Abstract
Recently, hot stamping technology has been increasingly used in automotive structural parts with ultrahigh strength to meet the standards of both high fuel efficiency and crashworthiness. However, one issue of concern regarding these martensitic steels, which are fabricated using a hot stamping procedure, is that the steel is highly vulnerable to hydrogen delayed cracking caused by the diffusible hydrogen flow through the surface reaction of the coating in a furnace atmosphere. One way to make progress in understanding hydrogen delayed fractures is to elucidate an interaction for desorption with diffusible hydrogen behavior. The role of diffusible hydrogen on delayed fractures was studied for different baking times and temperatures in a range of automotive processes for hot-stamped martensitic steel with aluminum- and silicon-coated surfaces. It was clear that the release of diffusible hydrogen is effective at higher temperatures and longer times, making the steel less susceptible to hydrogen delayed fractures. Using thermal desorption spectroscopy, the phenomenon of the hydrogen delayed fracture was attributed to reversible hydrogen in microstructure sites with low trapping energy.
1. Introduction
The global trend of reducing carbon dioxide emissions from vehicles has focused on weight reduction in automobiles. Owing to legislative and customer demand, one significant issue involves weight reduction and crashworthiness properties [1,2]. Recently, hot stamping technology has been increasingly used in automotive structural parts with ultrahigh strength to meet the standards of both high fuel efficiency and crashworthiness [3]. Press-hardened steels are significant owing to their mechanical properties and convenience in fabrication using a hot stamping procedure. A common method of the hot stamping process is direct hot stamping, in which a blank is heated in a furnace, transferred to a press, and subsequently formed and quenched in a cooled die [4]. The full martensitic transformation after manufacturing causes an increase in the extremely high tensile strength. The current strength grade of conventional hot-stamped steel sheets is 1500 MPa, as seen in 22MnB5 steel [3]. Recently, it was reported that 1800-MPa-grade steel was commercialized to produce bumpers in some automotive components, and technical papers were published concerning the development of 2000-MPa-grade hot-stamped steel parts [5,6].
However, a major issue regarding martensitic steels above 1500 MPa that are fabricated using a hot stamping procedure is that they are highly vulnerable to hydrogen delayed cracking caused by the diffusible hydrogen flow through the surface reaction of the coating in a furnace atmosphere [7,8]. The hydrogen delayed fracture is a phenomenon in which a structural part suddenly fails after a time under constant stress. This results from the hydrogen introduced into the steel by the product fabrication process. In the case of the hot stamping process, hydrogen absorption through the coating system occurs during austenitization of the material owing to the presence of moisture in the annealing furnace. In particular, the majority of got formed parts are produced with a hot-dip aluminized coating whose main advantages are scale protection and a corrosion barrier effect. However, it has been reported that the hydrogen uptake must be considered during the hot stamping process with respect to different atmospheric sources on an aluminum coated surface [7].
An important aspect of this problem is the continuous evolution of the material during the hot stamping process. Hydrogen atoms are able to inflow owing to the influence of the dew point, the austenitizing temperature, and the holding time at the austenite temperature in the diffusible hydrogen content [8]. For safe usage, it is essential to improve the resistance by suppressing the hydrogen inflow from the surface and to remove the diffusible hydrogen in the final automobile products. A hydrogen delayed fracture generally involves a certain interaction between the microstructure, hydrogen absorption, and stress level [9,10,11]. The diffusion behavior of absorbed hydrogen is inhomogeneously distributed in the local microstructure of the material owing to the differences in diffusivity between its complex microstructural characteristics. This plays a role in unique failures resulting from the initiation of microcracks in highly concentrated levels of hydrogen and stress in localized regions such as grain boundaries [12].
Previous studies examined the mechanical strength with respect to the bake hardening effect on hot-pressed 22MnB5 steel used in the hot stamping process [13,14]. This effect is well-known as an improvement in mechanical strength was measured by means of side-crash simulations. The impact bar test was quantified, and the studies focused on aspects of the microstructure. Bake-hardened steels exhibit an increase in yield stress when exposed to temperatures of about 170 °C for 15 or 20 min, such as in the driers of automotive paint lines. This baking hardening process coincides with the tempering and low-temperature heat treatment in martensitic steels [15]. During heat treatment, carbons migrate to dislocations by fixing them. These are the so-called Cottrell atmospheres [16]. This influences the movement of dislocations and requires more effort to cause deformations. However, there is a lack of research on the hydrogen desorption behavior and hydrogen embrittlement properties depending on the baking conditions (including temperature and time parameters) in aluminized hot-press-formed steel with 1800-MPa-grade tensile strength [17].
In this respect, with regard to newly developed hot-stamped martensitic steels with 1800-MPa tensile strength, it is important to understand the diffusible hydrogen behavior for its usage in the automotive industry. To further tailor hot-stamped boron steels with martensitic steels and to ensure their safe usage, it is necessary to investigate the relationship between diffusible hydrogen and delayed fractures depending on the baking conditions and to establish optimum parameters for the baking procedure. In this study, the effect of baking on the desorption of diffusible hydrogen and delayed fracture properties after a hot stamping procedure on aluminum-coated martensitic steel with a tensile strength of 1800 MPa is investigated.
The purpose of this study is as follows: (1) Estimate the diffusible hydrogen inflow during the hot stamping procedure and the desorption behavior of hydrogen depending on the baking conditions, (2) examine the hydrogen embrittlement susceptibility under differential baking conditions after hot stamping, and (3) discuss the relationship between the baking conditions and delayed fractures by observing the fractography characteristics of hot-stamped boron steels. To elucidate the baking effect on the desorption of diffusible hydrogen and the improvement of hydrogen embrittlement in hot-stamped boron martensitic steels, we undertook field emission scanning electron microscopy (FE-SEM) observations combined with energy-dispersive spectroscopy (EDS), transmission electron microscopy (TEM) observations, a slow-strain-rate tensile test (SSRT) after hydrogen charging by controlling the furnace atmosphere during the hot stamping procedure, and a thermal desorption spectroscopy (TDS) analysis.
2. Materials and Methods
The investigated material is an aluminum-silicon-coated cold-rolled steel sheet. The chemical composition of this steel is presented in Table 1. For hot-press forming, Si, Cr, and Mn atoms are added owing to their quenchability, and the B atom plays a role as the strong element that retains the formation of the ferrite phase. Eventually, there is no ferrite when the blank transfers from the furnace to the hot stamping die.
Table 1.
Chemical composition of hot-press-formed steel (wt.%).
Cold-rolling to approximately 1.1 mm and a conventional coat protection consisting of 90 wt.% aluminum-10 wt.% silicon prevents scale formation on the surface during the direct hot-stamping process [18]. This coating plays the main role in preventing the formation of severe oxidation on the surface during the hot stamping procedure at temperatures above 950 °C. The microstructures of the coating before and after the hot stamping operations are presented in Figure 1. To transform the microstructure and the mechanical properties, two types of samples were studied: One in the shape of a Japanese Industrial Standards (JIG) 2201 No. 5 test piece used orthogonally in the direction of rolling as a tensile specimen with the milling method for the SSRT test, and the other a square of 300 × 300-mm sheet plates.
Figure 1.
Schematic diagram of hot stamping process and baking conditions.
These samples were austenized for 5 min at 950 °C while keeping the dew point at +5 °C in a furnace. To transform the microstructure and the dramatic hardness value, blanks were austenized for 5 min at 950 °C in a furnace made by Shin-Sung company in Korea. Then, the baking process was performed right after hot stamping. The conditions of baking were as follows: The differential temperatures were 100, 150, and 200 °C (labeled as specimens BH100, BH150, and BH200), and the differential times were 10, 20, and 30 min. Figure 1 shows the hot stamping and baking procedure.
A flat 2 mm × 2 mm specimen was placed in a heating room and heated in an infrared (IR) furnace under vacuum at 20 °C/min to a final temperature of 500 °C. The elevated temperature was recorded by several thermocouples located on the specimen surface. The released hydrogen atoms were detected by quadrupole mass spectroscopy made by PFEIPPER VACUUM company in Germany. The specimens were stored in a liquid nitrogen tank to maintain the charged hydrogen until the hydrogen level was estimated. All specimens were cleaned with ethanol and dried with air. The elevated temperature was recorded by several thermocouples attached to the quartz holder. The released hydrogen gas was carried and monitored by quadrupole mass spectroscopy made by PFEIPPER VACUUM company in Germany in a high-vacuum system. Hydrogen calibration of the TDS facility was performed using a standard-sample NIST 24a titanium alloy before estimating the hydrogen content.
The specimens were stored in a liquid nitrogen tank to retain the charged hydrogen for subsequent level estimation. All specimens were cleaned with ethanol and then air-dried. The hydrogen desorption curves are expressed in ppm/s as a function of the temperature expressed in °C. The reversible hydrogen content was quantified during the heating process by integrating the signal and calculating the accumulated hydrogen content from room temperature to 300 °C, which corresponds to the first peak of the desorption curve. The irreversible hydrogen was quantified from 300 °C to 500 °C, corresponding to the second peak at a higher temperature than the reversible hydrogen desorption range. TDS equipment was used to analyze the hydrogen concentration and elucidate the microstructure relationship by calculating the hydrogen trapping energy [19,20,21]. The reversible hydrogen content was quantified during the heating process by integrating the signal and calculating the accumulated hydrogen content released from room temperature to 300 °C, which corresponds to the first peak of the desorption curve.
In the case of SSRT, the dramatic variation in the fracture stresses and mechanical properties was quantified in terms of the degree of susceptibility to hydrogen delayed fractures. Based on the JIG 2201 No. 5 standard sample, the elongation in the tensile test was measured at a gauge length of 50 mm without any notching. SSRT for the hydrogen-charged tensile specimens was performed in an air atmosphere at room temperature using a universal tensile testing machine made by Zwick company in Austria [22]. The aluminum intermetallic coating on the surface of the examined samples delayed the diffusion and emission of hydrogen into and out of the specimens during subsequent mechanical tests. Thus, additional injections were not performed with the coating on the surface. The strain rate of the SSRT tests was 0.5 mm/min with a test velocity corresponding to 2.4 × 10−4 /s. The elongation loss, which indicates the degree of reduction in the total elongation after hydrogen charging, was estimated for all test samples depending on the baking conditions. After SSRT, the fracture surface was characterized using the FESEM.
3. Results
3.1. Microstructure and Coating
To analyze the martensitic phases, all specimens were etched in a Nital solution. Micrographs of the hot-stamped steels are shown in Figure 2 before and after the hot stamping procedure. As shown in Figure 2, the as-received initial cold-rolled blanks had a pearlitic-ferritic dual phase before the hot stamping procedure. In the furnace, the microstructure had an austenitic phase. The final automotive parts had a fully martensitic microstructure with a grade of 1800 MPa, and the Al–Si coating was fully transformed into Fex–Aly–(Si) compounds after hot stamping as shown in the Figure 3c,d. Table 2 lists the original mechanical properties with a typical tensile test in a specimen worked from the 300 × 300 sheet plates. The final specimens had a fully martensitic microstructure with a grade of 1800 MPa and an elongation with a value of about 8 El.%.
Figure 2.
Micrographs of microstructure and coating as hot stamping procedure: (a) Microstructure before hot stamping, (b) microstructure after hot stamping, (c) composition of coating layers before hot stamping and (d) composition of coating layers after hot stamping.
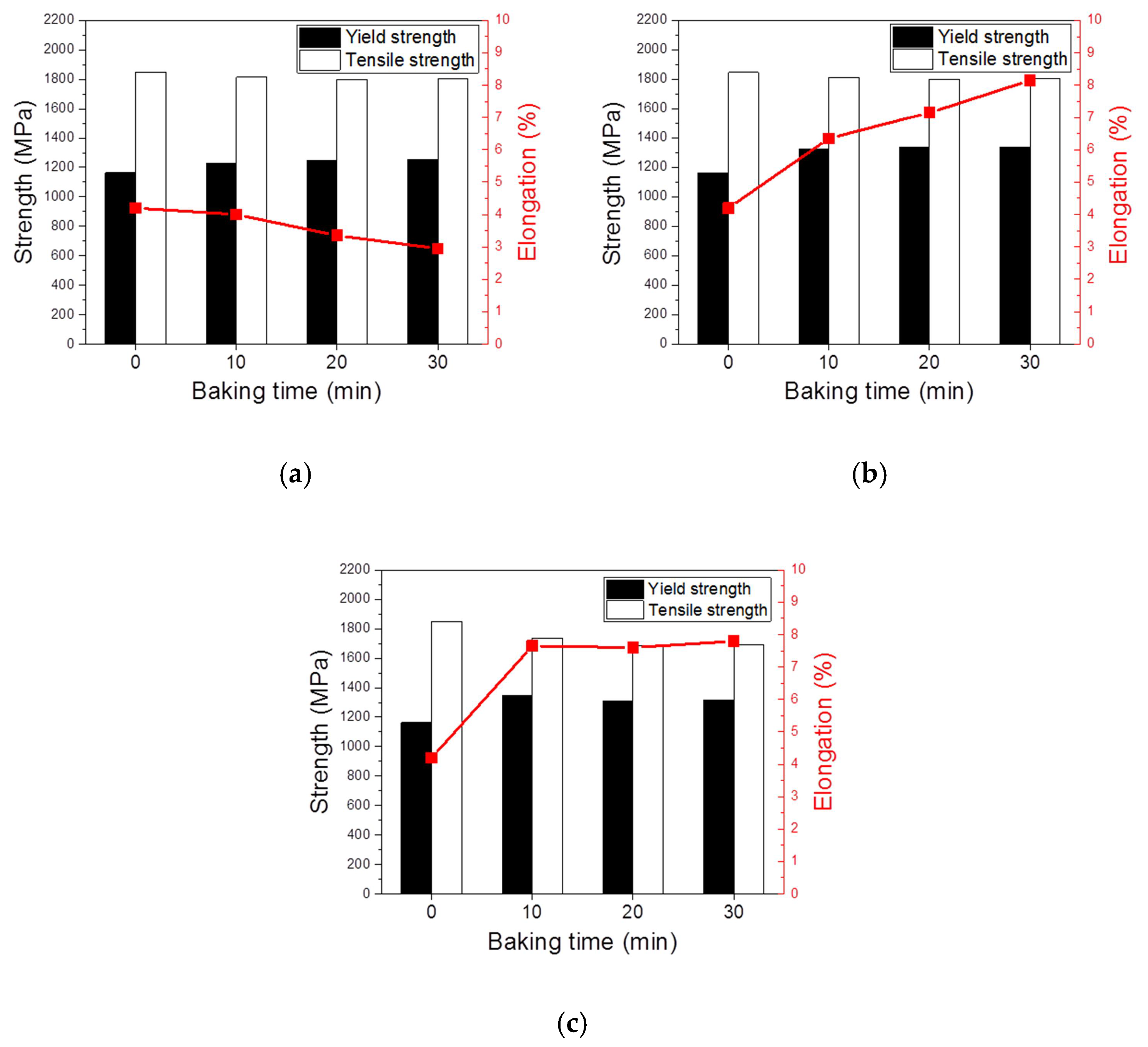
Figure 3.
Effect of baking on estimated stress-strain curve depending on temperature and time of baking: (a) BH100 conditions, (b) BH150 conditions, and (c) BH200 conditions.
Table 2.
Mechanical properties of base martensitic steel.
3.2. Baking Effect on Hydrogen Embrittlement based on SSRT Results
Right after the hot stamping and baking procedures, SSRTs were conducted for all specimens. Figure 3 shows the stress-strain values of SSRTs for the studied alloys and for differential baking conditions, and plots the actual estimated values of the yield strength, ultimate tensile strength, and elongation corresponding to the stress-strain curves for all specimens. The as-received alloys exhibited elongation reduction (4 El. %) with a hydrogen inflow right after hot stamping without an additional baking process, compared to the above 8%-El. % elongation value, whose specimen had no hydrogen inflow in the steels. Based on the estimated elongation values listed in Table 2, the tendency of elongation loss (El. loss), which indicates the degree of susceptibility of hydrogen embrittlement, was observed in the total elongation as a result of the baking conditions for each specimen.
Figure 3 shows the plots of the estimated elongation including the total elongations of those specimens that were charged with hydrogen in a furnace and those that were removed by the baking process. As shown in Figure 3, the BH100 conditions exhibited a reduction in the elongation loss after hydrogen charging from the identical to the as-received state. However, the BH150 and BH200 conditions exhibited a major increase in the elongation recovery, indicating a decrease in susceptibility to hydrogen embrittlement. When baking at 100 °C, as shown in Figure 3a, there was a slight loss of elongation as the baking time increased from 10 min to 30 min. The tensile strength had similar values for all baking times, and the yield strength increased depending on the baking time.
On the other hand, the BH150 conditions exhibited a proportional increase of reduction in elongation with similar tensile strength as shown in Figure 3b. In the case of the yield strength, the increase in this value occurred after baking for 10 min, but it maintained similar values as the baking time increased. In particular, as shown in Figure 3c, the BH200 conditions showed the most effective impact on the recovery of elongation with a short baking time of 10 min. The figure shows the original elongation in all conditions from 10 min to 30 min for the BH200 conditions. The yield strength increased with the same behavior shown in BH150 specimen, but there was some reduction in the ultimate tensile strength under the target value of 1800 MPa after baking for all specimens.
3.3. Baking Effect on Desorption of Diffusible Hydrogen based on TDS Results
In previous studies, it was reported that hydrogen uptake occurred during the hot stamping process [7,8]. In particular, hot-stamped steels with aluminum coating were considerably more sensitive to hydrogen inflow and hydrogen-induced delayed fractures with significant reductions in elongation and occurrence of plasticity. The significant hydrogen source is mainly affected by the moisture content by the dew point and the gas atmosphere in the furnace. In this study, the reactions of the Al–Si coating to the relationship with the moisture in the air atmosphere and hydrogen uptake in the furnace during the hot stamping process are as follows [7,8,23,24]:
2Al + 6H2O−→ 2Al(OH)3 + 6H,
2Al + 4H2O ↔ 2AlO(OH) + 6H,
2Al + 4H2O → 2Al2O3 + 6H,
Si + 2H2O → SiO2 + 6H.
To analyze the hydrogen inflow by these reactions in furnace conditions (temperature: 950 °C, dwell time: 5 min, and dew point: +5 °C), the TDS technique was performed right after the hot stamping and baking process. The TDS analysis was generally used to quantify and characterize the concentration and trapping behavior of hydrogen in the material. This consisted of measuring the amount of hydrogen that desorbed from the samples during continuous heating and isothermal holding. To investigate the relationship between the hydrogen solubility behavior, hydrogen concentration, and hydrogen charging time, the hydrogen desorption curves were converted to show the accumulated hydrogen content at each peak for all specimens, as shown in Figure 4. The hydrogen peaks of the desorption curves for all of the alloys occurred mainly at temperatures below 300 °C, indicating that the hydrogen atoms were weakly trapped in reversible trapping sites, such as the lattice, dislocation, and grain boundaries [25].
Figure 4.
Thermal desorption spectroscopy (TDS) graph of hydrogen desorption behavior corresponding to baking temperature: (a) BH100 specimens, (b) BH150 specimens, and (c) BH200 specimens.
TDS analysis is often performed to study the behavior of hydrogen trapping in steels. It is possible to estimate the diffusible hydrogen content and to separate the reversible and irreversible hydrogen depending on the temperature range of the desorption. The trap sites in steels are characterized by their binding energy for hydrogen. The diffusible hydrogen corresponding to reversible hydrogen sites with binding energies of <20 kJ/mol is usually considered as that with desorption temperatures. Meanwhile, irreversible hydrogen in immobile trapping sites is defined as that which desorbs from deep traps with binding energies of >60 kJ/mol [25] at high temperatures by acting as irreversible hydrogen trapping sites. For coherent particles, the high-tensile-stress field formation in the matrix surrounding the particle could be more significant in affecting the hydrogen trapping, depending on the level of coherency [26].
In our results, the reversible hydrogen content was mainly decreased by increasing the baking time and temperature, but the irreversible hydrogen content maintained a similar value regardless of the baking conditions for all specimens, as shown in Figure 4. For the BH100 specimens, no considerable difference in the hydrogen content appeared, and there was little desorption of hydrogen as the baking time increased, as shown in Figure 4a. The diffusible hydrogen in the BH150 specimens was released at a proportional tendency as the baking time increased from 10 min to 20 min compared with those under the BH100 conditions and the as-received specimens without baking. However, the desorption behavior between 20 min and 30 min was similar, with the same values of hydrogen content. The desorption behavior of diffusible hydrogen in the BH200 specimens indicated complete removal of the remaining hydrogen after baking regardless of the baking time, and it recovered up to non-charging cold-rolled specimen before hot stamping.
The hydrogen peaks of the desorption curves for all of the alloys occurred mainly at temperatures below 300 °C, acting as diffusible hydrogen with low activation energies. Table 3 and Figure 5 show the accumulated hydrogen content as separated into reversible trapping depending on the hydrogen charging conditions for all specimens below 300 °C. As shown in Figure 5a, the concentration of reversible hydrogen content is decreased by increasing the baking time and temperature compared with that (0.4 wppm) of the as-received state without the baking process. Figure 5b shows the ratio of remaining hydrogen compared with that of the as-received state. In the case of the BH100 conditions, the diffusible hydrogen concentration decreased slightly by up to 0.3 wppm with 80% remaining hydrogen after baking for 30 min. However, based on the SSRT tests, it was difficult for this desorption with a lower reduction of diffusible hydrogen to recover the elongation.
Table 3.
Concentration of diffusible hydrogen calculated from TDS graphs at 300 °C.
Figure 5.
Diffusible hydrogen behavior on baking conditions: (a) Diffusible hydrogen concentration estimated using TDS at 300 °C and (b) ratio of remaining diffusible hydrogen.
For the BH150 conditions, the diffusible hydrogen was proportionally reduced with an increase in baking time for 20 min and reached about 0.1 wppm, corresponding to a reduction in the remaining hydrogen with a value of about 20%. However, the hydrogen behavior after baking for 30 min was similar to that for 20 min of baking. For the BH200 specimens, the diffusible hydrogen under all baking times was completely removed up to about 0.05 wppm under remaining hydrogen of about 10%, corresponding to the cold-rolled state before hydrogen charging in a furnace. Based on the SSRTs, the recovery of the elongation reduction occurred completely in the BH200 specimens. This demonstrates that a short baking time at 200 °C is most effective for removing the diffusible hydrogen. However, baking at this temperature causes some reduction in the ultimate tensile strength under 1800 MPa, as shown in the above SSRT tests.
3.4. Effect of Baking Process and Hydrogen Embrittlement based on Fractography
Fractography is a common technique to elucidate a phenomenon from obtained results [27,28]. As shown in Figure 6, Figure 7, Figure 8 and Figure 9, the tensile fracture surface at the end of the samples is analyzed to observe the specimen rupture in all specimens. The SEM images that follow in Figure 6, Figure 7, Figure 8 and Figure 9 are arranged as follows: As-received state without baking process, BH100 specimens, BH150 specimens, and BH200 specimens. Figure 6 shows the as-received specimens, indicating the brittle fracture surface where hydrogen embrittlement plays the main role. This exhibits typically localized brittle fracture modes including mainly cleavage and intergranular fractures from the surface with an obvious difference between the ductile and brittle deformation modes.
Figure 6.
Fractography of slow-strain-rate tensile test (SSRT) specimens after tensile test of as-received state right after hot stamping process: (a) Brittle section of fracture surface and (b) enlarged section.
Figure 7.
Fractography of SSRT specimens after tensile test of BH100 specimens after hot stamping and baking process: (a) Brittle section of fracture surface and (b) enlarged section in BH100 at 10 min, (c) brittle section of fracture surface and (d) enlarged section in BH100 at 20 min, and (e) brittle section of fracture surface and (f) enlarged section in BH100 at 30 min.
Figure 8.
Fractography of SSRT specimens after tensile test of BH150 specimens after hot stamping and baking process: (a) Brittle section of fracture surface and (b) enlarged section in BH150 at 10 min, (c) brittle section of fracture surface and (d) enlarged section in BH150 at 20 min, and (e) brittle section of fracture surface and (f) enlarged section in BH150 at 30 min.
Figure 9.
Fractography of SSRT specimens after tensile test of BH200 specimens after hot stamping and baking process: (a) Brittle section of fracture surface and (b) enlarged section in BH200 at 10 min, (c) brittle section of fracture surface and (d) enlarged section in BH200 at 20 min, and (e) brittle section of fracture surface and (f) enlarged section in BH200 at 30 min.
It can be observed in Figure 6a that there is a strong tendency between diffusible hydrogen and hydrogen embrittlement as it is all brittle-intergranular showing the severity of degradation. This is significantly related to segregation and pile-up hydrogen concentration at strong reversible trap sites such as the austenite grain boundary, as shown in Figure 6b. This mainly signifies that the crack initiation and propagation procedure in martensitic steels are entirely hydrogen-facilitated. The most pronounced portion of intergranular fractures occurs with a hairline crack in the crack initiation regions.
Figure 7 shows similar behavior as that of the as-received specimen regardless of baking time in the BH100 specimens, and crack propagation along mainly intergranular fractures with many brittle facets, as shown in Figure 7a,c,e. It seems that there is no strain of grain shape because this sample is cracking under elastic stress. In martensitic steels, the intergranularity combined with quasi-cleavage features are dominant, and flat facets of grains mixed with cleavage are also observed in some regions. Thus, crack initiation and propagation occur under the influence of combined diffusible hydrogen and the stress field in localized regions. As shown in Figure 7b,d,f, the same fracture behavior with intergranular facets and hairline cracks in boundaries is observed for different baking times from 10 to 30 min. This indicates that the BH100 specimens and their conditions are not effective for improving the hydrogen embrittlement in this study.
Meanwhile, the BH150 specimens show a threshold baking time in the ductile-to-brittle transition depending on the increase in baking time, as shown in Figure 8. The BH150 specimen at 10 min shows a still-brittle region in the fracture surface, as shown in Figure 8a,b. It appears that the remaining diffusible hydrogen plays a role in the embrittlement in this range of hydrogen concentration. However, in the BH150 specimen at 20 min, a transition of fractography was observed with mainly ductile fractures and microvoid ductile occurrences even though the remaining hydrogen existed at about 20%, as shown in Figure 8c. This indicates a mixed mode of microvoid coalescence, with several large flat regions connected to small areas of small ductile dimples, as shown in Figure 8d.
In addition, the fracture surface of the BH150 specimen at 30 min displays numerous ductile dimples and a small amount of cleavage. This is a similar tendency to the BH150 specimen at 20 min, as shown in Figure 8e,f. Additionally, the crack stabilization region from the center to the edge areas primarily displays microvoid coalescence failure with a ductile dimple. This indicates that the reduction of diffusible hydrogen is effective to generate unusual crack propagation that can stabilize the hydrogen movement and prevent brittle failure during tensile testing by glide plane decohesion, as observed under these conditions.
The BH200 specimens exhibit total recovery with the usual ductile fracture mode at all baking times, as shown in Figure 9. The BH200 specimen in a range of 10 min to 30 min shows no brittle region in any region of the fracture surface, as shown in Figure 9a,c,e. In total conditions of the BH200 specimen, a typical ductile-fracture fine dimple in ultrahigh strength steel without a brittle region in the fracture surface is shown in Figure 9b,d,f. It seems that the removal of diffusible hydrogen under 10% is effective to prevent delayed fractures and plays no role in embrittlement in this range of hydrogen concentration.
4. Discussion
In previous studies, many effects of baking on microstructures were examined. During the baking process, some precipitations of fine ε-carbides (Fe2.4C) consumes solute carbon. Thus, the lattice strains of tetragonal martensite decrease in low-temperature baking processes such as during a tempering effect of 170 °C/20 min [29,30,31]. Similar results were reported for martensitic C–Mn steels tempered at 200 °C for just 3 min [32]. Since the tensile strength of as-quenched martensite strongly contributes to the amount of carbon, it can be expected that a higher carbon content of steel leads to a greater decrease in the tensile strength during paint baking.
The softening of martensite that occurs during the baking process can be evaluated by comparing the ultimate tensile strength values [33]. Our results show a clear decrease in the Rm values owing to baking under some conditions. This phenomenon can also affect the improvement of hydrogen embrittlement owing to the baking process. However, it is difficult to demonstrate the movement of solute carbon and the reduction of dislocation density in terms of observation of microscopic techniques. Figure 10 shows TEM images of the as-received specimen without baking and the specimen after the baking cycle. It is difficult to observe a meaningful difference depending on the baking as shown in Figure 10b compared with the as-received specimen shown in Figure 10a.
Figure 10.
Transmission electron microscopy (TEM) images of martensitic steel: (a) As-received specimen after hot stamping and (b) specimen after baking process in BH150 for 20 min.
In this study, the hydrogen desorption behavior was examined with respect to its relationship with hydrogen embrittlement rather than from the microscopic aspect. However, it is important to examine the relationship between the two parameters in order to explain the results of the hydrogen desorption behavior. First, the BH100 specimens showed a slight reduction of elongation although the diffusible hydrogen content decreased slightly as the baking time increased. It is assumed that baking at this temperature causes the movement of diffusible hydrogen to defect sites. In addition, there is no decrease in tensile strength at this temperature, which means that the diffusion of carbon solute and release of dislocations rarely occur [34,35]. Based on these results, the BH100 conditions are not effective in improving the hydrogen embrittlement phenomenon.
Second, the BH150 specimens showed a proportional decrease in hydrogen content and a similar reduction in the ultimate tensile strength. The effective remaining hydrogen was 0.1 wppm, and an increase in baking time caused a baking hardening effect in the BH150 specimens. Therefore, in the case of the BH150 conditions, the removal of diffusible hydrogen and the baking hardening effect interact to improve the hydrogen embrittlement property. Third, the BH200 conditions showed complete recovery of elongation regardless of baking time, but the ultimate tensile strength decreased when the baking time increased. The diffusible hydrogen was totally removed in just 10 min. This means that the removal of diffusible hydrogen at this temperature is more effective than the effect of baking hardening.
In hydrogen embrittlement, the concentration of dislocations and the localized trapped hydrogen causes fractures along the prior austenite grain boundaries and slip planes of martensitic crystals [36]. It is hypothesized that brittle cracks are the initial source of cracks owing to the high local hydrogen conditions that are hydrogen distribution during deformation. It is also hypothesized that hydrogen accumulation in the necking region during deformation surrounding edge cracks results in mixed quasi-cleavage, and that intergranular fractures are caused by intense shear hand localization, which is reliant upon a local hydrogen concentration high enough to activate the hydrogen-induced localized plasticity mechanism [26,37]. It is mainly assumed that most cases of quasi-cleavage are reliant on a long range of hydrogen diffusion during deformation owing to the need to accumulate hydrogen to activate hydrogen-induced localized plasticity. Purely ductile void coalescence regions were hypothesized to for last, owing to shear overload once the cross section is reduced sufficiently from the surface edge cracks, and the extension of the mixed regions [26].
For these reasons, the relationship between the diffusible hydrogen and dislocation behavior is important in understanding the baking effect and its improvement of hydrogen embrittlement as shown in this study. We can assume that the optimum baking process for recovering the degradation of hydrogen embrittlement and maintaining desired mechanical properties is 150 °C for 20 min, which is the same condition as in paint baking on automobile lines.
5. Conclusions
With regard to newly developed hot stamped martensitic steels with 1800-MPa tensile strength, it is important to understand diffusible hydrogen behavior for its usage in the automotive industry. To further tailor hot-stamped boron steels with a martensitic microstructure and diffusible hydrogen and to ensure their safe usage, it is necessary to investigate the relationship of diffusible hydrogen and delayed fractures depending on the baking condition, and to establish optimum parameters for baking procedures. In this study, the effect of baking on the desorption of diffusible hydrogen and delayed fracture properties after a hot stamping procedure on aluminum-coated martensitic steel with a tensile strength of 1800 MPa was investigated. The following conclusions were drawn with regard to the effect of baking aluminized hot-stamped steel by using hydrogen evaluation and analysis techniques with data obtained from experimental investigations:
- (1)
- The BH100 conditions exhibited a reduction in the elongation loss after hydrogen charging from the identical to the as-received state. However, the BH150 and BH200 conditions exhibited a major increase in the elongation recovery, indicating a decrease in susceptibility to hydrogen embrittlement.
- (2)
- In the BH100 specimens, no considerable difference in the hydrogen content appeared, and there was little desorption of hydrogen as the baking time increased. For the BH150 conditions, the diffusible hydrogen was proportionally reduced as the baking time increased. The desorption behavior of diffusible hydrogen in the BH200 specimens showed complete removal of the remaining hydrogen after baking regardless of baking time, and it recovered to a noncharging cold-rolled specimen before hot stamping.
- (3)
- The softening of martensite that occurred in the baking process can be evaluated by comparing the ultimate tensile strength values. Our results showed a clear decrease in the ultimate tensile strength values owing to baking under some conditions. This phenomenon can also affect the improvement of hydrogen embrittlement owing to the baking process.
- (4)
- The relationship between diffusible hydrogen and dislocation behavior is important in understanding the baking effect and its improvement of hydrogen embrittlement as shown in this study. It is assumed that the optimum baking process for recovering the degradation of hydrogen embrittlement and maintaining the desired mechanical properties occurs at 150 °C for 20 min. This is the same condition as in paint baking on automobile lines.
Author Contributions
H.-J.K., H.-K.P., and C.-W.L., conceived and designed the experiments; H.-J.K. wrote the paper; B.-G.Y. designed materials; H.-J.K. and H.-K.P. performed the experiments; H.-Y.J. proofread English error and revised the manuscript.
Funding
The APC was autonomously funded by Hyundai-Steel company.
Acknowledgments
This work has been studied by the research and development centers of the Hyundai Steel and Hyundai Motor companies in the Republic of Korea.
Conflicts of Interest
The authors declare no conflict of interest. The sponsor had no role in the design of the study; in the collection, analyses, or interpretation of data; in the writing of the manuscript; or in the decision to publish the results.
References
- Takahashi, M. Sheet steel technology for the last 100 years: Progress in sheet steels in hand with the automobile industry. ISIJ Int. 2015, 55, 79–88. [Google Scholar] [CrossRef]
- Chamisa, A. Development of Ultra High Strength Steels for Reduced Carbon Emissions in Automotive Vehicles. In Project Outlines; Chamisa, A., Ed.; University of Sheffield: Sheffield, UK; University of Manchester: Manchester, UK, 2010; p. 11. [Google Scholar]
- Karbasian, H.; Tekkaya, A. A review on hot taming. J. Mater. Process. Technol. 2010, 210, 2103–2118. [Google Scholar] [CrossRef]
- Bian, J.; Mohrbacher, H. Novel alloying design for press hardening steels with better crash performance. In Proceedings of the International Symposium on New Developments in Advanced High-Strengh sheet steels, Orlando, FL, USA, 15–18 June 2008; pp. 199–207. [Google Scholar]
- Hikida, K.; Nishibata, T.; Kikuchi, H.; Suzuki, T.; Nakayama, N. Development of TS1800MPa Grade Hot Stamping Steel Sheet. Mater. Jpn. 2013, 52, 68–70. [Google Scholar] [CrossRef]
- Tokizawa, A.; Yamamoto, K.; Takemoto, Y.; Senuma, T. Development of 2000 MPa Claass Hot Stamped steel Components with Good Toughness and High Resistance against Delayed Fracture. In Proceedings of the 5th International Conference Hot Sheet Metal Forming of High-Performance Steel, Toronto, ON, Canada, 31 May 2015; pp. 27–35. [Google Scholar]
- Georges, C.; Sturel, T.; Drillet, P.; Mataigne, J.M. Absorption/desorption of diffusible hydrogen in aluminized boron steel. ISIJ Int. 2013, 53, 1295–1304. [Google Scholar] [CrossRef]
- Cho, L.; Sulistiyo, D.H.; Seo, E.J.; Jo, K.R.; Kim, S.W.; Oh, J.K.; Cho, Y.R.; De Cooman, B.C. Hydrogen absorption and embrittlement of ultra high strength aluminized press hardening steel. Mater. Sci. Eng. A 2018, 734, 416–426. [Google Scholar] [CrossRef]
- Takai, K.; Watanuki, R. Hydrogen in trapping states innocuous to environmental degradation of high-strength steels. ISIJ Int. 2003, 43, 520–526. [Google Scholar] [CrossRef]
- Takai, K.; Shouda, H.; Suzuki, H.; Nagumo, M. Lattice defects dominating hydrogen-related failure of metals. Acta Mater. 2008, 56, 5158–5167. [Google Scholar] [CrossRef]
- Liu, Q.; Venezuela, J.; Zhang, M.; Zhou, Q.; Atrens, A. Hydrogen trapping in some advanced high strength steels. Corros. Sci. 2016, 111, 770–785. [Google Scholar] [CrossRef]
- Djukic, M.B.; Zeravcic, S.; Bakic, V.G.; Sedmak, A.; Rajicic, B. Hydrogen embrittlement of low carbon structural steel. Proced. Mater. Sci. 2014, 3, 1167–1172. [Google Scholar] [CrossRef]
- Järvinen, H.; Honkanen, M.; Järvenpää, M.; Peura, P. Effect of paint baking treatment on the properties of press hardened boron steels. J. Mater. Process. Technol. 2018, 252, 90–104. [Google Scholar] [CrossRef]
- Castro, M.R.; Monteiro, W.A.; Politano, R. Enhancements on strength of body structure due to bake hardening effect on hot stamping steel. Int. J. Adv. Manuf. Technol. 2019, 100, 771–782. [Google Scholar] [CrossRef]
- Kantereit, H. Baking Hardening Behavior of Advanced High Strength Steels under Manufacturing Conditions. In Proceedings of the SAE Technical Paper, Paris, France, 1 January 2011. [Google Scholar]
- Baker, L.J.; Daniel, S.R.; Parker, J.D. Metallurgy and processing of ultra low carbon bake hardening steels. Mater. Sci. Technol. 2002, 18, 355–368. [Google Scholar] [CrossRef]
- Zhang, T.; Hui, W.; Zhao, X.; Wang, C.; Dong, H. Effects of Hot Stamping and Tempering on Hydrogen Embrittlement of a Low-Carbon Boron-Alloyed Steel. Materials 2018, 11, 2507. [Google Scholar] [CrossRef]
- Borsetto, F.; Ghiotti, A.; Bruschi, S. Investigation of the high strength steel Al-Si coating during hot stamping operations. Key Eng. Mater. Trans. Tech. Publ. 2009, 410, 289–296. [Google Scholar] [CrossRef]
- Grabke, H.; Gehrmann, F.; Riecke, E. Hydrogen in microalloyed steels. Steel Res. 2001, 72, 225–235. [Google Scholar] [CrossRef]
- Wei, F.G.; Tsuzaki, K. Quantitative analysis on hydrogen trapping of TiC particles in steel. Metall. Mater. Trans. A 2006, 37A, 331–353. [Google Scholar] [CrossRef]
- Nagao, A.; Martin, M.L.; Dadfarnia, M.; Sofronis, P.; Robertson, I.M. The effect of nanosized (Ti, Mo) C precipitates on hydrogen embrittlement of tempered lath martensitic steel. Acta Mater. 2014, 74, 244–254. [Google Scholar] [CrossRef]
- American Society for Testing and Materials. Standard Practice for Slow Strain Rate Testing to Evaluate the Susceptibility of Metallic Materials to Environmentally Assisted Cracking; ASTM G129: West Conshohocken, PA, USA, 2013. [Google Scholar]
- Petrovic, J.; Thomas, G. Reation of Aluminium with Water to Produce Hydrogen; US Department of Energy: Washington, DC, USA, 2008; pp. 1–26.
- Bangyikhan, K. Effects of Oxide film, Fe-Rich Phase, Porositiy and their Interactions on Tensile Properties of Cast Al-Si-Mg Alloys. Ph.D. Thesis, Univeristy of Birmingham, Birmingham, UK, 2005. [Google Scholar]
- Kim, H.J.; Jeon, S.H.; Yang, W.S.; Yoo, B.G.; Chung, Y.D.; Ha, H.Y.; Chung, H.Y. Effects of titanium content on hydrogen embrittlement susceptibility of hot-stamped boron steels. J. Alloy. Compd. 2018, 735, 2067–2080. [Google Scholar] [CrossRef]
- Nagao, A.; Smith, C.D.; Dadfarnia, M.; Sofronis, P.; Robertson, I.M. The role of hydrogen in hydrogen embrittlement fracture of lath martenisitic steel. Acta Mater. 2012, 60, 5182–5189. [Google Scholar] [CrossRef]
- Hicks, P.D.; Altsteter, C.J. Hydrogen-Enhanced Cracking of superalloys. Met. Trans. 1992, 23A, 513–522. [Google Scholar] [CrossRef]
- Moody, N.R.; Stoltz, R.E.; Perra, M.W. The effect of hydrogen on fracture toughness of the Fe-Ni-Co superalloy IN93. Met. Trans. 1987, 18A, 1469–1482. [Google Scholar] [CrossRef]
- Zhu, X.; Li, W.; Hsu, T.Y.; Zhou, S.; Wang, L.; Jin, X. Improved resistance to hydrogen embrittlement in a high-strength steel by quenching-partitioning-tempering treatment. Scr. Mater. 2015, 97, 21–24. [Google Scholar] [CrossRef]
- Kim, S.J.; Hwang, E.H.; Park, J.S.; Ryu, S.M.; Yun, D.W.; Seong, H.G. Inhibiting hydrogen embrittlement in ultra-strong steels for automotive applications by Ni-alloying. Mater. Degrad. 2019, 3, 12. [Google Scholar] [CrossRef]
- Nakatani, Y.; Higashi, T.; Yamada, K. Effect of tempering treatment on hydrogen-induced cracking in high-strength steel. Fatigue Fract. Eng. Mater. Struct. 1999, 22, 393–398. [Google Scholar] [CrossRef]
- Zhang, Y.J.; Zhou, C.; Hui, W.J.; Dong, H. Effect of C content on hydrogen induced delayed fracture behavior of Mn-B type steels. J. Iron Steel Res. 2014, 26, 49–55. [Google Scholar]
- Kwon, H.J.; Choi, W.S.; Lee, J.; De Cooman, B.C. Bake Hardening Analysis of 22MnB5 PHS by the Impulse Internal-Friction. CHS2-Series 2015, 5, 499–506. [Google Scholar]
- Hirakami, D.; Yamasaki, S.; Tarui, T.; Ushioda, K. Competitive phenomenon of hydrogen trapping and carbon segregation in dislocations introduced by drawing or martensitic transformation of 0.35 mass% and 0.8 mass% C steels. ISIJ Int. 2016, 56, 359–365. [Google Scholar] [CrossRef]
- Sherman, A.M.; Eldis, G.T.; Cohen, M. The aging and tempering of iron-nickel-carbon martensites. Metall. Trans. A 1983, 14, 995–1005. [Google Scholar] [CrossRef]
- Ulmer, D.G.; Altstetter, C.J. Hydrogen-induced strain localization and failure of austenitic stainless steels at high hydrogen concentrations. Acta Mater. 1991, 39, 1237–1248. [Google Scholar] [CrossRef]
- Birnbaum, H.K.; Sofronis, P. Hydrogen-enhanced localized plasticity - a mechanism for hydrogen-related fracture. Mater. Sci. Eng. A 1994, 176, 191–202. [Google Scholar] [CrossRef]
© 2019 by the authors. Licensee MDPI, Basel, Switzerland. This article is an open access article distributed under the terms and conditions of the Creative Commons Attribution (CC BY) license (http://creativecommons.org/licenses/by/4.0/).









