.9% | 3.7% | 5.9% | 
| Commercial | 92.2% | 90.9% | 7.2% | 4.1% | 
| No. | Type | BSF | WWR | Ts | Tw | Do | Dl | De | 
|---|---|---|---|---|---|---|---|---|
| - | - | (°C) | (°C) | (m2/p) | (W/m2) | (W/m2) | ||
| #1 | hotel | 0.16 | 0.4 | 24 | 20 | 10 | 10 | 13 | 
| #2 | office | 0.18 | 0.5 | 26 | 20 | 6 | 12 | 20 | 
| #3 | commercial | 0.21 | 0.5 | 26 | 20 | 3 | 15 | 20 | 
| Load Type | LEHR | MAPE | 
|---|---|---|
| Cooling load | 100.0% | 3.7% | 
| Heating load | 93.1% | 6.7% | 
| Annual loads | 98.4% | 4.4% | 
| Publisher’s Note: MDPI stays neutral with regard to jurisdictional claims in published maps and institutional affiliations. | 
© 2022 by the authors. Licensee MDPI, Basel, Switzerland. This article is an open access article distributed under the terms and conditions of the Creative Commons Attribution (CC BY) license (https://creativecommons.org/licenses/by/4.0/).
Share and Cite
Zhou, Y.; Liang, Y.; Pan, Y.; Yuan, X.; Xie, Y.; Jia, W. A Deep-Learning-Based Meta-Modeling Workflow for Thermal Load Forecasting in Buildings: Method and a Case Study. Buildings 2022, 12, 177. https://doi.org/10.3390/buildings12020177
Zhou Y, Liang Y, Pan Y, Yuan X, Xie Y, Jia W. A Deep-Learning-Based Meta-Modeling Workflow for Thermal Load Forecasting in Buildings: Method and a Case Study. Buildings. 2022; 12(2):177. https://doi.org/10.3390/buildings12020177
Chicago/Turabian StyleZhou, Yuhao, Yumin Liang, Yiqun Pan, Xiaolei Yuan, Yurong Xie, and Wenqi Jia. 2022. "A Deep-Learning-Based Meta-Modeling Workflow for Thermal Load Forecasting in Buildings: Method and a Case Study" Buildings 12, no. 2: 177. https://doi.org/10.3390/buildings12020177
APA StyleZhou, Y., Liang, Y., Pan, Y., Yuan, X., Xie, Y., & Jia, W. (2022). A Deep-Learning-Based Meta-Modeling Workflow for Thermal Load Forecasting in Buildings: Method and a Case Study. Buildings, 12(2), 177. https://doi.org/10.3390/buildings12020177
 
        


 
       