Cyclic Responses of Two-Side-Connected Precast-Reinforced Concrete Infill Panels with Different Slit Types
Abstract
:1. Introduction
2. Experimental Program
2.1. Specimen Details
2.2. Material Properties
2.3. Test Setup and Instrumentation
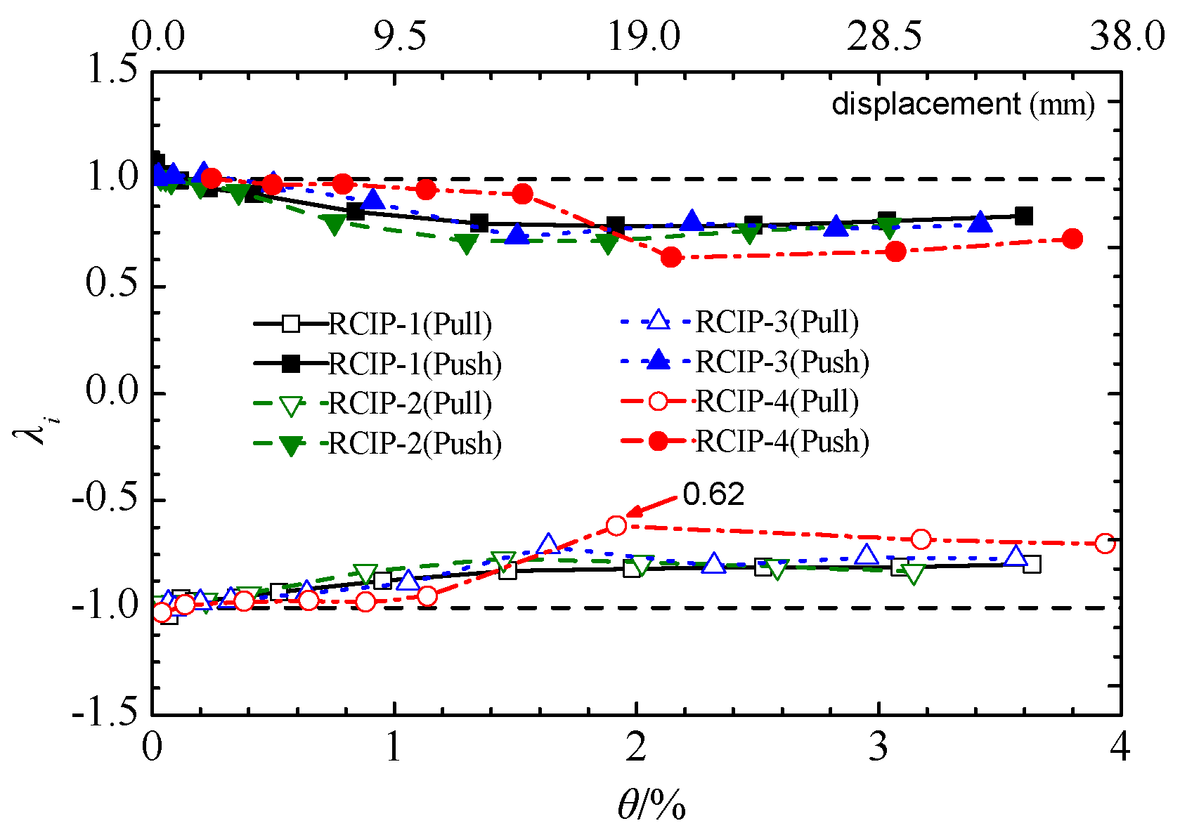
2.4. Loading Protocol
3. Test Results and Discussion
3.1. Damage and Failure Patterns
3.2. Lateral Load–Drift Ratio Hysteretic Response
3.3. Lateral Load–Drift Ratio Hysteretic Response
3.4. Initial Lateral Stiffness and Stiffness Degradation
3.5. Lateral Strength Degradation
3.6. Deformability and Ductility
3.7. Energy Dissipation Capacity
3.8. Interface Slip
4. Conclusions
- (1)
- The RCIP with penetrated slits, i.e., specimens RCIP-1 and RCIP-4, experienced ductile failure with the formation of flexural plastic hinges at both slit wall ends and the concrete strength and height-to-span ratio had no significant effect on the failure mode. The RCIPs with CVSs (RCIP-2) and CHSs (RCIP-3) showed a similar two-stage failure mode. During the first stage, the CVSs and CHSs were crushed. During the second stage, the main deformation mode changed from shear to flexure, and flexural plastic hinges were formed at slit wall ends.
- (2)
- The hysteretic loop shape of the two-side-connected RC panels showed significantly pinched and limited energy dissipation capacity, and the corresponding equivalent viscous damping ratios were lower than 0.2.
- (3)
- The RC panels had penetrated slits, CVSs, and CHSs, and they exhibited moderate deformability and ductility under cyclic shear, and the average ultimate drift ratios ranged from 1.41% to 1.99%. The lowest average ductility ratio was 2.48. The RC panels with CVSs and CHSs obtained a much larger initial lateral stiffness and lateral load-bearing capacity than that with penetrated slits.
- (4)
- With an increase in the concrete strength, the initial lateral stiffness and lateral load-bearing capacity of the RC panel increased.
- (5)
- At the same story height, the initial lateral stiffnesses and lateral load-bearing capacities of the RC panels with penetrated slits increased with increasing height-to-span ratios. However, their strength degradation became severe, and their deformation capacity and ductility decreased to some extent.
Author Contributions
Funding
Institutional Review Board Statement
Data Availability Statement
Conflicts of Interest
References
- Stafford-Smith, B. Behavior of Square Infilled Frames. J. Strut. Div. 1966, 92, 381–403. [Google Scholar] [CrossRef]
- Mallick, D.V.; Severn, R.T. Dynamic Characteristics of Infilled Frames. Proc. Inst. Civ. Eng. 1968, 39, 261–287. [Google Scholar] [CrossRef]
- Liauw, T.C. Test on Multistory Infilled Frames Subject to Dynamic Lateral Loading. ACI. J. 1979, 76, 551–564. [Google Scholar]
- Makino, M.; Kawano, A.; Kurobane, Y.; Saisho, M.; Yoshinaga, K. An investigation for the design of framed structures with infill walls. In Proceedings of the Seventh World Conference on Earthquake Engineering, Istanbul, Turkey, 8–13 September 1980; Volume 4, pp. 369–372. [Google Scholar]
- Liauw, T.C.; Kwan, K.H. Static and Cyclic Behavior of Multistory Infilled Frames with Different Interface Conditions. J. Sound. Vib. 1985, 99, 275–283. [Google Scholar] [CrossRef]
- Kwan, K.H.; Xia, J.Q. Shake-table Tests of Large-scale Shear Wall and Infilled Frame Models. Proc. Inst. Civ. Eng. Struct. Buid. 1995, 110, 66–77. [Google Scholar] [CrossRef] [Green Version]
- Hajjar, J.F. Composite Steel and Concrete Structural Systems for Seismic Engineering. J. Constr. Steel Res. 2002, 58, 703–723. [Google Scholar] [CrossRef]
- Tong, X.T.; Hajjar, J.F.; Schultz, A.E.; Shield, C.K. Cyclic Behavior of Steel Frame Structures with Composite Reinforced Concrete Infill Walls and Partially-restrained Connections. J. Constr. Steel Res. 2005, 61, 531–552. [Google Scholar] [CrossRef]
- Sun, G.H.; He, R.Q.; Gu, Q.; Fang, Y.Z. Cyclic Behavior of Partially-restrained Steel Frame with RC Infill Walls. J. Constr. Steel Res. 2011, 67, 1821–1834. [Google Scholar] [CrossRef]
- Peng, X.T.; Gu, Q. Seismic Behavior Analysis for Composite Structures of Steel Frame-reinforced Concrete Infill Wall. Struct. Des. Tall. Spec. 2013, 22, 831–846. [Google Scholar] [CrossRef]
- Sun, G.H.; Yang, W.C.S.; Gu, Q.; DesRoches, R.; Fang, Y.Z. Cyclic Test of Steel Frames with Concealed Vertical Slits in Reinforced Concrete Infill Wall. J. Struct. Eng. 2017, 143, 04017150. [Google Scholar] [CrossRef]
- Hou, H.T.; Chou, C.C.; Zhou, J.; Wu, M.L.; Qu, B.; Ye, H.D.; Liu, H.N.; Li, J.J. Cyclic Tests of Steel Frames with Composite Lightweight Infill Walls. Earthq. Struct. 2016, 10, 163–178. [Google Scholar] [CrossRef]
- Dall’Asta, A.; Leoni, G.; Morelli, F.; Salvatore, W.; Zona, A. An Innovative Seismic-resistant Steel Frame with Reinforced Concrete Infill Walls. Eng. Struct. 2017, 141, 144–158. [Google Scholar] [CrossRef]
- Olsen, E.C.; Billington, S.L. Cyclic Response of Precast High-performance Fiber-reinforced Concrete Infill Panels. ACI. Struct. J. 2011, 108, 51–60. [Google Scholar]
- Lignos, D.G.; Moreno, D.M.; Billington, S.L. Seismic Retrofit of Steel Moment-resisting Frames with High-performance Fiber-reinforced Concrete Infill Panels: Large-scale Hybrid Simulation Experimentas. J. Struct. Eng. 2014, 140, 04013072. [Google Scholar] [CrossRef]
- Muto, K.; Ohmori, N.; Takahashi, T. Study on Slitted Walls. Concr. J. 1974, 12, 15–25. (In Japanese) [Google Scholar]
- Lian, X.F.; Zou, C.Y. Test Research on the Working Behavior of RC Shear Panels with Vertical Seams under Low-cyclic Loading. J. Harbin Univ. Archit. Eng. 1996, 29, 31–36. [Google Scholar]
- Ye, L.P.; Wang, Z.H.; Kang, S.; Zhao, W.H.; Zeng, Y. Seismic Behavior and Analysis of Dual Function Slitted Shear Wall. J. Asian Archit. Build. 2002, 1, 29–37. [Google Scholar] [CrossRef]
- Zhao, W.; Tong, G.S.; Yang, Q.Y. Experimental Study on Seismic Behavior of Steel Frame with Prefabricated Reinforced Concrete Infill Slit Shear Walls. J. Build. Struct. 2013, 33, 140–146. (In Chinese) [Google Scholar]
- Sun, G.H.; Li, Q.C.; Gu, Q.; Yang, W.X. Performance Level Thresholds and Damage Evaluation for Composite Partially-restrained Steel Frame-reinforced Concrete Infill Wall with Concealed Vertical Slits. Bull. Earthq. Eng. 2017, 15, 3639–3672. [Google Scholar] [CrossRef]
- Sun, G.H.; Gu, Q.; Li, Q.C.; Fang, Y.Z. Experimental and Numerical Study on the Hysteretic Behavior of Composite Partially Restrained Steel Frame Reinforced Concrete Infill Walls with Vertical Slits. Bull. Earthq. Eng. 2018, 16, 1245–1272. [Google Scholar] [CrossRef]
- Wang, W.; Wang, X.X. Experimental and Numerical Study on Concentrated-hollow RC Shear Walls. Eng. Struct. 2021, 242, 112570. [Google Scholar] [CrossRef]
- FEMA 461. Interim Protocols for Determining Seismic Performance Characteristics of Structural and Nonstructural Components through Laboratory Testing; FEMA461 Draft Document; Federal Emergency Management Agency: Washington, DC, USA, 2007. [Google Scholar]
- FEMA 273. NEHRP Commentary on the Guidelines for the Rehabilitation of Buildings; Federal Emergency Management Agency: Washington, DC, USA, 1996. [Google Scholar]





















| Specimen | Slit Type | Thickness of Unpenetrated Slit, mm | Concrete Grade | Height-to-Span Ratio |
|---|---|---|---|---|
| RCIP-1 | Penetrated slit | 0 | C30 | 0.7 |
| RCIP-2 | Concealed vertical slit | 30 | C30 | 0.7 |
| RCIP-3 | Concealed hollow slit | 40 | C30 | 0.7 |
| RCIP-4 | Penetrated slit | 0 | C30 | 0.54 |
| Steel or Rebars | Actual Thickness or Diameter, mm | Yield Strength fy, MPa | Tensile Strength fu, MPa | Elongation at Fracture ε, % |
|---|---|---|---|---|
| Channel web | 5.10 | 333.4 | 405.6 | 24.3 |
| 4 mm steel wire | 4.17 | 270.5 | 465.2 | 11.3 |
| 6.5 mm steel rebar | 6.47 | 379.2 | 538.0 | 26.4 |
| Specimen | Loading Direction | Py (kN) | θy (%) | Pm (kN) | θm (%) | Pu (kN) | θu (%) | μ |
|---|---|---|---|---|---|---|---|---|
| RCIP-1 | + | 73.81 | 0.24 | 118.54 | 1.31 | 100.76 | 1.99 | 8.29 |
| − | 78.00 | 0.35 | 117.37 | 0.93 | 99.76 | 1.98 | 5.66 | |
| Average | 75.91 | 0.30 | 117.96 | 1.12 | 100.26 | 1.99 | 6.73 | |
| RCIP-2 | + | 130.75 | 0.42 | 176.62 | 0.71 | 150.13 | 1.45 | 3.45 |
| − | 122.97 | 0.13 | 193.57 | 0.84 | 164.53 | 1.37 | 10.54 | |
| Average | 126.86 | 0.28 | 185.01 | 0.78 | 157.33 | 1.41 | 5.13 | |
| RCIP-3 | + | 330.89 | 0.46 | 453.87 | 0.87 | 385.79 | 1.71 | 3.72 |
| − | 285.49 | 0.38 | 430.30 | 1.03 | 365.76 | 1.58 | 4.16 | |
| Average | 308.19 | 0.42 | 442.09 | 0.95 | 375.78 | 1.65 | 3.92 | |
| RCIP-4 | + | 651.11 | 0.93 | 868.14 | 1.48 | 737.92 | 2.19 | 2.35 |
| − | 624.20 | 0.55 | 900.45 | 1.11 | 765.38 | 1.48 | 2.69 | |
| Average | 637.66 | 0.74 | 884.30 | 1.30 | 751.65 | 1.84 | 2.48 |
Publisher’s Note: MDPI stays neutral with regard to jurisdictional claims in published maps and institutional affiliations. |
© 2021 by the authors. Licensee MDPI, Basel, Switzerland. This article is an open access article distributed under the terms and conditions of the Creative Commons Attribution (CC BY) license (https://creativecommons.org/licenses/by/4.0/).
Share and Cite
Sun, G.; Li, F.; Zhou, Q. Cyclic Responses of Two-Side-Connected Precast-Reinforced Concrete Infill Panels with Different Slit Types. Buildings 2022, 12, 16. https://doi.org/10.3390/buildings12010016
Sun G, Li F, Zhou Q. Cyclic Responses of Two-Side-Connected Precast-Reinforced Concrete Infill Panels with Different Slit Types. Buildings. 2022; 12(1):16. https://doi.org/10.3390/buildings12010016
Chicago/Turabian StyleSun, Guohua, Fei Li, and Qiyou Zhou. 2022. "Cyclic Responses of Two-Side-Connected Precast-Reinforced Concrete Infill Panels with Different Slit Types" Buildings 12, no. 1: 16. https://doi.org/10.3390/buildings12010016
APA StyleSun, G., Li, F., & Zhou, Q. (2022). Cyclic Responses of Two-Side-Connected Precast-Reinforced Concrete Infill Panels with Different Slit Types. Buildings, 12(1), 16. https://doi.org/10.3390/buildings12010016
