Distribution of Cutting and Welding Thermal Residual Stress in Steel Bone with and without Holes in the Partially Encased Composite Wall
Abstract
1. Introduction
2. Fundamentals
3. Model Establishment
3.1. Model Description
3.1.1. The Objects of Analysis
3.1.2. Material Properties
3.1.3. Element and Meshing
3.1.4. The Boundary Conditions
- 1.
- The boundary conditions of the thermal conductivity analysis models
- 2.
- The boundary conditions of the stress analysis models
3.2. Heat Source Model
3.2.1. Cutting Heat Source Model
- 1.
- The heat source of gas cutting
- 2.
- The heat source of plasma cutting
3.2.2. Welding Heat Source Model
4. Thermal–Stress Simulation
- The thermal–stress analysis of the cutting process: the cutting thermal conductivity analysis and the corresponding stress analysis were performed in succession for the flange plate, the web and the web with a hole (as shown in Figure 5), respectively, to gain the residual stress distribution of different plates caused by cutting heat.
- The thermal–stress analysis of the welding process: based on the cutting residual stress, the thermal conductivity analysis and stress analysis of the processing of the double-sided fillet welds were carried out on the two I-shaped welding analysis objects (as in Figure 4), respectively, to obtain the distribution of the total residual stresses of the cutting and welding process.
4.1. Thermal–Stress Simulation of Cutting Process
4.1.1. Analysis Steps
- Cutting simulation of the flange
- 2.
- Cutting simulation of the web
- 3.
- Cutting simulation of the web with a hole
4.1.2. Analysis Results
- As shown in Figure 15, the width of the temperature-affected zone was about 2 cm in the gas cutting processing. The cutting surface was inclined, and the area affected by the cutting oxygen flow on the cutting surface was approximately in the shape of an elongated nail, while the cutting surface in the plasma cutting process was vertical, and the width of the heat-affected area was only about 8 mm.
- From the picture (a) of Figure 16, Figure 17, Figure 18 and Figure 19 we could know that the steady-state temperature of the flange with cutting operations on two edges was lower at the four corners and higher in the middle of the plate, with a temperature difference of about 0.25 °C. The distribution of the steady-state temperature field of the web with one edge cutting was higher on the side near the heat source and lower on the side away from the heat source. The opening had a serious effect on the heat transfer inside the web, resulting in higher temperatures in the narrow area between the cutting edge and the opening boundary after both cuttings compared with other areas.
- As exhibited in picture (b) and (c) of Figure 16, Figure 17, Figure 18 and Figure 19, the stress map on the flange plate was approximately symmetrical, while the stress distribution on the web was characterized by a gradient variation. The stresses in the narrow area between the opening and the cutting edge were much greater than in other areas at the same distance from the cutting edge.
4.2. Thermal–Stress Simulation of the Welding Process
4.2.1. Analysis Steps
4.2.2. Analysis Results
- As shown in Figure 20, the shape of the temperature distribution near the welding heat source was a double ellipse with a flat front and steep back, and the steel melting point was reached within the whole width of the welding seam and within part of the thickness of the web.
- As shown in Figure 21, after cooling, the temperature distribution of the I-shaped models exhibited a slightly higher temperature of the plate on the near side of the welding seam than that of the plate on the far side of the welding seam. The hole in the web affected the path of heat transfer, resulting in higher temperatures in the narrow area near the welding seam than in other areas at the same distance from the welding seam and in lower temperatures in the narrow area far from the welding seam than in other areas at the same distance from the welding seam.
- As shown in figures in the Section 5, the stress distribution near the upper and lower boundaries of the plate significantly differed from the stress distribution close to the middle height of the plate. As only the heat source of the two left welding seams were applied to the I-shaped welding unit, the flanges of the unit can be divided into two categories—the flange near the welding seam and the flange away from the welding seam, and the residual stress of the former was much larger than that of the latter. The stress map on the flange exhibited an approximate symmetrical distribution pattern, while the stress distribution on the web was characterized by a gradient variation. The stress in the narrow area of the web between the hole and the welding seam was much greater than in other areas at the same distance from the welding seam.
5. Thermal Residual Stress Distribution in the Member
5.1. Cutting Thermal Residual Stress Distribution
- The material where the torch reached bore compressive stress because its expansion due to high temperatures was limited by the surrounding material, while the stress here turns to be tensile after cooling. The cutting residual tensile stress in the flange was rapidly reduced from yield stress to zero within 6 mm of the cutting edge and was expressed as a very small compressive stress in the middle of the sheet. The simplified distribution of the cutting residual stress on the flange is shown in Figure 26a.
- As only a single side cutting heat source was applied in the simulation of the web, the stress near the cutting edge rapidly changed from tensile stress to compressive stress and then gradually transitioned to very small tensile stress (about 2 MPa) over the width of the plate. It was evident that the heat source of the gas cutting on the left side of the web had a negligible effect on the right region of the web. Both sides of the web in the steel bone of the PEC wall experienced gas cutting, and the distribution of the longitudinal residual stress in the web can be obtained by mirroring and simplifying the residual stress on the cutting half, as shown in Figure 26a.
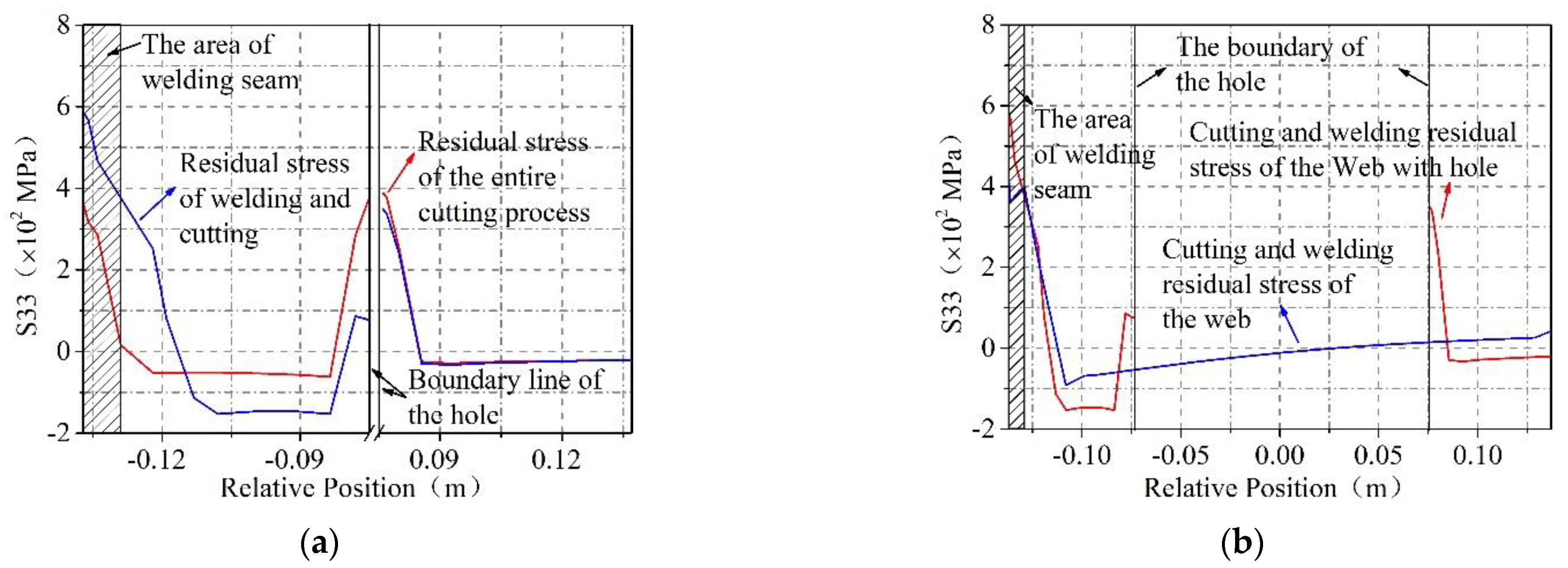
- On the web with a hole, the heat source of gas cutting on the left border had little effect on the narrow area on the right side of the hole due to the influence of the hole on the plate, and the residual stress of this area was only about 3 MPa. However, the residual stress in the narrow area on the left side was all yielded in tension within 6 mm of the cutting line, and the compressive stress in the rest of the width was about 35 MPa. After the cooling of the plasma cutting, the total cutting residual stress in the narrow area of the left of the hole can be considered as a superposition of the gas cutting residual stress and the plasma cutting residual stress. As the residual stress perpendicular to the gas cutting edge was much smaller than the residual stress parallel to the gas cutting edge, the distribution and magnitude of the Mises stress was mainly influenced by the latter. The web with a hole in the steel bone of the PEC wall undergoes gas cutting on the right edge as well as on the left edge, and its longitudinal residual stress on the cross-section through the center of the hole can be regarded as the superposition of the gas cutting residual stress and the plasma cutting residual stress, and the simplified cutting residual stress distribution is shown in Figure 26b.
- Comparing the distribution of the cutting residual stress in the web with and without a hole, it could be seen that the hole reduced the area of the web and increased the heat input to the web, resulting in the cutting residual stress in the narrow area of the web on both sides of the hole being much larger than the cutting residual stress at the same region in the web without a hole.
5.2. Welding Thermal Residual Stress Distribution
- The effect of the web with or without a hole on the distribution of the welding residual stress in the flange was negligible. The simplified distribution of the welding residual stress in the flange can be obtained, as shown in Figure 31a.
- The cutting residual stress in the plates was much smaller than the residual stress of the welding. The total residual stress of a plate can be approximated as the superposition of the residual stress obtained from each heat treatment.
- In the web with a hole, the welding seam on the left side of the hole had little effect on the narrow area on the right side of the hole, which was reflected by the fact that the total residual stress of the cutting and welding in the narrow area on the right side were coincident with the cutting residual stress curve. In the steel bone of the PEC wall, there are double fillet welds on both sides of the web with a hole, and the simplified distribution of the cutting and welding residual stresses in the web with a hole is shown in Figure 31b.
- In the web, the welding process of the left border had little effect on the right side of it. According to the stress balance within the cross-section, the simplified distribution of the cutting and welding residual stress in the web of the PEC steel bone can be obtained by mirroring and simplifying, as shown in Figure 31c.
- Comparing the distribution of the total residual stress in the web with and without a hole, it can be drawn that the presence of the hole resulted in the total residual stress induced by the cutting process and the welding process in the narrow area of the web on both sides of the hole being much larger than the total residual stress at the same region in the web without a hole.
6. Conclusions
- The welding residual compressive stresses in both the flange and webs were much greater than the cut residual compressive stresses, while the residual tensile stresses caused by both the cutting process and welding process yielded.
- The total residual stress of a plate can be approximated as the superposition of the residual stress obtained from each heat treatment.
- The presence of the hole in the web greatly affects the distribution pattern of the residual stress in the web. Both the cutting residual compressive stress and the welding residual stress in the narrow area are about 2~3 times larger than the corresponding residual compressive stress at the same location on the web without a hole. This will result in the premature yielding of the narrow region of the web in the cross-section passes through the center of the hole when subjected to compressive stress and buckling under the influence of slight out-of-plane deformation.
- The distribution of the residual stress in the plate is approximately symmetrical around the plate centerline. The approximate distribution of residual stresses is obtained from the analysis results, which can be introduced into the finite element analysis of the PEC shear wall as the initial stress state of the steel bones.
Author Contributions
Funding
Data Availability Statement
Conflicts of Interest
References
- Schleich, J.B.; Lahoda, E.; Lickes, J.P. A New Technology in Fireproof Steel Construction; Economic Commission Europe United Nations: Rome, Italy, 1982. [Google Scholar]
- Wang, H.; Li, J.; Song, Y. Numerical Study and Design Recommendations of Eccentrically Loaded Partially Encased Composite Columns. Int. J. Steel Struct. 2019, 19, 991–1009. [Google Scholar] [CrossRef]
- Prickett, B.S.; Driver, R.G. Behaviour of Partially Encased Composite Columns Made with High Performance Concrete; Structure Engineering Report No. 262; Department of Civil & Environmental Engineering, University of Alberta: Edmonton, AB, Canada, 2006. [Google Scholar]
- Chen, Y.Y.; Wang, T.; Yang, J.; Zhao, X.Z. Test and numerical simulation of partially encased composite columns subject to axial and cyclic horizontal loads. Int. J. Steel Struct. 2010, 10, 385–393. [Google Scholar] [CrossRef]
- Begum, M.; Driver, R.G.; Elwi, A.E. Parametric study on eccentrically-loaded partially encased composite columns under major axis bending. Steel Compos. Struct. 2015, 19, 1299–1319. [Google Scholar] [CrossRef]
- Yu, J.G.; Dang, C.; Hao, J.P.; Feng, X.T.; Zheng, C.M. Experimental research on seismic performance of semi-rigid partially encased composite frame-steel plate shear wall. J. Build. Struct. 2019, 40, 109–118. [Google Scholar]
- Yin, Z.; Zhang, H.; Yang, W. Study on Seismic Performance and Damage Analysis of Steel Plate Shear Wall with Partially Encased Composite (PEC) Columns. Appl. Sci. 2019, 9, 907. [Google Scholar] [CrossRef]
- Dastfan, M.; Driver, R. Test of a Steel Plate Shear Wall with Partially Encased Composite Columns and RBS Frame Connections. J. Struct. Eng. 2018, 144, 1–9. [Google Scholar] [CrossRef]
- Zhang, Q.L.; Huang, Y.N.; Xu, G.J.; Jiang, L. Seismic Performance of a New Type Steel-Concrete Composite Shear Wall. IOP Conf. Ser. Mater. Sci. Eng. 2021, 1203, 022041. [Google Scholar] [CrossRef]
- Zhou, Y.N.; Huang, Y.N.; Xu, G.J.; Jiang, L. Research on Influence on Axial Compression Ratio and Calculation Method of Bearing Capacity of PEC Short—Limb Shears Walls. J. Jiamusi Univ. (Nat. Sci. Ed.) 2018, 36, 843–848. [Google Scholar]
- Huang, Y.N. Experimental and Theoretical Study on Seismic Behavior of Partially Encased Composite Shear Wall Structures. Ph.D. Thesis, Tongji University, Shanghai, China, 2022. [Google Scholar]
- Jokiaho, T.; Laitinen, A.; Santa-aho, S.; Isakov, M.; Peura, P.; Saarinen, T.; Lehtovaara, A.; Vippola, M. Characterization of Flame Cut Heavy Steel: Modeling of Temperature History and Residual Stress Formation. Metall. Mater. Trans. B Process Metall. Mater. Process. Sci. 2017, 48, 2891–2901. [Google Scholar] [CrossRef]
- Terasaki, T.; Kitmaura, T.; Miyamoto, Y. Heat input generated in plate by gas cutting process. J. Jpn. Soc. Nav. Archit. Ocean. Eng. 2009, 10, 197–204. [Google Scholar]
- Bae, K.; Yang, Y.; Yi, M.; Park, C. Numerical analysis of heat flow in oxy-ethylene flame cutting of steel plate. Proc. Inst. Mech. Eng. Part B J. Eng. Manuf. 2018, 232, 742–751. [Google Scholar] [CrossRef]
- Arenas, M.J.; Hömberg, D.; Lasarzik, R.; Mikkonen, P.; Petzold, T. Modelling and simulation of flame cutting for steel plates with solid phases and melting. J. Math. Ind. 2020, 10, 1–16. [Google Scholar] [CrossRef]
- Zhou, Q.; Li, H.; Liu, F.; Guo, S.; Guo, W.; Xu, P. Effects of Nozzle Length and Process Parameters on Highly Constricted Oxygen Plasma Cutting Arc. Plasma Chem. Plasma Process. 2008, 28, 729–747. [Google Scholar] [CrossRef]
- Zhang, Z.; Wang, C.; Sun, Q.; Xia, W. Three-dimensional non-equilibrium modeling of a DC multi-cathode arc plasma torch. Plasma Sci. Technol. 2021, 23, 075404. [Google Scholar] [CrossRef]
- Ferguson, D.C.; Hoffmann, R.C.; Plis, E.; Engelhart, D. Arc Plasma Propagation and Arc Current Profiles. IEEE Trans. Plasma Sci. 2019, 47, 3842–3847. [Google Scholar] [CrossRef]
- Li, Y.; Feng, Y.; Zhang, X.; Wu, C. An improved simulation of heat transfer and fluid flow in plasma arc welding with modified heat source model. Int. J. Therm. Sci. 2013, 64, 93–104. [Google Scholar] [CrossRef]
- Wu, C.S.; Huo, Y.S. Numerical analysis of keyhole geometry and temperature profiles in plasma arc welding. J. Manuf. Process. 2013, 15, 593–599. [Google Scholar] [CrossRef]
- Wu, C.S.; Hu, Q.X.; Gao, J.Q. An adaptive heat source model for finite-element analysis of keyhole plasma arc welding. Comp. Mater. Sci. 2009, 46, 167–172. [Google Scholar] [CrossRef]
- Zhou, Q.H. Numerical Simulation of a DC arc Thermal Plasma Torch. Ph.D. Thesis, Fudan University, Shanghai, China, 2009. [Google Scholar]
- Lee, C.; Chang, K.; Lee, C. Comparative study of welding residual stresses in carbon and stainless steel butt welds. Proc. Inst. Mech. Eng. Part B J. Eng. Manuf. 2008, 222, 1685–1694. [Google Scholar] [CrossRef]
- Zhao, L.C.; Wang, H.W.; Xiao, C.F. Numerical Simulation of Double-Sided Double Arc Welding without Back Chipping Based on MSC.MARC. In Proceedings of the 2nd International Conference on Advanced Engineering Materials and Technology (AEMT), Zhuhai, China, 6–8 July 2012. [Google Scholar]
- Jiang, J.; Chiew, S.P.; Lee, C.K.; Tiong, P.L.Y. An experimental study on residual stresses of high strength steel box columns. J. Constr. Steel Res. 2017, 130, 12–21. [Google Scholar] [CrossRef]
- Perić, M.; Garašić, I.; Tonković, Z.; Vuherer, T.; Nižetić, S.; Dedić Jandrek, H. Numerical prediction and experimental validation of temperature and residual stress distributions in buried-arc welded thick plates. Int. J. Energy Res. 2019, 43, 3590–3600. [Google Scholar] [CrossRef]
- Li, T.; Li, G.; Wang, Y. Residual stress tests of welded Q690 high-strength steel box- and H-sections. J. Constr. Steel Res. 2015, 115, 283–289. [Google Scholar] [CrossRef]
- Tsai, Y.L.; Chang, C.C.; Chou, C.P. The Study of the Relationships between Material Properties and Welding Residual Stresses. Adv. Mater. Res. 2010, 97–101, 703–708. [Google Scholar] [CrossRef]
- Kohandehghan, A.R.; Serajzadeh, S. Experimental Investigation into the Effects of Weld Sequence and Fixture on Residual Stresses in Arc Welding Process. J. Mater. Eng. Perform. 2012, 21, 892–899. [Google Scholar] [CrossRef]
- Park, J.; An, G.; Woo, W. The effect of initial stress induced during the steel manufacturing process on the welding residual stress in multi-pass butt welding. Int. J. Nav. Arch. Ocean. 2018, 10, 129–140. [Google Scholar] [CrossRef]
- Wu, A.H.; Syngellakis, S.; Mellor, B.G. Effect of Thermal Input on Finite Element Predictions of Welding Residual Stresses. Adv. Mater. Res. 2011, 399–401, 1976–1983. [Google Scholar] [CrossRef]
- GB 51249-2017; Code for Fire safety of Steel Building Structures. China Planning Press: Beijing, China, 2017.
- Jia, L. Finite Element Analysis on Residual Stress of Welding Assembly for I-Beam and End-Plate. Ph.D. Thesis, Shandong University, Jinan, China, 2013. [Google Scholar]
- Committee, E. Handbook of Mechanical Engineering Material Properties; China Machine Press: Beijing, China, 1995. [Google Scholar]
- Zhang, J.R.; Zhao, T.Y. Handbook of Thermophysical Properties of Materials Commonly Used in Engineering; New Era Press: Beijing, China, 1987. [Google Scholar]
- Lu, A.L.; Shi, Q.Y.; Zhao, H.Y.; Wu, A.P. Three-dimensional numerical simulation of temperature and stress distribution in welding of thick plate. China Mech. Eng. 2001, 12, 183–186. [Google Scholar]
- Zhang, G.D.; Zhou, C.Y. Finite element simulations of welding residual stress and creep damage for welded joint. Acta Met. Sin 2008, 44, 848–852. [Google Scholar]
- Bolobov, V.I. Conditions for Ignition of Iron and Carbon Steel in Oxygen. Combust. Explos. Shock. Waves 2001, 37, 292–296. [Google Scholar] [CrossRef]
- Thiébaud, R.; Drezet, J.; Lebet, J. Experimental and numerical characterisation of heat flow during flame cutting of thick steel plates. J. Mater. Process. Technol. 2014, 214, 304–310. [Google Scholar] [CrossRef]
- Wei, Z.Y.; Liu, Y.J.; Deng, Y.P.; Huang, H. The temperature and residual stresses analysis in thermal cutting based on FEM simulation and experiment. In Proceedings of the 30th Anniversary of the Establishment of the Ship Mechanics Academic Committee and the 7th Plenary Session of the Committee, Chengdu, China, 11 August 2010. [Google Scholar]
- Goldak, J.; Chakravarti, A.; Bibby, M. A new finite element model for welding heat sources. Metall. Trans. B 1984, 15, 299–305. [Google Scholar] [CrossRef]
- Goldak, J.; Bibby, M.; Moore, J.; House, R.; Patel, B. Computer modeling of heat flow in welds. Metall. Trans. B 1986, 17, 587–600. [Google Scholar] [CrossRef]
- Chen, Z.N.; Chen, M.A. Handbook for Welding Engineering; China Machine Press: Beijing, China, 2019. [Google Scholar]
- Fang, H.Y. Mechanics of Welding; China Machine Press: Beijing, China, 2017. [Google Scholar]

































| I | U | η | f1 | f2 | a1 | a2 | b | C |
|---|---|---|---|---|---|---|---|---|
| 400 A | 33 V | 0.85 | 0.4 | 1.6 | 0.004 m | 0.016 m | 0.01 m | 0.01 m |
Publisher’s Note: MDPI stays neutral with regard to jurisdictional claims in published maps and institutional affiliations. |
© 2022 by the authors. Licensee MDPI, Basel, Switzerland. This article is an open access article distributed under the terms and conditions of the Creative Commons Attribution (CC BY) license (https://creativecommons.org/licenses/by/4.0/).
Share and Cite
Huang, Y.; Zhang, Q. Distribution of Cutting and Welding Thermal Residual Stress in Steel Bone with and without Holes in the Partially Encased Composite Wall. Buildings 2022, 12, 1929. https://doi.org/10.3390/buildings12111929
Huang Y, Zhang Q. Distribution of Cutting and Welding Thermal Residual Stress in Steel Bone with and without Holes in the Partially Encased Composite Wall. Buildings. 2022; 12(11):1929. https://doi.org/10.3390/buildings12111929
Chicago/Turabian StyleHuang, Yanan, and Qilin Zhang. 2022. "Distribution of Cutting and Welding Thermal Residual Stress in Steel Bone with and without Holes in the Partially Encased Composite Wall" Buildings 12, no. 11: 1929. https://doi.org/10.3390/buildings12111929
APA StyleHuang, Y., & Zhang, Q. (2022). Distribution of Cutting and Welding Thermal Residual Stress in Steel Bone with and without Holes in the Partially Encased Composite Wall. Buildings, 12(11), 1929. https://doi.org/10.3390/buildings12111929
