Next Article in Journal
Prediction of Ballistic Limit of Strengthened Reinforced Concrete Slabs Using Quasi-Static Punching Test
Previous Article in Journal
Cascaded Control for Building HVAC Systems in Practice
 
 
Font Type:
Arial Georgia Verdana
Font Size:
Aa Aa Aa
Line Spacing:
Column Width:
Background:
Article

Study on Relationship between Shading and Outdoor Air Temperature Based on the Comparison of Two High-Rise Residential Estates with Field Measurements

School of Architecture, Tsinghua University, Haidian District, Beijing 100084, China
*
Author to whom correspondence should be addressed.
Buildings 2022, 12(11), 1813; https://doi.org/10.3390/buildings12111813
Submission received: 27 September 2022 / Revised: 17 October 2022 / Accepted: 20 October 2022 / Published: 28 October 2022
(This article belongs to the Section Building Energy, Physics, Environment, and Systems)

Abstract

High-rise residential estates are characterized by high floor area ratios, many floors, and similar green area ratios. Beijing is hot in summer, and shading is an important strategy to improve the outdoor thermal environment of residential estates in summer. With respect to the morphological characteristics of high-rise residential estates, three types of shading were summarized, and their relationships with air temperature were quantified and analyzed. The three types of shading are building–tree integrated shading, building shading, and tree shading. Two residential estates that can represent the morphological characteristics of high-rise residential estates in Beijing were selected for field measurements, and the cooling effects of the three types of shading were obtained by analyzing the measured data. In the same residential estate, the daytime air temperature difference between shaded and un-shaded areas can be 0.5 °C or more. It was found that building–tree integrated shading has the most significant cooling effect, with building shading and tree shading second. The cooling effect of shading decreases with time, with morning shading having the greatest effect, and afternoon shading having the least effect.

1. Introduction

High-rise residential estates are an important type of living space in Chinese cities. High-rise residential neighborhoods are characterized by high floor area ratios and many floors, which make the shading effect of high-rise residential estates more significant in this microclimate. As an important element of the microclimate, outdoor air temperature in residential estates has an important influence on both outdoor activities and the indoor environment. Beijing is located in cold areas with hot summers. The daytime maximum temperatures in summer could reach over 35 °C. High daytime temperatures in the summer can affect human thermal comfort and discourage outdoor activity. In addition to this, high outdoor temperatures can also cause overheating problems indoors. Hot outdoor air enters the room through the windows, resulting in higher energy usage for cooling to alleviate the indoor overheating problem. The purpose of this study was to provide guidelines for optimizing the outdoor air temperature of residential estates by focusing on the relationship between shading and summer daytime outdoor air temperature in high-rise residential estates in Beijing.
In recent years, more studies have focused on the relationship between air temperature and urban morphology at small scales. Urban form parameters in these studies include sky view factor (SVF), building cover ratio, the ratio of building height to cover, building wall area, impervious ground surface fraction, green area ratio, and ground albedo [1,2,3,4,5,6]. The relationship between air temperature and urban form parameters was quantified using field measurements and statistical methods. The effect of land use on local temperature was studied and models were established to describe their relationship [7]. In another study, the microclimate data were collected at a university in Malaysia to explore the influence of urban morphology on the microclimate [8]. A study concerning a similar topic was also conducted in Harbin [9]. There are also studies on how to optimize the outdoor thermal environment of cities from the perspective of building layout alone. Various indices describing the building layout have been used in these studies. Some studies have determined the influence of the height-to-width ratio or building orientation on outdoor thermal environment [10,11,12]. Some studies utilized SVF to describe the layout of urban buildings. In this study, the daytime air temperature difference in dense urban areas in summer was negatively correlated with the average SVF [13]. In another study, the correlation between SVF and the physiological equivalent temperature was different in the summer and winter [14]. Moreover, it was found that the building length and the porosity of the low-level space have an influence on the heat pressure at the pedestrian level [15].
In addition to streets or public spaces, some studies evaluated the effects of landscape in residential areas on the microclimate or thermal comfort of the outdoor environment using simulations [16,17]. The cooling effect of green spaces in residential areas was studied in this research. The study took different green coverage rates and building layout into account [18]. Moreover, the influence of the distribution of water features in residential areas on the summer microclimate was studied [19]. In these studies, the relationship between outdoor thermal comfort and different types of design parameters in residential areas, such as roads, plants, shelters, and buildings, was analyzed [20,21]. The influence of design parameters in residential areas on the heat island intensity was also studied [22]. In the study above, the morphological characteristics of settlements vary depending on the region and climate. Studies need to be carried out for specific geographical areas in order to obtain accurate results.
Shading is capable of blocking solar radiation and is an important factor affecting the outdoor thermal environment [23]. Many studies have been conducted to investigate the role of shading in the thermal environment. The indicators chosen to evaluate the thermal environment include physiological equivalent temperature (PET) [24], mean radiant temperature (MRT), and air temperature (Ta). Kántor et al. found that the air temperature at the urban square could decrease by 1 °C with tree shading [25]. Another study discovered that in a humid hot climate, the air temperature difference between a highly tree-shaded community and an unshaded community was up to 3.5 °C [26]. In addition to trees, the types of shading studied include sun umbrellas, photovoltaic shelters, and structures. Middel et al. found that the maximum air temperature in the shade was 2 °C lower than that without shading [27]. Cheung et al. found that the average cooling effect of tree shading was 0.6 °C in a park in Hong Kong, while the average cooling effect of artificial shelters was 0.2 °C [28]. This study found that the temperature difference between streets with and without overhead shading was within 1 °C [29]. Artificial shade facilities in hot and humid environments may lower air temperature by 0.8 °C at most and the quantity of solar radiation received by 90% [30]. Several studies quantified the relationship between shading strategies and shading effectiveness. This study explored the best sun-sail shading coverage in a school courtyard when concerning the thermal environment. It was found that 60% of the courtyard sun-sail shading coverage was appropriate [31]. In another study, the shading effect of four shading strategies in Guangzhou traditional shophouse neighborhoods was analyzed. The height-to-width ratio of canyons and arcades, the area covered by trees, and orientation were all factors in the shading approach [32]. A tree placement strategy was devised to provide for as much sidewalk shade as feasible, resulting in improved thermal comfort [33].
Previous studies on shading are mainly on streets or urban public spaces (Table 1), but less on shading in high-rise residential estates. The spatial form of high-rise residential estates is different from that of streets or urban public spaces. The average number of floors in high-rise residential estates is generally above ten, and the green space ratios of different high-rise residential estates are similar. Apart from this, most of the studies on the cooling effect of shading are qualitative in nature, and very little quantitative analysis of the relationship between shading and air temperature has been conducted. This study investigates the relationship between outdoor air temperature and different types of shading from a quantitative perspective in high-rise residential estates in Beijing. Multiple indicators are used to quantify the characteristics of different types of shading, and a prediction model has been developed. The model can provide specific guidance for the planning of high-rise residential estates from the perspective of shading.
Beijing is located in cold areas with hot summers, where the landscape of residential estates is mainly lawn, trees, and shrubs, with little water. Therefore, shading in residential estates is mainly divided into three types (Figure 1): building shading, tree shading, and building–tree integrated shading. Figure 1a indicates that direct solar radiation is not blocked by buildings or trees. Figure 1b indicates that direct solar radiation is shaded by both buildings and trees. Figure 1c indicates that direct solar radiation is only shaded by buildings. Figure 1d indicates that direct solar radiation is only shaded by trees.

2. Methodology

The research is divided into two parts. The first part is microclimate measurements in two residential estates in Beijing to collect meteorological data such as air temperature and solar radiation intensity. A camera with a fisheye lens was used to take photographs describing the shading characteristics. The second part of the work is to analyze and compare the effects of three types of shading on outdoor air temperature in the two residential estates and to quantify this effect.

2.1. Data Collection

2.1.1. Residential Estates Researched and Observation Points

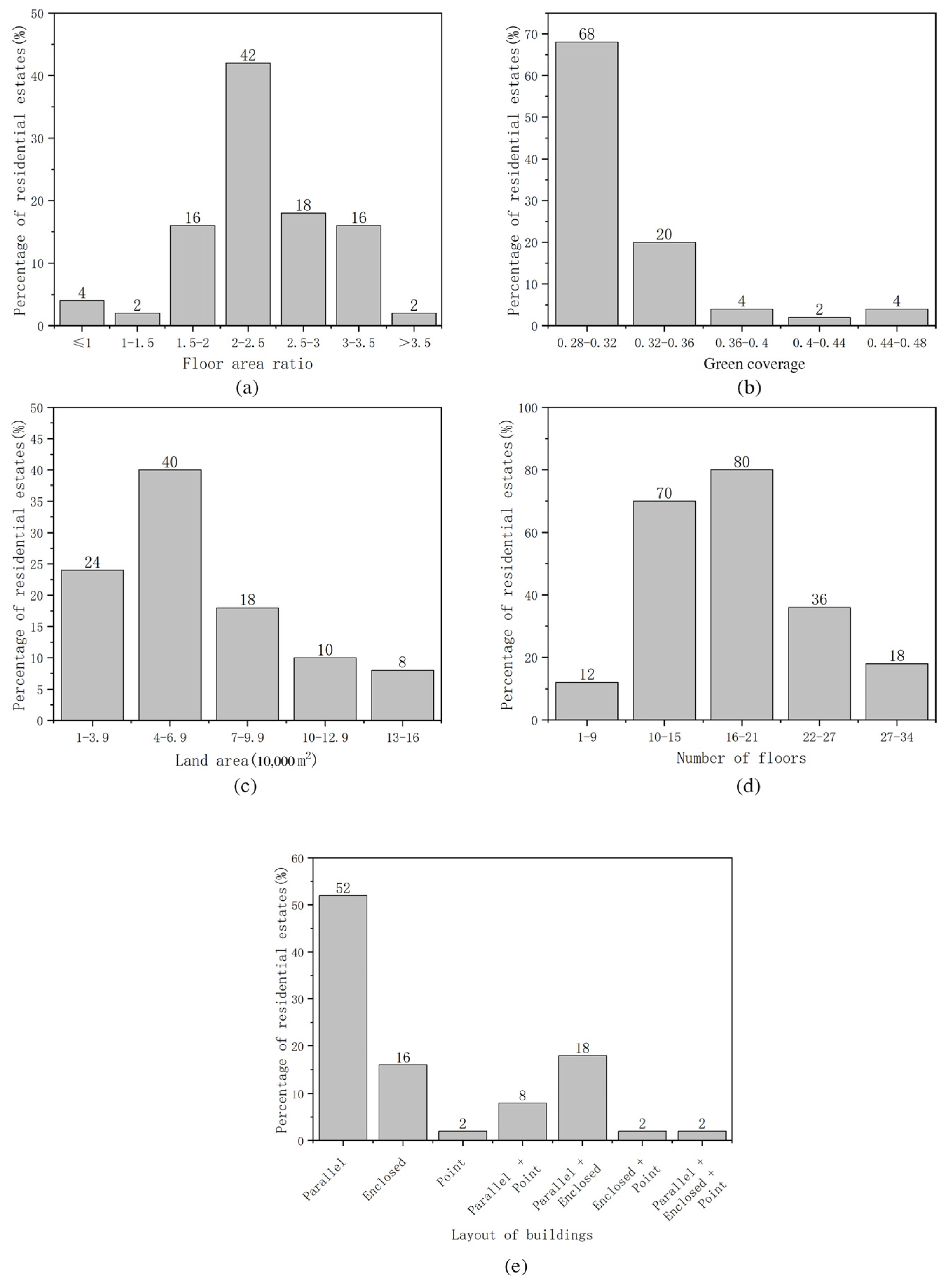
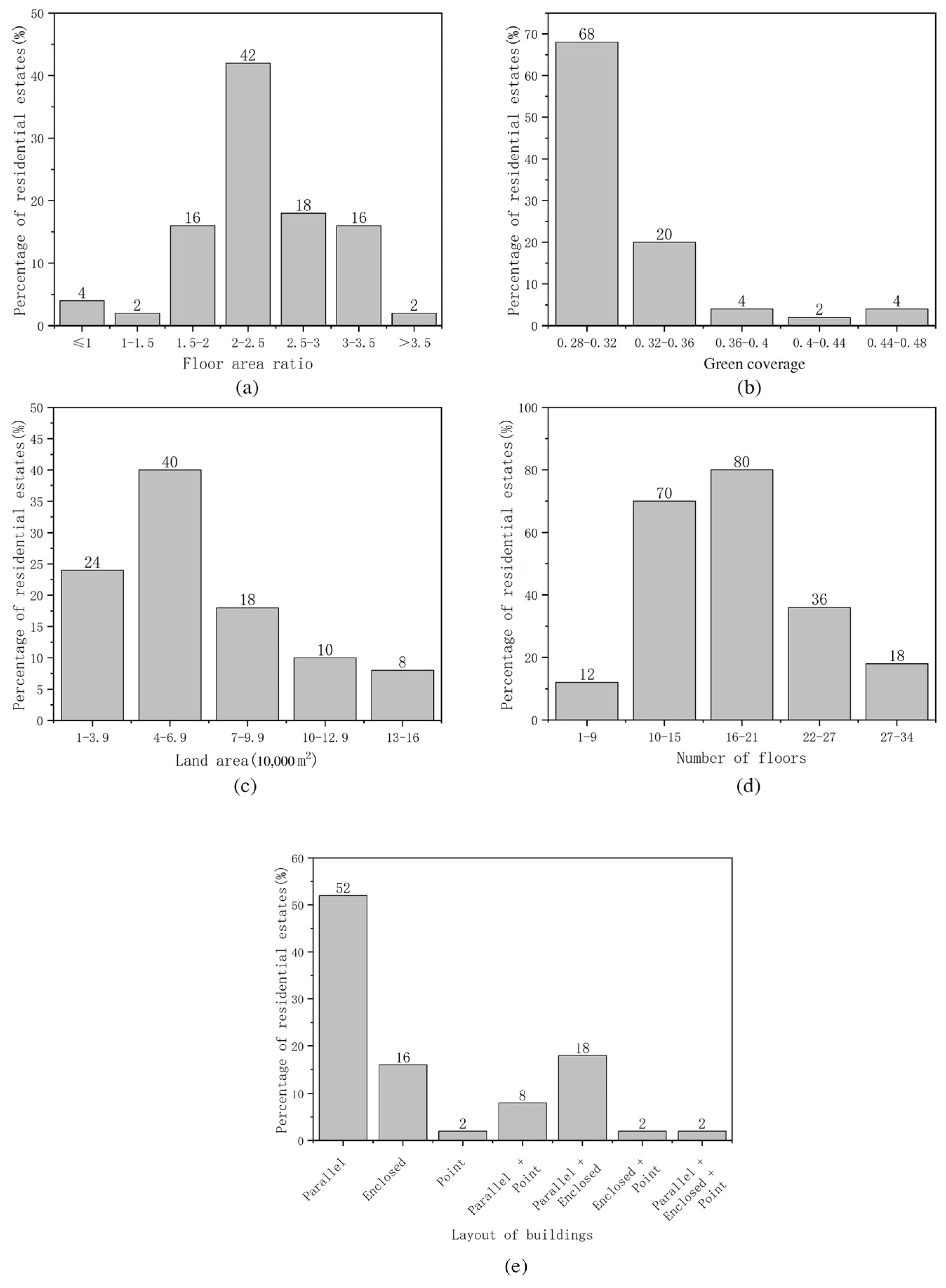
This study randomly selected 50 high-rise residential estates in Beijing built between 2000 and 2020, and the statistics of their floor area ratio, green coverage, land area, number of building floors, layout and are shown in Figure 2. It is found that 42% of the high-rise residential estates have a floor area ratio of between 2 and 2.5, and 68% of the high-rise residential estates have a green coverage of between 28% and 32%. The layout of high-rise residential estates in Beijing usually adopts an enclosed layout (Figure 3a), a parallel layout (Figure 3b) or a combination of both (Figure 3e). Of high-rise residential estates, 70% favor buildings with 10–15 floors, and 80% favor buildings with 16–21 floors; 82% of residential estates have a land area of less than 100,000 m2 and 40% of residential estates have a land area of between 40,000 and 69,999 m2.
Two residential estates, Shuangqing Estate and Xueqing Estate, in Haidian District, Beijing, were selected for the field measurements (Figure 4), the distances of which are within 1 km. The two residential estates have similar external meteorological conditions. Table 2 presents the basic information about the two residential estates. Shuangqing Estate and Xueqing Estate were built in 2018 and 2011, respectively. The two residential estates are consistent with the morphological characteristics of most high-rise residential estates in Beijing, which is the reason why these two residential estates were selected for the empirical analysis in this study.

2.1.2. Meteorological Measurements

Data such as outdoor air temperature in the summer were collected in two residential estates, with instruments placed at ground level and on the roofs of the estates’ tallest buildings. The instrument placed at the observation point was a TES 1341 anemometer (Taipei, China) (Figure 5a), and a tin foil-wrapped cover was used to envelop the anemometer sensor in order to protect the sensor from direct solar radiation. Eight observation points were placed in Shuangqing Estate and seven in Xueqing Estate. Figure 4d,e shows the locations of the observation points in each of the two estates. The location of the observation points was chosen based on ensuring that the observation points basically reflect the main shading characteristic of the neighborhood. Therefore, locations for the observation points were chosen to the south, north, east, west, and middle of the building clusters. The three types of shading and no shading have corresponding observation points.
The sensors of the anemometers were located 1.1 m above the ground, which is equivalent to the center of gravity in an adult person. The YG-BX portable weather stations (Wuhan, China) (Figure 5b) were placed on the roofs of the tallest buildings in the two neighborhoods separately to collect solar radiation intensity and air temperature data, reflecting the boundary meteorological conditions of the residential estates. The weather station was approximately 100 m above the ground. The anemometer measures air temperature every 15 min, and the portable weather station measures it at the same interval. The sensor of the anemometer was covered with a tin-foil-wrapped hood to reduce the interference of direct solar radiation. The technical parameters of the instruments are listed in Table 3. Meteorological data were collected on clear and rainless days in June and August 2021 (Table 4).
Shuangqing Estate was selected for measurements from 17–20 June and 21–25 August, and the weather conditions during the measurement time were representative of Beijing’s summer (June–August) climate characteristics. More data are needed to build the model, so Shuangqing Estate collected data for multiple days in June and August, allowing the model to be built to reflect the relationship between summer shading and outdoor air temperature.
The measurement was carried out on 22 June in Xueqing Estate. Although it was only one day, the weather conditions required for the measurement were met by the clear weather on 22 June. Moreover, 21 June is the Chinese summer solstice, the day when the sun hits the Tropic of Cancer, the highest noon sun height of the year in Beijing. So, the measured data could reflect the effect of summer shading on air temperature. In the following section, the cooling effect of shading was obtained by comparing the measurement data of the two estates in a similar period in June.
Figure 6 presents the air temperature data (17–23 June 2021) from the weather station in Haidian district and the weather stations placed on the roofs of the two residential estates. The graph shows the air temperature of Shuangqing Estate from 17–21 June, the air temperature of Xueqing Estate from 22–23 June and the air temperature of Haidian weather station from 17–23 June. The Haidian weather station is about 6 km away from the two neighborhoods. The air temperatures in both residential estates during the daytime were close to those measured at the Haidian weather station, which indicates similar external climatic conditions during the daytime in both residential estates. The maximum air temperature at Haidian weather station was above 36 °C on 19–21 June, reflecting that Beijing is quite hot during the daytime in summer.
The field measurements in June 2021 were conducted without a tin foil-wrapped hood covering the sensor of the TES 1341 anemometer, which resulted in the sensors at some observation points being affected by direct solar radiation. As a result, the measured air temperature was higher than the actual air temperature. The following method was used to correct for this. Two instruments were placed in a same unobstructed position for measurement, one without the tin foil-wrapped hood-covering sensor and one with the hood-covering sensor. The value of the air temperature difference between the two instruments was obtained. Then, the corrected air temperature was obtained by subtracting the difference value from the measured air temperature.

2.1.3. Indicators Describing Shading

SVF is often used to characterize the degree of shading from buildings or vegetation. The sky view factor (SVF) is a quantitative indicator of urban spatial morphology and an important parameter in the study of urban microclimate [35]. There are various methods to calculate SVF values, and the fisheye photo processing method is one of them. A fisheye lens camera was taken to capture the sky to obtain a photograph, and then the photograph was processed with Rayman 1.2 [36] software to obtain the sky view factor values. SVF is widely used in the field of urban studies [2,37].
Figure 7 shows the solar trajectory of Beijing in June. The sun is in the east in the morning (7:00–11:00), in the south at noon (11:00–15:00), and in the west in the afternoon (15:00–18:00). The viewable area of the sky is divided according to four angle ranges (0–360°, 90–270°, 0–180°, 180–360°). The four angle ranges are based on the sun’s trajectory, reflecting the shading of the sky by buildings or trees arranged in different directions. The viewable area of the sky in the north is not included in the study because the direct solar radiation comes from the south, east, or west. Different types of fisheye photographs can be obtained according to the four angle ranges (Figure 8).
This study used SVF, SVFA, and SVFG to quantify the characteristics of three types of shading (all shading, building shading, and tree shading), respectively. SVF can quantify the degree of sky occlusion by all objects around the observation point, and Figure 8a shows a fisheye photograph taken at the observation point. SVFA can quantify the degree of sky occlusion by buildings around the observation point, and Figure 8b is the building image acquired from Figure 8a [38], which is used to calculate the SVFA value. SVFG can quantify the degree of sky occlusion by trees, and Figure 8c is the tree image acquired from Figure 8a, which is used to calculate the SVFG value.
In order to distinguish what kind of shading the observation point is affected by during different time intervals in the daytime, the sun’s trajectory from 7:00–18:00 is combined with the fisheye photographs, and the position of the sun in the fisheye photographs can determine whether the sun is shaded by buildings or trees, or by both together. If the direct solar radiation at the measurement point is blocked by trees for most of the time, it is judged that the measurement point is mainly affected by trees during that time interval. In the following analysis, this is used to determine the type of shading impacting the observation point.

2.2. Analysis Methods

The method of analyzing the relationship between shading and air temperature in this study is shown below. Steps (1) and (2) were used to evaluate the cooling effect of three different forms of shading, while steps (3) and (4) were used to quantify the relationship between shade and outdoor air temperature. Steps (1–3) used temperature data from Shuangqing Estate on 17–18 June and Xueqing Estate on 22 June. The temperature data used in step (4) were obtained from Shuangqing Estate from 17–20 June and 21–24 August.
(1)
The observation points of Shuangqing Estate and Xueqing Estate were grouped into two groups of shaded and unshaded, respectively. The average temperatures of the two groups of observation points in the two estates were compared separately to get the cooling effect of shading in the two estates. Finally, the common conclusion was identified from the results of the two estates.
(2)
The observation points of Shuangqing Estate and Xueqing Estate were categorized into four groups: no shading, building-tree integrated shading, building shading, and tree shading, respectively. The cooling effects of different types of shading in the two residential estates were obtained by comparing the average temperatures of each group, respectively. Finally, the common points were summarized from the results of the two residential estates.
(3)
The three types of shading were quantified by SVF, SVFA, and SVFG, respectively. The correlation between shading and the average temperature of the three time intervals was evaluated by linear regression. Finally, the common points were summarized from the results of the two residential estates.
(4)
The model for describing the relationship between shading and instantaneous outdoor air temperature was built using multiple linear regression.

3. Results

3.1. Differences of Outdoor Air Temperatures in Residential Estates

In order to accurately analyze the relationship between outdoor air temperatures and the SVFs in four different angle ranges, the summer daytime was divided into three time intervals (7:00–11:00, 11:00–15:00, and 15:00–18:00). Figure 9 presents the air temperatures at different observation points in the two residential estates during the three time intervals. The maximum air temperature differences in the three time intervals were about 2.5 °C, 2.6 °C, and 2.3 °C in Shuangqing Estate and about 2.9 °C, 2.8 °C, and 3.3 °C in Xueqing Estate, respectively. The maximum air temperature differences between the two residential estates during the daytime in summer were similar, and the maximum air temperature differences were both 2.3 °C or more. The comparison of two residential estates proves that there are significant differences in the outdoor air temperatures of high-rise residential estates.
Figure 10 presents the air temperatures at the observation points of the two residential estates with or without shading. It can be seen from the figure that most of the observation points have a lower average air temperature with shading than without shading. The finding appears in both residential estates. The average temperatures of the shaded observation points were about 1.2 °C, 1.3 °C and 0.5 °C lower than those of the unshaded observation points in Shuangqing Estate and about 1.6 °C, 1.5 °C and 1.5 °C in Xueqing Estate during the three time intervals, which proves that the cooling effect of shading on air temperature is quite significant.

3.2. Comparing the Cooling Effect of Three Types of Shading

Different observation points in the residential estates are compared to analyze the cooling effect of four types of cases: building shading, tree shading, building–tree integrated shading, and no shading on the air temperature.

3.2.1. Comparison of the Observation Points in Xueqing Estate

Figure 11 shows the fisheye photos of six observation points in Xueqing Estate. The yellow line in the photo is the trajectory of the sun at 7:00–18:00. Table 5 presents the average Ta, SVF, SVFA, and SVFG of the six observation points in Xueqing Estate during the three time intervals on 22 June.
From 7:00–11:00, X1, X2, and X7 were shaded by both buildings and trees. X3 was shaded by trees. X4 was shaded by buildings, and X5 was unshaded. The average Ta of each observation point varied under the effect of different shadings. Among the observation points, X1, X2, and X7 have the lowest average Ta (28.4 °C, 27.9 °C, and 27.3 °C, respectively). Second place went to X3 and X4 (29.1 °C and 29 °C, respectively). X5 (30.2 °C) had the highest average air temperature. The average air temperature of the observation points shaded by the building–tree integrated shading was 27.9 °C. The air temperature of the observation points shaded by trees (X3) and buildings (X4) was slightly higher, and the air temperature of the observation point without shading (X5) was the highest. The cooling effect of the building-tree integrated shading is approximately 2.3 °C when compared to no shade, and the cooling effect of building shading and tree shading is approximately 1.2 °C and 1.1 °C, respectively.
From 11:00 to 15:00, X1 and X7 were shaded by both buildings and trees. X2 and X4 was shaded by trees. X3 and X5 were all unshaded. Among the six observation points, the average Ta of X1 and X7 (31.7 °C, 31.3 °C) was the lowest, followed by X2 and X4 (32.9 °C, 33.7 °C), and finally X3 and X5 (33.7 °C, 34.1 °C). The average temperature of the observation points affected by building–tree integrated shading was 31.5 °C and the average temperature of the measurement points not affected by shading was 33.9 °C. Compared to no shade, the cooling effect of building–tree integrated shading is about 2.4 °C and the cooling effect of tree shading is about 0.6 °C.
At 15:00–18:00, X7 was shaded by both buildings and trees, and had the lowest average air temperature (31.8 °C). Trees shaded X1, X2, X3 and X4, and their average Ta (32.6 °C, 33.7 °C, 33.6 °C, and 34.3 °C) were all second to X7. Without any shading, X5 had the highest average Ta (35.1 °C) of the six observation points. The average air temperature of the observation points shaded by trees was 33.6 °C. Compared to no shade, the cooling effect of building–tree integrated shading is about 3.3 °C and the cooling effect of tree shading is about 1.5 °C.
The results of the analysis of the three time intervals in Xueqing Estate show that the cooling effect of the building–tree integrated shading is the most significant, and the cooling magnitude is about 2.3 °C, 2.4 °C and 3.3 °C respectively. The cooling effect of building shading or tree shading is the second most effective, and the cooling magnitude is about 0.6–1.5 °C. The cooling magnitude is the difference in average temperature between observation points impacted by the same shade type and observation points not affected by shading.

3.2.2. Comparison of Observation Points in Shuangqing Estate

Table 6 presents the average air temperatures and shading characteristics of eight observation points in Shuangqing Estate during the three time intervals of the day from 17 to 18 June. Figure 12 shows the fisheye photos of the eight observation points.
From 7:00 to 11:00, S6 and S8 were shaded by the building-tree integrated shading. S2 and S7 were shaded by buildings. S1, S3, S4, and S5 were unshaded. The average temperature of the observation points affected by the building-tree integrated shading is 26.5 °C, the average temperature of the observation points affected by the building shading is 27.3 °C, and the average temperature of the observation points without shading is 28.1 °C. Therefore, compared with no shading, the cooling effect of the building–tree integrated shading is about 1.6 °C, and the cooling effect of building shading is about 0.8 °C.
From 11:00 to 15:00, S6 was shaded by both buildings and trees. S1, S4, S7, and S8 were shaded by buildings, and S2, S3, and S5 were not shaded. The average temperature of the observation points affected by the building shading is 31.5 °C and the average temperature of the observation points without shading is 32.5 °C. Therefore, compared with no shading, the cooling effect of building–tree integrated shading is about 2.3 °C and the cooling effect of building shading is about 1 °C.
From 15:00 to 18:00, S4, S6 and S8 were shaded by both buildings and trees. S1 was shaded by trees. S2, S3, S5, and S7 were unshaded. The average temperature of the observation points subjected to the building–tree integrated shading was about 32.5 °C, and the average temperature of the observation points without shading was about 33.1 °C. Compared with no shading, the cooling effect of the building–tree integrated shading is about 0.6 °C, and the cooling effect of the tree shading is about 0.4 °C.
The results of the three time intervals of Shuangqing Estate show that the cooling effect of the building–tree integrated shading is the most significant, with the cooling effect of the three time intervals being about 1.6 °C, 2.3 °C and 0.6 °C respectively. The cooling effect of building shading and tree shading is the second most significant, with a decrease of about 0.8 °C, 1 °C, and 0.4 °C in air temperatures, respectively.

3.2.3. Summary of the Comparison of Observation Points

The cooling effect of building-tree integrated shading is the most significant, followed by building shading and tree shading. By comparing the two residential estates, it was found that the average daytime cooling effect of the building–tree integrated shading could reach 1.5 °C and the cooling effect of both building shading and tree shading could reach 0.4 °C. The shading characteristics of different locations in the residential estate are different, so the types of shading that play a dominant role on air temperature in different time intervals are also different, which is verified by the following comparisons. Figure 13a and Figure 14a show the air temperature changes of four observation points in Shuangqing Estate from 20 to 23 August. S4 (Figure 13b) was shaded by trees between 7:00 and 14:00, while S7 (Figure 13c) was not shaded. As a result, the Ta of S4 was lower than that of S7 at 7:00–14:00. At 15:00–18:00, both were shaded by buildings or trees, and their air temperatures tended to be the same. S5 (Figure 14c) was shaded by trees between 7:00 and 15:00, while S3 (Figure 14b) was not shaded. The air temperature of S5 was lower than S3 at 7:00–15:00. At 15:00–18:00, the shading on S5 by trees was weakened, while S3 was shaded by buildings at this time. Thus, the air temperature of S5 was a little higher than that of S3.

3.3. Correlation of Average Ta with SVF, SVFA, SVFG

Figure 15 presents the average Ta, SVF, SVFA, and SVFG of the observation points in the two residential estates. The temperature of Shuangqing Estate was from 17–18 June, and the temperature of Xueqing Estate was from 22 June. The average air temperatures in the three time intervals showed a positive correlation with SVF(0–180), SVF(90–270), and SVF(180–360), respectively. At 7:00–11:00, the fitted R2 of SVF(0–180) and average Ta in the two residential estates were 0.62 and 0.90, respectively. At 11:00–15:00, the fitted R2 of SVF(90–270) and average Ta were 0.78 and 0.75, respectively, while they were 0.13 and 0.52 at 15:00–18:00. The fitted R2 of average Ta and SVF was higher than 0.5 for most of the time, indicating that there is a significant correlation between outdoor air temperature and SVF.
There are differences in landscape configuration and building layout between residential estates, which means that the types of shading that play a dominant role may be different. For example, at 11:00–15:00 in Xueqing Estate or 11:00–15:00 and 15:00–18:00 in Shuangqing Estate, the fitted R2 of SVFA and Ta was higher than that of SVF or SVFG, indicating that building shading played a dominant role in the average Ta during this time interval. For the other time intervals, the fitted R2 of SVF and Ta was higher than that of SVFA or SVFG, indicating that the average Ta during this time interval was affected by both tree shading and building shading.

3.4. Quantify the Effect of Shading on Ta in Residential Estates

Data from 17–20 June and 21–24 August at Shuangqing Estate were used in a linear regression analysis to quantify the effect of different types of shading on air temperature. From 7:00–11:00, 914 valid observations were available; 895 valid observations were available from 11:00–15:00, and 747 valid observations from 15:00–18:00.
The Ta of the observation point is the dependent variable. Independent variables included Tref, Solar, SVF, SVFA, and SVFG. Firstly, the regression analysis was performed with Tref and Solar as independent variables to determine the influence of the boundary meteorological conditions of the residential estate on Ta. Then, SVF, SVFA, and SVFG were added to the model, respectively. Table 7 presents the results of different models.
At 7:00–11:00, among the four types of SVFs (SVF(0–180), SVF(0–180)A, SVF(0–180)G, and SVF(0–360)), the model adjusted R2 of SVF(0–180) was the highest. At 11:00–15:00, among the four types of SVFs (SVF(90–270), SVF(90–270)A, SVF(90–270)G, and SVF(0–360)), the model adjusted R2 of SVF(90–270) was the highest. At 15:00–18:00, the model adjusted R2 of SVF(180–360)A was the highest, which is close to the adjusted R2 of SVF(180–360). This indicates that the effect of SVF(180–360)A on the air temperature is similar to that of SVF(180–360) in this time interval. Compared with the model with only Tref and Solar as independent variables, the adjusted R2 of the model after adding SVF(0–180), SVF(90–270) and SVF(180–360) as independent variables increases by 10.5%, 8.4%and 4.5% respectively, which indicates that SVF has a significant effect on air temperature. When SVF(0–360) is added to the model, the adjusted R2 of the models for the three time intervals increases by 1.7%, 4.2%, and 1.9% respectively. This indicates that the influence of SVF(0–360) on air temperature is not as significant as those of SVF(0–180), SVF(90–270) and SVF(180–360).
By comparing different models, it is found that the models with SVF(0–180), SVF(90–270), and SVF(180–360) as independent variables have the largest or near-maximum adjusted R2 values in three time intervals. Although the type of shading that plays a dominant role in air temperature varies by time or space, it is more appropriate to quantify the shading characteristics of different locations in high-rise residential estates using SVF(0–180), SVF(90–270), and SVF(180–360) as indicators with regard to analyzing the relationship between air temperature and shading. At 7:00–11:00, the air temperature will increase by about 1.63 °C for every 0.1 increase in SVF(0–180). At 11:00–15:00, for every 0.1 increase in SVF(90–270), the outdoor air temperature will increase by about 0.65 °C. At 15:00–18:00, for every 0.1 increase in SVF(180–360), the outdoor air temperature will increase by about 0.49 °C. The effect of shading on air temperature decreases with time, and the effect of shading on morning air temperature is the strongest, while the effect of shading on afternoon air temperature is the weakest.

4. Discussion

4.1. Cooling Effect of Shading

The analysis results of the two residential estates both prove that shading has a significant effect on the summer outdoor air temperature in high-rise residential estates. The average differences in air temperature between the observation points with and without shading during the three time intervals was about 0.5–1.6 °C. Shading affects the air temperature by influencing the direct solar radiation reception at ground level. Furthermore, the cooling effect of shading is related to the degree of shading from solar radiation. One study [20] also showed that more solar radiation leads to higher long-term air temperatures. The cooling effect of shading varies depending on the shading type and climate of the region studied. This study discovered that under the shade of trees, the urban square can be cooled by 1 °C [25]. Another study discovered that under the shade of dense trees, the air temperature of the street in hot and humid areas can be reduced by 3.5 °C [26]. Among the three types of shade, building-tree integrated shading has the most significant cooling effect, followed by building shading and tree shading. The average cooling effects of building-tree integrated shading in Xueqing Estate and Shuangqing Estate in the daytime are about 2.7 °C and 1.5 °C, respectively. The building-tree integrated shading produces double shelter against solar radiation, which greatly reduces radiation transmission. Both building shading and tree shading have a cooling effect, and their cooling effects in the daytime can both reach 0.4 °C or more. Cheung et al. found that the average cooling effect of tree shade was 0.6 °C and the average maximum cooling effect was 2.1 °C [28], which was similar to the finding in our study. Tree shading can compensate for the lack of building shading in some areas of high-rise residential estates, indicating that more attention should be paid to tree layout planning. Reasonable planning of three types of shading can effectively improve the outdoor thermal environment in residential estates.
There are some differences in the cooling effects of shading in the two high-rise residential estates. For example, the average cooling effect of the building-tree integrated shading in Xueqing Estate in the daytime is about 2.7 °C, while that in Shuangqing Estate is about 1.5 °C. Since the cooling effect was derived by comparing the measurement data of observation points, the subjectivity of measurement point selection has some influence on the cooling effect. In addition to this, there are also differences in the greenery and building layout of the two estates, which can also have an impact on the difference in the cooling effect of the three types of shading. Therefore, this study quantifies the shading characteristics by introducing three indicators, SVF, SVFA, and SVFG.

4.2. Correlation between SVF and Air Temperature

This study quantified the shading characteristics of residential estates by dividing the sky viewable fields according to four angle ranges (0–360°, 90–270°, 0–180°, and 180–360°). The four angle ranges were based on the trajectory of the sun during three summer daytime intervals. Our study found that SVF(0–360) was not the most significant variable in relation to air temperature among the SVFs in four angle ranges. One study [38] also demonstrated that the fitted R2 of SVF(90–270) and Tmrt is higher than that of SVF(0–360). It also concluded that SVF(90–270) is more suitable for describing urban space with regard to outdoor thermal perception. SVF(0–360) refers to the sky’s visibility from all angles. Scattered solar radiation comes from different directions, corresponding to SVF(0–360). However, most of the solar radiation reaching the ground on a sunny day is direct solar radiation. Several studies [2,3,14,35,39] that analyzed the relationship between SVF(0–360) and air temperature or heat island intensity used SVF(0–360) as a variable. Their findings depended on the research area and time. For example, studies [3,39] reported positive correlations between air temperature and SVF. In another study, it was found that the correlation between SVF and temperature was negative when SVF was less than 0.2 and positive when SVF was greater than 0.2 [35]. The solar radiation intensity depends on the time and location, resulting in different influences of the SVF on air temperature. Large SVF(0–360) values indicate that more solar radiation is received by the ground. However, the heat above the ground is also transmitted. They have opposite influences on the air temperature. Therefore, the influence of SVF(0–360) on the air temperature depends on the location and time.
In our study, SVFA, SVFG, SVF are used to quantify building shading, tree shading, and all types of shading, respectively. The correlations between SVF and air temperature were found to be stronger for most of the time than those between SVFA or SVFG and air temperature. The shading characteristics of high-rise residential estates are complex, and even the same location may be affected by two or three kinds of shading. Therefore, it is suitable to use SVF as an index to quantify shading in its correlation analysis with air temperature. SVF(0–180), SVF(90–270), and SVF(180–360) show a positive correlation with air temperature in the three time intervals, respectively. The coefficients of SVF(0–180), SVF(90–270), and SVF(180–360) are 16.35, 6.51, and 4.92, indicating that the influence of shading on air temperature is the strongest in the morning, and begins to weaken by noon. The model of SVF and air temperature can be used to evaluate the effect of tree and building shade on air temperature, which will guide the layout planning of residential estates.
An 18-story parallel group (Figure 16a) is taken as an example. Based on the analysis of building shading, Figure 16b–d shows the outdoor air temperature differences of 9:00, 12:00, and 17:00 in summer. At 9:00, Ta is higher on the east side of the courtyard than in any other area. At 12:00, Ta is higher on the north side of the courtyard than the south side, and at 17:00, Ta is higher on the west side of the courtyard than the east side. After finishing designing the building layout, the outdoor thermal environment can be optimized by using tree shading. Trees are preferably planted on the north, west, and east sides of the courtyard, which will provide the cooling effect of tree shading. The cooling effect of shade in the morning is stronger than that in the noon or afternoon. Therefore, the distance between the trees on the east side of the courtyard can be slightly larger, while the distance between the trees on the north and west sides needs to be smaller to obtain a good cooling effect (Figure 17). Furthermore, tree species are appropriate to choose tall deciduous trees with dense foliage, which can give better shade in the summer and will not block direct solar radiation in the winter.

4.3. Contributions and Limitations

We categorized the shading of residential communities in cold areas into three types according to their characteristics. The cooling effects of different shading types were derived by analyzing the measured data. The effect of shading on air temperature has been studied in previous studies, but the scope of the study has rarely been focused on urban high-rise residential estates. Urban high-rise residential neighborhoods are an important building type in Chinese cities, and their higher floor area ratio and number of stories lead to layout characteristics that are different from other urban spaces. The SVF, SVFA, and SVFG indicators introduced in this study can quantitatively describe the complex shading characteristics of the neighborhood. The proposed model reveals the cooling effect of shading, while the model’s coefficients define the influence of shading on outdoor temperature to specific values, which can provide clear recommendations for high-rise residential estate development.
There are some limitations in the research, which need to be continued to be improved in future studies. First, the research object is mainly high-rise residential estates within Beijing, and the prediction model’s application conditions are sunny days in summer, so the results are not applicable to rainy or cloudy days. Second, the factors affecting the outdoor air temperature in residential neighborhoods are not only shading, but also other factors such as ground material and greenery, which are not considered in this study. Third, PET and MRT are often used to evaluate outdoor thermal comfort, but we chose air temperature for the study instead of them. On the one hand, it is because air temperature is an important parameter affecting outdoor thermal comfort. On the other hand, air temperature also has an important role in influencing the indoor environment. It was found that considering the microclimate around the building in the energy consumption simulation leads to higher cooling energy demand [40]. This implies that the outdoor microclimate, such as air temperature, has a non-negligible influence on the indoor environment. Finally, this study did not investigate the height and leaf densities of trees, but only introduced SVFG to quantify tree shading. A deeper study is needed to show the role of tree height and density on outdoor air temperature.

5. Conclusions

In our study, the shading of high-rise residential estates was categorized into three types: building shading, tree shading, and building–tree integrated shading. The cooling effects of the three types of shading on air temperature were studied through a comparative analysis of two high-rise residential estates in Beijing. The sky view factors (SVF, SVFA, SVFG) were introduced to characterize the different types of shading. Defining SVFs for three different angle ranges based on the trajectory of the sun at three time intervals enables a more accurate analysis of the role of shading on outdoor air temperature. The coefficients of the multivariate linear models reveal that the effect of shading on air temperature varies with the type of shading and is time dependent.
There is a significant difference in outdoor air temperature in Beijing’s high-rise residential estates in summer, with a maximum temperature difference of 2.3 °C or more. The cooling effect of shading in a high-rise residential estate is significant. In the same residential estate, the daytime air temperature difference between shaded and un-shaded areas can be 0.5 °C or more. Among the three types of shading, building–tree integrated shading has the strongest cooling effect, with an average cooling effect of about 1.5 °C during the day. Therefore, the outdoor activity space can use the building-tree integrated shading to obtain a better cooling effect. The cooling effect of tree shading and building shading is second to that of building–tree integrated shading. During the day, their cooling effect can both reach 0.4 °C or more.
By comparing the adjusted R2 of several models, it was found that SVF(0–180), SVF(90–270), and SVF(180–360) were suitable to be used to quantify the shading characteristics of high-rise residential estates during three time intervals of daytime, respectively. At 7:00–11:00, for every 0.1 increase in SVF(0–180), the outdoor air temperature increased by about 1.63 °C. At 11:00–15:00, for each 0.1 increase in SVF(90–270), the outdoor air temperature increased by about 0.65 °C. For 15:00–18:00, for each 0.1 increase in SVF(180–360), the outdoor air temperature increased by about 0.49 °C. The effect of daytime shading on air temperature decreases with time, and the effect of morning shading on air temperature is the greatest, while the effect of afternoon shading on air temperature is the least.
The adjusted R2 of the multivariate linear model for the three time intervals was 72.4%, 59.3 %, and 71.5%, respectively, which proved that the model was well constructed. The models can effectively help architects to select appropriate shading strategies in the planning stage of high-rise residential estates.

Author Contributions

Conceptualization, W.L., Z.Z. and S.Z.; Formal analysis, W.L. and Z.Z.; Investigation, W.L., S.Z. ang J.F.; Methodology, W.L.; Project administration, Z.Z.; Supervision, Z.Z.; Validation, W.L.; Writing—original draft, W.L.; Writing—review & editing, W.L., S.Z. and J.F. All authors have read and agreed to the published version of the manuscript.

Funding

This research did not receive any specific grant from funding agencies in the public, commercial, or not-for-profit sectors.

Conflicts of Interest

The authors declare that they have no known competing financial interests or personal relationships that could have appeared to influence the work reported in this paper.

Abbreviations

SVFsky view factor influenced by architectures and trees
SVFAsky view factor influenced by architectures
SVFGsky view factor influenced by trees
Solarsolar radiation intensity
Trefair temperature at the reference weather station
Taair temperature
SVF(0–180)sky view factor in the angle range 0–180°
SVF(90–270)sky view factor in the angle range 90–270°
SVF(180–360)sky view factor in the angle range 180–360°
SVF(0–360)sky view factor in the angle range 0–360°
SVF(0–180)Asky view factor influenced by architectures in the angle range 0–180°
SVF(90–270)Asky view factor influenced by architectures in the angle range 90–270°
SVF(180–360)Asky view factor influenced by architectures in the angle range 180–360°
SVF(0–180)Gsky view factor influenced by trees in the angle range 0–180°
SVF(90–270)Gsky view factor influenced by trees in the angle range 90–270°
SVF(180–360)Gsky view factor influenced by trees in the angle range 180–360°

References

  1. Tong, S.; Wong, N.H.; Jusuf, S.K.; Tan, C.L.; Wong, H.F.; Ignatius, M.; Tan, E. Study on correlation between air temperature and urban morphology parameters in built environment in northern China. Build. Environ. 2018, 127, 239–249. [Google Scholar] [CrossRef]
  2. Giridharan, R.; Lau, S.S.Y.; Ganesan, S.; Givoni, B. Urban design factors influencing heat island intensity in high-rise high-density environments of Hong Kong. Build. Environ. 2007, 42, 3669–3684. [Google Scholar] [CrossRef]
  3. Yu, Z.; Chen, S.; Wong, N.H. Temporal variation in the impact of urban morphology on outdoor air temperature in the tropics: A campus case study. Build. Environ. 2020, 181, 107132. [Google Scholar] [CrossRef]
  4. Yu, Z.; Chen, S.; Wong, N.H.; Ignatius, M.; Deng, J.; He, Y.; Hii, D.J.C. Dependence between urban morphology and outdoor air temperature: A tropical campus study using random forests algorithm. Sustain. Cities Soc. 2020, 61, 102200. [Google Scholar] [CrossRef]
  5. Jusuf, S.K.; Hien, W.N. Development of Empirical Models for Estate-Level Air Temperature Prediction in Singapore. J. Heat Isl. Int. 2012, 7-2, 111–125. [Google Scholar]
  6. Giridharan, R.; Lau, S.S.Y.; Ganesan, S. Nocturnal heat island effect in urban residential developments of Hong Kong. Energy Build. 2005, 37, 964–971. [Google Scholar] [CrossRef]
  7. Krüger, E.; Givoni, B. Outdoor measurements and temperature comparisons of seven monitoring stations: Preliminary studies in Curitiba, Brazil. Build. Environ. 2007, 42, 1685–1698. [Google Scholar] [CrossRef]
  8. Zaki, S.A.; Othman, N.E.; Syahidah, S.W.; Yakub, F.; Muhammad-Sukki, F.; Ardila-Rey, J.A.; Shahidan, M.F.; Saudi, A.S.M. Effects of urban morphology on microclimate parameters in an urban university campus. Sustainability 2020, 12, 2962. [Google Scholar] [CrossRef]
  9. Zhang, J.; Cui, P.; Song, H. Impact of urban morphology on outdoor air temperature and microclimate optimization strategy base on Pareto optimality in Northeast China. Build. Environ. 2020, 180, 107035. [Google Scholar] [CrossRef]
  10. Karimimoshaver, M.; Shahrak, M.S. The effect of height and orientation of buildings on thermal comfort. Sustain. Cities Soc. 2022, 79, 103720. [Google Scholar] [CrossRef]
  11. Karimimoshaver, M.; Khalvandi, R.; Khalvandi, M. The effect of urban morphology on heat accumulation in urban street canyons and mitigation approach. Sustain. Cities Soc. 2021, 73, 103127. [Google Scholar] [CrossRef]
  12. Nasrollahi, N.; Hatami, M.; Khastar, S.R.; Taleghani, M. Numerical evaluation of thermal comfort in traditional courtyards to develop new microclimate design in a hot and dry climate. Sustain. Cities Soc. 2017, 35, 449–467. [Google Scholar] [CrossRef]
  13. Chen, L.; Ng, E.; An, X.; Ren, C.; Lee, M.; Wang, U.; He, Z. Sky view factor analysis of street canyons and its implications for daytime intra-urban air temperature differentials in high-rise, high-density urban areas of Hong Kong: A GIS-based simulation approach. Int. J. Climatol. 2012, 32, 121–136. [Google Scholar] [CrossRef]
  14. Chen, L.; Zhang, Y.; Han, J.; Li, X. An investigation of the influence of ground surface properties and shading on outdoor thermal comfort in a high-altitude residential area. Front. Archit. Res. 2021, 10, 432–446. [Google Scholar] [CrossRef]
  15. Wai, K.M.; Yuan, C.; Lai, A.; Yu, P.K.N. Relationship between pedestrian-level outdoor thermal comfort and building morphology in a high-density city. Sci. Total Environ. 2020, 708, 134516. [Google Scholar] [CrossRef]
  16. Zhao, Q.; Sailor, D.J.; Wentz, E.A. Impact of tree locations and arrangements on outdoor microclimates and human thermal comfort in an urban residential environment. Urban For. Urban Green. 2018, 32, 81–91. [Google Scholar] [CrossRef]
  17. Yang, Y.; Zhou, D.; Wang, Y.; Meng, X.; Gu, Z.; Xu, D.; Han, X. Planning method of centralized greening in high-rise residential blocks based on improvement of thermal comfort in summer. Sustain. Cities Soc. 2022, 80, 103802. [Google Scholar] [CrossRef]
  18. Wu, Z.; Dou, P.; Chen, L. Comparative and combinative cooling effects of different spatial arrangements of buildings and trees on microclimate. Sustain. Cities Soc. 2019, 51, 101711. [Google Scholar] [CrossRef]
  19. Jin, H.; Shao, T.; Zhang, R. Effect of water body forms on microclimate of residential district. Energy Procedia 2017, 134, 256–265. [Google Scholar] [CrossRef]
  20. Yang, S.; Zhou, D.; Wang, Y.; Li, P. Comparing impact of multi-factor planning layouts in residential areas on summer thermal comfort based on orthogonal design of experiments (ODOE). Build. Environ. 2020, 182, 107145. [Google Scholar] [CrossRef]
  21. Abdallah, A.S.H.; Mahmoud, R.M.A. Urban morphology as an adaptation strategy to improve outdoor thermal comfort in urban residential community of new assiut city, Egypt. Sustain. Cities Soc. 2022, 78, 103648. [Google Scholar] [CrossRef]
  22. Yang, F.; Lau, S.S.Y.; Qian, F. Summertime heat island intensities in three high-rise housing quarters in inner-city Shanghai China: Building layout, density and greenery. Build. Environ. 2010, 45, 115–134. [Google Scholar] [CrossRef]
  23. Martinelli, L.; Lin, T.P.; Matzarakis, A. Assessment of the influence of daily shadings pattern on human thermal comfort and attendance in Rome during summer period. Build. Environ. 2015, 92, 30–38. [Google Scholar] [CrossRef]
  24. Lin, T.P.; Matzarakis, A.; Hwang, R.L. Shading effect on long-term outdoor thermal comfort. Build. Environ. 2010, 45, 213–221. [Google Scholar] [CrossRef]
  25. Kántor, N.; Chen, L.; Gál, C.V. Human-biometeorological significance of shading in urban public spaces—Summertime measurements in Pécs, Hungary. Landsc. Urban Plan. 2018, 170, 241–255. [Google Scholar] [CrossRef]
  26. Peeters, A.; Shashua-Bar, L.; Meir, S.; Shmulevich, R.R.; Caspi, Y.; Weyl, M.; Motzafi-Haller, W.; Angel, N. A decision support tool for calculating effective shading in urban streets. Urban Clim. 2020, 34, 100672. [Google Scholar] [CrossRef]
  27. Middel, A.; Selover, N.; Hagen, B.; Chhetri, N. Impact of shade on outdoor thermal comfort—A seasonal field study in Tempe, Arizona. Int. J. Biometeorol. 2016, 60, 1849–1861. [Google Scholar] [CrossRef]
  28. Cheung, P.K.; Jim, C.Y. Comparing the cooling effects of a tree and a concrete shelter using PET and UTCI. Build. Environ. 2018, 130, 49–61. [Google Scholar] [CrossRef]
  29. Paolini, R.; Mainini, A.G.; Poli, T.; Vercesi, L. Assessment of thermal stress in a street canyon in pedestrian area with or without canopy shading. Energy Procedia 2014, 48, 1570–1575. [Google Scholar] [CrossRef]
  30. Lee, L.S.H.; Cheung, P.K.; Fung, C.K.W.; Jim, C.Y. Improving street walkability: Biometeorological assessment of artificial-partial shade structures in summer sunny conditions. Int. J. Biometeorol. 2020, 64, 547–560. [Google Scholar] [CrossRef]
  31. Elgheznawy, D.; Eltarabily, S. The impact of sun sail-shading strategy on the thermal comfort in school courtyards. Build. Environ. 2021, 202, 108046. [Google Scholar] [CrossRef]
  32. Yin, S.; Wang, F.; Xiao, Y.; Xue, S. Comparing cooling efficiency of shading strategies for pedestrian thermal comfort in street canyons of traditional shophouse neighbourhoods in Guangzhou, China. Urban Clim. 2022, 43, 101165. [Google Scholar] [CrossRef]
  33. Azcarate, I.; Acero, J.Á.; Garmendia, L.; Rojí, E. Tree layout methodology for shading pedestrian zones: Thermal comfort study in Bilbao (Northern Iberian Peninsula). Sustain. Cities Soc. 2021, 72, 102996. [Google Scholar] [CrossRef]
  34. Nasrollahi, N.; Namazi, Y.; Taleghani, M. The effect of urban shading and canyon geometry on outdoor thermal comfort in hot climates: A case study of Ahvaz, Iran. Sustain. Cities Soc. 2021, 65, 102638. [Google Scholar] [CrossRef]
  35. Li, G.; Ren, Z.; Zhan, C. Sky View Factor-based correlation of landscape morphology and the thermal environment of street canyons: A case study of Harbin, China. Build. Environ. 2020, 169, 106587. [Google Scholar] [CrossRef]
  36. Matzarakis, A.; Rutz, F.; Mayer, H. Modelling radiation fluxes in simple and complex environments: Basics of the RayMan model. Int. J. Biometeorol. 2010, 54, 131–139. [Google Scholar] [CrossRef]
  37. Lee, H.; Holst, J.; Mayer, H. Modification of human-biometeorologically significant radiant flux densities by shading as local method to mitigate heat stress in summer within urban street canyons. Adv. Meteorol. 2013, 2013, 312572. [Google Scholar] [CrossRef]
  38. Holst, J.; Mayer, H. Impacts of street design parameters on human-biometeorological variables. Meteorol. Z. 2011, 20, 541–552. [Google Scholar] [CrossRef]
  39. Hien, W.N.; Jusuf, S.K. Air Temperature Distribution and the Influence of Sky View Factor in a Green Singapore Estate. J. Urban Plan. Dev. 2010, 136, 261–272. [Google Scholar] [CrossRef]
  40. Zhang, M.; Gao, Z. Effect of urban form on microclimate and energy loads: Case study of generic residential district prototypes in Nanjing, China. Sustain. Cities Soc. 2021, 70, 102930. [Google Scholar] [CrossRef]
Figure 1. No shading (a), building–tree integrated shading (b), building shading (c), tree shading (d).
Figure 1. No shading (a), building–tree integrated shading (b), building shading (c), tree shading (d).
Buildings 12 01813 g001
Figure 2. Floor area ratio (a), green coverage (b), land area (c), number of building floors (d), layout (e) of 50 high-rise residential estates in Beijing.
Figure 2. Floor area ratio (a), green coverage (b), land area (c), number of building floors (d), layout (e) of 50 high-rise residential estates in Beijing.
Buildings 12 01813 g002
Figure 3. Residential estates layout types, enclosed (a), parallel (b), point (c), parallel + point (d), parallel + enclosed (e), enclosed + point (f), parallel + enclosed + point (g).
Figure 3. Residential estates layout types, enclosed (a), parallel (b), point (c), parallel + point (d), parallel + enclosed (e), enclosed + point (f), parallel + enclosed + point (g).
Buildings 12 01813 g003
Figure 4. Location of the two residential estates (a), the actual view of Shuangqing Estate (b), the actual view of Xueqing Estate (c), general plans and observation points of Shuangqing Estate (d), general plans and observation points of Xueqing Estate (e), aerial view of Shuangqing Estate (f), aerial view of Xueqing Estate (g).
Figure 4. Location of the two residential estates (a), the actual view of Shuangqing Estate (b), the actual view of Xueqing Estate (c), general plans and observation points of Shuangqing Estate (d), general plans and observation points of Xueqing Estate (e), aerial view of Shuangqing Estate (f), aerial view of Xueqing Estate (g).
Buildings 12 01813 g004
Figure 5. TES 1341 anemometer (a), YG-BX portable weather station (b).
Figure 5. TES 1341 anemometer (a), YG-BX portable weather station (b).
Buildings 12 01813 g005
Figure 6. Air temperature of Haidian weather station (17–23 June), Shuangqing Estate (17–20 June), Xueqing Estate (22–23 June).
Figure 6. Air temperature of Haidian weather station (17–23 June), Shuangqing Estate (17–20 June), Xueqing Estate (22–23 June).
Buildings 12 01813 g006
Figure 7. Solar trajectory of Beijing in June.
Figure 7. Solar trajectory of Beijing in June.
Buildings 12 01813 g007
Figure 8. SVF (a), SVFA (b), SVFG (c) fisheye photographs (0–360°, 90–270°, 0–180°, 180–360°).
Figure 8. SVF (a), SVFA (b), SVFG (c) fisheye photographs (0–360°, 90–270°, 0–180°, 180–360°).
Buildings 12 01813 g008
Figure 9. Air temperature of observation points at 7:00–11:00 (a), 11:00–15:00 (b), 15:00–18:00 (c) in the two residential estates.
Figure 9. Air temperature of observation points at 7:00–11:00 (a), 11:00–15:00 (b), 15:00–18:00 (c) in the two residential estates.
Buildings 12 01813 g009
Figure 10. Air temperatures of the observation points with and without shading for 7:00–11:00 (a), 11:00–15:00 (b), 15:00–18:00 (c).
Figure 10. Air temperatures of the observation points with and without shading for 7:00–11:00 (a), 11:00–15:00 (b), 15:00–18:00 (c).
Buildings 12 01813 g010
Figure 11. Fisheye photos of six observation points in Xueqing Estate.
Figure 11. Fisheye photos of six observation points in Xueqing Estate.
Buildings 12 01813 g011
Figure 12. Fisheye photos of eight observation points in Shuangqing Estate.
Figure 12. Fisheye photos of eight observation points in Shuangqing Estate.
Buildings 12 01813 g012
Figure 13. Ta changes (a) at 20–23 August and fisheye photos (b,c) of S4, S7 in Shuangqing Estate.
Figure 13. Ta changes (a) at 20–23 August and fisheye photos (b,c) of S4, S7 in Shuangqing Estate.
Buildings 12 01813 g013
Figure 14. Ta changes (a) at 20–23 August and fisheye photos (b,c) of S3, S5 in Shuangqing Estate.
Figure 14. Ta changes (a) at 20–23 August and fisheye photos (b,c) of S3, S5 in Shuangqing Estate.
Buildings 12 01813 g014
Figure 15. Average Ta and SVF, SVFA, SVFG of Shuangqing Estate (ac), Xueqing Estate (df).
Figure 15. Average Ta and SVF, SVFA, SVFG of Shuangqing Estate (ac), Xueqing Estate (df).
Buildings 12 01813 g015
Figure 16. An 18-story parallel group (a) and its outdoor air temperature differences at 9:00 (b), 12:00 (c), 17:00 (d).
Figure 16. An 18-story parallel group (a) and its outdoor air temperature differences at 9:00 (b), 12:00 (c), 17:00 (d).
Buildings 12 01813 g016
Figure 17. An example of tree layout.
Figure 17. An example of tree layout.
Buildings 12 01813 g017
Table 1. A summary of previous research on shading.
Table 1. A summary of previous research on shading.
ReferenceAreasSpace TypeShading TypeIndicators
Kántor et al. [25]HungaryUrban public spaceTree, sun sailsPET, Ta
Peeters et al. [26]Hot-humid climateStreetsTree, shading devicePET, Ta
Middel et al. [27]Tempe, ArizonaA pedestrian mallPhotovoltaic canopy, treePET
Chenug et al. [28]Hong KongUrban parkTree, artificial shelterPET, UTCI (Universal Thermal Climate Index)
Paolini et al. [29]MilanoStreet canyonCanopy shadingTa, UTCI
Lee et al. [30]Hong KongStreetArtificial-partial shade structuresPET. UTCI
Elgheznawy et al. [31]Port Said, EgyptSchool courtyardsSun sailTa, Tmrt (Mean Radiant Temperature), PET, PMV (Predicted Mean Voted)
Yin et al. [32]GuangzhouStreet canyons The height-to-width ratios of canyons, arcades, tree coverage area, orientationPET
Azcarate et al. [33]BilbaoPedestrian zonesTreeTmrt
Nasrollahi et al. [34]Ahvaz, IranUrban canyonsUrban shadingPET
Martinelli et al. [23]RomeSquareBuildingPET
Table 2. Information of the surveyed residential estates.
Table 2. Information of the surveyed residential estates.
Residential EstatesBuilt TimeFloor Area RatioLand Area (m2)Green CoverageLayoutAverage Number of Floors
Shuangqing Estate20182.78151,40030%Enclosed layout, Parallel layout, Enclosed + Parallel layout17
Xueqing
Estate
20113.3746,20030%Enclosed layout, Parallel layout, Enclosed + Point layout20
Table 3. Sensor specifications.
Table 3. Sensor specifications.
InstrumentParameterTemperatureSolar Radiation Intensity
TES-1341 AnemometerRange−10~60 °C
Accuracy±0.4 °C (+5~60 °C); ±0.8 °C (−20~5 °C, +60~80 °C)
Resolution0.1 °C
YG-BX Portable Weather StationRange−40~+100 °C0~2000 W/m2
Accuracy±0.3 °C±3%
Resolution0.1 °C1 W/m2
Table 4. Measured date.
Table 4. Measured date.
Shuangqing EstateXueqing Estate
Summer17, 18, 19, 20 June in 2021Summer22 June in 2021
21, 22, 23, 24, 25 August in 2021
Table 5. Average Ta and shading characteristics of six observation points in Xueqing Estate during 7:00 and 18:00 on June 22.
Table 5. Average Ta and shading characteristics of six observation points in Xueqing Estate during 7:00 and 18:00 on June 22.
TimePointX1X2X3X4X5X7
7:00–11:00Average Ta (°C)28.427.929.12930.227.3
SVF(0–180)0.0450.0040.1370.1740.2650.024
SVF(0–180)A0.2330.0440.3210.2540.3610.241
SVF(0–180)G0.2070.0880.1910.2350.3370.146
Tree shading
Building shading
11:00–15:00Average Ta (°C)31.732.933.733.734.131.3
SVF(90–270)0.0190.0070.1750.1570.2480.016
SVF(90–270)A0.1150.2240.260.3360.3080.112
SVF(90–270)G0.260.1240.2830.2180.3760.201
Tree shading
Building shading
15:00–18:00Average Ta (°C)32.633.733.634.335.131.8
SVF(180–360)0.0280.0070.1540.0640.2480.02
SVF(180–360)A0.2870.3450.3140.3590.2710.219
SVF(180–360)G0.1230.10.2330.0930.3880.149
Tree shading
Building shading
Table 6. Average Ta and shading characteristics of the eight observation points in Shuangqing Estate between 7:00 and 18:00 on 17–18 June.
Table 6. Average Ta and shading characteristics of the eight observation points in Shuangqing Estate between 7:00 and 18:00 on 17–18 June.
TimePointS1S2S3S4S5S6S7S8
7:00–11:00Average Ta (°C)27.827.728.628.227.726.126.826.8
SVF(0–180)0.1880.1050.2480.1880.2360.1040.060.079
SVF(0–180)A0.2220.1050.2790.240.2720.2710.070.243
SVF(0–180)G0.3740.4960.4120.3820.3560.220.450.235
Tree shading
Building shading
11:00–15:00Average Ta (°C)32.331.932.83132.730.231.930.6
SVF(90–270)0.2720.2980.3490.1130.3440.040.0730.015
SVF(90–270)A0.2990.3010.4140.2040.4260.0690.1320.031
SVF(90–270)G0.4810.50.420.270.410.1980.3830.299
Tree shading
Building shading
15:00–18:00Average Ta (°C)32.733.731.632.133.132.933.932.6
SVF(180–360)0.2380.4870.1980.1270.1810.1320.1310.152
SVF(180–360)A0.3160.50.2240.2380.2440.2510.350.225
SVF(180–360)G0.3760.490.4560.2780.3770.2810.250.369
Tree shading
Building shading
Table 7. Regression results of models.
Table 7. Regression results of models.
TimeTrefSolarSVF(0–180)SVF(0–180)ASVF(0–180)GSVF(0–360)InterceptAdjusted R2
7:00–11:000.807 **0.001 **----6.520.619
0.82 **0.002 **16.347 **---3.6110.724
0.846 **0.001 **-7.507 **--3.6950.649
0.804 **0.001 **--0.877-6.2980.62
0.809 **0.001 **---3.244 **5.2490.636
TimeTrefSolarSVF(90–270)SVF(90–270)ASVF(90–270)GSVF(0–360)InterceptAdjusted R2
11:00–15:000.716 **0.001 **----9.6550.509
0.731 **0.002 **6.511 **---7.5470.593
0.766 **0.002 **-6.43 **--5.7290.583
0.712 **0.001 **--5.474 **-7.6010.556
0.712 **0.001 **---3.971 **8.1820.551
TimeTrefSolarSVF(180–360)SVF(180–360)ASVF(180–360)GSVF(0–360)InterceptAdjusted R2
15:00–18:000.829 **0.002 **----5.2310.67
0.838 **0.002 **4.923 **---3.8790.715
0.818 **0.002 **-7.534 **--3.3390.735
0.853 **0.002 **--3.568 **-3.1770.684
0.833 **0.002 **---2.748 **4.0670.689
**: p value < 0.05.
Publisher’s Note: MDPI stays neutral with regard to jurisdictional claims in published maps and institutional affiliations.

Share and Cite

MDPI and ACS Style

Li, W.; Zhou, Z.; Zhang, S.; Feng, J. Study on Relationship between Shading and Outdoor Air Temperature Based on the Comparison of Two High-Rise Residential Estates with Field Measurements. Buildings 2022, 12, 1813. https://doi.org/10.3390/buildings12111813

AMA Style

Li W, Zhou Z, Zhang S, Feng J. Study on Relationship between Shading and Outdoor Air Temperature Based on the Comparison of Two High-Rise Residential Estates with Field Measurements. Buildings. 2022; 12(11):1813. https://doi.org/10.3390/buildings12111813

Chicago/Turabian Style

Li, Wenwen, Zhengnan Zhou, Shuyang Zhang, and Jiajia Feng. 2022. "Study on Relationship between Shading and Outdoor Air Temperature Based on the Comparison of Two High-Rise Residential Estates with Field Measurements" Buildings 12, no. 11: 1813. https://doi.org/10.3390/buildings12111813

APA Style

Li, W., Zhou, Z., Zhang, S., & Feng, J. (2022). Study on Relationship between Shading and Outdoor Air Temperature Based on the Comparison of Two High-Rise Residential Estates with Field Measurements. Buildings, 12(11), 1813. https://doi.org/10.3390/buildings12111813

Note that from the first issue of 2016, this journal uses article numbers instead of page numbers. See further details here.

Article Metrics

Back to TopTop