Investigation of the Earthquake Performance Adequacy of Low-Rise RC Structures Designed According to the Simplified Design Rules in TBEC-2019
Abstract
1. Introduction
2. Design Procedure of TBEC-2019/Section 17
3. Numerical Analyses
4. Numerical Analyses Results
4.1. Performance Parameters of Building Models
4.2. Comparisons of Parameter Results
5. Conclusions
- According to the analysis results, the number of models providing the CD performance level in the L analysis method is 44 (30.55%) and 107 (74.30%) in the NL analysis method. As a result, in the building designed according to minimum column sectional criteria given in simplified methods of low-rise RC structures, the performance criteria of the code cannot be met according to at least one method. It is noteworthy that such different results were obtained for the two analysis methods stipulated by the code.
- For different soil types, it is seen that the rate of achieving the target performance is higher in ZA and ZB soil types among models with three different building storeys. In the models with ZC and ZD classes, it is seen that the amount achieving the target performance for the five storey building model is high, while this amount is much lower in the three and four storey models.
- For the models designed using three different column cross-section formulas, it is seen that the number of building models that provide the target performance value is higher as a result of the L and NL analyses in the buildings calculated using the first and third formulas. When the analysis results of the models designed with the second formula are examined, it is seen that Formula 2 is not very sufficient due to the smaller column cross-section values obtained. For this reason, the relative storey drifts of the models were smaller in the models designed with the first and third formulas.
- For models designed with two different spans, when buildings with four spans (5 m) and three spans (6.66 m) are examined, it is seen that the building model that meets the performance target is higher in models with four spans. It can be said that the reason for this situation is that there are 25 columns in the four-span models, while 16 columns are included in the three-span models.
- For the models designed with two different SDS values, it is seen that the models designed with the SDS < 0.5 value reach the target performance more. For both SDS values, it is seen that the number of building models that provide the target performance of the five storey models is higher than the number of buildings that provide the target performance of the three and four storey building models.
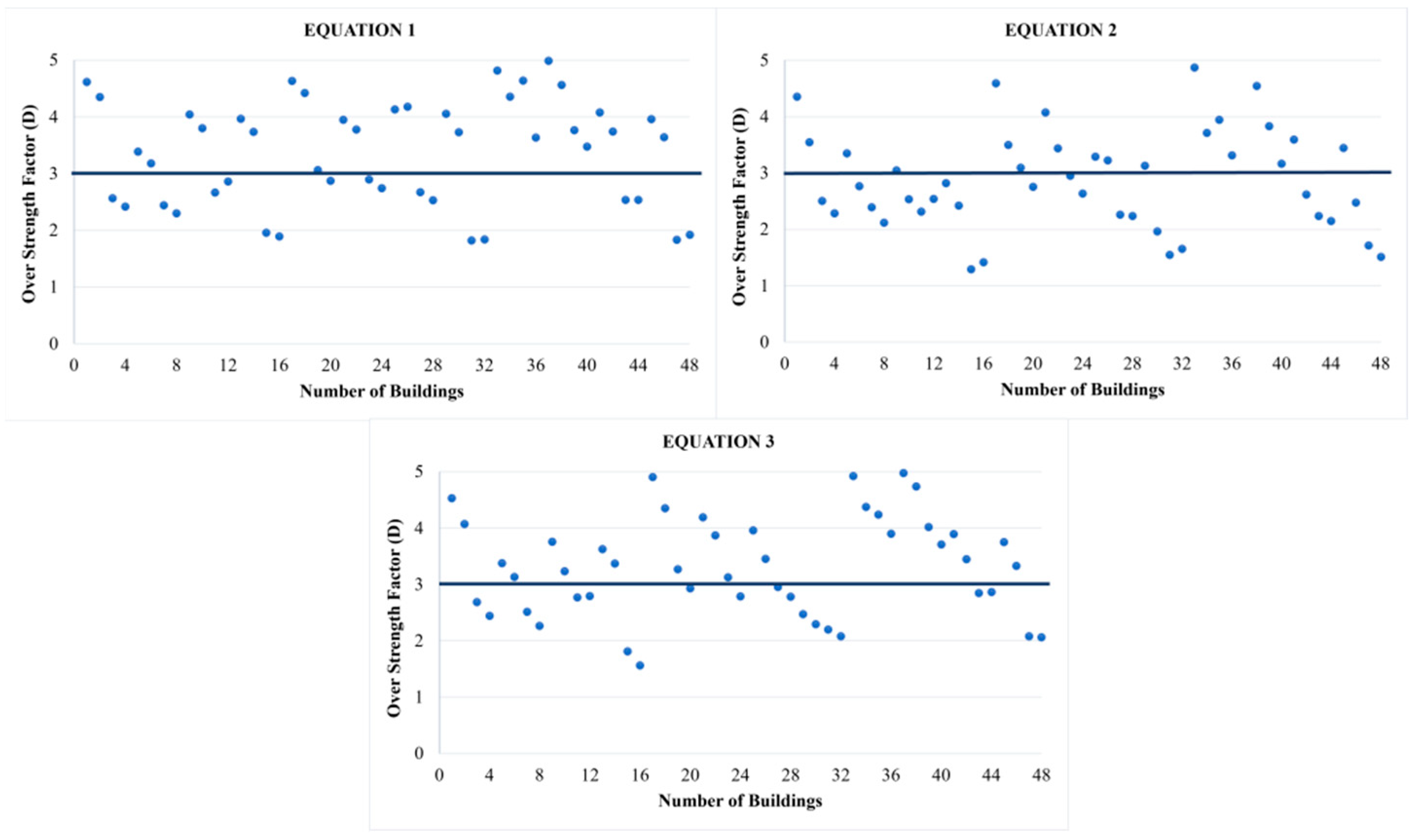
- For Ω, it is seen that the excess strength coefficient value for three and four storey models, especially for ZA and ZB soil types, generally reaches and exceeds the desired value of 3 in the TBEC-2019. In the five storey models, the coefficient of over-strength reached the value of 3 in general, but the results were not as high as in the three and four storey models. It is seen that the coefficient of over-strength is higher in the models designed with the first and third formulas. In addition, it is among the significant findings that the buildings with the over-strength coefficient below “3” will most likely not provide the performance level requested by the code.
- For the relative storey drift values, it is seen that the relative storey drift values of the five storey models are less than the three and four storey models. It is thought that in five storey models, the column cross-section values increase as the area share along all floors in the formula increases, and as a result, the relative storey drift is less than in three and four storey models. In terms of soil class, it is seen that the relative storey drift values are less for ZA and ZB soil types. It is seen that the relative storey drift values of the models designed with Formula 2 are relatively larger and they provide the code limit relative storey drift value less than the other formulas.
- For different building storeys, it is seen that the number of models that provide performance in five storey building models is higher than in three and four storey models. It is thought that this situation is due to the fact that the displacements of the three and four storey models are higher, although over-strength is large.
- Since the structures discussed in the study are new structures to be built, it is thought that the results obtained will change positively if the expected compressive strength of the concrete with 35 MPa characteristic compressive strength selected in the modelling is taken as the basis in the performance analysis.
- The simplified method proposed in the TBEC-2019 allows buildings that meet the relevant requirements to be designed very quickly without detailed seismic analysis. However, it is seen that the earthquake performance may not be sufficient in some of these structures designed according to minimum column sectional criteria.
- In this respect, the strength of the designed procedure explored in this study is simple and useful, and the weak side is that the desired earthquake performance of structures that are designed according to the simplified rules given in other parts of the TBEC-2019 could not be fully achieved in some buildings, especially with performance analysis where relatively complex analyses are required. The authors consider that while the simplifying rules are useful for engineers, the linear and nonlinear performance analysis section in the same code is partly complex for engineers. In this respect, structures designed according to minimum column sectional criteria, cannot meet a criteria of performance analysis which have complex rules, and this caused the results to be unsatisfactory.
- Differences in performance analysis approaches and acceptances in earthquake codes (such as Eurocode 8, etc.) will cause different results in modelling the same structures according to other codes.
- It is clear that the results will change if the structure systems are designed according to the detailed analysis procedure.
Author Contributions
Funding
Institutional Review Board Statement
Informed Consent Statement
Data Availability Statement
Acknowledgments
Conflicts of Interest
References
- Alkan, H.; Büyüksaraç, A.; Bektaş, Ö.; Işık, E. Coulomb stress change before and after 24.01. 2020 Sivrice (Elazığ) Earthquake (Mw = 6.8) on the East Anatolian Fault Zone. Arab. J. Geosci. 2021, 14, 1–12. [Google Scholar] [CrossRef]
- Bilgin, H.; Shkodrani, N.; Hysenlliu, M.; Ozmen, H.B.; Isik, E.; Harirchian, E. Damage and performance evaluation of masonry buildings constructed in 1970s during the 2019 Albania earthquakes. Eng. Fail. Anal. 2022, 131, 105824. [Google Scholar] [CrossRef]
- Tekeli-Yesil, S.; Pfeiffer, C.; Tanner, M. The determinants of information seeking behaviour and paying attention to earthquake-related information. Int. J. Disaster Risk Reduct. 2020, 49, 101734. [Google Scholar] [CrossRef]
- Işık, E.; Harirchian, E.; Büyüksaraç, A.; Ekinci, Y.L. Seismic and structural analyses of the eastern anatolian region (Turkey) using different probabilities of exceedance. Appl. Sys. Innov. 2021, 4, 89. [Google Scholar] [CrossRef]
- Strukar, K.; Sipos, T.K.; Jelec, M.; Hadzima-Nyarko, M. Efficient damage assessment for selected earthquake records based on spectral matching. Earthq. Struct. 2019, 17, 271–282. [Google Scholar]
- Harirchian, E.; Hosseini, S.E.A.; Jadhav, K.; Kumari, V.; Rasulzade, S.; Işık, E.; Lahmer, T. A review on application of soft computing techniques for the rapid visual safety evaluation and damage classification of existing buildings. J. Build. Eng. 2021, 43, 102536. [Google Scholar] [CrossRef]
- Büyüksaraç, A.; Isik, E.; Harirchian, E. A case study for determination of seismic risk priorities in Van (Eastern Turkey). Earthq. Struct. 2021, 20, 445–455. [Google Scholar]
- Bilgin, H.; Hadzima-Nyarko, M.; Isik, E.; Ozmen, H.B.; Harirchian, E. A comparative study on the seismic provisions of different codes for RC buildings. Struct. Eng. Mech. 2022, 83, 195–206. [Google Scholar]
- Inel, M.; Meral, E. Seismic performance of RC buildings subjected to past earthquakes in Turkey. Earthq. Struct. 2016, 11, 483–503. [Google Scholar] [CrossRef]
- Arslan, M.H.; Korkmaz, H.H. What is to be learned from damage and failure of reinforced concrete structures during recent earthquakes in Turkey? Eng. Fail. Anal. 2007, 14, 1–22. [Google Scholar] [CrossRef]
- Arslan, M.H. An evaluation of effective design parameters on earthquake performance of RC buildings using neural networks. Eng. Struct. 2010, 32, 1888–1898. [Google Scholar] [CrossRef]
- Kaltakci, M.Y.; Arslan, M.H.; Yilmaz, U.S.; Arslan, H.D. A new approach on the strengthening of primary school buildings in Turkey: An application of external shear wall. Build. Environ. 2008, 43, 983–990. [Google Scholar] [CrossRef]
- Güner, B. Türkiye’deki deprem hasarlarina dönemsel bir yaklaşim; 3 dönem 3 deprem. Doğu Coğrafya Derg. 2020, 25, 139–152. [Google Scholar]
- Doğan, T.P.; Kızılkula, T.; Mohammadi, M.; Erkan, İ.H.; Kabaş, H.T.; Arslan, M.H. A comparative study on the rapid seismic evaluation methods of reinforced concrete buildings. Int. J. Disaster Risk Reduct. 2021, 56, 102143. [Google Scholar] [CrossRef]
- Dogan, G.; Ecemis, A.S.; Korkmaz, S.Z.; Arslan, M.H.; Korkmaz, H.H. Buildings damages after Elazığ, Turkey earthquake on 24 January 2020. Nat. Hazards 2021, 109, 161–200. [Google Scholar] [CrossRef]
- Adalier, K.; Aydingun, O. Structural engineering aspects of the 27 June 1998 Adana–Ceyhan (Turkey) earthquake. Eng. Struct. 2001, 23, 343–355. [Google Scholar] [CrossRef]
- Bruneau, M. Building damage from the Marmara, Turkey earthquake of 17 August 1999. J. Seismol. 2002, 6, 357–377. [Google Scholar] [CrossRef]
- Sezen, H.; Whittaker, A.S.; Elwood, K.J.; Mosalam, K.M. Performance of reinforced concrete buildings during the 17 August 1999 Kocaeli, Turkey earthquake, and seismic design and construction practise in Turkey. Eng. Struct. 2003, 25, 103–114. [Google Scholar] [CrossRef]
- Doğangün, A.; Yön, B.; Onat, O.; Öncü, M.E.; Sağıroğlu, S. Seismicity of East Anatolian of Turkey and failures of infill walls induced by major earthquakes. J. Earthq. Tsunami 2021, 15, 2150017. [Google Scholar] [CrossRef]
- Celep, Z. Betonarme Yapılar; Beta Basım Yayın: İstanbul, Turkey, 2005. [Google Scholar]
- Işık, E. A comparative study on the structural performance of an RC building based on updated seismic design codes: Case of Turkey. Challenge 2021, 7, 123–134. [Google Scholar] [CrossRef]
- Özmen, B. Türkiye deprem bölgeleri haritalarının tarihsel gelişimi. Türkiye Jeol. Bülteni 2012, 55, 43–55. [Google Scholar]
- TEC-2007; Turkish Earthquake Code. T.C. Resmi Gazete: Ankara, Turkey, 2007.
- TBEC-2019; Turkish Building Earthquake Code. T.C. Resmi Gazete: Ankara, Turkey, 2018.
- Aksoylu, C.; Arslan, M.H. 2007 ve 2019 Deprem yönetmeliklerinde betonarme binalar için yer alan farklı deprem kuvveti hesaplama yöntemlerinin karşılaştırılmalı olarak irdelenmesi. Int. J. Eng. Res. Dev. 2021, 13, 359–374. [Google Scholar]
- Özmen, A.; Sayin, E. Deprem etkisinde çok katlı betonarme bir binanın tdy-2007 ve tbdy-2018 deprem yönetmeliklerine göre eşdeğer deprem yüklerinin karşılaştırılması. Osman. Korkut Ata Üniversitesi Fen Bilim. Enstitüsü Derg. 2021, 4, 124–133. [Google Scholar] [CrossRef]
- Korkmaz, M. Analysis of an educational building according to tec2007 and tec2018. Sciennovation 2020, 1, 43–50. [Google Scholar]
- Başaran, V.; Hiçyilmaz, M. Betonarme çerçevelerde farklı deprem yer hareketi düzeyi etkilerinin incelenmesi. J. Innov. Civ. Eng. Technol. 2020, 2, 27–41. [Google Scholar]
- Doğan, S. Farkli deprem etkilerine maruz kalan betonarme yapilar için deprem yükü azaltma katsayilarinin ilişkilerinin değerlendirilmesi. TURAN Strat. Arast. Merk. 2019, 11, 353–358. [Google Scholar]
- Aksoylu, C.; Arslan, M.H. Çerçeve türü betonarme binaların periyod hesaplarının farklı ampirik bağıntılara göre irdelenmesi. Bitlis Eren Üniversitesi Fen Bilim. Derg. 2019, 8, 569–581. [Google Scholar] [CrossRef]
- Aksoylu, C.; Arslan, M.H. Çerçeve+ perde türü betonarme binalarin periyod hesaplarinin tbdy-2019 yönetmeliğine göre ampirik olarak değerlendirilmesi. Uludağ Üniversitesi Mühendislik Fakültesi Derg. 2019, 24, 365–382. [Google Scholar]
- Bayrakci, S.; Baran, T. Zemin dinamik davranışının eşdeğer lineer analiz yöntemi ile belirlenmesi. Osman. Korkut Ata Üniversitesi Fen Bilim. Enstitüsü Derg. 2018, 1, 10–15. [Google Scholar]
- Başaran, V. Türkiye bina deprem yönetmeliğine (TBDY2019) göre Afyonkarahisar için deprem yüklerinin değerlendirilmesi. Afyon Kocatepe Üniversitesi Fen Ve Mühendislik Bilim. Derg. 2018, 18, 1028–1035. [Google Scholar]
- Işık, E.; Velioğlu, E. A study on the consistency of different methods used in structural analysis. AKU J. Sci. Eng. 2017, 17, 1055–1065. [Google Scholar] [CrossRef]
- Karaca, H.; Oral, M.; Erbil, M. Yapısal tasarım bağlamında 2007 ve 2018 deprem yönetmeliklerinin karşılaştırılması, Niğde örneği. Niğde Ömer Halisdemir Üniversitesi Mühendislik Bilimleri Dergisi 2020, 9, 898–903. [Google Scholar] [CrossRef]
- Ünsal, İ.; Öncel, F.A.; Şahan, F. Tdy 2007 ve tbdy 2018 yönetmeliklerine göre yapi yüksekliğinin taban kesme kuvveti ve tepe deplasmani üzerindeki etkisinin incelenmesi. Konya Mühendislik Bilimleri Dergisi 2020, 8, 930–942. [Google Scholar]
- Gunes, B.; Cosgun, T.; Sayin, B.; Mangir, A. Seismic performance of an existing low-rise RC building considering the addition of a new storey. Rev. Construcción 2019, 18, 459–475. [Google Scholar] [CrossRef]
- Güllü, H. Tarihi yiğma yapili cendere köprüsünün deprem etkisinin incelenmesi. Niğde Ömer Halisdemir Üniversitesi Mühendislik Bilim. Derg. 2018, 7, 245–259. [Google Scholar] [CrossRef]
- Çoban, S.; Çeribaşi, S. Gömülü çelik boru sistemlerinin zaman tanım alanında yapısal analizi. Sakarya Uni. J. Sci. 2018, 22, 581–592. [Google Scholar]
- Jakayev, S.; Aydemir, M.E. Düzenli bir betonarme binada düşey deprem bileşeninin yapısal davranışa etkisi. Afet Ve Risk Derg. 2019, 2, 1–13. [Google Scholar] [CrossRef]
- Kasap, T. Evaluation of earthquake behaviour of reinforced concrete frame buildings by nonlinear methods. Sciennovation 2021, 2, 27–35. [Google Scholar]
- Özer, Ö.; Yüksel, S.B. Farkli betonarme bağ kirişi modellerinin tbdy (2018)’e göre yapi performansina etkisi. Uludağ Üniversitesi Mühendislik Fakültesi Derg. 2020, 25, 1169–1188. [Google Scholar]
- Işık, E. Comparative investigation of seismic and structural parameters of earthquakes (M ≥ 6) after 1900 in Turkey. Arab. J. Geosci. 2022, 15, 1–21. [Google Scholar] [CrossRef]
- Çolakoğlu, H.E. U şekilli betonarme perdelerin farklı yatay yük etkileri altında doğrusal olmayan davranışı. Tek. Dergi 2019, 30, 8887–8912. [Google Scholar] [CrossRef]
- Dalyan, İ.; Şahin, B. Mevcut betonarme bir binanın 2007 ve 2018 deprem yönetmeliklerine göre deprem yükleri altındaki taşıyıcı sistem perfomansının değerlendirilmesi. Türk Deprem Araştırma Derg. 2019, 1, 134–147. [Google Scholar] [CrossRef]
- Kap, T.; Özgan, E.; Uzunoğlu, M.M. Betonarme bir okul binasının 2018 deprem yönetmeliğine göre incelenmesi. Düzce Üniversitesi Bilim Ve Teknol. Derg. 2019, 7, 1140–1150. [Google Scholar] [CrossRef]
- Aksoylu, C.; Mobark, A.; Arslan, M.H.; Erkan, İ.H. A comparative study on ASCE 7-16, TBEC-2018 and TEC-2007 for reinforced concrete buildings. Rev. Construcción 2020, 19, 282–305. [Google Scholar] [CrossRef]
- Kürkçü, F. 20 Katlı Betonarme Bir Yapının Türkiye Bina Deprem Yönetmeliği’ne Göre Tasarımı Ve Deprem Performansının Belirlenmesi. Ph.D. Thesis, Yüksek Lisans Tezi, İstanbul Teknik Üniversitesi, Fen Bilimleri Enstitüsü, İstanbul, Türkiye, 2020. [Google Scholar]
- Akçora, A.A. Betonarme Yüksek Binaların 2018 Yılı Türkiye Bina Deprem Yönetmeliğine Göre Incelenmesi: 30 Katlı Bina Örneği. Master’s Thesis, Fen Bilimleri Enstitüsü, Yıldız Teknik Üniversitesi, İstanbul, Türkiye, 2020. [Google Scholar]
- Çapa, Y.U. Kat Adetleri Farklı Betornarme Binaların Deprem Performanslarının Incelenmesi. Master’s Thesis, Fatih Sultan Mehmet Vakıf Üniversitesi, Lisansüstü Eğitim Enstitüsü, İstanbul, Türkiye, 2020. [Google Scholar]
- Severcan, M.H.; Sinani, B. Mevcut betonarme yapilarin deprem performansinin analizi. Niğde Ömer Halisdemir Üniversitesi Mühendislik Bilim. Derg. 2019, 8, 936–947. [Google Scholar]
- Ulutaş, H. DBYBHY (2007) ve TBDY (2018) deprem yönetmeliklerinin kesit hasar sınırları açısından kıyaslanması. Avrupa Bilim Ve Teknol. Derg. 2019, 17, 351–359. [Google Scholar]
- Sarı, O. Mevcut Konut Türü Bir Binanın Dbybhy–2007 Ve Tbdy–2018 Deprem Yönetmeliklerine Göre Deprem Performansının Değerlendirilmesi. Ph.D. Thesis, Yüksek Lisans Tezi, Burdur Mehmet Akif Ersoy Üniversitesi Fen Bilimleri Enstitüsü, Burdur, Türkiye, 2020. [Google Scholar]
- Ayaz, U. Mevcut Bir Betonarme Binanın 2007 Ve 2018 Türkiye Bina Deprem Yönetmeliklerine Göre Deprem Performansının Değer-Lendirilmesi Ve Güçlendirilmesi. Master’s Thesis, Fen Bilimleri Enstitüsü, İzmit, Türkiye, 2020. [Google Scholar]
- Şeşetyan, K.; Demircioğlu Tümsa, M.B.; Akinci, A. Evaluation of the seismic hazard in the Marmara region (Turkey) based on updated databases. Geosciences 2019, 9, 489. [Google Scholar] [CrossRef]
- Sianko, I.; Ozdemir, Z.; Khoshkholghi, S.; Garcia, R.; Hajirasouliha, I.; Yazgan, U.; Pilakoutas, K. A practical probabilistic earthquake hazard analysis tool: Case study Marmara region. Bull. Earthq. Eng. 2020, 18, 2523–2555. [Google Scholar] [CrossRef]
- Erberik, M.A. Fragility-based assessment of typical mid-rise and low-rise RC buildings in Turkey. Eng Struct. 2008, 30, 1360–1374. [Google Scholar] [CrossRef]
- Ilki, A.; Comert, M.; Demir, C.; Orakcal, K.; Ulugtekin, D.; Tapan, M.; Kumbasar, N. Performance based rapid seismic assessment method (PERA) for reinforced concrete frame buildings. Adv. Struct. Eng. 2014, 17, 439–459. [Google Scholar] [CrossRef]
- İlki, A.; Cömert, M.; Orakçal, K.; Gülkan, P. Alternative simplified seismic design for regular low-rise reinforced concrete buildings. In Proceedings of the Eighth National Conference on Earthquake Engineering, Istanbul, Turkey, 11–15 May 2015. [Google Scholar]
- NIBSDSSDP. Development of Simplified Seismic Design Procedures: Framework Report; National Institute of Building Sciences for Development of Simplified Design Procedures: Anchorage, AK, USA, 2010. [Google Scholar]
- ASCE/SEI; Minimum Design Loads for Buildings and Other Structures, ASCE/SEI 7-10. American Society of Civil Engineers: Reston, VA, USA, 2010.
- FEMA. NEHRP Recommended Provisions for Seismic Regulations for New Buildings and Other Structures, FEMA 450; Federal Emergency Management Agency: Washington, DC, USA, 2003. [Google Scholar]
- ISO/DIS 28841; İITS. Guidelines for Simplified Seismic Assessment and Rehabilitation of Concrete Buildings, Draft International Standard. ISO: Geneva, Switzerland, 2010.
- Balun, B.; Nemutlu, Ö.F.; Sarı, A. TBDY 2018 basitleştirilmiş tasarım kurallarının taban kesme kuvvetine etkisinin incelenmesi. Türk Doğa Ve Fen Derg. 2020, 9, 173–181. [Google Scholar]
- Yel, N.S. Düzenli Betonarme Binalar Için Basitleştirilmiş Tasarım Kurallarının Performans Analizi Bağlamında Değerlendirilmesi. Master’s Thesis., Konya Teknik Üniversitesi, Konya, Türkiye, 2021. [Google Scholar]
- Integrated Analysis and Design Solution for Building Analysis. Prota Structure, 2022. Available online: https://www.protasoftware.com/documents/protastructure_2019_brochure.pdf (accessed on 20 May 2022).
- SAP2000; User Guide. People’s Communications Press: Beijing, China, 2012.
- Crespi, P.; Zucca, M.; Valente, M. On the collapse evaluation of existing RC bridges exposed to corrosion under horizontal loads. Eng. Fail. Anal. 2020, 116, 104727. [Google Scholar] [CrossRef]
- Turkish Earthquake Hazard Map Interactive Web Application. Available online: https://tdth.afad.gov.tr (accessed on 15 June 2022).
- AFAD. Disaster and Emergency Management Presidency (AFAD). Available online: https://en.afad.gov.tr/2022 (accessed on 15 June 2022).
- Yasin, M.F.; Başak, K.; Kubin, J.; Tan, M.T. Perdeli betonarme yapılar için doğrusal olmayan analiz metotları. In Proceedings of the Seventh National Conference on Earthquake Engineering, İstanbul, Turkey, 30 May–3 June 2011. [Google Scholar]
- Fahjan, Y.; Kubin, J.; Tan, M. Nonlinear analysis Methods for Reinforced Concrete Buildings with Shear Walls. In Proceedings of the 14th European Conference on Earthquake Engineering, Ohrid, North Macedonia, 30 August–3 September 2010. [Google Scholar]
- Arslan, M.H.; Erkan, İ.H. Betonarme Binaların Deprem Yükü Azaltma Katsayısı üzerine Yeni Bir Bakış. Eng. Sci. 2011, 6, 1486–1497. [Google Scholar]
- Shendkar, M.R.; Kontoni, D.P.N.; Işık, E.; Mandal, S.; Maiti, P.R.; Harirchian, E. Influence of masonry infill on seismic design factors of reinforced-concrete buildings. Shock. Vib. 2022, 2022, 5521162. [Google Scholar] [CrossRef]




















| TEC-1975 | TEC-1998 | TEC-2007 | TBEC-2019 | |
|---|---|---|---|---|
| Force-Based Seismic Analysis of New RC Buildings | Eq.Static Anly. | Eq.Static Anly. /Modal Anly/ Time History Anly. | Eq.Static Anly./ Modal Anly/ Time History Anly. | Eq.Static Anly./ Modal Anly/ Time History Anly. |
| Deformation Based Seismic Analysis of New RC Buildings | --- | --- | --- | NL Resp.Hist. Anly/ NL Static Pushover Anly. |
| Seismic Analysis of Existing RC Buildings | --- | --- | NL Static Pushover Anly. | NL Resp.Hist. Anly/ NL Static Pushover Anly. |
| Plan Type/Span (m) | DTS | Soil Type | Number of Storeys and Building Height (HN) | Equations Used in Calculation of Column Cross-Sectional Area |
|---|---|---|---|---|
![]() /6.66 m ![]() /5 m | ![]() | ZA ZB ZC ZD | ![]() | EQUATION 1 Aci ≥ 0.00014 (g + q) ∑Aoi |
| EQUATION 2 Aci ≥ 0.00022 SDS (g + 0.3q) ∑Aoi | ||||
| EQUATION 3 ∑(Ii/Hi2) ≥ 4.44 × 10−7 SDS (g + 0.3q)∑Api |
| Model Type | Beam Longitudinal Reinforcements | ||
|---|---|---|---|
| Upper | Bottom | Stirrups | |
| 3 Spans | 6Φ16 | 4Φ16 | Φ8/13/10 |
| 4 Spans | 6Φ14 | 4Φ14 | Φ8/13/10 |
| Model Type | Column Sections | Column Longitudinal Reinforcement | Column Lateral Reinforcement | ||||||
|---|---|---|---|---|---|---|---|---|---|
| S1 (cm) | S2 (cm) | S3 (cm) | S1 | S2 | S3 | S1 | S2 | S3 | |
| T45A41 | 30 | 36 | 51 | 8Φ14 | 6Φ14 + 2Φ16 | 8Φ16 + 4Φ18 | Φ8/15/10 | Φ8/16/10 | Φ8/20/10 |
| T45A42 | 30 | 30 | 31 | 8Φ14 | 8Φ14 | 8Φ14 | Φ8/15/10 | Φ8/15/10 | Φ8/15/10 |
| T45A43 | 36 | 36 | 36 | 6Φ14 + 2Φ16 | 6Φ14 + 2Φ16 | 6Φ14 + 2Φ16 | Φ8/16/10 | Φ8/16/10 | Φ8/16/10 |
| T35A41 | 34 | 48 | 68 | 8Φ14 | 12Φ16 | 16Φ18 + 4Φ14 | Φ8/17/10 | Φ8/20/10 | Φ8/20/10 |
| T35A42 | 30 | 30 | 41 | 8Φ14 | 8Φ14 | 2Φ14 + 6Φ18 | Φ8/15/10 | Φ8/15/10 | Φ8/20/10 |
| T35A43 | 41 | 41 | 41 | 2Φ14 + 6Φ18 | 2Φ14 + 6Φ18 | 2Φ14 + 6Φ18 | Φ8/20/10 | Φ8/20/10 | Φ8/20/10 |
| T45A31 | 30 | 36 | 51 | 8Φ14 | 6Φ14 + 2Φ16 | 8Φ16 + 4Φ18 | Φ8/15/10 | Φ8/16/10 | Φ8/20/10 |
| T45A32 | 30 | 31 | 43 | 8Φ14 | 8Φ14 | 8Φ18 | Φ8/15/10 | Φ8/15/10 | Φ8/20/10 |
| T45A33 | 43 | 43 | 43 | 8Φ18 | 8Φ18 | 8Φ18 | Φ8/20/10 | Φ8/20/10 | Φ8/20/10 |
| T35A31 | 34 | 48 | 68 | 8Φ14 | 10Φ14 + 4Φ16 | 16Φ18 + 4Φ14 | Φ8/17/10 | Φ8/20/10 | Φ8/20/10 |
| T35A32 | 30 | 41 | 58 | 8Φ14 | 2Φ14 + 6Φ18 | 4Φ14 + 14Φ16 | Φ8/15/10 | Φ8/20/10 | Φ8/20/10 |
| T35A33 | 48 | 48 | 48 | 10Φ14 + 4Φ16 | 10Φ14 + 4Φ16 | 10Φ14 + 4Φ16 | Φ8/20/10 | Φ8/20/10 | Φ8/20/10 |
| T44A41 | 30 | 32 | 46 | 8Φ14 | 8Φ14 | 6Φ16 + 4Φ18 | Φ8/15/10 | Φ8/16/10 | Φ8/19/10 |
| T44A42 | 30 | 30 | 30 | 8Φ14 | 8Φ14 | 8Φ14 | Φ8/15/10 | Φ8/15/10 | Φ8/15/10 |
| T44A43 | 35 | 35 | 35 | 8Φ14 | 8Φ14 | 8Φ14 | Φ8/17/10 | Φ8/17/10 | Φ8/17/10 |
| T34A41 | 31 | 43 | 61 | 8Φ14 | 8Φ18 | 10Φ16 + 4Φ24 | Φ8/15/10 | Φ8/20/10 | Φ8/19/10 |
| T34A42 | 30 | 30 | 36 | 8Φ14 | 8Φ14 | 6Φ14 + 2Φ16 | Φ8/15/10 | Φ8/15/10 | Φ8/16/10 |
| T34A43 | 39 | 39 | 39 | 8Φ16 | 8Φ16 | 8Φ16 | Φ8/15/10 | Φ8/15/10 | Φ8/15/10 |
| T44A31 | 30 | 32 | 46 | 8Φ14 | 8Φ14 | 4Φ14 + 8Φ16 | Φ8/15/10 | Φ8/16/10 | Φ8/19/10 |
| T44A32 | 30 | 30 | 39 | 8Φ14 | 8Φ14 | 8Φ16 | Φ8/15/10 | Φ8/15/10 | Φ8/15/10 |
| T44A33 | 41 | 41 | 41 | 2Φ14 + 6Φ18 | 2Φ14 + 6Φ18 | 2Φ14 + 6Φ18 | Φ8/20/10 | Φ8/20/10 | Φ8/20/10 |
| T34A31 | 30 | 43 | 61 | 8Φ14 | 8Φ18 | 10Φ16 + 4Φ24 | Φ8/15/10 | Φ8/20/10 | Φ8/19/10 |
| T34A32 | 30 | 36 | 52 | 8Φ14 | 6Φ14 + 2Φ16 | 8Φ18 + 4Φ16 | Φ8/15/10 | Φ8/16/10 | Φ8/20/10 |
| T34A33 | 46 | 46 | 46 | 4Φ14 + 8Φ16 | 4Φ14 + 8Φ16 | 4Φ14 + 8Φ16 | Φ8/19/10 | Φ8/19/10 | Φ8/19/10 |
| T43A41 | 30 | 30 | 40 | 8Φ14 | 8Φ14 | 8Φ16 | Φ8/15/10 | Φ8/15/10 | Φ8/20/10 |
| T43A42 | 30 | 30 | 30 | 8Φ14 | 8Φ14 | 8Φ14 | Φ8/15/10 | Φ8/15/10 | Φ8/15/10 |
| T43A43 | 32 | 32 | 32 | 8Φ14 | 8Φ14 | 8Φ14 | Φ8/16/10 | Φ8/16/10 | Φ8/16/10 |
| T33A41 | 30 | 37 | 53 | 8Φ14 | 8Φ16 | 14Φ16 | Φ8/15/10 | Φ8/16/10 | Φ8/20/10 |
| T33A42 | 30 | 30 | 32 | 8Φ14 | 8Φ14 | 8Φ14 | Φ8/15/10 | Φ8/15/10 | Φ8/16/10 |
| T33A43 | 36 | 36 | 36 | 6Φ14 + 2Φ16 | 6Φ14 + 2Φ16 | 6Φ14 + 2Φ16 | Φ8/16/10 | Φ8/16/10 | Φ8/16/10 |
| T43A31 | 30 | 30 | 40 | 8Φ14 | 8Φ14 | 8Φ16 | Φ8/15/10 | Φ8/15/10 | Φ8/20/10 |
| T43A32 | 30 | 30 | 33 | 8Φ14 | 8Φ14 | 8Φ14 | Φ8/15/10 | Φ8/15/10 | Φ8/15/10 |
| T43A33 | 38 | 38 | 38 | 8Φ16 | 8Φ16 | 8Φ16 | Φ8/15/10 | Φ8/15/10 | Φ8/15/10 |
| T33A31 | 30 | 37 | 53 | 8Φ14 | 8Φ16 | 4Φ16 + 8Φ18 | Φ8/15/10 | Φ8/16/10 | Φ8/20/10 |
| T33A32 | 30 | 31 | 45 | 8Φ14 | 8Φ14 | 4Φ16 + 8Φ14 | Φ8/15/10 | Φ8/15/10 | Φ8/20/10 |
| T33A33 | 43 | 43 | 43 | 8Φ18 | 8Φ18 | 8Φ18 | Φ8/20/10 | Φ8/20/10 | Φ8/20/10 |
Publisher’s Note: MDPI stays neutral with regard to jurisdictional claims in published maps and institutional affiliations. |
© 2022 by the authors. Licensee MDPI, Basel, Switzerland. This article is an open access article distributed under the terms and conditions of the Creative Commons Attribution (CC BY) license (https://creativecommons.org/licenses/by/4.0/).
Share and Cite
Yel, N.S.; Arslan, M.H.; Aksoylu, C.; Erkan, İ.H.; Arslan, H.D.; Işık, E. Investigation of the Earthquake Performance Adequacy of Low-Rise RC Structures Designed According to the Simplified Design Rules in TBEC-2019. Buildings 2022, 12, 1722. https://doi.org/10.3390/buildings12101722
Yel NS, Arslan MH, Aksoylu C, Erkan İH, Arslan HD, Işık E. Investigation of the Earthquake Performance Adequacy of Low-Rise RC Structures Designed According to the Simplified Design Rules in TBEC-2019. Buildings. 2022; 12(10):1722. https://doi.org/10.3390/buildings12101722
Chicago/Turabian StyleYel, Nur Seda, Musa Hakan Arslan, Ceyhun Aksoylu, İbrahim Hakkı Erkan, Hatice Derya Arslan, and Ercan Işık. 2022. "Investigation of the Earthquake Performance Adequacy of Low-Rise RC Structures Designed According to the Simplified Design Rules in TBEC-2019" Buildings 12, no. 10: 1722. https://doi.org/10.3390/buildings12101722
APA StyleYel, N. S., Arslan, M. H., Aksoylu, C., Erkan, İ. H., Arslan, H. D., & Işık, E. (2022). Investigation of the Earthquake Performance Adequacy of Low-Rise RC Structures Designed According to the Simplified Design Rules in TBEC-2019. Buildings, 12(10), 1722. https://doi.org/10.3390/buildings12101722





