Long-Term Performance of a Deep Excavation in Silty Clay in Xi’an—A Case Study
Abstract
1. Introduction
2. Experiment
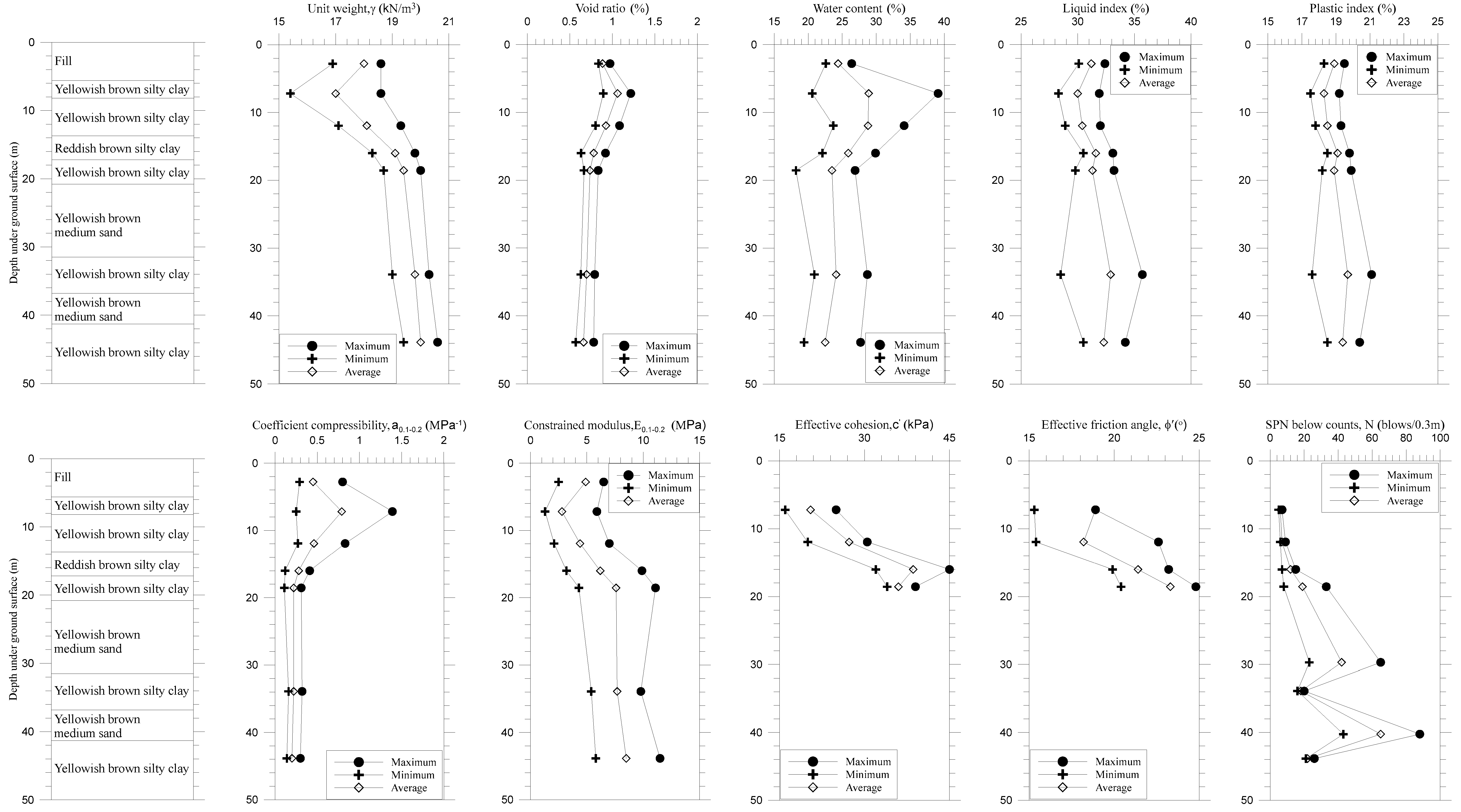
2.1. Subsoil Condition
2.2. Construction Sequence of Deep Excavation
2.3. Instrumentation and Monitoring
3. Results
3.1. Settlement at the Top of Retaining Wall
3.2. Settlement of Ground Surface
3.3. Settlement of Adjacent Dining Building
3.4. Lateral Deflection at the Top of Retaining Wall
3.5. Relationship between Stiffness and Horizontal Deflection of Retaining Wall
3.6. Relationship between Ground Surface Settlement and Distance from Retaining Wall
3.7. Relationship between Horizontal Deflection and Excavation Depth of Retaining Wall
3.8. Relationship between Settlement and Horizontal Deflection at the Top of Retaining Wall
3.9. Time-Dependent Deformation of Retaining Wall after Excavation Reached Final Depth
4. Conclusions
- For deep excavations with a retaining wall built with contiguous bored piles and tie-back anchors in clayey soil, when installation of enough prestressing tendons is not allowed, using double piles might be a practical choice, as comparable settlement and horizontal deflection of the retaining wall were achieved in this study.
- The measured settlement was generally smaller than the deflection recorded at the same location, the top of the retaining wall, in this excavation. The averaged settlement was around 57% (at the final depth)-74% (at full backfilling) of the deflection of the retaining wall in this study.
- The horizontal deflection and settlement of the retaining wall increased significantly after the excavation reached the final depth. For the deep excavation in this study, the recorded deflection and settlement at backfilling were about 1.9 and 2.5 times those at the final depth, respectively. Settlement and horizontal deflection at the top of the retaining wall developed at an average rate of 0.23–0.25 mm/month for a duration of 3.1 years. The deflection generally stabilized well before backfilling; however, the settlement of the retaining wall kept increasing until backfilling. As significant movement of the retaining wall was recorded after the excavation reached the final depth, it is essential to cast underground structures quickly following the completion of the excavation.
- Under the soil conditions and geometry in this study, the upward movement of the retaining concrete piles was not observed.
- After the excavation reached the final depth, the settlement of the ground surface and adjacent building continued to develop until the full backfilling of the excavation. The post-excavation settlement of the ground surface developed at a rate of 0.25 mm/month. The retaining system was effective in protecting the adjacent building during and after excavation.
Author Contributions
Funding
Institutional Review Board Statement
Informed Consent Statement
Data Availability Statement
Conflicts of Interest
References
- Long, M. Database for retaining wall and ground movements due to deep excavations. J. Geotech. Geoenviron. Eng. 2001, 127, 203–224. [Google Scholar] [CrossRef]
- Moormann, C. Analysis of wall and ground movement due to deep excavations in soft soil based on a new worldwide database. Soil Found. 2004, 44, 87–98. [Google Scholar] [CrossRef]
- Wang, J.H.; Xu, Z.H.; Wang, W.D. Wall and ground movements due to deep excavations in Shanghai soft soils. J. Geotech. Geoenviron. Eng. 2010, 136, 985–994. [Google Scholar] [CrossRef]
- Lee, C.J.; Wei, Y.C.; Chen, H.T.; Chang, Y.Y.; Lin, Y.C.; Huang, W.S. Stability analysis of cantilever double soldier-piled walls in sandy soil. J. Chin. Inst. Eng. 2011, 34, 449–465. [Google Scholar] [CrossRef]
- Leung, E.H.Y.; Ng, C.W.W. Wall and ground movements associated with deep excavations supported by cast in situ wall in mixed ground conditions. J. Geotech. Geoenviron. Eng. 2007, 133, 129–143. [Google Scholar] [CrossRef]
- Zhang, H.B.; Chen, J.J.; Zhao, X.S.; Wang, J.H.; Hu, H. Displacement performance and simple prediction for deep excavations supported by contiguous bored pile walls in soft clay. J. Aerosp. Engr. 2015, 28, A4014008. [Google Scholar] [CrossRef]
- Tan, Y.; Wei, B. Observed behavior of a long and deep excavation constructed by cut-and-cover technique in Shanghai soft clay. J. Geotech. Geoenviron. Eng. 2012, 138, 69–88. [Google Scholar] [CrossRef]
- Liu, Y.; Xiang, B.H.; Fu, M.F. Observed performance of a large-scale deep triangular excavation in Shanghai soft clays. Geotecth. Geol. Eng. 2019, 37, 2791–2809. [Google Scholar] [CrossRef]
- Aboelela, A.E.; Ebid, A.M.; Fayed, A.L. Estimating the subgrade reaction at deep braced excavation bed in dry granular soil using genetic programming (GP). Results Eng. 2022, 13, 100328. [Google Scholar] [CrossRef]
- Cucuzza, R.; Devillanova, G.; Aloisio, A.; Rosso, M.M.; Marano, G.C. Analytical solutions for piles’ lateral deformations: The nonlinear stiffness case. Int. J. Mech. Sci. 2022, 229, 107505. [Google Scholar] [CrossRef]
- Kaczmarek, Ł.; Dobak, P.; Szczepański, T.; Kiełbasiński, K. Triaxial creep tests of glacitectonically disturbed stiff clay – structural, strength, and slope stability aspects. Open Geosci. 2021, 13, 1118–1138. [Google Scholar] [CrossRef]
- Ou, C.Y.; Liao, J.T.; Lin, H.D. Performance of diaphragm wall constructed using top-Down method. J. Geotech. Geoenviron. Eng. 1998, 124, 798–808. [Google Scholar] [CrossRef]
- Finno, R.J.; Bryson, S.; Calvello, M. Performance of a stiff support system in soft clay. J. Geotech. Geoenviron. Eng. 2002, 128, 660–671. [Google Scholar] [CrossRef]
- Finno, R.J.; Kim, S.; Lewis, J.; Winkle, N.V. Observed performance of a sheetpile-supported excavation in Chicago clays. J. Geotech. Geoenviron. Eng. 2019, 145, 05018005. [Google Scholar] [CrossRef]
- He, P.; Xu, Z.H.; Wang, W.D.; Li, Z.L. Observed performance of an ultra large deep excavation in Shanghai soft clay. In Proceedings of the GeoShanghai 2018 International Conference: Transportation Geotechnics and Pavements Engineering, Shanghai, China, 27–30 May 2018. [Google Scholar]
- Tan, Y.; Wei, B.; Zhou, X.; Diao, Y. Lessons learned from construction of Shanghai metro stations: Importance of quick excavation, prompt propping, timely casting and segmented construction. J. Perform. Constr. Facil. 2015, 29, 04014096. [Google Scholar] [CrossRef]
- Tan, Y.; Fan, D.D.; Lu, Y. Statistical analyses on a database of deep excavations in Shanghai soft clays in China from 1995–2018. Pract. Period. Struct. Des. Constr. 2022, 27, 04021067. [Google Scholar] [CrossRef]
- Liu, G.B.; Ng, C.W.W.; Wang, Z.W. Observed performance of a deep multistrutted excavation in Shanghai soft clays. J. Geotech. Geoenviron. Eng. 2005, 131, 1004–1013. [Google Scholar] [CrossRef]
- Tan, Y.; Li, M.W. Measured performance of one 26 meter deep top-down excavation in downtown Shanghai. Can. Geotech. J. 2011, 48, 704–719. [Google Scholar] [CrossRef]
- GB 50497-2009; Ministry of Housing and Urban-Rural Planning Development of the People’s Republic of China. Technical Code for Monitoring of Building Excavation Engineering. China Building Industry Press: Beijing, China, 2009.
- GB50010-2010; Ministry of Housing and Urban-Rural Planning Development of the People’s Republic of China. Code of Design of Concrete Structures. China Building Industry Press: Beijing, China, 2010.
- JGJ/T 220-2010; Ministry of Housing and Urban-Rural Planning Development of the People’s Republic of China. Technical Specification for Plasting Mortar. China Building Industry Press: Beijing, China, 2010.
- Clough, G.W.; Smith, E.M.; Sweeney, B.P. Movement control of excavation support systems by iterative design. In Proceedings of the ASCE Foundation Engineering: Current Principles and Practice, Evanston, IL, USA, 25–29 June 1989; ASCE: New York, NY, USA, 1989; Volume 2, pp. 869–884. [Google Scholar]
- Yoo, C. Behavior of braced and anchored walls in soils overlying rocks. J. Geotech. Geoenviron. Eng. 2001, 127, 225–233. [Google Scholar] [CrossRef]
- Wong, I.H.; Poh, T.Y.; Chuah, H.L. Performance of excavations for depressed expressway in Singapore. J. Geotech. Geoenviron. Eng. 1997, 123, 617–625. [Google Scholar] [CrossRef]
- Tan, Y.; Wang, D. Characteristics of a large-scale deep foundation pit excavated by the central-island technique in Shanghai soft clay. II: Top-down construction of the peripheral rectangular pit. J. Geotech. Geoenviron. Eng. 2013, 139, 1894–1910. [Google Scholar] [CrossRef]
- Xiao, H.J.; Zhou, S.H.; Sun, Y.Y. Wall deflection and ground surface settlement due to excavation width and foundation pit classification. KSCE J. Civ. Eng. 2019, 23, 1537–1547. [Google Scholar] [CrossRef]






















| Stage | Construction Day | Activity |
|---|---|---|
| 1 | 0–63 | Excavation to −4 m below ground surface |
| 2 | 64–96 | Excavation to −8 m and installation of anchor at −4.5 m below ground surface |
| 3 | 97–202 | Excavation to −12 m and installation of anchors at −8.0 m and −11.5 m |
| 4 | 203–212 | Excavation to −16 m and installation of anchors at −13.0 and −15.0 m |
| 5 | 213–227 | Excavation to −17.5 m and installation of anchor at −16.0 m |
| 6 | 228–381 | Construction of footing |
| 7 | 381–444 | Building of access ramp in the east and demolishing of access ramp in the north |
| 8 | 445–1066 | Construction of basement |
| 9 | 1067–1212 | Backfilling to −8 m |
| 10 | 1213–1367 | Backfilling to ground level |
| Points | (1) = Averaged Settlement at Final Excavation (Day 228) (mm) | (2) = Averaged Settlement at Backfilling (Day 1367) (mm) | (2)/(1) | Averaged Increase in Settlement after Excavation per Month (mm) |
|---|---|---|---|---|
| 0–11 | 6.6 | 15.8 | 2.40 | 0.24 |
| 12–22 | 5.9 | 13.5 | 2.29 | 0.20 |
| 23–31 | 5.2 | 14.3 | 2.75 | 0.24 |
| average | 5.9 | 14.5 | 2.48 | 0.23 |
| Points | (1) = Settlement at Final Excavation (Day 212) (mm) | (2) = Settlement at Backfilling (Day 1367) (mm) | (2)/(1) | Increase in Settlement after Excavation per Month (mm) |
|---|---|---|---|---|
| G4 | 6.09 | 14.71 | 2.42 | 0.23 |
| G5 | 5.01 | 15.51 | 3.10 | 0.28 |
| G6 | 4.26 | 13.07 | 3.07 | 0.23 |
| G7 | 4.57 | 13.34 | 2.92 | 0.23 |
| G8 | 4.56 | 14.44 | 3.17 | 0.26 |
| G9 | 4.31 | 15.86 | 3.68 | 0.30 |
| G10 | 4.37 | 10.83 | 2.49 | 0.16 |
| G11 | 5.39 | 16.34 | 3.03 | 0.28 |
| G12 | 5.71 | 14.67 | 2.57 | 0.23 |
| G13 | 4.62 | 15.18 | 3.29 | 0.27 |
| G14 | 4.38 | 14.11 | 3.22 | 0.25 |
| G15 | 5.09 | 15.17 | 2.98 | 0.25 |
| G16 | 4.75 | 13.13 | 2.76 | 0.21 |
| G17 | 5.50 | 16.30 | 2.96 | 0.27 |
| G18 | 4.28 | 18.49 | 4.32 | 0.33 |
| G19 | 4.61 | 17.66 | 3.83 | 0.33 |
| average | 4.91 | 14.93 | 3.06 | 0.25 |
| Points | (1) = Averaged Deflection at Final Excavation (Day 212) (mm) | (2) = Averaged Deflection at Backfilling (Day 1367) (mm) | (2)/(1) | Averaged Increase in Deflection after Excavation per Month (mm) |
|---|---|---|---|---|
| 0–11 | 8.9 | 15.5 | 1.74 | 0.17 |
| 12–22 | 11.9 | 23.2 | 1.95 | 0.30 |
| 23–31 | 10.0 | 20.2 | 2.02 | 0.27 |
| average | 10.3 | 19.6 | 1.90 | 0.25 |
| Section | Number of Anchors * | Averaged Spacing of Strand H (m) | D/L * (mm) | Second Moment of Inertia I (mm4) | Ks | Averaged Deflection at Final Depth (mm) | Averaged Deflection at Backfill (mm) |
|---|---|---|---|---|---|---|---|
| I-I | 4 | 3.50 | 800/-- | 0.13 | 9.73 | 19.15 | |
| II-II | 2 | 5.83 | 800/1700 | 1.39 | 10.20 | 20.03 | |
| III-III | 2 | 5.83 | 700/1300 | 0.69 | 13.25 | 23.75 | |
| IV-IV | 1 | 8.75 | 800/1700 | 0.27 | 7.10 | 18.55 |
Publisher’s Note: MDPI stays neutral with regard to jurisdictional claims in published maps and institutional affiliations. |
© 2022 by the authors. Licensee MDPI, Basel, Switzerland. This article is an open access article distributed under the terms and conditions of the Creative Commons Attribution (CC BY) license (https://creativecommons.org/licenses/by/4.0/).
Share and Cite
Yu, P.; Shen, Y.; Ren, Y. Long-Term Performance of a Deep Excavation in Silty Clay in Xi’an—A Case Study. Buildings 2022, 12, 1952. https://doi.org/10.3390/buildings12111952
Yu P, Shen Y, Ren Y. Long-Term Performance of a Deep Excavation in Silty Clay in Xi’an—A Case Study. Buildings. 2022; 12(11):1952. https://doi.org/10.3390/buildings12111952
Chicago/Turabian StyleYu, Piyong, Yinlan Shen, and Yangzhi Ren. 2022. "Long-Term Performance of a Deep Excavation in Silty Clay in Xi’an—A Case Study" Buildings 12, no. 11: 1952. https://doi.org/10.3390/buildings12111952
APA StyleYu, P., Shen, Y., & Ren, Y. (2022). Long-Term Performance of a Deep Excavation in Silty Clay in Xi’an—A Case Study. Buildings, 12(11), 1952. https://doi.org/10.3390/buildings12111952
