Analyzing the Time-Varying Thermal Perception of Students in Classrooms and Its Influencing Factors from a Case Study in Xi’an, China
Abstract
:1. Introduction
1.1. Literature Review
1.2. Research Objectives
- Clarifying the changes in the indoor thermal environment of university classrooms and the thermal perception of students in different classes over the course of a day during the heating period;
- Exploring the differences in the factors affecting the thermal perception of students in different classes over the course of a day;
- Analyzing the differences in students’ adaptive behaviors to maintain a comfortable thermal state in different classes over the course of a day.
2. Methods
2.1. Location and Climate
2.2. Classroom Information
2.3. Physical Measurement
2.4. Questionnaire Survey
2.5. Data Analysis
3. Results and Discussion
3.1. Demographic Condition
3.2. Thermal Environment Condition
3.2.1. Outdoor Thermal Environment
3.2.2. Indoor Thermal Environment
3.3. Student Thermal Perception Development
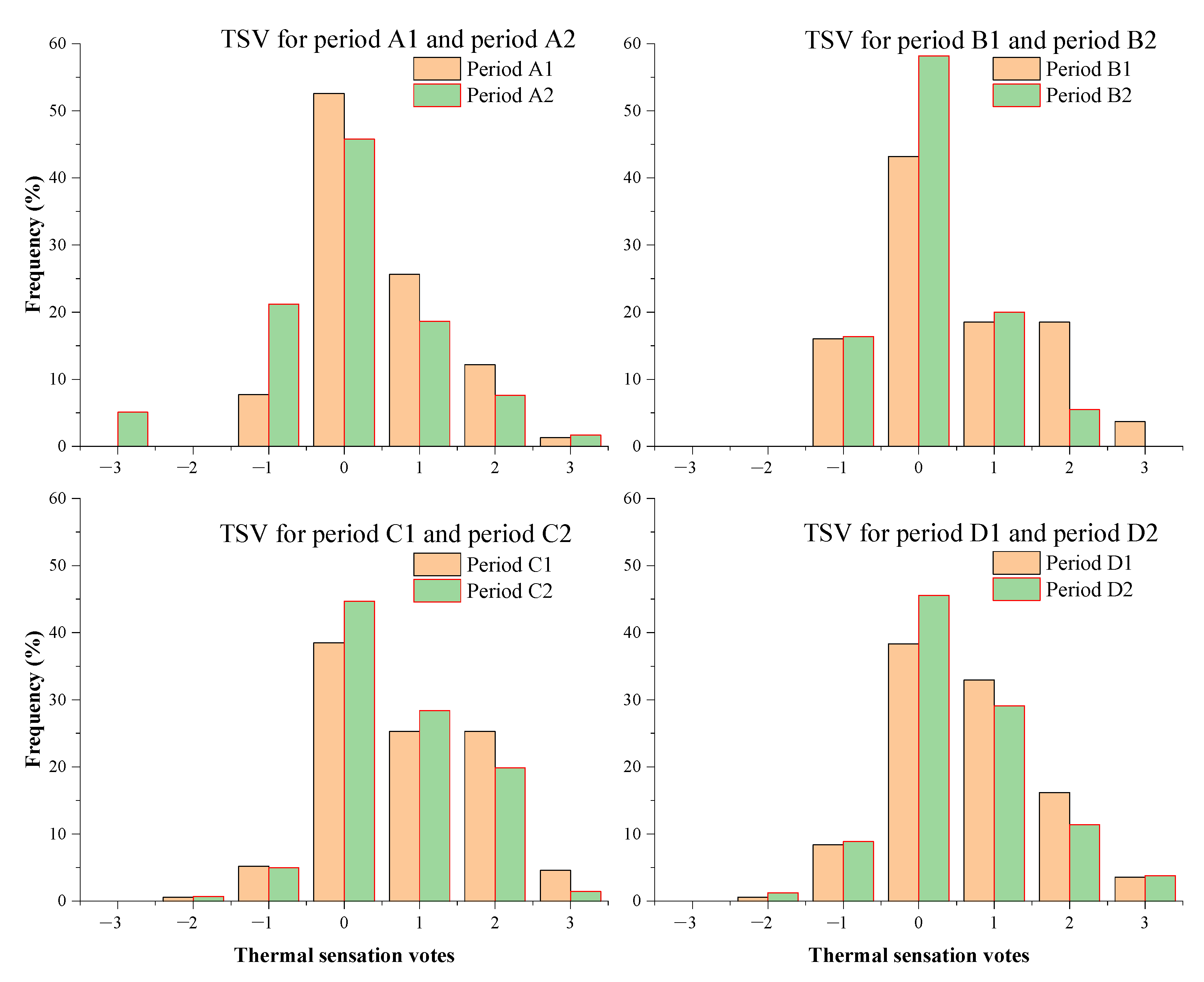
3.3.1. Thermal Sensation Votes
3.3.2. Thermal Preference Votes
3.3.3. Thermal Comfort Votes
3.4. Factors Influencing Thermal Perception
3.4.1. Outdoor Temperature and Indoor Operating Temperature
3.4.2. The Gender Influence
3.4.3. Food Consumption
3.4.4. Preclass Activities
3.5. Adaptive Behaviors
3.6. Energy-Saving Potential
3.7. Comparison with Previous Study
4. Conclusions
- The TSV value at the start of the class was significantly higher than that in the middle period of the class (the students’ thermal sensation gradually changed from slightly warm to neutral). The TSV and TPV values in the morning class were significantly lower than those in the afternoon class. The comfort level of the students decreased slightly as the class progressed. Moreover, the comfort level of the students in a warm environment was higher than that in a cool environment.
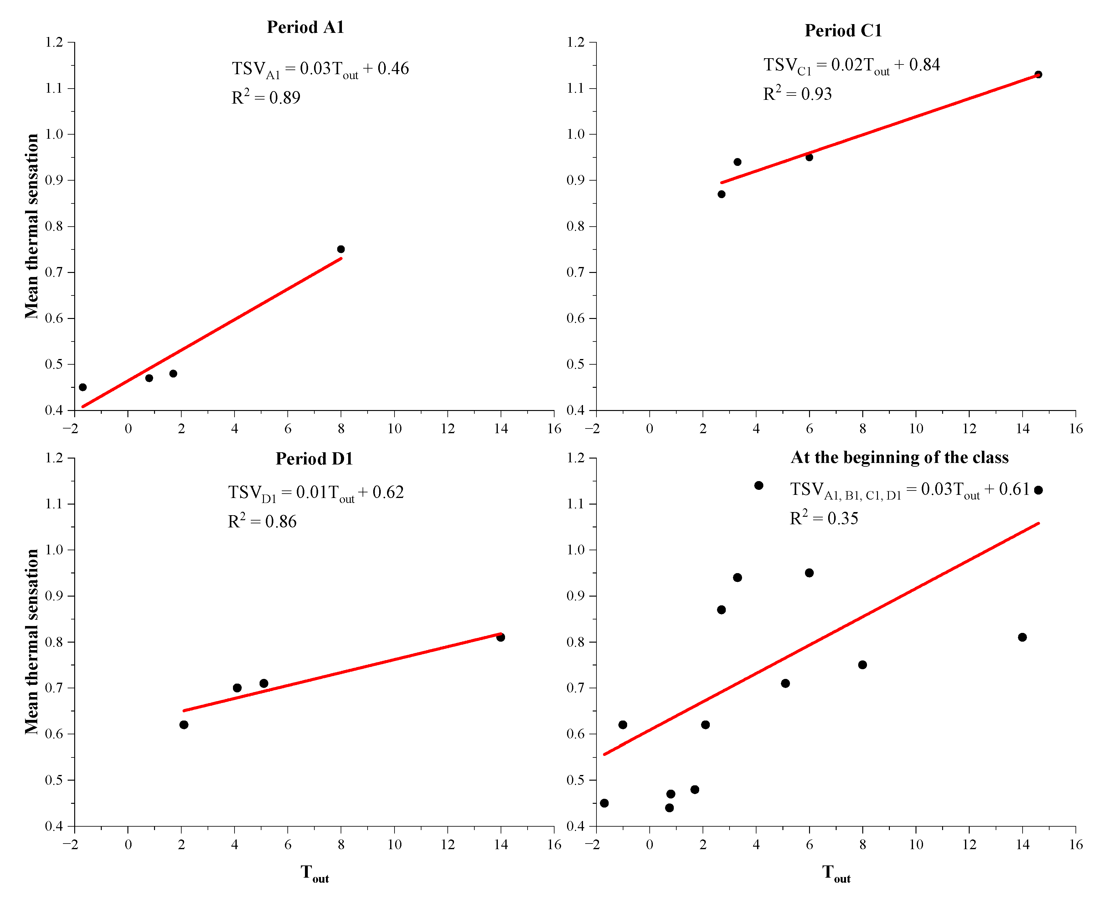
- At the start of the first class in the morning and afternoon, the thermal sensation of the students had the highest sensitivity to outdoor temperature changes. As the class progressed, the correlation between TSV and Top gradually became apparent. During periods A2, C2, and D2, the students’ thermal neutral temperatures were 18.7, 19.2, and 18.1 °C, respectively.
- At the start of the first class in the morning, food consumption had the greatest impact on the students’ thermal preference. At the start of the first class in the morning and afternoon, the students whose preclass activity status was resting had a lower level of comfort than those whose activity status was sports. This phenomenon was not observed in other periods.
- The frequency of adjusting clothes in the afternoon was greater than that in the morning. At the start of each class of the day, TSV did not significantly correlate with clothing value. In the morning class, TSV did not differ significantly between the students who did and did not adjust their clothing. However, in the afternoon class, the behavior of adjusting clothes significantly affected the students’ thermal sensation.
- Compared with the current classroom heating strategy, the heating strategy of dynamically adjusting the indoor set temperature according to the time-varying characteristics of the students can theoretically achieve energy savings of 25.6%.
Author Contributions
Funding
Institutional Review Board Statement
Informed Consent Statement
Data Availability Statement
Conflicts of Interest
References
- Jiang, J.; Wang, D.J.; Liu, Y.F.; Xu, Y.C.; Liu, J.P. A study on pupils’ learning performance and thermal comfort of primary schools in China. Build. Environ. 2018, 134, 102–113. [Google Scholar] [CrossRef]
- Jing, S.L.; Lei, Y.G.; Wang, H.J.; Song, C.F.; Yan, X.F. Thermal comfort and energy-saving potential in university classrooms during the heating season. Energy Build. 2019, 202, 109390. [Google Scholar] [CrossRef]
- Luo, X.; Liu, Y.F.; Liu, J.P.; Liu, X.J. Optimal design and cost allocation of a distributed energy resource (DER) system with district energy networks: A case study of an isolated island in the South China Sea. Sustain. Cities Soc. 2019, 51, 101726. [Google Scholar] [CrossRef]
- Zomorodian, Z.S.; Tahsildoost, M.; Hafezi, M. Thermal comfort in educational buildings: A review article. Renew. Sustain. Energy Rev. 2016, 59, 895–906. [Google Scholar] [CrossRef]
- Mishra, A.K.; Derks, M.T.H.; Kooi, L.; Loomans, M.G.L.C.; Kort, H.S.M. Analysing thermal comfort perception of students through the class hour, during heating season, in a university classroom. Build. Environ. 2017, 125, 464–474. [Google Scholar] [CrossRef]
- BS EN ISO 7730-2013; Ergonomics of the Thermal Environment (Analytical Determination and Interpretation of Thermal Comfort Using Calculation of the PMV and PPD Indices and Local Thermal Comfort Criteria). International Organization for Standardization: Geneva, Switzerland, 2013.
- Bs En 15251-2007; Indoor Environmental Input Parameters for Design and Indoor Air Quality, Thermal Environment, Lighting and Acoustics. British Standards Institution: London, UK, 2007; pp. 1–52.
- ANSI/ASHRAE Standard 55-2017; Thermal Environment Conditions for Human Occupancy. American Society of Heating, Refrigerating and Air-Conditioning Engineers: Atlanta, GA, USA, 2017.
- Cheung, T.; Schiavon, S.; Parkinson, T.; Li, P.X.; Brager, G. Analysis of the accuracy on PMV—PPD model using the ASHRAE Global Thermal Comfort Database II. Build. Environ. 2019, 153, 205–217. [Google Scholar] [CrossRef] [Green Version]
- Jowkar, M.; Rijal, H.B.; Montazami, A.; Brusey, J.; Temeljotov-Salaj, A. The influence of acclimatization, age and gender-related differences on thermal perception in university buildings: Case studies in Scotland and England. Build. Environ. 2020, 179, 106933. [Google Scholar] [CrossRef]
- Jowkar, M.; Rijal, H.B.; Brusey, J.; Montazami, A.; Carlucci, S.; Lansdown, T.C. Comfort temperature and preferred adaptive behaviour in various classroom types in the UK higher learning environments. Energy Build. 2020, 211, 109814. [Google Scholar] [CrossRef]
- Jiang, J.; Wang, D.J.; Liu, Y.F.; Di, Y.H.; Liu, J.P. A field study of adaptive thermal comfort in primary and secondary school classrooms during winter season in Northwest China. Build. Environ. 2020, 175, 106802. [Google Scholar] [CrossRef]
- Ma, S.N.; Guo, S.Y.; Zheng, D.Q.; Chang, S.Y.; Zhang, X.L. Roadmap towards clean and low carbon heating to 2035: A provincial analysis in northern China. Energy 2021, 225, 120164. [Google Scholar] [CrossRef]
- Liu, Y.F.; Wang, Y.X.; Luo, X. Design and Operation Optimization of Distributed Solar Energy System Based on Dynamic Operation Strategy. Energies 2021, 14, 69. [Google Scholar] [CrossRef]
- Luo, X.; Liu, J.P.; Liu, Y.F.; Liu, X.J. Bi-level optimization of design, operation, and subsidies for standalone solar/diesel multi-generation energy systems. Build. Environ. 2019, 48, 101592. [Google Scholar] [CrossRef]
- Luo, X.; Xia, J.W.; Liu, Y.F. Extraction of dynamic operation strategy for standalone solar-based multi-energy systems: A method based on decision tree algorithm. Sustain. Cities Soc. 2021, 70, 102917. [Google Scholar] [CrossRef]
- Raj, U.; Li, Z.Q.; Wang, F.M.; Yang, B. A study of thermal comfort enhancement using three energy-efficient personalized heating strategies at two low indoor temperatures. Build. Environ. 2018, 143, 1–14. [Google Scholar] [CrossRef]
- Liu, Y.; Zhou, W.H.; Luo, X.; Wang, D.J.; Hu, X.X.; Hu, L. Design and operation optimization of multi-source complementary heating system based on air source heat pump in Tibetan area of Western Sichuan, China. Energy Build. 2021, 242, 110979. [Google Scholar] [CrossRef]
- Luo, X.; Liu, Y.F. A multiple-coalition-based energy trading scheme of hierarchical integrated energy systems. Sustain. Cities Soc. 2021, 64, 102518. [Google Scholar] [CrossRef]
- Luo, X.; Liu, Y.F.; Feng, P.A.; Gao, Y.; Guo, Z.X. Optimization of a solar-based integrated energy system considering interaction between generation, network, and demand side. Appl. Energy 2021, 294, 116931. [Google Scholar] [CrossRef]
- Noda, L.; Lima, A.V.P.; Souza, J.F.; Leder, S.; Quirino, L.M. Thermal and visual comfort of schoolchildren in air-conditioned classrooms in hot and humid climates. Build. Environ. 2020, 182, 107156. [Google Scholar] [CrossRef]
- Buonocore, C.; de Vecchi, R.; Scalco, V.; Lamberts, R. Thermal preference and comfort assessment in air-conditioned and naturally-ventilated university classrooms under hot and humid conditions in Brazil. Energy Build. 2020, 211, 109783. [Google Scholar] [CrossRef]
- Liu, J.L.; Yang, X.; Jiang, Q.W.; Qiu, J.Y.; Liu, Y.H. Occupants’ thermal comfort and perceived air quality in natural ventilated classrooms during cold days. Build. Environ. 2019, 158, 73–82. [Google Scholar] [CrossRef]
- Singh, M.K.; Ooka, R.; Rijal, H.B.; Kumar, S.; Kumar, A.; Mahapatra, S. Progress in thermal comfort studies in classrooms over last 50 years and way forward. Energy Build. 2019, 188, 149–174. [Google Scholar] [CrossRef]
- Allab, Y.; Pellegrino, M.; Guo, X.F.; Nefzaoui, E.; Kindinis, A. Energy and comfort assessment in educational building: Case study in a French university campus. Energy Build. 2017, 143, 202–219. [Google Scholar] [CrossRef]
- Dahlan, N.D.; Gital, Y.Y.; Hussein, M.K. Determination of thermal sensation on transient conditions, ALAM CIPTA. Int. J. Sustain. Trop. Des. Res. Pract. 2015, 8, 3–9. [Google Scholar]
- Zeiler, W.; Boxem, G. Effects of thermal activated building systems in schools on thermal comfort in winter. Build. Environ. 2009, 44, 2308–2317. [Google Scholar] [CrossRef]
- Luo, X.; Liu, Y.F.; Liu, J.P.; Liu, X.J. Energy scheduling for a three-level integrated energy system based on energy hub models: A hierarchical Stackelberg game approach. Sustain. Cities Soc. 2020, 52, 101814. [Google Scholar] [CrossRef]
- Luo, X.; Liu, Y.F.; Liu, X.J. Bi-level multi-objective optimization of design and subsidies for standalone hybrid renewable energy systems: A novel approach based on artificial neural network. J. Build. Eng. 2021, 41, 102744. [Google Scholar] [CrossRef]
- Talukdar, M.S.J.; Talukdar, T.H.; Singh, M.K.; Baten, M.A.; Hossen, M.S. Status of thermal comfort in naturally ventilated university classrooms of Bangladesh in hot and humid summer season. J. Build. Eng. 2020, 32, 101700. [Google Scholar] [CrossRef]
- Fong, M.L.; Hanby, V.; Greenough, R.; Lin, Z.; Cheng, Y. Acceptance of thermal conditions and energy use of three ventilation strategies with six exhaust configurations for the classroom. Build. Environ. 2015, 94, 606–619. [Google Scholar] [CrossRef]
- Lau, S.S.Y.; Zhang, J.; Tan, Y.Q. A comparative study of thermal comfort in learning spaces using three different ventilation strategies on a tropical university campus. Build. Environ. 2019, 148, 579–599. [Google Scholar] [CrossRef]
- Raj, U.; Li, Z.; Ke, Y.; Wang, F.; Yang, B. Personal cooling strategies to improve thermal comfort in warm indoor environments: Comparison of a conventional desk fan and air ventilation clothing. Energy Build. 2018, 174, 439–451. [Google Scholar] [CrossRef]
- Song, C.; Duan, G.N.; Wang, D.J.; Liu, Y.F.; Du, H.; Chen, G.X. Study on the influence of air velocity on human thermal comfort under non-uniform thermal environment. Build. Environ. 2021, 196, 107808. [Google Scholar] [CrossRef]
- Song, W.F.; Wang, F.M.; Zhang, C.J.; Lai, D.D. On the improvement of thermal comfort of university students by using electrically and chemically heated clothing in a cold classroom environment. Build. Environ. 2015, 94, 704–713. [Google Scholar] [CrossRef]
- Jowkar, M.; de Dear, R.; Brusey, J. Influence of long-term thermal history on thermal comfort and preference. Energy Build. 2020, 210, 109685. [Google Scholar] [CrossRef]
- Ning, H.R.; Wang, Z.J.; Zhang, X.X.; Ji, Y.C. Adaptive thermal comfort in university dormitories in the severe cold area of China. Build. Environ. 2016, 99, 161–169. [Google Scholar] [CrossRef]
- Cao, B.; Zhu, Y.X.; Qin, O.Y.; Zhou, X.; Huang, L. Field study of human thermal comfort and thermal adaptability during the summer and winter in Beijing. Energy Build. 2011, 43, 1051–1056. [Google Scholar] [CrossRef]
- Guevara, G.; Soriano, G.; Mino-Rodriguez, I. Thermal comfort in university classrooms: An experimental study in the tropics. Build. Environ. 2021, 187, 107430. [Google Scholar] [CrossRef]
- Liu, X.J.; Liu, X.D.; Luo, X.; Wang, M.M.; Wang, B.J. Analysis of the influencing mechanism of command-and-control instruments on adopting energy consumption monitoring technology in public buildings. Int. J. Low-Carbon Technol. 2020, 15, 210–223. [Google Scholar] [CrossRef]
- China Meteorological Science Data Center. Hour-by-Hour Observation Data of China’s Ground Meteorological Stations. Available online: http://data.cma.cn (accessed on 1 January 2021).
- GB 50189-2015; Design Standard for Energy Efficiency of Public Buildings. Ministry of Housing and Urban-Rural Development of the People’s Republic of China: Beijing, China, 2015.
- BS EN ISO 7726-2001; Ergonomics of the Thermal Environment—Instruments for Measuring Physical Quantities. British Standards Institution: London, UK, 2001.
- Corgnati, S.P.; Ansaldi, R.; Filippi, M. Thermal comfort in Italian classrooms under free running conditions during mid seasons: Assessment through objective and subjective approaches. Build. Environ. 2009, 44, 785–792. [Google Scholar] [CrossRef]
- IBM SPSS Statistics 26. Available online: https://www.ibm.com/products/spss-statistics (accessed on 1 May 2019).
- Turanjanin, V.; Vuclcevic, B.; Jovanovic, M.; Mirkov, N.; Lazovic, I. Indoor CO2 measurements in Serbian schools and ventilation rate calculation. Energy 2014, 77, 290–296. [Google Scholar] [CrossRef]
- Wang, Z.; de Dear, R.; Luo, M.H.; Lin, B.R.; He, Y.D.; Ghahramani, A.; Zhu, Y.X. Individual difference in thermal comfort: A literature review. Build. Environ. 2018, 138, 181–193. [Google Scholar] [CrossRef]
- Jin, H.; Liu, S.Q.; Kang, J. Gender differences in thermal comfort on pedestrian streets in cold and transitional seasons in severe cold regions in China. Build. Environ. 2020, 168, 106488. [Google Scholar] [CrossRef]
- Chaudhuri, T.; Zhai, D.Q.; Soh, Y.C.; Li, H.; Xie, L.H. Random forest based thermal comfort prediction from gender-specific physiological parameters using wearable sensing technology. Energy Build. 2018, 166, 391–406. [Google Scholar] [CrossRef]
- Korsavi, S.S.; Montazami, A. Children’s thermal comfort and adaptive behaviours; UK primary schools during non-heating and heating seasons. Energy Build. 2020, 214, 109857. [Google Scholar] [CrossRef]
- Xu, C.C.; Li, S.H.; Zhang, X.S.; Shao, S.L. Thermal comfort and thermal adaptive behaviours in traditional dwellings: A case study in Nanjing, China. Build. Environ. 2018, 142, 153–170. [Google Scholar] [CrossRef]
- Kim, J.; de Dear, R. Thermal comfort expectations and adaptive behavioural characteristics of primary and secondary school students. Build. Environ. 2018, 127, 13–22. [Google Scholar] [CrossRef]
- Abdallah, A.S.H.; Hussein, S.W.; Nayel, M. The impact of outdoor shading strategies on student thermal comfort in open spaces between education building. Sustain. Cities Soc. 2020, 58, 102124. [Google Scholar] [CrossRef]
- Huang, Z.F.; Cheng, B.; Gou, Z.H.; Zhang, F. Outdoor thermal comfort and adaptive behaviors in a university campus in China’s hot summer-cold winter climate region. Build. Environ. 2019, 165, 106414. [Google Scholar] [CrossRef]
- EnergyPlus. Available online: www.github.com/NREL/EnergyPlus (accessed on 23 September 2021).
- Sun, Y.K.; Luo, X.; Liu, X.J. Optimization of a university timetable considering building energy efficiency: An approach based on the building controls virtual test bed platform using a genetic algorithm. J. Build. Eng. 2021, 35, 102095. [Google Scholar] [CrossRef]
- MATLAB. Available online: www.mathworks.cn/products/matlab (accessed on 6 December 2018).
- BCVTB. Available online: http://simulationresearch.lbl.gov/bcvtb (accessed on 13 February 2018).
- Wang, Z.; Li, A.; Ren, J.; He, Y. Thermal adaptation and thermal environment in university classrooms and offices in Harbin. Energy Build. 2014, 77, 192–196. [Google Scholar] [CrossRef]
- Wang, Z.; Ning, H.; Zhang, X.; Ji, Y. Human thermal adaptation based on university students in China’s severe cold area, Sci. Technol. Built. Environ. 2016, 23, 413–420. [Google Scholar] [CrossRef]
- Aparicio-Ruiz, P.; Barbadilla-Matin, E.; Guadix, J.; Munuzuri, J. A field study on adaptive thermal comfort in Spanish primary classrooms during summer season. Build. Environ. 2021, 203, 108089. [Google Scholar] [CrossRef]
- Gou, Z.; Gamage, W.; Lau, S.S.-Y.; Lau, S.S.-Y. An investigation of thermal comfort and adaptive behaviors in naturally ventilated residential buildings in tropical climates: A pilot study. Buildings 2018, 8, 5. [Google Scholar] [CrossRef] [Green Version]















| Parameters | Equipment | Model | Range | Accuracy |
|---|---|---|---|---|
| Air temperature and relative humidity | Temperature and humidity sensor | TR-72ui | Ta: −20–60 °C; RH: 0–95% | Ta: ±0.5 °C; RH: ±3% |
| Air velocity | Anemometer | ZRQF-F30 | 0.05–60 m/s | ±(0.04 U ± 0.05) |
| Globe temperature | Black-ball thermometer | TR102S | −100–400 °C | ±0.3 °C |
| CO2 concentration | CO2 analyzer | TES-1370 | 0–2000 ppm | ±1 ppm |
| Scale | TSV | TPV | TCV |
|---|---|---|---|
| 3 | Hot | Very uncomfortable | |
| 2 | Warm | Much Cooler | Uncomfortable |
| 1 | Slightly warm | Slightly Cooler | Slightly uncomfortable |
| 0 | Neutral | No change | Comfortable |
| −1 | Slightly cool | Slightly warmer | |
| −2 | Cool | Much warmer | |
| −3 | Cold |
| Sample | Male | Female | Age (Year) | Weight (kg) | Height (m) | BMI (kg/m2) | Clothing Insulation (clo) | ||
|---|---|---|---|---|---|---|---|---|---|
| Male | Female | ||||||||
| Period A | 156 | 112 | 44 | 19 (0.89) | 63.02 (12.04) | 1.73 (0.07) | 21.05 (3.33) | 1.40 (0.14) | 1.53 (0.15) |
| Period B | 81 | 33 | 48 | 19 (0.56) | 58.60 (11.60) | 1.70 (0.09) | 20.10 (2.48) | 1.47 (0.12) | 1.49 (0.12) |
| Period C | 174 | 99 | 75 | 19 (0.75) | 61.35 (11.92) | 1.71 (0.09) | 20.99 (3.27) | 1.38 (0.14) | 1.46 (0.16) |
| Period D | 167 | 79 | 88 | 19 (0.81) | 60.55 (10.89) | 1.70 (0.09) | 20.84 (2.87) | 1.39 (0.13) | 1.48 (0.15) |
| Tout (°C) | RHout (%) | Ta (°C) | Tg (°C) | Top (°C) | ∆T (°C) | RH (%) | CO2 (ppm) | ||
|---|---|---|---|---|---|---|---|---|---|
| Day 1 | Period A | 10.3 (1.1) | 70.7 (5.6) | 17.7 (1.3) | 18.8 (0.9) | 18.7 (0.9) | 8.4 | 38.9 (1.8) | 778 (142) |
| Period B | 12.0 (0.8) | 62.9 (2.5) | 20.5 (0.3) | 20.4 (0.2) | 20.4 (0.2) | 8.4 | 34.9 (0.7) | 736 (87) | |
| Period C | 15.0 (0.5) | 53.4 (1.3) | 21.0 (0.3) | 21.4 (0.2) | 21.4 (0.5) | 6.0 | 35.6 (0.7) | 880 (87) | |
| Period D | 13.7 (0.6) | 58.0 (2.7) | 21.7 (0.2) | 21.7 (0.5) | 21.7 (0.5) | 8.0 | 35.8 (1.8) | 947 (246) | |
| Day 2 | Period A | 2.2 (0.4) | 78.6 (1.4) | 18.9 (0.7) | 19.8 (0.2) | 19.8 (0.2) | 17.6 | 33.9 (1.5) | 738 (68) |
| Period B | 3.5 (0.2) | 70.0 (3.1) | 19.6 (0.3) | 19.9 (0.4) | 19.9 (0.4) | 16.4 | 31.6 (0.5) | 697 (73) | |
| Period C | 5.3 (0.7) | 60.9 (1.7) | 20.1 (0.3) | 20.8 (0.4) | 20.8 (1.3) | 15.5 | 34.5 (0.5) | 944 (73) | |
| Period D | 4.9 (0.5) | 63.3 (1.5) | 20.9 (0.2) | 20.6 (0.2) | 20.7 (0.2) | 15.8 | 32.2 (0.3) | 725 (52) | |
| Day 3 | Period A | 0.4 (0.3) | 80.5 (1.7) | 17.3 (0.8) | 17.8 (0.5) | 17.7 (0.5) | 17.3 | 33.2 (1.2) | 661 (54) |
| Period B | 1.4 (0.5) | 72.5 (2.3) | 19.7 (0.2) | 19.8 (0.5) | 19.8 (0.4) | 18.4 | 28.3 (2.5) | 643 (34) | |
| Period C | 2.2 (0.2) | 67.5 (1.1) | 19.4 (0.2) | 20.0 (0.5) | 20.0 (0.4) | 17.8 | 27.4 (2.5) | 596 (34) | |
| Period D | 2.0 (0.1) | 69.7 (0.8) | 19.2 (0.3) | 19.6 (0.2) | 19.6 (0.2) | 17.6 | 26.5 (0.6) | 717 (55) | |
| Day 4 | Period A | −1.1 (0.4) | 64.2 (1.5) | 22.3 (0.1) | 23.6 (0.2) | 23.6 (0.2) | 24.7 | 34.4 (1.0) | 543 (60) |
| Period B | 1.4 (1.1) | 56.6 (4.4) | 20.8 (2.0) | 21.9 (2.2) | 21.9 (2.2) | 20.5 | 32.7 (1.3) | 693 (150) | |
| Period C | 3.8 (0.7) | 44.5 (2.0) | 21.2 (2.0) | 22.3 (2.2) | 22.3 (0.5) | 18.5 | 30.4 (1.3) | 723 (150) | |
| Period D | 3.9 (0.4) | 44.4 (1.6) | 20.4 (0.4) | 21.4 (0.5) | 21.4 (0.5) | 17.5 | 25.9 (1.0) | 978 (56) |
| p | p | ||
|---|---|---|---|
| TSVA1 vs. TSVA2 | 0.001 | TSVB1 vs. TSVD1 | 0.158 |
| TSVB1 vs. TSVB2 | 0.047 | TSVC1 vs. TSVD1 | 0.174 |
| TSVC1 vs. TSVC2 | 0.170 | TSVA2 vs. TSVB2 | 0.555 |
| TSVD1 vs. TSVD2 | 0.041 | TSVA2 vs. TSVC2 | <0.001 |
| TSVA1 vs. TSVB1 | 0.965 | TSVA2 vs. TSVD2 | 0.002 |
| TSVA1 vs. TSVC1 | 0.001 | TSVB2 vs. TSVC2 | <0.001 |
| TSVA1 vs. TSVD1 | 0.032 | TSVB2 vs. TSVD2 | 0.020 |
| TSVB1 vs. TSVC1 | 0.018 | TSVC2 vs. TSVD2 | 0.261 |
| Day 1 | Day 2 | Day 3 | Day 4 | |||||||||
|---|---|---|---|---|---|---|---|---|---|---|---|---|
| TSV | TPV | TCV | TSV | TPV | TCV | TSV | TPV | TCV | TSV | TPV | TCV | |
| Period A1 | 0.75 (0.75) | −0.46 (0.64) | 0.20 (0.40) | 0.48 (0.93) | 0.03 (0.52) | 0.12 (0.33) | 0.47 (0.96) | −0.15 (0.68) | 0.22 (0.41) | 0.62 (0.93) | −0.25 (0.43) | 0.22 (0.48) |
| Period A2 | −0.38 (1.22) | −0.65 (0.83) | 0.31 (0.62) | 0.33 (1.21) | 0.04 (0.68) | 0.29 (0.45) | 0.30 (1.01) | −0.18 (0.66) | 0.36 (0.55) | 0.33 (0.57) | −0.22 (0.53) | 0.22 (0.42) |
| Period B1 | - | - | - | - | - | - | 0.70 (1.15) | −0.21 (0.66) | 0.15 (0.41) | 0.45 (0.93) | 0.10 (0.66) | 0.24 (0.43) |
| Period B2 | - | - | - | - | - | - | 0.08 (0.79) | −0.33 (0.61) | 0.18 (0.44) | 0.11 (0.60) | −0.13 (0.50) | 0.20 (0.54) |
| Period C1 | 1.13 (0.92) | 0.02 (0.61) | 0.26 (0.48) | 0.95 (1.17) | 0.08 (0.79) | 0.20 (0.40) | 0.87 (1.01) | 0.09 (0.75) | 0.35 (0.63) | 0.94 (1.11) | 0.19 (0.59) | 0.39 (0.55) |
| Period C2 | 0.49 (0.71) | 0.15 (0.62) | 0.32 (0.59) | 0.90 (0.80) | 0.00 (0.45) | 0.34 (0.54) | 0.45 (0.98) | −0.07 (0.74) | 0.31 (0.60) | 1.09 (1.10) | 0.30 (0.69) | 0.35 (0.63) |
| Period D1 | 0.75 (0.89) | −0.13 (0.77) | 0.37 (0.62) | 0.71 (0.97) | −0.02 (0.52) | 0.29 (0.51) | 0.62 (1.07) | −0.11 (0.80) | 0.54 (0.83) | 0.81 (0.97) | 0.36 (0.64) | 0.22 (0.71) |
| Period D2 | 0.42 (1.04) | −0.03 (0.65) | 0.58 (0.75) | 0.52 (0.90) | −0.12 (0.43) | 0.24 (0.51) | 0.64 (1.04) | 0.21 (0.77) | 0.57 (0.90) | 0.67 (0.82) | 0.00 (0.67) | 0.36 (0.42) |
| p | p | ||
|---|---|---|---|
| TPVA1 vs. TPVA2 | 0.157 | TPVB1 vs. TPVD1 | 0.448 |
| TPVB1 vs. TPVB2 | 0.164 | TPVC1 vs. TPVD1 | 0.106 |
| TPVC1 vs. TPVC2 | 0.899 | TPVA2 vs. TPVB2 | 0.435 |
| TPVD1 vs. TPVD2 | 0.785 | TPVA2 vs. TPVC2 | <0.001 |
| TPVA1 vs. TPVB1 | 0.163 | TPVA2 vs. TPVD2 | 0.002 |
| TPVA1 vs. TPVC1 | <0.001 | TPVB2 vs. TPVC2 | 0.001 |
| TPVA1 vs. TPVD1 | 0.012 | TPVB2 vs. TPVD2 | 0.024 |
| TPVB1 vs. TPVC1 | 0.025 | TPVC2 vs. TPVD2 | 0.329 |
| p | p | ||
|---|---|---|---|
| TCVA1 vs. TCVA2 | 0.083 | TCVB1 vs. TCVD1 | 0.023 |
| TCVB1 vs. TCVB2 | 0.723 | TCVC1 vs. TCVD1 | 0.324 |
| TCVC1 vs. TCVC2 | 0.761 | TCVA2 vs. TCVB2 | 0.084 |
| TCVD1 vs. TCVD2 | 0.724 | TCVA2 vs. TCVC2 | 0.886 |
| TCVA1 vs. TCVB1 | 0.823 | TCVA2 vs. TCVD2 | 0.336 |
| TCVA1 vs. TCVC1 | 0.080 | TCVB2 vs. TCVC2 | 0.064 |
| TCVA1 vs. TCVD1 | 0.009 | TCVB2 vs. TCVD2 | 0.023 |
| TCVB1 vs. TCVC1 | 0.107 | TCVC2 vs. TCVD2 | 0.389 |
| Period A1 | Period A2 | Period B1 | Period B2 | Period C1 | Period C2 | Period D1 | Period D2 | |
|---|---|---|---|---|---|---|---|---|
| Outdoor temperature vs. TSV | r = 0.964 | r = −0.854 | - | - | r = 0.975 | r = −0.399 | r = 0.951 | r = −0.880 |
| p = 0.036 | p = 0.146 | - | - | p = 0.025 | p = 0.601 | p = 0.049 | p = 0.120 | |
| Operating temperature vs. TSV | r = −0.463 | r = 0.891 | - | - | r = 0.156 | r = 0.909 | r = 0.628 | r = −0.988 |
| p = 0.537 | p = 0.109 | - | - | p = 0.844 | p = 0.041 | p = 0.372 | p = 0.012 |
| Period A1 (%) | Period B1 (%) | Period C1 (%) | Period D1 (%) | |
|---|---|---|---|---|
| Food consumption | ||||
| Hot | 66.67 | 38.27 | 67.82 | 36.75 |
| Cold | 4.49 | 11.11 | 32.18 | 7.23 |
| Hot and cold | 5.77 | 0 | 0 | 2.41 |
| Nothing | 23.08 | 50.62 | 0 | 53.61 |
| There is a class | ||||
| Yes | - | 75.64 | - | 78.92 |
| No | - | 24.36 | - | 21.08 |
| Active status | ||||
| Resting | 24.18 | 2.47 | 38.51 | 3.60 |
| Working | 49.67 | 90.12 | 39.08 | 89.82 |
| Sporting | 26.14 | 7.41 | 22.41 | 6.59 |
| Period A1 | Period A2 | Period B1 | Period B2 | Period C1 | Period C2 | Period D1 | Period D2 | |
|---|---|---|---|---|---|---|---|---|
| Hot/cold/nothing | p = 0.12 | p = 0.64 | p = 0.24 | p = 0.88 | p = 0.39 | p = 0.91 | p = 0.73 | p = 0.91 |
| Something/nothing | p = 0.48 | p = 0.90 | p = 0.37 | p = 0.90 | — | — | p = 0.43 | p = 0.79 |
| Thermal Adaptation Behavior | Frequency (%) | Cold Adaptation Behavior | Frequency (%) |
|---|---|---|---|
| Use an electric fan | 2.26 | Turn up the heating | 9.50 |
| Use a fan | 1.97 | Close the door | 18.01 |
| Open the door | 18.19 | Close the window | 20.57 |
| Open the window | 35.68 | Add clothes | 26.38 |
| Draw the curtains | 2.26 | Drink cold beverage | 17.16 |
| Reduce clothes | 33.85 | Use hand warmer | 8.37 |
| Drink hot beverage | 5.78 |
Publisher’s Note: MDPI stays neutral with regard to jurisdictional claims in published maps and institutional affiliations. |
© 2022 by the authors. Licensee MDPI, Basel, Switzerland. This article is an open access article distributed under the terms and conditions of the Creative Commons Attribution (CC BY) license (https://creativecommons.org/licenses/by/4.0/).
Share and Cite
Sun, Y.; Luo, X.; Ming, H. Analyzing the Time-Varying Thermal Perception of Students in Classrooms and Its Influencing Factors from a Case Study in Xi’an, China. Buildings 2022, 12, 75. https://doi.org/10.3390/buildings12010075
Sun Y, Luo X, Ming H. Analyzing the Time-Varying Thermal Perception of Students in Classrooms and Its Influencing Factors from a Case Study in Xi’an, China. Buildings. 2022; 12(1):75. https://doi.org/10.3390/buildings12010075
Chicago/Turabian StyleSun, Yongkai, Xi Luo, and Hui Ming. 2022. "Analyzing the Time-Varying Thermal Perception of Students in Classrooms and Its Influencing Factors from a Case Study in Xi’an, China" Buildings 12, no. 1: 75. https://doi.org/10.3390/buildings12010075
APA StyleSun, Y., Luo, X., & Ming, H. (2022). Analyzing the Time-Varying Thermal Perception of Students in Classrooms and Its Influencing Factors from a Case Study in Xi’an, China. Buildings, 12(1), 75. https://doi.org/10.3390/buildings12010075

