Abstract
Campus lockdown during COVID-19 and the post-pandemic era has had a huge negative effect on college students. As a vital part of interior teaching spaces, colour deeply influences college students’ mental health and can be used for healing. Nevertheless, research on this topic has been limited. Based on colour psychology and colour therapy, this paper discusses the relationship between interior teaching space colours (hue and brightness) and emotions among college students. The HAD scale and questionnaire survey method were used. It was concluded that: (1) Anxiety and depression were prominent among the college student population during the quarantine of the university due to the epidemic. (2) Warm colours have an advantage over both cold and neutral colours in creating pleasure, relaxation, and mental attention, with the second in line being the cold and the last being the neutral. Warm colours make it pleasant for individuals while cold colours boost attention. (3) When subjects have higher values of anxiety and depression, they are less satisfied with the colour of the teaching space. (4) In most cases, there is no significant difference in the colour preference of teaching spaces across the gender, grade, and major groups, with females having a higher preference for warm high-brightness classrooms than males. These findings provide crucial ideas for future interior teaching space design and enrich the theories in colour psychology.
1. Introduction
Since its emergence, the new coronavirus has had various adverse effects on the mental health of the general public. In the first year of COVID-19, the prevalence of depression and anxiety disorders is estimated to have increased by 25% [1,2]. Studies [3] show that people have had varied degrees of psychological problems throughout the outbreak. Stress, anxiety, and depression values remained high after two weeks and did not decrease over time. This was exacerbated by the isolation and confinement caused by the epidemic, with symptoms such as mood disorders, depression, stress, poor mood, irritability, insomnia, and post-traumatic stress disorder [4]. Of all populations, students are among the most prone to have severe psychological problems [5]. A comparative study found that children who experienced isolation had post-traumatic stress values four times higher than those who did not [6]. In an Italian study [7], late bedtimes and late wakeups were particularly common among the student population, and sleep quality was also affected during the period of isolation, with 27.8% reporting depression symptoms and 34.3% showing anxiety symptoms. In a pre-and post-closure survey of Chinese university students, the mean PANAS-NA (negative affect) scale score fell from 2.38 (0.79) to 2.24 (0.80), and the mean anxiety-depression score on the PHQ-4 scale changed from 0.95 (0.65) to 0.76 (0.61), with significant reductions in both values. This indicates that there is a significant increase in anxiety and depression symptoms among students, and the negative effects of school closure are becoming more prominent [8]. The epidemic school closure greatly harms the mental health of college students and requires urgent interventions.
China has been implementing the “Dynamic Zero-COVID” approach since the pandemic outbreak in 2020. In the context of that, universities in China have also been undergoing a dynamic lockdown for nearly three years. Because of numerous elements like Chinese universities offering practically every student housing and the Chinese population figure being relatively significant, Chinese universities also have a higher volume of students living on campus than foreign universities. Therefore, if no protection measure is conducted, the virus is more likely to transmit on the Chinese campus and cause a disastrous outcome. Based on all the facts and according to policies in districts, the university operates in closure, resulting in students being forced to stay in campus walls. During the closure, students reside in dormitories and can wander around inside the university, conducting ordinary tasks including studying indoors and playing sports outside, etc. If needed, medical resources are supplied. This action is temporary, and the campus will be reopened once the external epidemic is under control. However, we can observe complaints from students on social media like Weibo, writing about anxiety from long-time closure. Some mention that their psychological condition gets worse because of the feeling of being restricted on campus. College students’ mental health is affected by campus lockdown. However, there is a lack of post-pandemic closure studies with Chinese characteristics. The current studies globally on epidemic closure mostly focus on two contexts—home isolation and confinement [4]—whereas there is a lack of discussion on campus lockdown when students are required to stay in university. In addition, most of the studies focus on the early stage of the new corona outbreak [3,5], and there is a lack of studies on the normalization of closure in the post-epidemic period. Furthermore, studies focusing on college students’ mental health during post-pandemic college lockdown are also relatively few; the existing literature mostly analyses the changes in the psychological state of adolescents [9,10] during school closure or isolation. Some studies have focused on the psychological changes of college students [8], but also failed to suggest creative strategies of mitigation.
Existing literature indicates that colour can relieve pressure to some extent. Colour psychology is a branch of psychological science that believes that colour has various psychological and behavioural effects [11]. Some psychologists [12] have shown that 83% of the information humans obtain is from visual sources, and that colour predominates in this visual information. Extensive research discusses the psychological, cognitive, physiological, and behavioural effects of colour [13,14]. Some studies indicate the psychological impact of colour in terms of dynamism, size and quantity, and warmth and coolness [15,16]. Since each colour has its own wavelength and frequency, when the body absorbs its specific energy, it might change the original energy in the body. Therefore, colour can be used for the treatment of physical illnesses and psychological problems [17], which has led to the concept of colour healing. Colour therapy, derived from colour psychology, is a technique of psychotherapy that promotes recovery by allowing the patient to see and feel a colourful environment that causes stimulation of the brain and emotions [18]. Colour has been found to have features that affect the patients’ physiological activities, emotions in daily life, cognitive processing, and other changes in mental activity [19]. In addition to the use of colour in the medical environment, the use of colour as an adjuvant to therapy to relieve the psychological distress of patients has been increasingly recognized and applied in existing research [20]. It has been shown [17] that colour therapy can have the same or a similar effect on any group of people, regardless of the cultural background. It is known that colour preference could be influenced by differences in age, sex, and geographical region. Additionally, factor analysis and cluster analysis indicated some relation between colour preference and the subjects’ lifestyles [21]. For instance, Great Britain has a strong preference for G categories and a warm-greyish colour image is preferred. Italy has a preference for R and Y categories and a warm-clear image is preferred [22]. However, Chinese people have specific colour preferences. For example, black on red signifies happiness to Chinese people, and therefore the colour combination is commonly used for wedding invitations [23]. Red is not only consistently associated with “active,” “hot”, and “vibrant”, but it also conveys additional meaning (“pleasant”) in China [23]. There are also some scholars who point out that the “red preference” phenomenon is observed in Chinese adults. Light colours are preferred the most in terms of chroma-lightness level [24]. Based on all the facts, colour therapy has great potential in reality. However, the current application of colour healing in China is limited. Although there are now discussions on the application of colour psychology for campus space design [25], they are failing to incorporate the current state of college student’s mental health and failing to apply various theories of colour healing. Therefore, we must consider the possibility of applying colour therapy in the teaching space to alleviate the anxiety and depression of college students. If the environmental colours of interior teaching spaces can be used to reduce anxiety and depression values, it will considerably enhance the mental health of college students.
To assess students’ psychological condition, the HAD scale is used as the measurement tool. The Hospital Anxiety and Depression Scale (HAD) was created by Zigmond and Snaith in 1983 to screen for anxiety and depression in general hospital patients. The scale consists of two separate scales. One is the Hospital Anxiety Scale (HADA) and the other is the Hospital Depression Scale (HADD). It has been translated into several national versions and is widely used in medical assessment. There are studies of national versions of the scale, such as in Spanish [26], Chinese [27], Norwegian [28], and Arabic [29], as well as studies of applicable populations, such as patients with fibromyalgia syndrome [30], tinnitus [31], office workers [32], the elderly [27], and patients with oral burning syndrome [33]. In a Spanish study [30], the subscales “anxiety” and “depression” were evaluated separately, and both scales were found to be highly reliable and accurate (HADA = 0.80, HADD = 0.85). Some studies have found that the HAD scale has 80% sensitivity and 90% specificity, considering it a good screening tool for anxiety and depression in older adults in Cantonese-speaking areas [27]. It has also been suggested that the HAD scale is more useful in the assessment of depression [31]. A Norwegian study [28] revealed the high internal consistency of the scale with a substantial sample size (65,648 participants). In summary, most of the studies corroborate the scientific validity, reliability, and validity of the HAD scale and therefore support the application of the scale in the assessment of anxiety and depression in various domains. Yet there are few cases of applying the HAD scale to research in China, more focus being on particular patients [34,35] and application in the field of education being neglected. There are no examples of assessing students’ mental health. Therefore, it is practical and feasible in this paper to apply the HAD scale to assess anxiety and depression among college students.
The research specifically focuses on college students who must stay inside campus because of the pandemic prevention policy. The group’s features are quite different from those who can only stay in the dormitory or those home commuting subjects. Therefore, this study has its speciality in geography, timing, groups, and so on. This study will supplement the gap of existing research. Based on the mental health problems of college students in the post-epidemic school closure normalization, using the HAD scale to assess the relevant indicators, we lead to conclusions of colour healing to provide a reference for subsequent space design and psychotherapy. In conclusion, this study aims to provide references and suggestions for the development of campus teaching space environment design in the post-epidemic era, and it is also an innovative attempt to intervene in the mental health of college students from the perspective of colour healing. The following hypotheses are proposed and tested:
H1.
During the closure of colleges and universities due to the epidemic, there is a high prevalence of anxiety and depression in the college student population.
H2.
Neutral, warm, and cold teaching spaces and teaching spaces with adjusted lightness shifts have different effects on college students’ emotions.
H3.
There is a significant difference between different anxious and depressed groups in judging the effect of teaching space on mood.
H4.
There are significant differences between demographic characteristics in judging the effect of instructional space on mood.
2. Methods
In this study, a questionnaire was distributed and filled out through the “Questionnaire Star” platform to collect the subjects’ emotional evaluation of the teaching space with different colour characteristics. The research idea is shown in Figure 1.
Figure 1.
Research scheme.
2.1. Questionnaire Setting
The questionnaire (Appendix A) for this investigation consisted of three parts. Part I: The subjects were asked about their demographic information, including gender, education, and major. Part II: The subjects were tested on the Hospital Anxiety and Depression Scale (HAD scale). The test contains 14 questions (Table 1), and subjects make choices based on their past week. From the outcomes we obtained the subject’s level of anxiety and depression. The HAD scale consists of two subscales, anxiety and depression, for anxiety (A) and depression (D), each with 7 questions. Each item is assessed on a 4-point scale, with single-sign ratings summing to anxiety ratings and double-sign ratings summing to depression ratings. A single scale score of 0–7 indicates no depression or anxiety, a total score of 8–10 indicates possible or “borderline” anxiety and depression, and a total score of 11–20 indicates possible significant anxiety or depression.
Table 1.
HAD scale.
Part III: Conducting the observation of virtual teaching spaces with different colour differences was carried out. In this experiment, two different teaching spaces were used as prototypes. The initial model was built with Revit 2021 then rendered and post-adjusted with Lumion 11. According to the variation of hue and lightness, 14 different virtual spaces are constructed (Figure 2). Immediately after the observation of each set of virtual teaching spaces, the subjects filled out a questionnaire on the level of pleasure, relaxation, and mental attention for the scene to obtain their subjective feelings about the pictures. The chromaticity analysis was conducted to explore the effect of neutral, warm, and cold classrooms on human emotions. The brightness analysis was conducted to investigate the effect of warm and cold classrooms on human emotions at both high and low brightness levels. The reference data is the mean and standard deviation of the questionnaire scores. In the colour and brightness selection section, three pairs of two-level adjectives, “pleasant/unpleasant”, “relaxed/unrelaxed” and “focused/unfocused”, were used to evaluate different colour teaching spaces. The standard is a 5-point semantic difference, using a scoring system from 1 to 5. The lower the score, the more negative is the emotion.
Figure 2.
Virtual environment modelling of teaching spaces. Note: This computer model is built based on actual classrooms in a university in Harbin, China. The size, furniture, and material are in accord with reality. There are two types of classrooms. One is small and could contain no more than 20 students. The other is large and could hold no more than 200 students. The pictures above are taken from two angles which is of both eyes’ perspective, aiming to offer subjects a more immersive experience. Since most Chinese classrooms are decorated with coating materials/paint (Figure 3), we built models without considering the materials’ influence. Because wall colour takes up the most percentage of classroom colour, this time we only picked wall colour as the variation. The wall is changed from neutral colour to warm colour and cold colour. Then the lightness of different colours is altered.
Figure 3.
Teaching spaces in China (online) [36,37,38,39,40,41,42].
2.2. Participants
One hundred and ten participants were recruited to fill out the questionnaire through the Questionnaire Star platform in April–May 2022. During the period from 11 April to 15 May, most of the subjects were quarantined on campus due to the epidemic closure and were unable to enter or leave the campus freely.
A total of 110 valid questionnaires were returned in this study, with an effective rate of 100%. The numerical characteristics of the demographic variables can be seen according to the analysis results in Table 2, which reflect the distribution of the respondents in this survey and where the mean value represents the trend among them and the standard deviation represents the fluctuation. According to the results of the frequency analysis of each variable, it can be seen that the distribution meets the requirements of the sample survey. For example, among the gender survey results, the proportion of males is 65.5%, and the proportion of females is 34.5%. This shows that the results of this survey focus on male colour preference. In terms of academic distribution, the largest category is undergraduates, including the highest proportion of junior students. In terms of professional distribution, the highest proportion is engineering students, up to 73.6%, indicating that the subjects are mainly science and technology students.
Table 2.
Frequency analysis of demographic variables.
2.3. Data Analysis
The data analysis software used for the study was SPSS 27. The reliability validity of the dependent variables was first examined, and correlation tests were used to assess whether there was a relationship between the dependent variables, after which the mean and standard deviation of the data were calculated. A repeated measures ANOVA was used to assess the effect of differences in the colour of the teaching space environment on participants’ emotions in that context. A one-way ANOVA was used to test whether there were significant differences in the emotional perceptions of the teaching environment space between different anxious and depressed groups. One-way ANOVA was performed afterwards to test whether there were significant differences in the effects of education and major on the participants’ emotions; independent samples t-test was used to test whether there were significant differences in the effects of gender on the participants’ emotions in the difference of colour in the teaching space. The data obtained were presented in graphical or tabular form.
2.4. Reliability Validity Test
SPSS 27 was used to implement the process of reliability and validity analysis. First, we conducted reliability statistics on 14 HAD scale items and 21 questionnaire items respectively. It was found that their standard reliability coefficients were 0.907 and 0.925, which were very close to 1, meaning that the reliability was very high. Then, we conducted reliability statistics on all the questions in the questionnaire. According to the results of the reliability analysis of the overall scale, the Cronbach α coefficient based on standardized items was 0.837. It shows that the analysis results have high reliability. The validity analysis of the questionnaire was carried out by the test process through the approach of exploratory factor analysis in SPSS 27. According to the results of the exploratory factor analysis, the coefficient of the KMO test was 0.823, and the range of the coefficient of the KMO test was between 0 and 1. The closer to 1, the better is the validity of the questionnaire. According to the significance of the sphericity test, it can also be concluded that the significance of this test is infinitely close to 0. The significance is significantly less than 0.005, and the original hypothesis is rejected, indicating the questionnaire has good validity.
3. Results
3.1. Anxiety-Depression Evaluation
This paper analyses and discusses the results of the “Anxiety” and “Depression” sub-scales. For the “Anxiety” scale, a score of 7 or below was defined as healthy and asymptomatic, a score of 8–10 was defined as critical, and a score of 11–20 was defined as significantly anxious. Of the 110 subjects, 64.5% were healthy and asymptomatic, 20% were critical, and 15.5% showed serious anxiety symptoms. The “Depression” scale results were assessed the same way as the “Anxiety” scale. Of the 110 subjects, 68% were in a healthy state, 20% were in a critical state, and 12% had significant depressive symptoms. From the data, it can be concluded that more than 30% of the subjects suffered from mild or significant anxiety or depression, indicating that the phenomenon of anxiety and depression is prominent in this group which supports the validity of the opening H1.
3.2. The Effect of Colour on Mood
3.2.1. Correlation Analysis of Colour and Mood
According to the results of the correlation analysis presented in Figure 4, it can be observed that there are significant correlations among all variables. The correlation coefficients of the scores of all variables were more than 0, except for the negative correlation coefficient of the depression score. So, the anxiety-depression score was negatively correlated with the rest of the hue and lightness scores and positively correlated with the scores of all the remaining variables. For example, the correlation coefficient between the anxiety-depression score and the warm colour score is −0.318 **, which means that they are significantly correlated at the 99% significance level and are negatively correlated. By analogy, this can explain the correlation between all other variables. The higher the anxiety-depression value, the lower is the colour score. The higher the hue score, the higher is the lightness score.
Figure 4.
Correlation test among dimensions. Note: More asterisk “*” imply a stronger correlation.
3.2.2. Analysis of the Effect of Colour on Mood
The colours were divided into two parts: hue contrast (neutral, warm, and cold colours) and brightness contrast. The data in Table 3 and Table 4 were scored according to three emotional criteria: pleasure, relaxation, and focus, as well as the box plots in Figure 5. According to the sphericity test results, p-value is less than 0.05, and the data does not fulfil the sphericity hypothesis. Combined with the results obtained from the multivariate test (p = 0.000), it can be found that the results demonstrate a statistically significant difference (p < 0.001), indicating that there is a significant difference in the effect of different colour classrooms on mood. This corroborates the validity of H2 at the beginning of this paper.
Table 3.
Colour hue mean and standard deviation.
Table 4.
Mean and standard deviation of brightness.
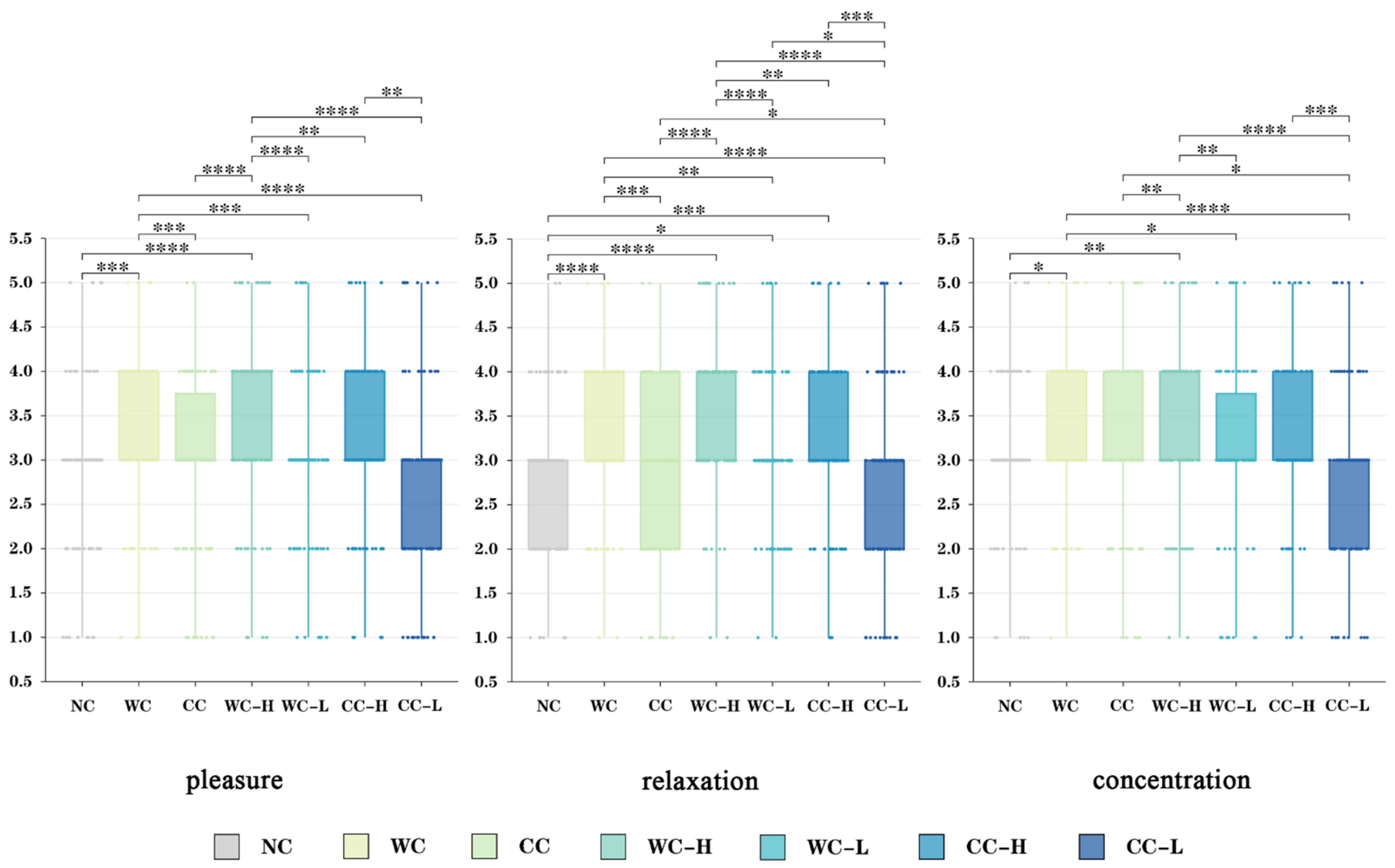
Figure 5.
Box plot of emotion scores. Note: More asterisks “*” imply a stronger correlation.
As can be observed from Table 3, for the three emotional criteria of pleasure, relaxation, and attention, the subjects’ scores all showed with the mean values: warm classroom (WC) > cold classroom (CC) > neutral classroom (NC). This indicated that the healing effect of warm colours is greater than that of cold colours, and the healing effect of cold colours is greater than that of neutral colours. Combined with Table 4, it can be seen that the mean values of subjects’ scores showed a trend of warm colour high brightness (WC-H) > cold colour high brightness (CC-H) > warm colour low brightness (WC-L) > cold colour low brightness (CC-L), indicating that the healing effect of high brightness is greater than that of low brightness based on colour hue.
Warm classrooms have the highest mean value of 3.381 in the “pleasant/unpleasant” category while cold classrooms do not differ significantly from neutral classrooms. The difference between the mean scores of warm and cold colours after adjusting the brightness is large (almost 0.1–0.2 points), and the mean value of 3.518 in warm high-brightness classrooms even exceeds that of warm classrooms itself. It is clear that warm colours play a pleasurable role in the emotional state, and higher brightness colours also make the mood more pleasant.
In the “relaxed/unrelaxed” category, warm colours have a significant relaxation effect, with a mean value of 3.427. Meanwhile, cold colours have a mean value of almost 0.2 points higher than neutral colours, which is a substantial difference. In terms of brightness, although the difference was still significant, the difference between the mean value of high brightness for cold colours and low brightness for warm colours decreased, while the mean value of low brightness for cool colours dropped to a minimum of 2.754.
In the “focused/unfocused” category, although the highest mean value was still for warm colours, the score decreased compared to the previous two moods (3.327). The difference between the cold and neutral colour classrooms was again not significant. The mean score for warm high luminosity also declined in this item. Relatively speaking, cold high luminosity scored 3.255 and it is the highest score among the three moods. The same is true for cold colours with low luminance, indicating that cool colours are easier to focus on mentally.
3.3. Different Effectiveness under Demographic Factors
3.3.1. Degree of Anxiety and Depression
Based on the results of the one-way ANOVA in Table 5, it can be seen that among the seven score dimensions, scores were significantly different across the anxiety population, as the significance tests were 0.02, 0.013, 0.016, 0.044, and 0.044. However, there was no significant difference in the cold-coloured low brightness classroom (p = 0.476 > 0.05). This corroborates the validity of H2 at the beginning of this paper.
Table 5.
Results of the differences in the scores of each classroom on the three anxiety populations.
From the results of the multiple comparisons, it can be seen that, for different groups, the scores of “people without anxiety symptoms” are higher than those of “people with severe anxiety symptoms” and the scores of “people with possible anxiety symptoms” were also higher than those of “people with significant anxiety symptoms”. Therefore, it can be concluded that the emotional satisfaction of “people with significant anxiety symptoms” with different colour spaces is significantly lower than that of the other two categories of anxious people, which is probably due to their high anxiety values. In the cold high brightness classroom, the scores of those with possible anxiety symptoms were greater than those with significant anxiety symptoms. Based on this result, it can be seen that “people with ‘borderline’ anxiety” feel pleasanter with the cold high brightness colour space than “people with severe anxiety”.
According to the results of the one-way ANOVA in Table 6, it can be seen that among the seven score dimensions, the three categories of colour classroom scores, neutral colour score, warm colour score and warm high brightness, also differed significantly across depressed populations with significance tests of 0.041, 0.001, and 0.013, respectively, all significantly smaller than 0.05.
Table 6.
Results of the differences in the scores of each classroom on the three depressed populations.
Based on the results of the multiple comparisons, it can be seen that for both the neutral and warm colour scores, the scores of “people without depression symptoms” and “people with ‘borderline’ depression symptoms scores were higher than the “people with significant depression symptoms” scores. It shows that “people with significant depression symptoms” are significantly less happy with neutral and warm colour spaces than the other two anxious groups, probably due to their high depression values. The “no depression symptoms” group scored higher than the “with significant depression symptoms” group for the high brightness classroom scores of warm colours. Based on this result, it can be seen that the “non-depressed” group felt pleasanter with the warm, high-light colour space than the “significantly anxious” group.
3.3.2. Gender
According to the results of the independent samples t-test in Table 7, it can be seen that there is no significant difference in most of the different colour and brightness classroom scores by gender, but only in the warm colour high brightness classrooms. The significance test for the difference between the scores of warm colour high brightness classrooms by gender is 0.033, which is less than 0.05, indicating that there is a difference in the degree of preference for warm colour high brightness classrooms among students of different genders. Based on the mean values, it can be seen that females rated slightly higher than males, thus females have a higher preference for warm-coloured high-brightness classrooms than males. The remaining variables are not statistically significantly different in terms of gender because the significance is greater than the standard 0.05, so the original hypothesis cannot be rejected.
Table 7.
Analysis of the differences between dimensions in terms of gender.
3.3.3. Education Background
We divided the education into undergraduate and master’s degrees for comparison and the majors into science and non-science disciplines for analysis. According to the results of the one-way ANOVA in Table 8 and Table 9, it can be seen that because the significance is greater than the standard 0.05 for all, there is no significant difference in each dimension score in both education and major, so the original hypothesis cannot be rejected. That means, there is no significant difference in judging the influence of teaching space on emotion among different academic majors, and the opening H4 is overturned.
Table 8.
Results of the variance analysis of each dimension in terms of education.
Table 9.
Results of the analysis of the differences between the dimensions in terms of profession.
According to the analysis of the results, the different demographic variables do not differ significantly in judging the influence of teaching space on emotions, overturning the opening H4.
4. Discussion
4.1. Anxiety and Depression
There has been some investigations about the effects of quarantine on psychology. One study [43] compared psychological outcomes during quarantine with later outcomes and found that during quarantine, 7% (126 of 1656) showed anxiety symptoms. A study [44] of hospital staff who might have come into contact with SARS found that immediately after the quarantine period (9 days) ended, having been quarantined was the factor most predictive of symptoms of acute stress disorder. Some scholars did a review [4] of the psychological impact of quarantine using three electronic databases. Most reviewed studies reported negative psychological effects including post-traumatic stress symptoms, confusion, and anger. And conclusion 1, indicating prominent anxiety and depression among college students during campus lockdown, is in accord with existing findings. However, one study [45] compared undergraduates who had been quarantined with those not quarantined immediately after the quarantine period and found no significant difference between the groups in terms of post-traumatic stress symptoms or general mental health problems. Although this is inconsistent with our conclusion 1, it provides a new perspective for our future research, which can compare the students’ psychological state before and after lockdown.
4.2. Colour and Mood
Though no research has revealed a one-to-one relationship between mood and colour [46], it is believed that different colours have corresponding emotional preferences and different degrees of health effects [47]. For example, warm colours stimulate the spirits and help relieve depression, while cool colours are more calming and relaxing for nerv-ousness [48,49]. Conclusion 2 agrees with the basic theories of colour psychology. In addition, in the view of colour psychology, colours with higher brightness are more popular than those with lower brightness. Conclusion 2 verifies this theory and is consistent with prior studies [50]. The study of Costa Marco et al. [50] on the colour of college students’ dorm rooms indicated that blue interior spaces facilitate various learning activities and make it easier for students to be calm and concentrated. Chong Gao et al. [51] found that patients with depression symptoms find it harder to recover when in blue interior spaces, compared with white and warm interior spaces. Yildirim et al. [52] in their study of living room colours also showed that warm colours were highly stimulating to evoke mood, while cool colours were more associated with “expanding space” and “resting”. Bilal et al. [53] suggest that neutral colours, such as grey, can reduce the feeling of pleasure for guests in hotel rooms. Thus conclusion 3 correlates with existing studies.
In addition, existing studies related to colour psychology have indicated that there are significant differences in colour preferences between genders. For example, Costa Marco et al. [50] discovered substantial disparities between men and women in their preference for blue and purple dormitory spaces. Al-Rasheed [54] concluded that gender-specific preferences for colour exist in both Arabic and English cultural circles, with men preferring blue green. However, conclusion 4 is not fully consistent with the existing studies. In addition to gender, other studies focused on demographic elements such as age and income, like Cho [55] who identified substantial disparities in household income and age in terms of satisfaction with the interior colours of luxury stores.
4.3. Limitation
In addition, there are some limitations in this study.
This study is based on a relatively homogeneous geographical and cultural background, with subjects mostly coming from college students in Harbin, China, who are enrolled in universities with excellent academic reputations and good public images. In other regions, traits like language, lifestyle, weather, and ethnic background are all different. Comparison studies on different regions in China can be supplemented in the future. Additionally, this study mainly collected questionnaires during the school closure period. In future investigation, the range of subjects could be further expanded. A wide variety of students such as home commuting students, resident students, and even senior/junior students could also be considered.
This paper used the HAD scale to assess and classify the subjects’ anxiety and depression symptoms. Future studies can increase the psychological assessment dimensions (e.g., the combination of multiple scales) to increase the credibility and accuracy of the evaluation. Apart from that, this study focused on the subjective feelings of the subjects, so the data obtained are subjective emotions. In the future, the physiological indicators of the subjects can be monitored and analysed in conjunction with real-life experiments. Moreover, only three emotional criteria, “pleasant/unpleasant”, “relaxed/unrelaxed”, and “focused/unfocused”, were selected for evaluation, and there were few emotional indicators. Future studies can add emotional indicators to improve the evaluation.
In this study, for the sake of the controllability of the experiment and the accuracy of the results, other environmental components that affect indoor colour (e.g., light [56,57], furniture, material, etc.) were not discussed. Future studies may try to add relevant elements as variables to increase the exploration of more dimensions of colour in indoor teaching spaces. Furthermore, three hues and two kinds of lightness were selected for the study. The classification was simple and lacked specific colour values for support. In future, studies can take more colours and more colour dimensions (e.g., grey scale) into consideration, apply more detailed and specific classification methods, and combine colour parameters.
5. Conclusions
In this paper, a study was conducted on the emotional impact of environmental colour on college students in the indoor teaching space during the epidemic closure through a questionnaire survey method. The conclusions are as follows:
- In the context of the “Dynamic Zero-Covid” policy, constant campus lockdown leads to prominent anxiety and depression among college students. More than 30% of the subject group suffered from mild or significant anxiety or depressive symptoms.
- Chinese college students have colour preferences in teaching spaces. In the three teaching spaces of warm, cold, and neutral colours, warm colours have an advantage over both cold and neutral colours in creating pleasure, relaxation, and mental focus. Among the three types of teaching spaces, neutral colours provide the worst experience in terms of obtaining a positive mood. It is concluded that warm-coloured classrooms are more healing than cold-coloured classrooms, and cold-coloured classrooms are more healing than neutral-coloured classrooms. With the same colour hue, high brightness classrooms tend to have better healing effects than low brightness classrooms. The results might correlate with the Chinese colour preference for red and light colours.
- There is a correlation between the teaching space colour score and the level of anxiety and depression of the subjects. When subjects have higher degrees of anxiety and depression, they are less satisfied with the colour of the teaching space. There are some differences in the experiences of people with different anxiety and depression symptoms in different colours of teaching spaces.
- In most cases, there is no significant difference in the colour preference of teaching spaces between the gender groups. However, there is a significant difference between males and females in warm high-brightness teaching spaces, with females having a higher preference for warm high-brightness classrooms than males. There is no significant difference in colour preference of teaching space among the different education groups.
Author Contributions
Conceptualization, Y.W. and W.T.; methodology, Y.W. and W.T.; software, W.L.; validation, W.T. and W.L.; formal analysis, W.T.; investigation, W.T. and W.L.; resources, W.T. and W.L.; data curation, W.L.; writing—original draft preparation, W.T. and W.L.; writing—review and editing, W.T., Y.W. and W.L.; visualization, W.L.; supervision, Y.W. and F.L.; project administration, W.T.; funding acquisition, F.L. All authors have read and agreed to the published version of the manuscript.
Funding
The research was funded by [the Ministry of Science and Technology of China] grant number [G2021179030L].
Conflicts of Interest
The authors declare no conflict of interest.
Appendix A
Table A1.
The Colour Evaluation Questionnaire of Teaching Spaces.
Table A1.
The Colour Evaluation Questionnaire of Teaching Spaces.
| 1. Your gender is ( ) | Male | Female | |||
| 2. Your current grade is ( ) | Freshman | Sophomore | Junior year | Senior year | Grade five |
| Master’s degree | Doctor | Others | |||
| 3. Your major category is ( ) | Humanities and Social Sciences | Natural Sciences | Engineering | Medicine | Arts |
| Others | |||||
| 4–17. HAD Scale (Table 1) | |||||
Please observe photo group 1 carefully and answer questions 18–20 truthfully according to your feelings![]() | |||||
| 18. This set of photos makes you feel ( ) | very unpleasant | unpleasant | general | pleasure | very pleasant |
| 19. This set of photos makes you feel ( ) | very unrelaxed | unrelaxed | general | relaxed | very relaxed |
| 20. This set of photos makes you feel ( ) | very unfocused | unfocused | general | focused | very focused |
Please observe photo group 2 carefully and answer questions 21–23 truthfully according to your feelings![]() | |||||
| 21. This set of photos makes you feel ( ) | very unpleasant | unpleasant | general | pleasure | very pleasant |
| 22. This set of photos makes you feel ( ) | very unrelaxed | unrelaxed | general | relaxed | very relaxed |
| 23. This set of photos makes you feel ( ) | very unfocused | unfocused | general | focused | very focused |
Please observe photo group 3 carefully and answer questions 24–26 truthfully according to your feelings![]() | |||||
| 24. This set of photos makes you feel ( ) | very unpleasant | unpleasant | general | pleasure | very pleasant |
| 25. This set of photos makes you feel ( ) | very unrelaxed | unrelaxed | general | relaxed | very relaxed |
| 26. This set of photos makes you feel ( ) | very unfocused | unfocused | general | focused | very focused |
Please observe photo group 4 carefully and answer questions 27–29 truthfully according to your feelings![]() | |||||
| 27. This set of photos makes you feel ( ) | very unpleasant | unpleasant | general | pleasure | very pleasant |
| 28. This set of photos makes you feel ( ) | very unrelaxed | unrelaxed | general | relaxed | very relaxed |
| 29. This set of photos makes you feel ( ) | very unfocused | unfocused | general | focused | very focused |
Please observe photo group 5 carefully and answer questions 30–32 truthfully according to your feelings![]() | |||||
| 30. This set of photos makes you feel ( ) | very unpleasant | unpleasant | general | pleasure | very pleasant |
| 31. This set of photos makes you feel ( ) | very unrelaxed | unrelaxed | general | relaxed | very relaxed |
| 32. This set of photos makes you feel ( ) | very unfocused | unfocused | general | focused | very focused |
Please observe photo group 1 carefully and answer questions 33–35 truthfully according to your feelings![]() | |||||
| 33. This set of photos makes you feel ( ) | very unpleasant | unpleasant | general | pleasure | very pleasant |
| 34. This set of photos makes you feel ( ) | very unrelaxed | unrelaxed | general | relaxed | very relaxed |
| 35. This set of photos makes you feel ( ) | very unfocused | unfocused | general | focused | very focused |
Please observe photo group 1 carefully and answer questions 36–38 truthfully according to your feelings![]() | |||||
| 36. This set of photos makes you feel ( ) | very unpleasant | unpleasant | general | pleasure | very pleasant |
| 37. This set of photos makes you feel ( ) | very unrelaxed | unrelaxed | general | relaxed | very relaxed |
| 38. This set of photos makes you feel ( ) | very unfocused | unfocused | general | focused | very focused |
References
- UN. The 2030 Agenda for Global Action and the Sustainable Development Goals; United Nations: New York, NY, USA, 2015. [Google Scholar]
- UN. Convention on the Rights of Persons with Diabilities; United Nations: New York, NY, USA, 2006. [Google Scholar]
- Wang, C.; Pan, R.; Wan, X.; Tan, Y.; Xu, L.; McIntyre, R.S.; Choo, F.N.; Tran, B.; Ho, R.; Sharma, V.K.; et al. A longitudinal study on the mental health of the general population during the COVID-19 epidemic in China. Brain Behav. Immun. 2020, 87, 40–48. [Google Scholar] [CrossRef] [PubMed]
- Brooks, S.K.; Webster, R.K.; Smith, L.E.; Woodland, L.; Wessely, S.; Greenberg, N.; Rubin, G.J. The psychological impact of quarantine and how to reduce it: Rapid review of the evidence. Lancet 2020, 395, 912–920. [Google Scholar] [CrossRef]
- Wang, C.; Pan, R.; Wan, X.; Tan, Y.; Xu, L.; Ho, C.S.; Ho, R.C. Immediate psychological responses and associated factors during the initial stage of the 2019 coronavirus disease (COVID-19) epidemic among the general population in China. Int. J. Environ. Res. Public Health 2020, 17, 1729. [Google Scholar] [CrossRef] [PubMed]
- Sprang, G.; Silman, M. Post-traumatic stress disorder in parents and youth after health-related disasters. Disaster Med. Public Health Prep. 2013, 7, 105–110. [Google Scholar] [CrossRef] [PubMed]
- Marelli, S.; Castelnuovo, A.; Somma, A.; Castronovo, V.; Mombelli, S.; Bottoni, D.; Leitner, C.; Fossati, A.; Ferini-Stramb, L. Impact of COVID-19 lockdown on sleep quality in university students and administration staff. J. Neurol. 2021, 268, 8–15. [Google Scholar] [CrossRef] [PubMed]
- Li, H.Y.; Cao, H.; Leung, D.Y.P.; Mak, Y.W. The Psychological Impacts of a COVID-19 Outbreak on College Students in China: A Longitudinal Study. Int. J. Environ. Res. Public Health 2020, 17, 3933. [Google Scholar] [CrossRef]
- Panchal, U.; Salazar de Pablo, G.; Franco, M.; Moreno, C.; Parellada, M.; Arango, C.; Fusar-Poli, P. The impact of COVID-19 lockdown on child and adolescent mental health: A systematic review. Eur. Child Adolesc. Psychiatry 2021, 8, 1–27. [Google Scholar] [CrossRef]
- Zhang, C.; Ye, M.; Fu, Y.; Yang, M.; Luo, F.; Yuan, J.; Tao, Q. The Psychological Impact of the COVID-19 Pandemic on Teenagers in China. J. Adolesc. Health 2020, 67, 747–755. [Google Scholar] [CrossRef]
- Wan, J.; Zhou, Y.; Li, Y.; Su, Y.; Cao, Y.; Zhang, L.; Ying, L.; Deng, W. Research on Color Space Perceptions and Restorative Effects of Blue Space Based on Color Psychology: Examination of the Yijie District of Dujiangyan City as an Example. Int. J. Environ. Res. Public Health 2020, 17, 3137. [Google Scholar] [CrossRef]
- Song, J.M. The theory of colour psychology, design careers and experiments. Decoration 2020, 4, 21–26. (In Chinese) [Google Scholar]
- Elliot, A.J.; Maier, M.A. Color Psychology: Effects of Perceiving Color on Psychological Functioning in Humans. Annu. Rev. Psychol. 2014, 65, 95–120. [Google Scholar] [CrossRef]
- Puntenney, I. Color Psychology and Color Therapy. Am. J. Ophthalmol. 1950, 33, 1619. [Google Scholar] [CrossRef]
- Ou, L.C.; Luo, M.R.; Woodcock, A.; Wright, A. A study of colour emotion and colour preference. Part II: Colour emotions for two-colour combinations. Colour Res. Appl. 2004, 29, 292–298. [Google Scholar] [CrossRef]
- Ou, L.C.; Luo, M.R.; Woodcock, A.; Wright, A. A study of colour emotion and colour preference. Part III: Colour preference modelling. Colour Res. Appl. 2004, 29, 381–389. [Google Scholar] [CrossRef]
- Ahn, J.-H.; Kim, J.-D. Theoretical Consideration on Color Therapy. J. Naturop. 2013, 2, 75–76. [Google Scholar]
- Glenn. Overview of Chinese and Western healing environments. China Hosp. Archit. Equip. 2013, 14, 25–28. (In Chinese) [Google Scholar]
- Ai, M.; Liu, Y.H.; Qi, X.H.; Lei, L.; Chen, Y.S.; Li, P.; Yang, S. The effect of colour on human physiology and psychology. Chin. J. Health Psychol. 2015, 2, 317–320. (In Chinese) [Google Scholar]
- Huang, S.-S.; Xu, A.; Zhou, A.-H. Research progress of colour psychology in the application of disease-assisted treatment. Gen. Pract. Nurs. 2020, 18, 288–290. (In Chinese) [Google Scholar]
- Saito, M. Comparative Studies on Colour Preference in Japan and Other Asian Regions, with Special Emphasis on the Prefer-ence for White. Colour Res. Appl. 1996, 21, 35–49. [Google Scholar] [CrossRef]
- Zhao, E.; Liu, T. A Study of the International Colour Sensibility through the Analysis of the Ethnic Colour Preference. J. Korean Soc. Costume 2012, 62, 38–52. [Google Scholar]
- Madden, T.J.; Hewett, K.; Roth, M.S. Managing Images in Different Cultures: A Cross-National Study of Color Meanings and Preferences. J. Int. Mark. 2000, 8, 90–107. [Google Scholar] [CrossRef]
- Zhang, Y.; Liu, P.; Han, B.; Xiang, Y.; Li, L. Hue, Chroma, and Preference in Chinese Adults: Age and Gender Differences. Colour Res. Appl. 2019, 44, 967–980. [Google Scholar] [CrossRef]
- Yinan, S. The application of colour medicine in colleges and universities. Art Sci. Technol. 2014, 27, 42, 197. (In Chinese) [Google Scholar]
- Terol-Cantero, M.C.; Cabrera-Perona, V.; Martín-Aragón, M. Hospital Anxiety and Depression Scale (HADS) review in Spanish Samples. An. Psicol. Ann. Psychol. 2015, 31, 494–503. [Google Scholar] [CrossRef]
- Lam, C.L.K.; Pan, P.; Chan, A.W.T.; Chan, S.; Munro, C. Can the Hospital Anxiety and Depression (HAD) Scale be used on Chinese elderly in general practice? Fam. Pract. 1995, 12, 149–154. [Google Scholar] [CrossRef] [PubMed]
- Mykletun, A.; Stordal, E.; Dahl, A. Hospital Anxiety and Depression (HAD) scale: Factor structure, item analyses and internal consistency in a large population. Br. J. Psychiatry 2001, 179, 540–544. [Google Scholar] [CrossRef]
- El-Rufaie, O.E.F.; Absood, G.H. Retesting the validity of the Arabic version of the Hospital Anxiety and Depression (HAD) scale in primary health. Soc. Psychiatry Psychiatr. Epidemiol. 1995, 30, 26–31. [Google Scholar] [CrossRef]
- Cabrera, V.; Martin-Aragon, M.; del Carmen Terol, M.; Nunez, R.; de los Angeles Pastor, M. Hospital Anxiety and Depression Scale (HADS) in fibromyalgia: Sensitivity and specificity analysis. Ter. Psicol. 2015, 33, 181–193. [Google Scholar] [CrossRef]
- Melin, E.O.; Svensson, R.; Thulesius, H.O. Psychoeducation against depression, anxiety, alexithymia and fibromyalgia: A pilot study in primary care for patients on sick leave. Scand. J. Prim. Health Care 2018, 36, 123–133. [Google Scholar] [CrossRef]
- Andrea, H.; Bültmann, U.; Beurskens AJ, H.M.; Swaen GM, H.; Van Schayck, C.P.; Kant, I.J. Anxiety and depression in the working population using the HAD Scale. Soc. Psychiatry Psychiatr. Epidemiol. 2004, 39, 637–646. [Google Scholar] [CrossRef]
- Lamey, P.-J.; Lamb, A.B. The usefulness of the HAD scale in assessing anxiety and depression in patients with burning mouth syndrome. Oral Surg. Oral Med. Oral Pathol. 1989, 67, 390–392. [Google Scholar] [CrossRef]
- Zhou, Y.; Zhang, H.; Zhang, X.Z.; Zhang, F. Evaluation of the psychological status of infertile women using the HAD scale. J. Nurs. 2005, 20, 65–66. (In Chinese) [Google Scholar]
- Na, M.; Xiuqi, S.; Zhongjuan, Z.; Wandan, G. Clinical application significance of HAD scale in the treatment of elderly patients with arrhythmias of different complexity. Harbin Med. 2017, 37, 268–269. (In Chinese) [Google Scholar]
- Available online: http://sxjy.chnu.edu.cn/Item/91321.aspx (accessed on 10 October 2022).
- Available online: https://www.nipic.com/show/19457804.html (accessed on 10 October 2021).
- Available online: https://www.nipic.com/show/18125100.html (accessed on 10 October 2022).
- Available online: https://www.sohu.com/a/237068862_707429 (accessed on 10 October 2021).
- Available online: https://www.meipian.cn/2cvb5cd3 (accessed on 10 October 2022).
- Available online: https://baike.baidu.com/pic/%E6%95%99%E5%AE%A4/10996397/1/c75c10385343fbf2b2116b09e22ddd8065380cd721c7?fr=newalbum#aid=1528196564&pic=35a85edf8db1cb134954ff594d07414e9258d109dd67 (accessed on 10 October 2021).
- Available online: https://baike.baidu.com/pic/%E6%95%99%E5%AE%A4/10996397/1/c75c10385343fbf2b2116b09e22ddd8065380cd721c7?fr=newalbum#aid=1528196564&pic=14ce36d3d539b6003af3b206531c222ac65c10381967 (accessed on 10 October 2021).
- Jeong, H.; Yim, H.W.; Song, Y.J.; Ki, M.; Min, J.A.; Cho, J.; Chae, J.H. Mental health status of people isolated due to Middle East respiratory syndrome. Epidemiol. Health 2016, 38, e2016048. [Google Scholar] [CrossRef]
- Bai, Y.; Lin, C.-C.; Lin, C.-Y.; Chen, J.-Y.; Chue, C.-M.; Chou, P. Survey of stress reactions among health care workers involved with the SARS outbreak. Psychiatr. Serv. 2004, 55, 1055–1057. [Google Scholar] [CrossRef]
- Wang, Y.; Xu, B.; Zhao, G.; Cao, R.; He, X.; Fu, S. Is quarantine related to immediate negative psychological consequences during the 2009 H1N1 epidemic? Gen. Hosp. Psychiatry 2011, 33, 75–77. [Google Scholar] [CrossRef]
- Fehrman, K.; Fehrman, C. Color: The Secret Influence; Prentice Hall: Upper Saddle River, NJ, USA, 2000. [Google Scholar]
- O’Connor, Z. Colour psychology and colour therapy: Caveat emptor. Color Res. Appl. 2011, 36, 229–234. [Google Scholar] [CrossRef]
- Wexner, L.B. The degree to which colours (hues) are associated with mood-tones. Appl. Psychol. 1954, 38, 432–435. [Google Scholar] [CrossRef]
- Salonen, H.; Lahtinen, M.; Lappalainen, S.; Nevala, N.; Knibbs, L.D.; Morawska, L.; Reijula, K. Physical characteristics of the indoor environment that affect health and wellbeing in healthcare facilities: A review. Intell. Build. Int. 2013, 5, 3–25. [Google Scholar] [CrossRef]
- Marco, C.; Sergio, F.; Mattia, N.; Iacopo, P. Interior Color and Psychological Functioning in a University Residence Hall. Front. Psychol. 2018, 9, 1580. [Google Scholar]
- Gao, C.; Zhang, S. The restorative quality of patient ward environment: Tests of six dominant design characteristics. Build. Environ. 2020, 180, 107039. [Google Scholar] [CrossRef]
- Yildirim, K.; Hidayetoglu, M.L.; Capanoglu, A. Effects of Interior Colors on Mood and Preference: Comparisons of Two Living Rooms. Percept. Mot. Skills 2011, 112, 509–524. [Google Scholar] [CrossRef] [PubMed]
- Bilal, S.Y.; Aslanolu, R.; Olguntürk, N. Colour, emotion, and behavioural intentions in city hotel guestrooms. Colour Res. Appl. 2021, 47, 771–782. [Google Scholar] [CrossRef]
- Al-Rasheed, A.S. An experimental study of gender and cultural differences in hue preference. Front. Psychol. 2015, 6, 30. [Google Scholar] [CrossRef]
- Cho, J.Y.; Lee, E.-J. Impact of Interior Colors in Retail Store Atmosphere on Consumers’ Perceived Store Luxury, Emotions, and Preference. Cloth. Text. Res. J. 2017, 35, 33–48. [Google Scholar] [CrossRef]
- Kong, Z.; Zhang, R.; Ni, J.; Ning, P.; Kong, X.; Wang, J. Towards an integration of visual comfort and lighting impression: A field study within higher educational buildings. Build. Environ. 2022, 216, 108989. [Google Scholar] [CrossRef]
- Kong, Z.; Liu, Q.; Li, X.; Hou, K.; Xing, Q. Indoor lighting effects on subjective impressions and mood states: A critical review. Build. Environ. 2022, 224, 109591. [Google Scholar] [CrossRef]
Publisher’s Note: MDPI stays neutral with regard to jurisdictional claims in published maps and institutional affiliations. |
© 2022 by the authors. Licensee MDPI, Basel, Switzerland. This article is an open access article distributed under the terms and conditions of the Creative Commons Attribution (CC BY) license (https://creativecommons.org/licenses/by/4.0/).






